Preparation of Selenium-Based Drug-Modified Polymeric Ligand-Functionalised Fe3O4 Nanoparticles as Multimodal Drug Carrier and Magnetic Hyperthermia Inductor
Abstract
1. Introduction
2. Results and Discussion
2.1. Influence of Synthesis Parameters on the Structural, Morphological and Magnetic Properties of Fe3O4 Nanoparticles
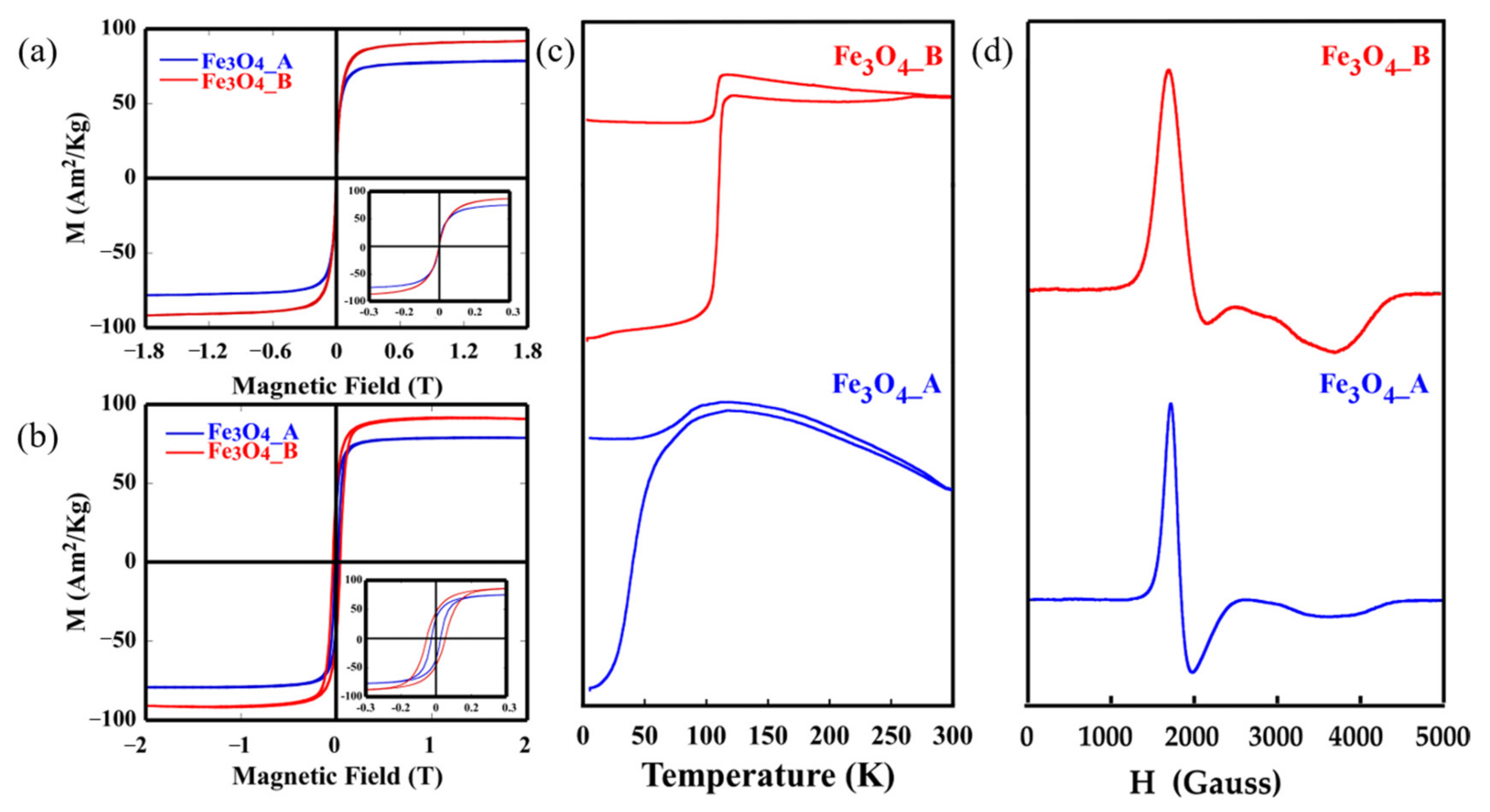
2.2. Magnetic Properties of the Prepared Magnetite Nanoparticles
2.3. Characterisation of Fe3O4 Nanoparticles Functionalised with Selenium-Based Drugs
2.4. Magnetic Hyperthermia Response
2.5. Toxicity of Fe3O4 Nanoparticles Functionalised with Selenium-Based Drugs
3. Materials and Methods
3.1. Materials
3.2. Methods
3.2.1. Preparation of Iron(III) Oleate
3.2.2. Synthesis of Fe3O4 Nanoparticles
3.2.3. Synthesis of Drug-Functionalised Copolymer and Coating Procedure
3.2.4. Physical, Structural and Magnetic Experimental Characterisation
3.2.5. Cytotoxicity Assay
4. Conclusions
Supplementary Materials
Author Contributions
Funding
Institutional Review Board Statement
Data Availability Statement
Acknowledgments
Conflicts of Interest
References
- Cardoso, V.F.; Francesko, A.; Ribeiro, C.; Bañobre-López, M.; Martins, P.; Lanceros-Mendez, S. Advances in Magnetic Nanoparticles for Biomedical Applications. Adv. Healthc. Mater. 2018, 7, 1700845. [Google Scholar] [CrossRef] [PubMed]
- Lamichhane, N.; Sharifabad, M.E.; Hodgson, B.; Mercer, T.; Sen, T. Superparamagnetic Iron Oxide Nanoparticles (SPIONs) as Therapeutic and Diagnostic Agents. Nanoparticle Ther. 2022, 455–497. [Google Scholar] [CrossRef]
- Kwizera, E.A.; Stewart, S.; Mahmud, M.M.; He, X. Magnetic Nanoparticle-Mediated Heating for Biomedical Applications. J. Heat Transf. 2022, 144, 030801. [Google Scholar] [CrossRef] [PubMed]
- Khalid, F.S.; Khan, M.T.; Samra, Z.Q.; Muhammad, S.; Zhang, Y.-J.; Mou, K.; Lodhi, M.S.; Khalid, F.; Tahir Khan, M.; Samra, Z.Q.; et al. A Novel Method of Magnetic Nanoparticles Functionalized with Anti-Folate Receptor Antibody and Methotrexate for Antibody Mediated Targeted Drug Delivery. Molecules 2022, 27, 261. [Google Scholar] [CrossRef]
- Modest, D.P.; Pant, S.; Sartore-Bianchi, A. Treatment Sequencing in Metastatic Colorectal Cancer. Eur. J. Cancer 2019, 109, 70–83. [Google Scholar] [CrossRef]
- Rao, W.; Deng, Z.S.; Liu, J. A Review of Hyperthermia Combined With Radiotherapy/Chemotherapy on Malignant Tumors. Crit. Rev. Biomed. Eng. 2010, 38, 101–116. [Google Scholar] [CrossRef]
- Mortezaee, K.; Narmani, A.; Salehi, M.; Bagheri, H.; Farhood, B.; Haghi-Aminjan, H.; Najafi, M. Synergic Effects of Nanoparticles-Mediated Hyperthermia in Radiotherapy/Chemotherapy of Cancer. Life Sci. 2021, 269, 119020. [Google Scholar] [CrossRef]
- Wydra, R.J.; Oliver, C.E.; Anderson, K.W.; Dziubla, T.D.; Hilt, J.Z. Accelerated Generation of Free Radicals by Iron Oxide Nanoparticles in the Presence of an Alternating Magnetic Field. RSC Adv. 2015, 5, 18888–18893. [Google Scholar] [CrossRef]
- Shetake, N.G.; Ali, M.; Kumar, A.; Bellare, J.; Pandey, B.N. Theranostic Magnetic Nanoparticles Enhance DNA Damage and Mitigate Doxorubicin-Induced Cardio-Toxicity for Effective Multi-Modal Tumor Therapy. Biomater. Adv. 2022, 142, 213147. [Google Scholar] [CrossRef]
- Omer, W.E.; El-Kemary, M.A.; Elsaady, M.M.; Abou-Omar, M.N.; Youssef, A.O.; Sayqal, A.A.; Gouda, A.A.; Attia, M.S. Magnetic Fluid Hyperthermia Based on Magnetic Nanoparticles: Physical Characteristics, Historical Perspective, Clinical Trials, Technological Challenges, and Recent Advances. Adv. Ther. 2020, 3, 2000061. [Google Scholar] [CrossRef]
- Omer, W.E.; El-Kemary, M.A.; Elsaady, M.M.; Abou-Omar, M.N.; Youssef, A.O.; Sayqal, A.A.; Gouda, A.A.; Attia, M.S. Understanding MNPs Behaviour in Response to AMF in Biological Milieus and the Effects at the Cellular Level: Implications for a Rational Design That Drives Magnetic Hyperthermia Therapy toward Clinical Implementation. Cancers 2021, 13, 4583. [Google Scholar] [CrossRef]
- Castellanos-Rubio, I.; Arriortua, O.; Iglesias-Rojas, D.; Barón, A.; Rodrigo, I.; Marcano, L.; Garitaonandia, J.S.; Orue, I.; Fdez-Gubieda, M.L.; Insausti, M. A Milestone in the Chemical Synthesis of Fe3O4 Nanoparticles: Unreported Bulklike Properties Lead to a Remarkable Magnetic Hyperthermia. Chem. Mater. 2021, 33, 8693–8704. [Google Scholar] [CrossRef]
- Alvarez-Berríos, M.P.; Castillo, A.; Rinaldi, C.; Torres-Lugo, M. Magnetic Fluid Hyperthermia Enhances Cytotoxicity of Bortezomib in Sensitive and Resistant Cancer Cell Lines. Int. J. Nanomed. 2014, 9, 145. [Google Scholar] [CrossRef]
- Alvarez-Berríos, M.P.; Castillo, A.; Mendéz, J.; Soto, O.; Rinaldi, C.; Torres-Lugo, M. Hyperthermic Potentiation of Cisplatin by Magnetic Nanoparticle Heaters Is Correlated with an Increase in Cell Membrane Fluidity. Int. J. Nanomed. 2013, 8, 1003–1013. [Google Scholar] [CrossRef]
- Wang, C.J.; Guo, X.; Zhai, R.Q.; Sun, C.; Xiao, G.; Chen, J.; Wei, M.Y.; Shao, C.L.; Gu, Y. Discovery of Penipanoid C-Inspired 2-(3,4,5-Trimethoxybenzoyl)Quinazolin-4(3H)-One Derivatives as Potential Anticancer Agents by Inhibiting Cell Proliferation and Inducing Apoptosis in Hepatocellular Carcinoma Cells. Eur. J. Med. Chem. 2021, 224, 113671. [Google Scholar] [CrossRef]
- Saravanan, G.; Alagarsamy, V.; Dineshkumar, P. Synthesis, Analgesic, Anti-Inflammatory and in Vitro Antimicrobial Activities of Some Novel Isoxazole Coupled Quinazolin-4(3H)-One Derivatives. Arch. Pharm. Res. 2021, 44, 1–11. [Google Scholar] [CrossRef]
- Mohammadi, A.A.; Taheri, S.; Shisheboran, S.; Ahdenov, R.; Mohammadi-Khanaposhtani, M.; Darjani, P.S.; Masihi, P.H.; Shakiba, A.; Larijani, B.; Mahdavi, M.; et al. Novel Spiro[Indene-1,2′-Quinazolin]-4′(3′H)-One Derivatives as Potent Anticonvulsant Agents: One-Pot Synthesis, in Vivo Biological Evaluation, and Molecular Docking Studies. J. Biochem. Mol. Toxicol. 2023, 37, e23234. [Google Scholar] [CrossRef]
- Mohi El-Deen, E.M.; Nossier, E.S.; Karam, E.A. New Quinazolin-4(3H)-One Derivatives Incorporating Hydrazone and Pyrazole Scaffolds as Antimicrobial Agents Targeting DNA Gyraze Enzyme. Sci. Pharm. 2022, 90, 52. [Google Scholar] [CrossRef]
- Moreno, E.; Plano, D.; Lamberto, I.; Font, M.; Encío, I.; Palop, J.A.; Sanmartín, C. Sulfur and Selenium Derivatives of Quinazoline and Pyrido[2,3-d]Pyrimidine: Synthesis and Study of Their Potential Cytotoxic Activity in Vitro. Eur. J. Med. Chem. 2012, 47, 283–298. [Google Scholar] [CrossRef]
- Gandin, V.; Khalkar, P.; Braude, J.; Fernandes, A.P. Organic Selenium Compounds as Potential Chemotherapeutic Agents for Improved Cancer Treatment. Free Radic. Biol. Med. 2018, 127, 80–97. [Google Scholar] [CrossRef]
- Speckmann, B.; Grune, T. Epigenetic Effects of Selenium and Their Implications for Health. Epigenetics 2015, 10, 179–190. [Google Scholar] [CrossRef] [PubMed]
- Angeli, A.; Etxebeste-Mitxeltorena, M.; Sanmartín, C.; Espuelas, S.; Moreno, E.; Azqueta, A.; Parkkila, S.; Carta, F.; Supuran, C.T. Tellurides Bearing Sulfonamides as Novel Inhibitors of Leishmanial Carbonic Anhydrase with Potent Antileishmanial Activity. J. Med. Chem. 2020, 63, 4306–4314. [Google Scholar] [CrossRef] [PubMed]
- Alcolea, V.; Moreno, E.; Etxebeste-Mitxeltorena, M.; Navarro-Blasco, I.; González-Peñas, E.; Jiménez-Ruiz, A.; Irache, J.M.; Sanmartín, C.; Espuelas, S. 3,5-Dimethyl-4-Isoxazoyl Selenocyanate as Promising Agent for the Treatment of Leishmania Infantum-Infected Mice. Acta Trop. 2021, 215, 105801. [Google Scholar] [CrossRef] [PubMed]
- Lorenzoni, S.; Cerra, S.; Angulo-Elizari, E.; Salamone, T.A.; Battocchio, C.; Marsotto, M.; Scaramuzzo, F.A.; Sanmartín, C.; Plano, D.; Fratoddi, I. Organoselenium Compounds as Functionalizing Agents for Gold Nanoparticles in Cancer Therapy. Colloids Surf. B Biointerfaces 2022, 219, 112828. [Google Scholar] [CrossRef]
- Vaz, J.M.; Taketa, T.B.; Hernandez-Montelongo, J.; Chevallier, P.; Cotta, M.A.; Mantovani, D.; Beppu, M.M. Antibacterial Properties of Chitosan-Based Coatings Are Affected by Spacer-Length and Molecular Weight. Appl. Surf. Sci. 2018, 445, 478–487. [Google Scholar] [CrossRef]
- Hühn, J.; Carrillo-Carrion, C.; Soliman, M.G.; Pfeiffer, C.; Valdeperez, D.; Masood, A.; Chakraborty, I.; Zhu, L.; Gallego, M.; Yue, Z.; et al. Selected Standard Protocols for the Synthesis, Phase Transfer, and Characterization of Inorganic Colloidal Nanoparticles. Chem. Mater. 2017, 29, 399–461. [Google Scholar] [CrossRef]
- Jimenez De Aberasturi, D.; Serrano-Montes, A.B.; Langer, J.; Henriksen-Lacey, M.; Parak, W.J.; Liz-Marzán, L.M. Surface Enhanced Raman Scattering Encoded Gold Nanostars for Multiplexed Cell Discrimination. Chem. Mater. 2016, 28, 6779–6790. [Google Scholar] [CrossRef]
- Lin, C.A.J.; Sperling, R.A.; Li, J.K.; Yang, T.Y.; Li, P.Y.; Zanella, M.; Chang, W.H.; Parak, W.J. Design of an Amphiphilic Polymer for Nanoparticle Coating and Functionalization. Small 2008, 4, 334–341. [Google Scholar] [CrossRef]
- Suk, J.S.; Xu, Q.; Kim, N.; Hanes, J.; Ensign, L.M. PEGylation as a Strategy for Improving Nanoparticle-Based Drug and Gene Delivery HHS Public Access Graphical Abstract. Adv. Drug Deliv. Rev. 2016, 99, 28–51. [Google Scholar] [CrossRef]
- Lipka, J.; Semmler-Behnke, M.; Sperling, R.A.; Wenk, A.; Takenaka, S.; Schleh, C.; Kissel, T.; Parak, W.J.; Kreyling, W.G. Biodistribution of PEG-Modified Gold Nanoparticles Following Intratracheal Instillation and Intravenous Injection. Biomaterials 2010, 31, 6574–6581. [Google Scholar] [CrossRef]
- Castellanos-Rubio, I.; Rodrigo, I.; Munshi, R.; Arriortua, O.; Garitaonandia, J.S.; Martinez-Amesti, A.; Plazaola, F.; Orue, I.; Pralle, A.; Insausti, M. Outstanding Heat Loss via Nano-Octahedra above 20 Nm in Size: From Wustite-Rich Nanoparticles to Magnetite Single-Crystals. Nanoscale 2019, 11, 16635–16649. [Google Scholar] [CrossRef]
- Patterson, A.L. The Scherrer Formula for X-Ray Particle Size Determination. Phys. Rev. 1939, 56, 978. [Google Scholar] [CrossRef]
- Khorsand Zak, A.; Abd Majid, W.H.; Abrishami, M.E.; Yousefi, R. X-Ray Analysis of ZnO Nanoparticles by Williamson–Hall and Size–Strain Plot Methods. Solid State Sci. 2011, 13, 251–256. [Google Scholar] [CrossRef]
- Polte, J. Fundamental Growth Principles of Colloidal Metal Nanoparticles—A New Perspective. CrystEngComm 2015, 17, 6809–6830. [Google Scholar] [CrossRef]
- Zhou, G.; Lü, M.; Xiu, Z.; Wang, S.; Zhang, H.; Zhou, Y.; Wang, S. Controlled Synthesis of High-Quality PbS Star-Shaped Dendrites, Multipods, Truncated Nanocubes, and Nanocubes and Their Shape Evolution Process. J. Phys. Chem. B 2006, 110, 6543–6548. [Google Scholar] [CrossRef]
- Song, Q.; Zhang, Z.J. Shape Control and Associated Magnetic Properties of Spinel Cobalt Ferrite Nanocrystals. J. Am. Chem. Soc. 2004, 126, 6164–6168. [Google Scholar] [CrossRef]
- Ho, C.H.; Tsai, C.P.; Chung, C.C.; Tsai, C.Y.; Chen, F.R.; Lin, H.J.; Lai, C.H. Shape-Controlled Growth and Shape-Dependent Cation Site Occupancy of Monodisperse Fe3O4 Nanoparticles. Chem. Mater. 2011, 23, 1753–1760. [Google Scholar] [CrossRef]
- Ramos-Guivar, J.A.; Flores-Cano, D.A.; Passamani, E.C. Differentiating Nanomaghemite and Nanomagnetite and Discussing Their Importance in Arsenic and Lead Removal from Contaminated Effluents: A Critical Review. Nanomaterials 2021, 11, 2310. [Google Scholar] [CrossRef]
- Batlle, X.; Pérez, N.; Guardia, P.; Iglesias, O.; Labarta, A.; Bartolomé, F.; Garca, L.M.; Bartolomé, J.; Roca, A.G.; Morales, M.P.; et al. Magnetic Nanoparticles with Bulklike Properties (Invited). J. Appl. Phys. 2011, 109, 07B524. [Google Scholar] [CrossRef]
- Daou, T.J.; Grenèche, J.M.; Pourroy, G.; Buathong, S.; Derory, A.; Ulhaq-Bouillet, C.; Donnio, B.; Guillon, D.; Begin-Colin, S. Coupling Agent Effect on Magnetic Properties of Functionalized Magnetite-Based Nanoparticles. Chem. Mater. 2008, 20, 5869–5875. [Google Scholar] [CrossRef]
- Roca, A.G.; Marco, J.F.; Del Puerto Morales, M.; Serna, C.J. Effect of Nature and Particle Size on Properties of Uniform Magnetite and Maghemite Nanoparticles. J. Phys. Chem. C 2007, 111, 18577–18584. [Google Scholar] [CrossRef]
- Nader, K.; Castellanos-Rubio, I.; Orue, I.; Iglesias-Rojas, D.; Barón, A.; de Muro, I.G.; Lezama, L.; Insausti, M. Getting Insight into How Iron(III) Oleate Precursors Affect the Features of Magnetite Nanoparticles. J. Solid State Chem. 2022, 316, 123619. [Google Scholar] [CrossRef]
- Stoner, E.C.; Wohlfarth, E.P. A Mechanism of Magnetic Hysteresis in Heterogeneous Alloys. Philos. Trans. R. Soc. Lond. Ser. A Math. Phys. Sci. 1948, 240, 599–642. [Google Scholar] [CrossRef]
- Brown, W.F. Thermal Fluctuations of a Single-Domain Particle. Phys. Rev. 1963, 130, 1677–1686. [Google Scholar] [CrossRef]
- Yusoff, A.H.M.; Salimi, M.N.; Jamlos, M.F. A Review: Synthetic Strategy Control of Magnetite Nanoparticles Production. Adv. Nano Res. 2018, 6, 1–19. [Google Scholar] [CrossRef]
- Senn, M.S.; Wright, J.P.; Attfield, J.P. Charge Order and Three-Site Distortions in the Verwey Structure of Magnetite. Nature 2012, 481, 173–176. [Google Scholar] [CrossRef]
- Miyazaki, T.; Jin, H. The Physics of Ferromagnetism; Springer: Berlin/Heidelberg, Germany, 2012; Volume 158. [Google Scholar] [CrossRef]
- Ramos Guivar, J.A.; Morales, M.A.; Litterst, F.J. Suppression of exchange bias effect in maghemite nanoparticles functionalized with H2 Y. J. Mag. Mag. Mat. 2016, 420, 324–325. [Google Scholar] [CrossRef]
- Salado, J.; Insausti, M.; Lezama, L.; Gil De Muro, I.; Goikolea, E.; Rojo, T. Preparation and Characterization of Monodisperse Fe3O4 Nanoparticles: An Electron Magnetic Resonance Study. Chem. Mater. 2011, 23, 2879–2885. [Google Scholar] [CrossRef]
- Ramos Guivar, J.A.; Sanches, E.A.; Magon, C.J.; Ramos Fernandes, E.G. Preparation and characterization of cetyltrimethylammonium bromide (CTAB)-stabilized Fe3O4 nanoparticles for electrochemistry detection of citric acid. J. Electrochanal. Chem. 2015, 755, 158–166. [Google Scholar] [CrossRef]
- Arriortua, O.K.; Insausti, M.; Lezama, L.; Gil de Muro, I.; Garaio, E.; de la Fuente, J.M.; Fratila, R.M.; Morales, M.P.; Costa, R.; Eceiza, M.; et al. RGD-Functionalized Fe3O4 Nanoparticles for Magnetic Hyperthermia. Colloids Surf. B Biointerfaces 2018, 165, 315–324. [Google Scholar] [CrossRef]
- Kim, G.-M.; Wutzler, A.; Radusch, H.-J.; Michler, G.H.; Simon, P.; Sperling, R.A.; Parak, W.J. One-Dimensional Arrangement of Gold Nanoparticles by Electrospinning. Chem. Mater. 2005, 7, 4949–4957. [Google Scholar] [CrossRef]
- Etxebeste-Mitxeltorena, M.; Plano, D.; Espuelas, S.; Moreno, E.; Aydillo, C.; Jiménez-Ruiz, A.; Soriano, J.C.G.; Sanmartín, C. New Amides Containing Selenium as Potent Leishmanicidal Agents Targeting Trypanothione Reductase. Antimicrob. Agents Chemother. 2021, 65, e00524-20. [Google Scholar] [CrossRef]
- Jin, Z.; Du, L.; Zhang, C.; Sugiyama, Y.; Wang, W.; Palui, G.; Wang, S.; Mattoussi, H. Modification of Poly(Maleic Anhydride)-Based Polymers with H2N−R Nucleophiles: Addition or Substitution Reaction? Bioconjugate Chem. 2019, 30, 871–880. [Google Scholar] [CrossRef]
- Ambrožič, G.; Škapin, S.D.; Žigon, M.; Orel, Z.C. The Synthesis of Zinc Oxide Nanoparticles from Zinc Acetylacetonate Hydrate and 1-Butanol or Isobutanol. J. Colloid Interface Sci. 2010, 346, 317–323. [Google Scholar] [CrossRef]
- Rivet, C.J.; Yuan, Y.; Borca-Tasciuc, D.A.; Gilbert, R.J. Altering Iron Oxide Nanoparticle Surface Properties Induce Cortical Neuron Cytotoxicity. Chem. Res. Toxicol. 2011, 25, 153–161. [Google Scholar] [CrossRef]
- Ge, Y.; Zhang, Y.; Xia, J.; Ma, M.; He, S.; Nie, F.; Gu, N. Effect of Surface Charge and Agglomerate Degree of Magnetic Iron Oxide Nanoparticles on KB Cellular Uptake in Vitro. Colloids Surf. B Biointerfaces 2009, 73, 294–301. [Google Scholar] [CrossRef]
- Pardo, A.; Pelaz, B.; Gallo, J.; Bañobre-López, M.; Parak, W.J.; Barbosa, S.; Del Pino, P.; Taboada, P. Synthesis, Characterization, and Evaluation of Superparamagnetic Doped Ferrites as Potential Therapeutic Nanotools. Chem. Mater. 2020, 32, 2220–2231. [Google Scholar] [CrossRef]
- Illés, E.; Tombácz, E.; Szekeres, M.; Tóth, I.Y.; Szabó, Á.; Iván, B. Novel Carboxylated PEG-Coating on Magnetite Nanoparticles Designed for Biomedical Applications. J. Magn. Magn. Mater. 2015, 380, 132–139. [Google Scholar] [CrossRef]
- Tombácz, E.; Tóth, I.Y.; Nesztor, D.; Illés, E.; Hajdú, A.; Szekeres, M.; Vékás, L. Adsorption of Organic Acids on Magnetite Nanoparticles, PH-Dependent Colloidal Stability and Salt Tolerance. Colloids Surf. A Physicochem. Eng. Asp. 2013, 435, 91–96. [Google Scholar] [CrossRef]
- Szekeres, M.; Tóth, I.Y.; Illés, E.; Hajdú, A.; Zupkó, I.; Farkas, K.; Oszlánczi, G.; Tiszlavicz, L.; Tombácz, E. Chemical and Colloidal Stability of Carboxylated Core-Shell Magnetite Nanoparticles Designed for Biomedical Applications. Int. J. Mol. Sci. 2013, 14, 14550–14574. [Google Scholar] [CrossRef]
- Gavilán, H.; Simeonidis, K.; Myrovali, E.; Mazarío, E.; Chubykalo-Fesenko, O.; Chantrell, R.; Balcells, L.; Angelakeris, M.; Morales, M.P.; Serantes, D. How size, shape and assembly of magnetic nanoparticles give rise to different hyperthermia scenarios. Nanoscale 2021, 13, 15631. [Google Scholar] [CrossRef] [PubMed]
- Kandasamy, G.; Maity, D. Recent advances in superparamagnetic iron oxide nanoparticles (SPIONs) for in vitro and in vivo cancer nanotheranostic. Int. J. Pharm. 2015, 496, 191–218. [Google Scholar] [CrossRef] [PubMed]
- Castellanos-Rubio, I.; Rodrigo, I.; Olazagoitia-Garmendia, A.; Arriortua, O.; Gil De Muro, I.; Garitaonandia, J.S.; Bilbao, J.R.; Fdez-Gubieda, M.L.; Plazaola, F.; Orue, I.; et al. Highly Reproducible Hyperthermia Response in Water, Agar, and Cellular Environment by Discretely PEGylated Magnetite Nanoparticles. ACS Appl. Mater. Interfaces 2020, 12, 27917–27929. [Google Scholar] [CrossRef] [PubMed]
- Noh, S.-h.; Moon, S.H.; Shin, T.-H.; Lim, Y.; Cheon, J. Recent Advances of magneto-thermal capabilities of nanoparticles: From design principles to biomedical applications. Nano Today 2017, 13, 61–76. [Google Scholar] [CrossRef]
- Obaidat, I.M.; Issa, B.; Haik, Y. Magnetic Properties of Magnetic Nanoparticles for Efficient Hyperthermia. Nanomaterials 2015, 5, 63–89. [Google Scholar] [CrossRef]
- Mehdaoui, B.; Tan, R.P.; Meffre, A.; Carrey, J.; Lachaize, S.; Chaudret, B.; Respaud, M. Increase of Magnetic Hyperthermia Efficiency Due to Dipolar Interactions in Low-Anisotropy Magnetic Nanoparticles: Theoretical and Experimental Results. Phys. Rev. B Condens. Matter Mater. Phys. 2013, 87, 174419. [Google Scholar] [CrossRef]
- Ramos-Guivar, J.A.; Morales, M.A.; Litterst, F.J. γ-Fe2O3 nanoparticles embedded in nanohydroxyapatite matrix for magnetic hyperthermia and in vitro osteoblast cell studies. Ceram. Int. 2020, 46, 10658–16666. [Google Scholar] [CrossRef]
- Saville, S.L.; Qi, B.; Baker, J.; Stone, R.; Camley, R.E.; Livesey, K.L.; Ye, L.; Crawford, T.M.; Thompson Mefford, O. The Formation of Linear Aggregates in Magnetic Hyperthermia: Implications on Specific Absorption Rate and Magnetic Anisotropy. J. Colloid Interface Sci. 2014, 424, 141–151. [Google Scholar] [CrossRef]
- Deatsch, A.E.; Evans, B.A. Heating efficiency in magnetic nanoparticle hyperthermia. J. Magn. Magn. Mater. 2014, 354, 163–172. [Google Scholar] [CrossRef]
- Pelaz, B.; Del Pino, P.; Maffre, P.; Hartmann, R.; Gallego, M.; Rivera-Fernández, S.; De La Fuente, J.M.; Nienhaus, G.U.; Parak, W.J. Surface Functionalization of Nanoparticles with Polyethylene Glycol: Effects on Protein Adsorption and Cellular Uptake. ACS Nano 2015, 9, 6996–7008. [Google Scholar] [CrossRef]
- Hossen, S.; Hossain, M.K.; Basher, M.K.; Mia, M.N.H.; Rahman, M.T.; Uddin, M.J. Smart Nanocarrier-Based Drug Delivery Systems for Cancer Therapy and Toxicity Studies: A Review. J. Adv. Res. 2019, 15, 1–18. [Google Scholar] [CrossRef]
- Moghimi, S.M.; Szebeni, J. Stealth Liposomes and Long Circulating Nanoparticles: Critical Issues in Pharmacokinetics, Opsonization and Protein-Binding Properties. Prog. Lipid Res. 2003, 42, 463–478. [Google Scholar] [CrossRef]
- Fernandes, A.P.; Gandin, V. Selenium Compounds as Therapeutic Agents in Cancer. Biochim. Biophys. Acta Gen. Subj. 2015, 1850, 1642–1660. [Google Scholar] [CrossRef]
- Collery, P. Strategies for the Development of Selenium-Based Anticancer Drugs. J. Trace Elem. Med. Biol. 2018, 50, 498–507. [Google Scholar] [CrossRef]
- Ali, W.; Álvarez-Pérez, M.; Marć, A.; Salardón-Jiménez, N.; Handzlik, J.; Domínguez-Álvarez, E. The Anticancer and Chemopreventive Activity of Selenocyanate-Containing Compounds. Curr. Pharmacol. Rep. 2018, 4, 468–481. [Google Scholar] [CrossRef]
- Etxebeste-Mitxeltorena, M.; Plano, D.; Astrain-Redín, N.; Morán-Serradilla, C.; Aydillo, C.; Encío, I.; Moreno, E.; Espuelas, S.; Sanmartín, C. New Amides and Phosphoramidates Containing Selenium: Studies on Their Cytotoxicity and Antioxidant Activities in Breast Cancer. Antioxidants 2021, 10, 590. [Google Scholar] [CrossRef]
- Schröterová, L.; Králová, V.; Voráčová, A.; Hašková, P.; Rudolf, E.; Červinka, M. Antiproliferative Effects of Selenium Compounds in Colon Cancer Cells: Comparison of Different Cytotoxicity Assays. Toxicol. Vitr. 2009, 23, 1406–1411. [Google Scholar] [CrossRef]
- Ma, X.; Hartmann, R.; Jimenez De Aberasturi, D.; Yang, F.; Soenen, S.J.H.; Manshian, B.B.; Franz, J.; Valdeperez, D.; Pelaz, B.; Feliu, N.; et al. Colloidal Gold Nanoparticles Induce Changes in Cellular and Subcellular Morphology. ACS Nano 2017, 11, 7807–7820. [Google Scholar] [CrossRef]
- Chen, R.; Christiansen, M.G.; Sourakov, A.; Mohr, A.; Matsumoto, Y.; Okada, S.; Jasanoff, A.; Anikeeva, P. High-Performance Ferrite Nanoparticles through Nonaqueous Redox Phase Tuning. Nano Lett. 2016, 16, 1345–1351. [Google Scholar] [CrossRef]
- Garaio, E.; Collantes, J.M.; Plazaola, F.; Garcia, J.A.; Castellanos-Rubio, I. A Multifrequency Eletromagnetic Applicator with an Integrated AC Magnetometer for Magnetic Hyperthermia Experiments. Meas. Sci. Technol. 2014, 25, 115702. [Google Scholar] [CrossRef]





| Sample | Iron(III) Oleate (mmol) | Oleic Acid (mmol) | ODE:DBE (mL) | Treflux (°C) | (311) Peak pos. (2θ) | DXRD (nm) | DTEM (nm) | % OM |
|---|---|---|---|---|---|---|---|---|
| Fe3O4_A | 5 | 10 | 10:10 | 304–295 | 35.661 | 11 ± 1 | 13 ± 1 | 12 |
| Fe3O4_B | 5 | 10 | 12:06 | 312–297 | 35.637 | 18 ± 1 | 18 ± 2 | 10 |
| Sample | DTEM (nm) | Ms RT (Am2kg−1) | Ms 5 K (Am2kg−1) | Mr/Ms 5 K | Hc 300 K (mT) | Hc 5 K (mT) | ΔHpp (Gauss) | |
|---|---|---|---|---|---|---|---|---|
| Fe3O4_A | 13 ± 1 | 78 | 113 | 0.31 | 0.26 | 18 | 3.66 | 304 |
| Fe3O4_B | 18 ± 2 | 92 | 108 | 0.43 | 0.75 | 40 | 3.32 | 458 |
| Sample | Fe Content ng/mL | Se Content ng/mL | Number of Drug Molecules/NP | Dwater (nm) | DPBS (nm) | ζ (mV) |
|---|---|---|---|---|---|---|
| Fe3O4_A@PD | 3987 | <0.1 | - | 52 ± 19 | 36 ± 6 | −49 |
| Fe3O4_A@PD–PEG12.5% | 3505 | <0.1 | - | 54 ± 6 | 58 ± 1 | −41 |
| Fe3O4_A@PD–EM102 | 4971 | 33 | 349 | 34 ± 14 | 32 ± 7 | −50 |
| Fe3O4_A@PD–EM102–PEG | 4613 | 10.8 | 123 | 55 ± 8 | 49 ± 12 | −45 |
| Fe3O4_B@PD | 3676 | <0.1 | - | 100 ± 29 | 71 ± 30 | −50 |
| Fe3O4_B@PD–PEG25% | 3835 | <0.1 | - | 62 ± 17 | 46 ± 19 | −43 |
| Fe3O4_B@PD–EM102 | 4162 | 6.8 | 63 | 48 ± 8 | 45 ± 2 | −51 |
| Fe3O4_B@PD–EM102–PEG | 5084 | 20.5 | 154 | 73 ± 15 | 45 ± 18 | −47 |
Disclaimer/Publisher’s Note: The statements, opinions and data contained in all publications are solely those of the individual author(s) and contributor(s) and not of MDPI and/or the editor(s). MDPI and/or the editor(s) disclaim responsibility for any injury to people or property resulting from any ideas, methods, instructions or products referred to in the content. |
© 2023 by the authors. Licensee MDPI, Basel, Switzerland. This article is an open access article distributed under the terms and conditions of the Creative Commons Attribution (CC BY) license (https://creativecommons.org/licenses/by/4.0/).
Share and Cite
Galarreta-Rodriguez, I.; Etxebeste-Mitxeltorena, M.; Moreno, E.; Plano, D.; Sanmartín, C.; Megahed, S.; Feliu, N.; Parak, W.J.; Garaio, E.; Gil de Muro, I.; et al. Preparation of Selenium-Based Drug-Modified Polymeric Ligand-Functionalised Fe3O4 Nanoparticles as Multimodal Drug Carrier and Magnetic Hyperthermia Inductor. Pharmaceuticals 2023, 16, 949. https://doi.org/10.3390/ph16070949
Galarreta-Rodriguez I, Etxebeste-Mitxeltorena M, Moreno E, Plano D, Sanmartín C, Megahed S, Feliu N, Parak WJ, Garaio E, Gil de Muro I, et al. Preparation of Selenium-Based Drug-Modified Polymeric Ligand-Functionalised Fe3O4 Nanoparticles as Multimodal Drug Carrier and Magnetic Hyperthermia Inductor. Pharmaceuticals. 2023; 16(7):949. https://doi.org/10.3390/ph16070949
Chicago/Turabian StyleGalarreta-Rodriguez, Itziar, Mikel Etxebeste-Mitxeltorena, Esther Moreno, Daniel Plano, Carmen Sanmartín, Saad Megahed, Neus Feliu, Wolfgang J. Parak, Eneko Garaio, Izaskun Gil de Muro, and et al. 2023. "Preparation of Selenium-Based Drug-Modified Polymeric Ligand-Functionalised Fe3O4 Nanoparticles as Multimodal Drug Carrier and Magnetic Hyperthermia Inductor" Pharmaceuticals 16, no. 7: 949. https://doi.org/10.3390/ph16070949
APA StyleGalarreta-Rodriguez, I., Etxebeste-Mitxeltorena, M., Moreno, E., Plano, D., Sanmartín, C., Megahed, S., Feliu, N., Parak, W. J., Garaio, E., Gil de Muro, I., Lezama, L., Ruiz de Larramendi, I., & Insausti, M. (2023). Preparation of Selenium-Based Drug-Modified Polymeric Ligand-Functionalised Fe3O4 Nanoparticles as Multimodal Drug Carrier and Magnetic Hyperthermia Inductor. Pharmaceuticals, 16(7), 949. https://doi.org/10.3390/ph16070949

