Thermodynamic Insights of the Molecular Interactions of Dopamine (Neurotransmitter) with Anionic Surfactant in Non-Aqueous Media
Abstract
1. Introduction
2. Results and Discussion
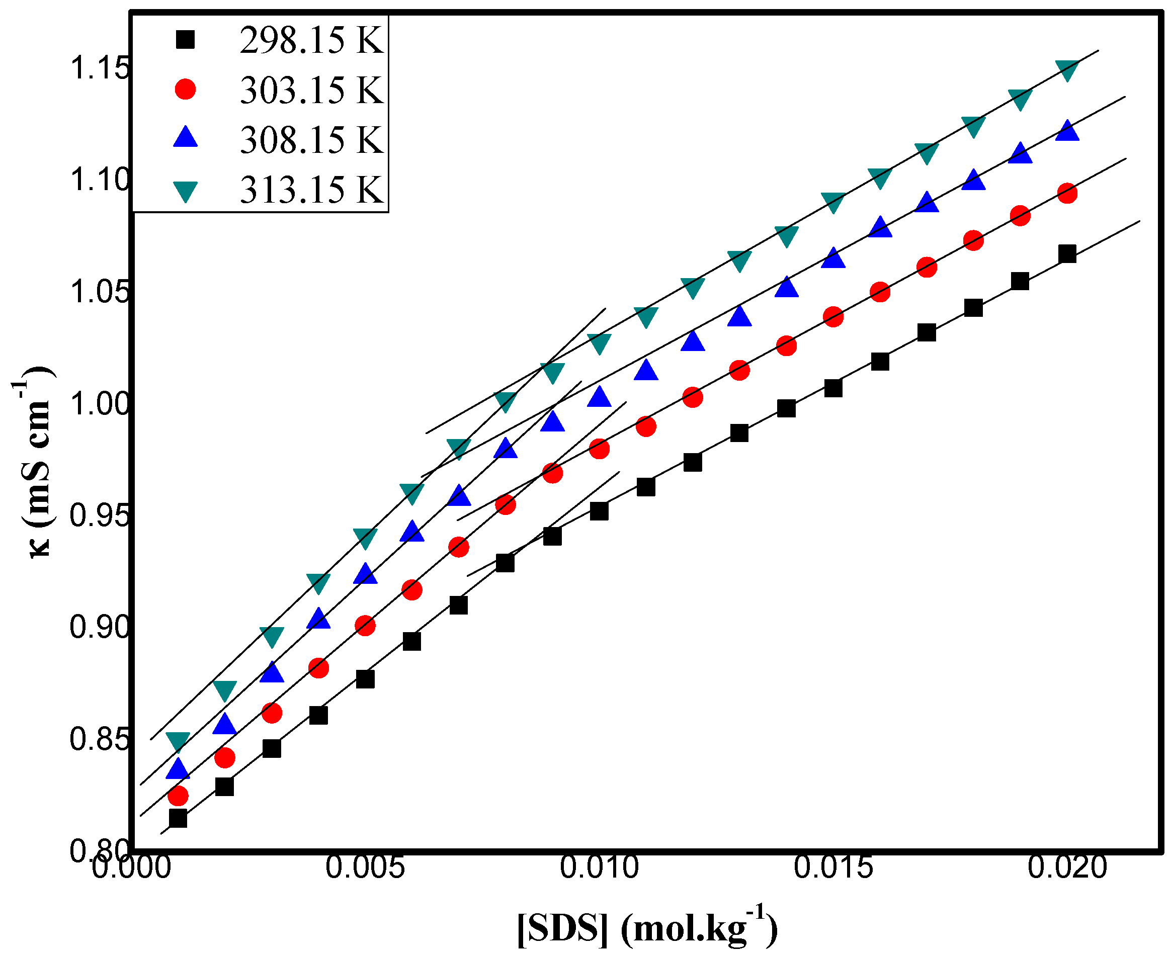
2.1. Conductometric Study
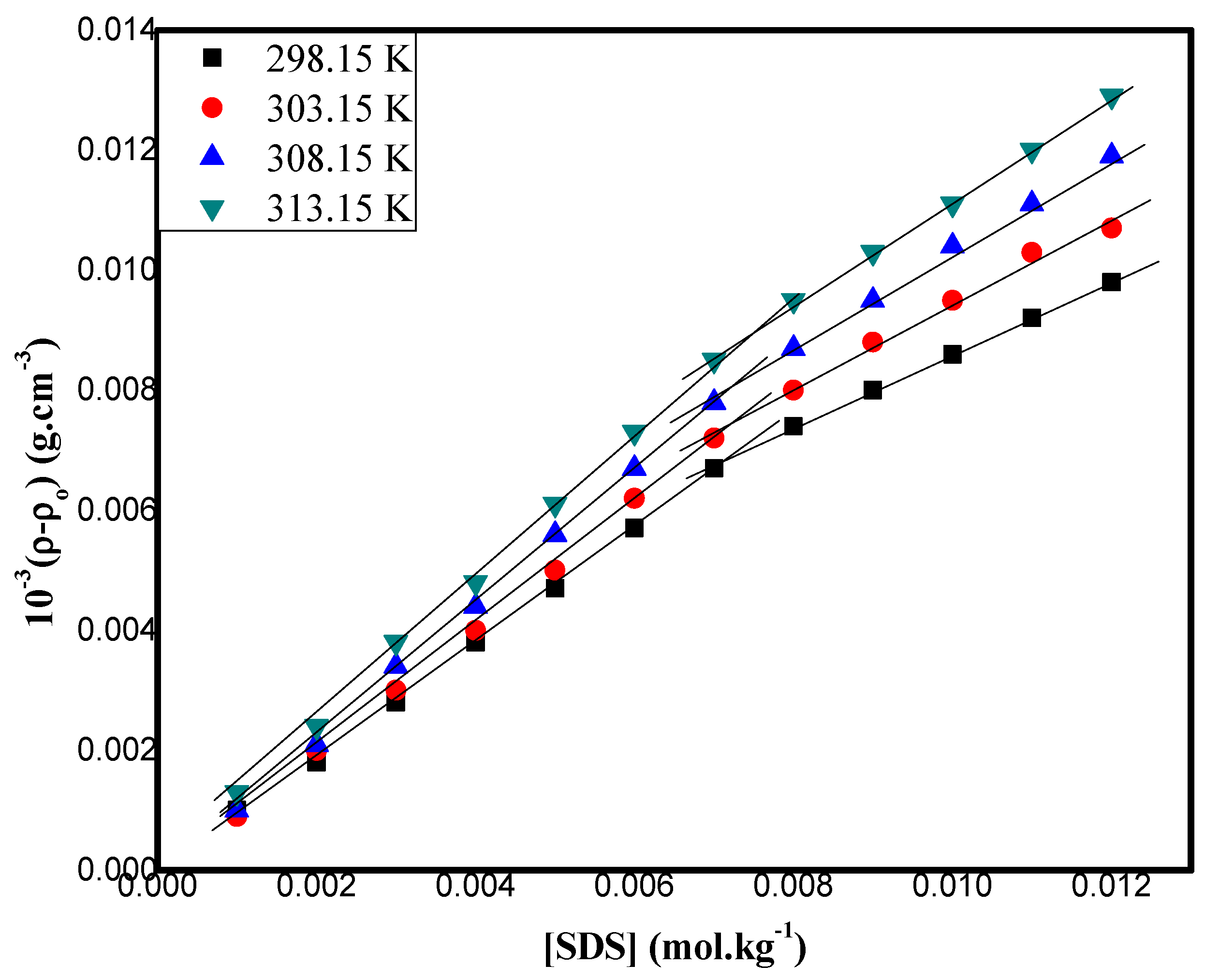
2.2. Volumetric Study
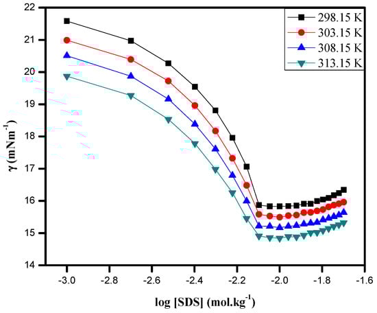
2.3. Surface Tensiometric Study
3. Materials and Methods
3.1. Materials
3.2. Methods
4. Conclusions
Supplementary Materials
Author Contributions
Funding
Institutional Review Board Statement
Informed Consent Statement
Data Availability Statement
Acknowledgments
Conflicts of Interest
References
- Kalepu, S.; Nekkanti, V. Insoluble drug delivery strategies: Review of recent advances and business pro-spects. Acta Pharm. Sin. B 2015, 5, 442–453. [Google Scholar] [CrossRef]
- Flaifel, M.H.; Ahmad, S.H.; Abdullah, M.H.; Al-Asbahi, B.A. NiZn ferrite filled thermoplastic natural rubber nanocomposites: Effect of low temperature on their magnetic behaviour. Cryogenics 2012, 52, 523–529. [Google Scholar] [CrossRef]
- Sezgin-bayindir, Z.; Ergin, A.D.; Parmaksiz, M.; Elcin, A.E.; Elcin, Y.M.; Yuksel, N. Evaluation of various block copolymers for micelle formation and brain drug delivery: In vitro characterization and cellular uptake studies. J. Drug Deliv. Sci. Technol. 2016, 36, 120–129. [Google Scholar] [CrossRef]
- Teo, J.Y.; Chin, W.; Ke, X.; Gao, S.; Liu, S.; Cheng, W.; Hedrick, J.L.; Yang, Y.Y. pH and redox dual-responsive biodegradable polymeric micelles with high drug loading for effective anticancer drug delivery. Nanomed. Nanotechnol. Biol. Med. 2017, 13, 431–442. [Google Scholar] [CrossRef]
- Ravichandran, V.; Kesavan, V.; Cojean, S.; Loiseau, P.M.; Jayakrishnan, A. Polysorbate Surfactants as Drug Carriers: Tween 20-Amphotericin B Conjugates as Anti-Fungal and Anti-Leishmanial Agents. Curr. Drug Deliv. 2018, 15, 1028–1037. [Google Scholar] [CrossRef]
- Wani, F.A.; Khan, A.B.; Alshehri, A.; Malik, M.A.; Ahmad, R.; Patel, R. Synthesis, characterization and mixed micellization study of benzene sulphonate based gemini surfactant with sodium dodecyl sulphate. J. Mol. Liq. 2019, 285, 270–278. [Google Scholar] [CrossRef]
- Khan, Z.; Malik, M.A.; Al-Thabaiti, S.A.; Alshehri, A.; Nabi, F. Micellization and thermodynamic proper-ties of cationic surfactant cetyltrimethylammonium bromide in non-aqueous mixture of lauric acid. Int. J. Electrochem. Sci. 2017, 12, 4528–4542. [Google Scholar] [CrossRef]
- Al-Thabaiti, S.A.; Obaid, A.Y.; Khan, Z.; Al-Thubaiti, K.S.; Nabi, A.; Malik, M.A. Role of cationic gemi-ni surfactants (m-s-m type) on the oxidation of d-glucose by permanganate. J. Mol. Liq. 2016, 216, 538–544. [Google Scholar] [CrossRef]
- Khan, Z.; Malik, M.A.; Al-Thabaiti, S.A.; Bashir, O.; Khan, T.A. Natural dye bolaform sugar-based sur-factant: Self aggregation and mixed micellization with ionic surfactants. Dye. Pigment. 2016, 131, 168–176. [Google Scholar] [CrossRef]
- Khan, Z.; Al-Thabaiti, S.A.; Malik, M.A. Biocompatible natural sugar-based surfactant assisted oxida-tion of citric acid by MnO4− in absence and presence of SDS. RSC Adv. 2016, 6, 45993–46001. [Google Scholar] [CrossRef]
- Khan, Z.; Al-Thabaiti, S.A.; Obaid, A.Y.; Malik, M.A.; Khan, M.N.; Khan, T.A. Cobalt@silver bime-tallic nanoparticles: Solution based seedless surfactant assisted synthesis, optical properties, and morphology. J. Mol. Liq. 2016, 222, 272–278. [Google Scholar] [CrossRef]
- AL-Thabaiti, S.A.; Malik, M.A.; Al-Youbi, A.A.O.; Khan, Z.; Hussain, J.I. Effects of surfactant and polymer on the morphology of advanced nanomaterials in aqueous solution. Int. J. Electrochem. Sci. 2013, 8, 204–218. [Google Scholar] [CrossRef]
- Malik, M.A.; Wani, M.Y.; Hashim, M.A. Microemulsion method: A novel route to synthesize organic and inorganic nanomaterials. 1st Nano Update. Arab. J. Chem. 2012, 5, 397–417. [Google Scholar] [CrossRef]
- Malik, M.A.; Hashim, M.A.; Nabi, F.; Al-Thabaiti, S.A.; Khan, Z. Anti-corrosion ability of surfactants: A review. Int. J. Electrochem. Sci. 2011, 6, 1927–1948. [Google Scholar] [CrossRef]
- Farías, T.; De Menorval, L.-C.; Zajac, J.; Rivera, A. Solubilization of drugs by cationic surfactants mi-celles: Conductivity and 1H NMR experiments. Colloids Surf. A Physicochem. Eng. Asp. 2009, 345, 51–57. [Google Scholar] [CrossRef]
- Lukyanov, A.N.; Torchilin, V.P. Micelles from lipid derivatives of water-soluble polymers as delivery systems for poorly soluble drugs. Adv. Drug Deliv. Rev. 2004, 56, 1273–1289. [Google Scholar] [CrossRef]
- Seddon, A.M.; Curnow, P.; Booth, P.J. Membrane proteins, lipids and detergents: Not just a soap opera. Biochim. Biophys. Acta (BBA)-Biomembr. 2004, 1666, 105–117. [Google Scholar] [CrossRef]
- Wallace, S.J.; Li, J.; Nation, R.L.; Prankerd, R.J.; Velkov, T.; Boyd, B.J. Self-assembly behavior of colistin and its prodrug colistin methanesulfonate: Implications for solution stability and solubilization. J. Phys. Chem. B 2010, 114, 4836–4840. [Google Scholar] [CrossRef]
- Maibaum, L.; Dinner, A.R.; Chandler, D. Micelle formation and the hydrophobic effect. J. Phys. Chem. B 2004, 108, 6778–6781. [Google Scholar] [CrossRef]
- Goyal, P.; Menon, S.; Dasannacharya, B.; Rajagopalan, V. Role of van der Waals forces on small angle neutron scattering from ionic micellar solutions. Chem. Phys. Lett. 1993, 211, 559–563. [Google Scholar] [CrossRef]
- Leon, I.; Millan, J.; Cocinero, E.J.; Lesarri, A.; Fernndez, J.A. Shaping Micelles: The Interplay between Hydrogen Bonds and Dispersive Interactions. Angew. Chem. Int. Ed. 2013, 52, 7926–7929. [Google Scholar] [CrossRef]
- Louro, S.; Nascimento, O.; Tabak, M. Charge-and pH-dependent binding sites for dibucaine in ionic mi-celles: A fluorescence study. Biochim. Biophys. Acta (BBA) Biomembr. 1994, 1190, 319–328. [Google Scholar] [CrossRef]
- Nabi, A.; Tasneem, S.; Jesudason, C.G.; Lee, V.S.; Zain, S.B.M. Study of interaction between cationic surfactant (CTAB) and paracetamol by electrical conductivity, tensiometric and spectroscopic methods. J. Mol. Liq. 2018, 256, 100–107. [Google Scholar] [CrossRef]
- Peng, T.; Li, Q.; Xu, L.; He, C.; Luo, L. Surface interaction of nanoscale water film with SDS from computational simulation and film thermodynamics. Entropy 2017, 19, 620. [Google Scholar] [CrossRef]
- Adhikari, P.; Podgornik, R.; Jawad, B.; Ching, W.-Y. First-Principles Simulation of Dielectric Function in Biomolecules. Materials 2021, 14, 5774. [Google Scholar] [CrossRef]
- Pan, J.; Wang, X. Molecular Dynamics Investigation of Spreading Performance of Physiological Saline on Surface. Materials 2022, 15, 3925. [Google Scholar] [CrossRef]
- Ali, A.; Nabi, F.; Malik, N.A.; Tasneem, S.; Uzair, S. Study of micellization of sodium dodecyl sulfate in non-aqueous media containing lauric acid and dimethylsulfoxide. J. Surfactants Deterg. 2014, 17, 151–160. [Google Scholar] [CrossRef]
- Chen, J.; Shimura, S.; Kirimura, K.; Usami, S. Lipase production from hydrocarbons by Trichosporon fermentans WU-C12 in the presence of surfactants. Biosci. Biotechnol. Biochem. 1994, 58, 773–775. [Google Scholar] [CrossRef][Green Version]
- Williams, A.C.; Barry, B.W. Penetration enhancers. Adv. Drug Deliv. Rev. 2012, 64, 128–137. [Google Scholar] [CrossRef]
- Atanase, L.I.; Bistac, S.; Riess, G. Effect of poly (vinyl alcohol-co-vinyl acetate) copolymer blockiness on the dynamic interfacial tension and dilational viscoelasticity of polymer–anionic surfactant complex at the water–1-chlorobutane interface. Soft Matter 2015, 11, 2665–2672. [Google Scholar] [CrossRef]
- Atanase, L.I.; Lerch, J.P.; Caprarescu, S.; Iurciuc, C.E.; Riess, G. Micellization of p H-sensitive poly (butadiene)-block-poly (2 vinylpyridine)-block-poly (ethylene oxide) triblock copolymers: Complex for-mation with anionic surfactants. J. Appl. Polym. Sci. 2017, 134, 45313. [Google Scholar] [CrossRef]
- Hastings, T.G. The role of dopamine oxidation in mitochondrial dysfunction: Implications for Parkin-son’s disease. J. Bioenerg. Biomembr. 2009, 41, 469–472. [Google Scholar] [CrossRef]
- Tost, H.; Alam, T.; Meyer-Lindenberg, A. Dopamine and psychosis: Theory, pathomechanisms and in-termediate phenotypes. Neurosci. Biobehav. Rev. 2010, 34, 689–700. [Google Scholar] [CrossRef] [PubMed]
- Laloux, C.; Gouel, F.; Lachaud, C.; Timmerman, K.; Van, B.D.; Jonneaux, A.; Petrault, M.; Garcon, G.; Rouaix, N.; Moreau, C. Continuous cerebroventricular administration of dopamine: A new treatment for severe dyskinesia in Parkinson’s disease? Neurobiol. Dis. 2017, 103, 24–31. [Google Scholar] [CrossRef] [PubMed]
- Misra, A.; Ganesh, S.; Shahiwala, A.; Shah, S.P. Drug delivery to the central nervous system: A review. J. Pharm. Pharm. Sci. 2003, 6, 252–273. [Google Scholar]
- Zhai, C.; Sun, F.; Zhang, P.; Ma, H.; Song, A.; Hao, J. Interactions of dopamine and dopamine hydrochlo-ride with ethanol. J. Mol. Liq. 2016, 223, 420–426. [Google Scholar] [CrossRef]
- Tasneem, S.; Nabi, A.; Hasan, N.; Malik, M.A.; Khedher, K.M. Thermodynamic insights into molecular interactions of sodium lauryl sulfate (SLS) with caffeine and theophylline in aqueous media at different temperatures. J. Mol. Liq. 2020, 305, 112776. [Google Scholar] [CrossRef]
- Alamier, W.M.; Tasneem, S.; Nabi, A.; Hasan, N.; Nabi, F. Thermodynamic and Spectroscopic Studies of SDS in Cinnamaldehyde+ Ethanol Mixtures: Influences of Temperature and Composition. Appl. Sci. 2022, 12, 12020. [Google Scholar] [CrossRef]
- Ray, G.B.; Ghosh, S.; Moulik, S.P. Physicochemical Studies on the Interfacial and Bulk Behaviour of Sodium N-Dodencanoyl Sarcosinate (SDDS). J. Surfactants Deterg. 2009, 12, 131–143. [Google Scholar] [CrossRef]
- Bakshi, M.S. Micelle formation by sodium dodecyl sulfate in water–additive systems. Bull. Chem. Soc. Jpn. 1996, 69, 2723–2729. [Google Scholar] [CrossRef]
- Shah, S.; Jamroz, N.; Sharif, Q. Micellization parameters and electrostatic interactions in micellar solution of sodium dodecyl sulfate (SDS) at different temperatures. Colloids Surf. A Physicochem. Eng. Asp. 2001, 178, 199–206. [Google Scholar] [CrossRef]
- Melis, M.; Diana, M.; Enrico, P.; Marinelli, M.; Brodie, M.S. Ethanol and acetaldehyde action on central dopamine systems: Mechanisms, modulation, and relationship to stress. Alcohol 2009, 43, 531–539. [Google Scholar] [CrossRef]
- Javadian, S.; Gharibi, H.; Sohrabi, B.; Bijanzadeh, H.; Safarpour, M.; Behjatmanesh-Ardakani, R. Deter-mination of the physico-chemical parameters and aggregation number of surfactant in micelles in binary al-cohol–water mixtures. J. Mol. Liq. 2008, 137, 74–79. [Google Scholar] [CrossRef]
- Shakeel, M.; Mehmood, K.; Siddiq, M. Aggregation properties of levofloxacin in water and ethanol and its interaction with sodium dodecyl sulphate: A thermodynamic study. J. Chem. Sci. 2015, 127, 2073–2079. [Google Scholar] [CrossRef]
- Hayase, K.; Hayano, S. Effect of Alcohols on the Critical Micelle Concentration Decrease in the Aqueous Sodium Dodecyl Sulfate Solution. J. Colloid Interface Sci. 1978, 63, 446–451. [Google Scholar] [CrossRef]
- Mudawadkar, A.D.; Patil, T. Conductometric Studies of Micellization of Sodium Dodecyl Sulfate in Presence of Non-Polar Additives at Various Temperatures. Chem. Sci. 2016, 5, 149–162. [Google Scholar]
- Shinoda, K.; Nakagawa, T.; Tamamushi, B.-I. Colloidal Surfactants: Some Physicochemical Properties; Elsevier: Amsterdam, The Netherlands, 2016. [Google Scholar]
- Shinoda, K.; Hutchinson, E. Pseudo-phase Seperation Model for Thermodynamic Calculations on Mi-cellar Solutions 1. J. Phys. Chem. 1962, 66, 577–582. [Google Scholar] [CrossRef]
- Abu-Hamdiyyah, M.; Al-Mansour, L. Effect of butylurea on the critical micelle concentration of sodium lauryl sulfate in water at different temperatures. J. Phys. Chem. 1979, 83, 2236–2243. [Google Scholar] [CrossRef]
- Ray, G.B.; Chakraborty, I.; Ghosh, S.; Moulik, S.; Palepu, R. Self-aggregation of alkyltrimethylammonium bromides (C10-, C12-, C14-, and C16TAB) and their binary mixtures in aqueous medium: A critical and comprehensive assessment of interfacial behavior and bulk properties with reference to two types of micelle formation. Langmuir 2005, 21, 10958–10967. [Google Scholar]
- Ali, A.; Ansari, N.H. Studies on the effect of amino acids/peptide on micellization of SDS at different temperatures. J. Surfactants Deterg. 2010, 13, 441–449. [Google Scholar] [CrossRef]
- Kang, K.-H.; Kim, H.-U.; Lim, K.-H. Effect of temperature on critical micelle concentration and thermo-dynamic potentials of micellization of anionic ammonium dodecyl sulfate and cationic octadecyl trimethyl ammonium chloride. Colloids Surf. A Physicochem. Eng. Asp. 2001, 189, 113–121. [Google Scholar] [CrossRef]
- Khan, F.; Rub, M.A.; Azum, N.; Asiri, A.M. Mixtures of antidepressant amphiphilic drug imipramine hy-drochloride and anionic surfactant: Micellar and thermodynamic investigation. J. Phys. Org. Chem. 2018, 31, e3812. [Google Scholar] [CrossRef]
- Usman, M.; Siddiq, M. Surface and micellar properties of chloroquine diphosphate and its interactions with surfactants and human serum albumin. J. Chem. Thermodyn. 2013, 58, 359–366. [Google Scholar] [CrossRef]
- Komal; Singh, G.; Singh, G.; Kang, T.S. Aggregation Behavior of Sodium Dioctyl Sulfosuccinate in Deep Eutectic Solvents and Their Mixtures with Water: An Account of Solvent’s Polarity, Cohesiveness, and Solvent Structure. ACS Omega 2018, 3, 13387–13398. [Google Scholar] [CrossRef]
- Balasubramanian, D.; Srinivas, V.; Gaikar, V.; Sharma, M. Aggregation behavior of hydrotropic com-pounds in aqueous solution. J. Phys. Chem. 1989, 93, 3865–3870. [Google Scholar] [CrossRef]
- Jabbari, M.; Teymoori, F. An insight into effect of micelle-forming surfactants on aqueous solubilization and octanol/water partition coefficient of the drugs gemfibrozil and ibuprofen. J. Mol. Liq. 2018, 262, 1–7. [Google Scholar] [CrossRef]
- Akhtar, F.; Hoque, M.A.; Khan, M.A. Interaction of cefadroxyl monohydrate with hexadecyltrimethyl ammonium bromide and sodium dodecyl sulfate. J. Chem. Thermodyn. 2008, 40, 1082–1086. [Google Scholar] [CrossRef]
- Gonzalez-Perez, A.; Ruso, J.; Prieto, G.; Sarmiento, F. Physicochemical study of ovalbumin in the pres-ence of sodium dodecyl sulphate in aqueous media. Colloid Polym. Sci. 2004, 282, 351–356. [Google Scholar] [CrossRef]
- Fukada, K.; Kobayashi, Y.; Ota, Y.; Fujii, M.; Kato, T.; Seimiya, T. Effect of pressure and temperature on adiabatic compressibility of aqueous solutions of amphiphiles with a perfluorocarbon chain. Thermochim. Acta 2000, 352, 189–197. [Google Scholar] [CrossRef]
- De Lisi, R.; Milioto, S.; Muratore, N. Thermodynamics of micellization of sodium alkyl sulfates in water at high temperature and pressure. Langmuir 2001, 17, 8078–8084. [Google Scholar] [CrossRef]
- Ali, A.; Uzair, S.; Tasneem, S.; Nabi, F. A Thermodynamic study of lipid–surfactant interactions in non-aqueous media. J. Solut. Chem. 2014, 43, 1817–1829. [Google Scholar] [CrossRef]
- Zhou, Q.; Rosen, M.J. Molecular interactions of surfactants in mixed monolayers at the air/aqueous so-lution interface and in mixed micelles in aqueous media: The regular solution approach. Langmuir 2003, 19, 4555–4562. [Google Scholar] [CrossRef]
- Chauhan, S.; Chauhan, M.; Sharma, P.; Rana, D. Thermodynamics and micellization of cetyltrimethyl ammonium bromide in the presence of lysozyme. J. Mol. Liq. 2013, 187, 1–6. [Google Scholar] [CrossRef]
- Pradines, V.; Krägel, J.; Fainerman, V.B.; Miller, R. Interfacial properties of mixed β-lactoglobulin− SDS layers at the water/air and water/oil interface. J. Phys. Chem. B 2008, 113, 745–751. [Google Scholar] [CrossRef]
- Rosen, M.J.; Aronson, S. Standard free energies of adsorption of surfactants at the aqueous solution/air interface from surface tension data in the vicinity of the critical micelle concentration. Colloids Surf. 1981, 3, 201–208. [Google Scholar] [CrossRef]





| Parameters | 298.15 K | 303.15 K | 308.15 K | 313.15 K |
|---|---|---|---|---|
| cmc/(mol kg−1) | 0.00790 | 0.00803 | 0.00818 | 0.00827 |
| β | 0.7171 | 0.6225 | 0.5797 | 0.5594 |
| lnXcmcn Xcmc | −7.8525 | −7.8362 | −7.8177 | −7.8067 |
| Thermodynamic parameter of micellization | ||||
| (kJ mol−1) | −24.971 | −27.207 | −28.447 | −29.280 |
| (kJ mol−1) | −1.610 | −2.777 | −4.012 | −5.307 |
| (J mol−1 K−1) | 0.0784 | 0.0806 | 0.0793 | 0.0766 |
| (J mol−1 K−1) | 23.360 | 24.430 | 24.434 | 23.973 |
| Volumetric Parameters | 298.15 K | 303.15 K | 308.15 K | 313.15 K |
|---|---|---|---|---|
| cmc/(mol kg−1) | 0.00758 | 0.00766 | 0.00779 | 0.00788 |
| /10−3 (m3 mol−1) | 0.2020 | 1.7838 | 3.8726 | 6.0317 |
| /10−3 (m3 mol−1) | −0.8284 | −0.2058 | 0.3022 | 0.8184 |
| /10−3 (m3 mol−1) | −1.0304 | −1.9896 | −3.5704 | −5.2134 |
| Surface Tension Parameters | ||||
|---|---|---|---|---|
| cmc/(mol kg−1) | 0.00772 | 0.00778 | 0.00798 | 0.00805 |
| 106 (mol m−2) | 0.44 | 0.41 | 0.38 | 0.35 |
| (nm2 mol−1) | 3.75 | 4.06 | 4.32 | 4.76 |
| (mN m−1) | 5.90 | 5.70 | 5.69 | 5.35 |
| (kJ mol−1) | −19.69 | −20.00 | −20.26 | −20.57 |
| (kJ mol−1) | −33.00 | −33.95 | −35.08 | −35.89 |
| (kJ mol−1) | 36.28 | 38.58 | 39.57 | 42.60 |
| Compound | Molecular Formula | Molar Weight (g/mol) | CAS Number | Supplier | Mass Fraction Purity | Purification Method | Purity (after Purification | Water Content (%) |
|---|---|---|---|---|---|---|---|---|
| Dopamine hydrochloride | (OH)2C6H3CH2CH2NH2.HCl | 189.64 | 62-31-7 | Merck | 0.99 a | Used as received | Used as received | |
| Sodium dodecyl sulfate | C12H25OSO2ONa | 288.37 | 151-21-3 | Merck | 0.99 a | Used as received | Used as received | |
| Ethanol | C2H5OH | 46.07 | 64-17-5 | Merck | 0.999 a | Distillation | 0.999 b | ≤0.01 c |
Disclaimer/Publisher’s Note: The statements, opinions and data contained in all publications are solely those of the individual author(s) and contributor(s) and not of MDPI and/or the editor(s). MDPI and/or the editor(s) disclaim responsibility for any injury to people or property resulting from any ideas, methods, instructions or products referred to in the content. |
© 2023 by the authors. Licensee MDPI, Basel, Switzerland. This article is an open access article distributed under the terms and conditions of the Creative Commons Attribution (CC BY) license (https://creativecommons.org/licenses/by/4.0/).
Share and Cite
Nabi, A.; Jesudason, C.G.; Sabir, J.S.M.; Kamli, M.R. Thermodynamic Insights of the Molecular Interactions of Dopamine (Neurotransmitter) with Anionic Surfactant in Non-Aqueous Media. Pharmaceuticals 2023, 16, 1187. https://doi.org/10.3390/ph16091187
Nabi A, Jesudason CG, Sabir JSM, Kamli MR. Thermodynamic Insights of the Molecular Interactions of Dopamine (Neurotransmitter) with Anionic Surfactant in Non-Aqueous Media. Pharmaceuticals. 2023; 16(9):1187. https://doi.org/10.3390/ph16091187
Chicago/Turabian StyleNabi, Arshid, Christopher G. Jesudason, Jamal S. M. Sabir, and Majid Rasool Kamli. 2023. "Thermodynamic Insights of the Molecular Interactions of Dopamine (Neurotransmitter) with Anionic Surfactant in Non-Aqueous Media" Pharmaceuticals 16, no. 9: 1187. https://doi.org/10.3390/ph16091187
APA StyleNabi, A., Jesudason, C. G., Sabir, J. S. M., & Kamli, M. R. (2023). Thermodynamic Insights of the Molecular Interactions of Dopamine (Neurotransmitter) with Anionic Surfactant in Non-Aqueous Media. Pharmaceuticals, 16(9), 1187. https://doi.org/10.3390/ph16091187

