Evaluation of Brain Targeting and Antipsychotic Activity of Nasally Administrated Ziprasidone Lipid–Polymer Hybrid Nanocarriers
Abstract
1. Introduction
2. Results and Discussion
2.1. Preparation and Characterization of Ziprasidone Lipid–Polymer Hybrid (ZP-LPH)
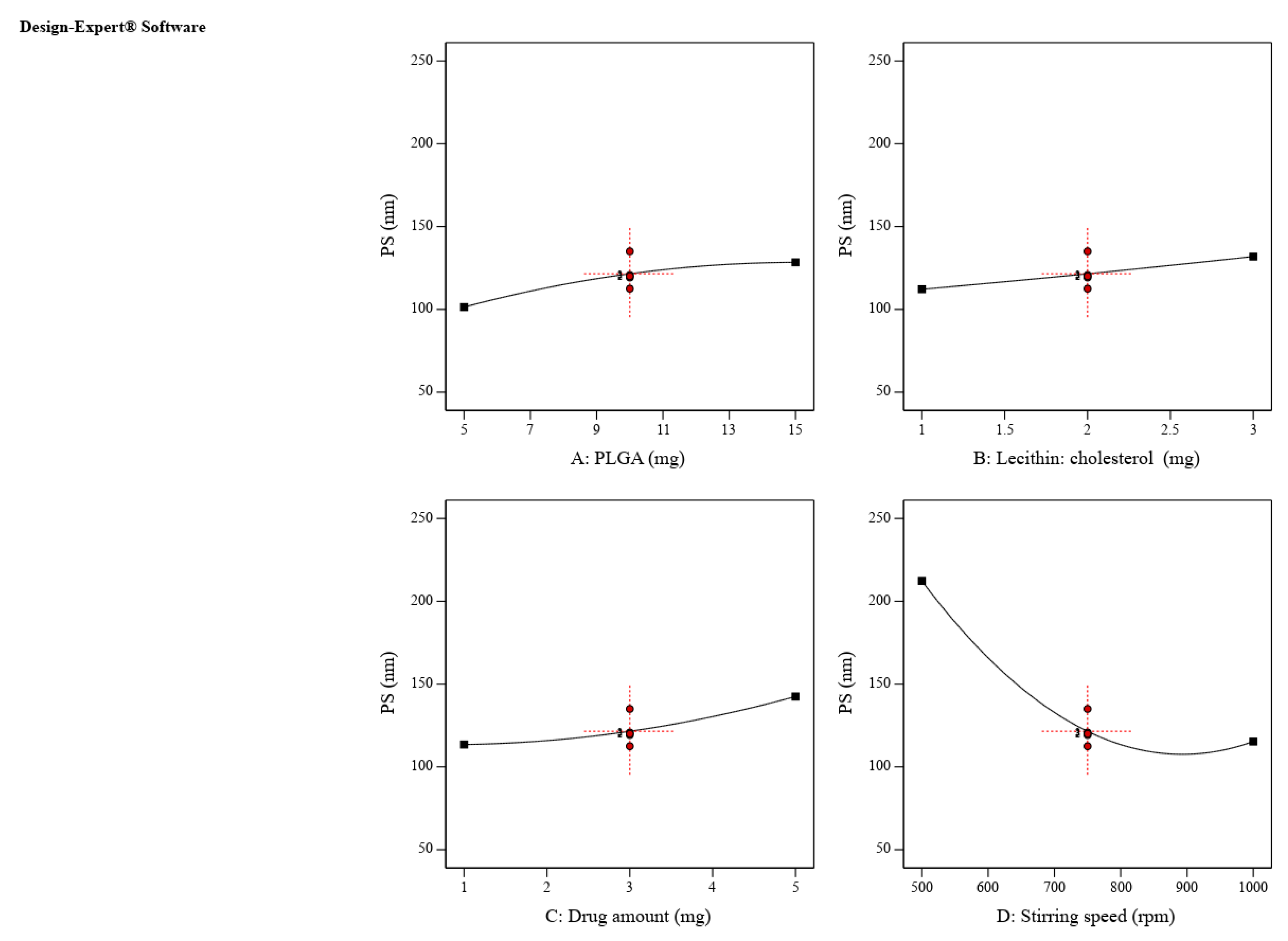
2.2. Design Space and Optimization of ZP-LPH
2.3. Morphological Structure of the Optimized Selected ZP-LPH
2.4. In Vitro Drug-Release Study
2.5. In Vitro Cytotoxicity
2.6. In Vivo Study
2.7. Pharmacodynamic Study
2.7.1. Paw Test
2.7.2. Open Field Test
3. Materials and Methods
3.1. Materials
3.2. Formulation and Evaluation of Ziprasidone Lipid–Polymer Hybrid (ZP-LPH)
3.3. Box–Behnken Design (BBD) Experimentation and Implementation
3.4. Characterization of the Ziprasidone Lipid–Polymer Hybrid (ZP-LPH)
3.4.1. Particle Size, Polydispersity Index (PDI) and Z-Potential Analysis (ZP)
3.4.2. Entrapment Efficiency Percentage (EE%) and Loading Efficiency (LE%)
3.4.3. Transmission Electron Microscopy (TEM)
3.4.4. In Vitro Drug Release
3.5. In Vitro Cytotoxicity
3.6. In Vivo Studies of the Selected Formula
3.7. Pharmacodynamics Studies
3.7.1. Paw Test
3.7.2. Open Field Test in Schizophrenia Rat Model
3.8. Statistical Analysis
4. Conclusions
Supplementary Materials
Author Contributions
Funding
Institutional Review Board Statement
Informed Consent Statement
Data Availability Statement
Acknowledgments
Conflicts of Interest
References
- Anderson, K.K. Towards a public health approach to psychotic disorders. Lancet Public Health 2019, 4, e212–e213. [Google Scholar] [CrossRef]
- Gauniya, A.; Mazumder, R.; Pathak, K. Formulation, optimization and characterization of ziprasidone nanocrystals prepared by media milling technique. Int. J. Pharm. Pharm. Sci 2015, 7, 146–150. [Google Scholar]
- Lally, J.; MacCabe, J.H. Antipsychotic medication in schizophrenia: A review. Br. Med. Bull. 2015, 114, 169–179. [Google Scholar] [CrossRef]
- Upadhyay, R.K. Drug delivery systems, CNS protection, and the blood brain barrier. BioMed Res. Int. 2014, 2014. [Google Scholar] [CrossRef]
- Khawli, L.A.; Prabhu, S. Drug delivery across the blood–brain barrier. Mol. Pharm. 2013, 10, 1471–1472. [Google Scholar] [CrossRef] [PubMed]
- Abdel-Bar, H.M.; Abdel-Reheem, A.Y.; Awad, G.A.; Mortada, N.D. Evaluation of brain targeting and mucosal integrity of nasally administrated nanostructured carriers of a CNS active drug, clonazepam. J. Pharm. Pharm. Sci. 2013, 16, 456–469. [Google Scholar] [CrossRef] [PubMed]
- Abo El-Enin, H.A.; Ahmed, M.F.; Naguib, I.A.; El-Far, S.W.; Ghoneim, M.M.; Alsalahat, I.; Abdel-Bar, H.M. Utilization of Polymeric Micelles as a Lucrative Platform for Efficient Brain Deposition of Olanzapine as an Antischizophrenic Drug via Intranasal Delivery. Pharmaceuticals 2022, 15, 249. [Google Scholar] [CrossRef] [PubMed]
- Graff, C.L.; Pollack, G.M. Nasal drug administration: Potential for targeted central nervous system delivery. J. Pharm. Sci. 2005, 94, 1187–1195. [Google Scholar] [CrossRef]
- Cho, M.; So, I.; Chun, J.N.; Jeon, J.-H. The antitumor effects of geraniol: Modulation of cancer hallmark pathways. Int. J. Oncol. 2016, 48, 1772–1782. [Google Scholar] [CrossRef]
- Truzzi, E.; Rustichelli, C.; de Oliveira Junior, E.R.; Ferraro, L.; Maretti, E.; Graziani, D.; Botti, G.; Beggiato, S.; Iannuccelli, V.; Lima, E.M. Nasal biocompatible powder of geraniol oil complexed with cyclodextrins for neurodegenerative diseases: Physicochemical characterization and in vivo evidences of nose to brain delivery. J. Control. Release 2021, 335, 191–202. [Google Scholar] [CrossRef]
- Su, Y.; Sun, B.; Gao, X.; Dong, X.; Fu, L.; Zhang, Y.; Li, Z.; Wang, Y.; Jiang, H.; Han, B. Intranasal delivery of targeted nanoparticles loaded with miR-132 to brain for the treatment of neurodegenerative diseases. Front. Pharmacol. 2020, 11, 1165. [Google Scholar] [CrossRef] [PubMed]
- Talegaonkar, S.; Mishra, P. Intranasal delivery: An approach to bypass the blood brain barrier. Indian J. Pharmacol. 2004, 36, 140. [Google Scholar]
- Mistry, A.; Stolnik, S.; Illum, L. Nanoparticles for direct nose-to-brain delivery of drugs. Int. J. Pharm. 2009, 379, 146–157. [Google Scholar] [CrossRef]
- Mistry, A.; Stolnik, S.; Illum, L. Nose-to-brain delivery: Investigation of the transport of nanoparticles with different surface characteristics and sizes in excised porcine olfactory epithelium. Mol. Pharm. 2015, 12, 2755–2766. [Google Scholar] [CrossRef]
- Gieszinger, P.; Tomuta, I.; Casian, T.; Bartos, C.; Szabó-Révész, P.; Ambrus, R. Definition and validation of the Design Space for co-milled nasal powder containing nanosized lamotrigine. Drug Dev. Ind. Pharm. 2018, 44, 1622–1630. [Google Scholar] [CrossRef]
- Abd-Algaleel, S.A.; Metwally, A.A.; Abdel-Bar, H.M.; Kassem, D.H.; Hathout, R.M. Synchronizing in silico, in vitro, and in vivo studies for the successful nose to brain delivery of an anticancer molecule. Mol. Pharm. 2021, 18, 3763–3776. [Google Scholar] [CrossRef]
- Zhang, L.; Chan, J.M.; Gu, F.X.; Rhee, J.-W.; Wang, A.Z.; Radovic-Moreno, A.F.; Alexis, F.; Langer, R.; Farokhzad, O.C. Self-assembled lipid−polymer hybrid nanoparticles: A robust drug delivery platform. ACS Nano 2008, 2, 1696–1702. [Google Scholar] [CrossRef] [PubMed]
- Omar, S.H.; Osman, R.; Mamdouh, W.; Abdel-Bar, H.M.; Awad, G.A. Bioinspired lipid-polysaccharide modified hybrid nanoparticles as a brain-targeted highly loaded carrier for a hydrophilic drug. Int. J. Biol. Macromol. 2020, 165, 483–494. [Google Scholar] [CrossRef] [PubMed]
- Shah, S.; Famta, P.; Raghuvanshi, R.S.; Singh, S.B.; Srivastava, S. Lipid polymer hybrid nanocarriers: Insights into synthesis aspects, characterization, release mechanisms, surface functionalization and potential implications. Colloid Interface Sci. Commun. 2022, 46, 100570. [Google Scholar] [CrossRef]
- Abdel-Bar, H.M.; Walters, A.A.; Wang, J.T.W.; Al-Jamal, K.T. Combinatory delivery of etoposide and siCD47 in a lipid polymer hybrid delays lung tumor growth in an experimental melanoma lung metastatic model. Adv. Healthc. Mater. 2021, 10, 2001853. [Google Scholar] [CrossRef]
- Mukherjee, A.; Waters, A.K.; Kalyan, P.; Achrol, A.S.; Kesari, S.; Yenugonda, V.M. Lipid–polymer hybrid nanoparticles as a next-generation drug delivery platform: State of the art, emerging technologies, and perspectives. Int. J. Nanomed. 2019, 14, 1937. [Google Scholar] [CrossRef]
- Garcia-Garcia, P.; Briffault, E.; Landin, M.; Evora, C.; Diaz-Rodriguez, P.; Delgado, A. Tailor-made oligonucleotide-loaded lipid-polymer nanosystems designed for bone gene therapy. Drug Deliv. Transl. Res. 2021, 11, 598–607. [Google Scholar] [CrossRef] [PubMed]
- Tahir, N.; Madni, A.; Li, W.; Correia, A.; Khan, M.M.; Rahim, M.A.; Santos, H.A. Microfluidic fabrication and characterization of Sorafenib-loaded lipid-polymer hybrid nanoparticles for controlled drug delivery. Int. J. Pharm. 2020, 581, 119275. [Google Scholar] [CrossRef] [PubMed]
- Aboelela, S.S.; Ibrahim, M.; Badruddoza, A.Z.M.; Tran, V.; Ferri, J.K.; Roper, T.D. Encapsulation of a highly hydrophilic drug in polymeric particles: A comparative study of batch and microfluidic processes. Int. J. Pharm. 2021, 606, 120906. [Google Scholar] [CrossRef] [PubMed]
- Tahir, N.; Madni, A.; Balasubramanian, V.; Rehman, M.; Correia, A.; Kashif, P.M.; Mäkilä, E.; Salonen, J.; Santos, H.A. Development and optimization of methotrexate-loaded lipid-polymer hybrid nanoparticles for controlled drug delivery applications. Int. J. Pharm. 2017, 533, 156–168. [Google Scholar] [CrossRef] [PubMed]
- Gajra, B.; Patel, R.R.; Dalwadi, C. Formulation, optimization and characterization of cationic polymeric nanoparticles of mast cell stabilizing agent using the Box–Behnken experimental design. Drug Dev Ind Pharm. 2016, 42, 747–757. [Google Scholar] [CrossRef] [PubMed]
- Morales-Cruz, M.; Flores-Fernandez, G.M.; Morales-Cruz, M.; Orellano, E.A.; Rodriguez-Martinez, J.A.; Ruiz, M.; Griebenow, K. Two-step nanoprecipitation for the production of protein-loaded PLGA nanospheres. Results Pharma Sci. 2012, 2, 79–85. [Google Scholar] [CrossRef]
- Lalani, J.; Patil, S.; Kolate, A.; Lalani, R.; Misra, A. Protein-functionalized PLGA nanoparticles of lamotrigine for neuropathic pain management. AAPS PharmSciTech 2015, 16, 413–427. [Google Scholar] [CrossRef]
- Dizaj, S.M.; Lotfipour, F.; Barzegar-Jalali, M.; Zarrintan, M.-H.; Adibkia, K. Box-Behnken experimental design for preparation and optimization of ciprofloxacin hydrochloride-loaded CaCO3 nanoparticles. J. Drug Deliv. Sci. Technol. 2015, 29, 125–131. [Google Scholar] [CrossRef]
- Hamdi, M.; Abdel-Bar, H.M.; Elmowafy, E.; Al-Jamal, K.T.; Awad, G.A. An integrated vitamin E-coated polymer hybrid nanoplatform: A lucrative option for an enhanced in vitro macrophage retention for an anti-hepatitis B therapeutic prospect. PLoS ONE 2020, 15, e0227231. [Google Scholar] [CrossRef]
- Devrim, B.; Kara, A.; Vural, İ.; Bozkır, A. Lysozyme-loaded lipid-polymer hybrid nanoparticles: Preparation, characterization and colloidal stability evaluation. Drug Dev. Ind. Pharm. 2016, 42, 1865–1876. [Google Scholar] [CrossRef]
- Zhou, X.; Chen, Z. Preparation and performance evaluation of emulsomes as a drug delivery system for silybin. Arch. Pharmacal Res. 2015, 38, 2193–2200. [Google Scholar] [CrossRef]
- Massella, D.; Celasco, E.; Salaün, F.; Ferri, A.; Barresi, A.A. Overcoming the limits of flash nanoprecipitation: Effective loading of hydrophilic drug into polymeric nanoparticles with controlled structure. Polymers 2018, 10, 1092. [Google Scholar] [CrossRef] [PubMed]
- Hallan, S.S.; Kaur, P.; Kaur, V.; Mishra, N.; Vaidya, B. Lipid polymer hybrid as emerging tool in nanocarriers for oral drug delivery. Artif. Cells Nanomed. Biotechnol. 2016, 44, 334–349. [Google Scholar] [CrossRef] [PubMed]
- Müller, R.H. Colloidal Carriers for Controlled Drug Delivery and Targeting: Modification, Characterization and In Vivo Distribution; Taylor & Francis: Abingdon, UK, 1991. [Google Scholar]
- Sonvico, F.; Cagnani, A.; Rossi, A.; Motta, S.; Di Bari, M.; Cavatorta, F.; Alonso, M.; Deriu, A.; Colombo, P. Formation of self-organized nanoparticles by lecithin/chitosan ionic interaction. Int. J. Pharm. 2006, 324, 67–73. [Google Scholar] [CrossRef] [PubMed]
- Khater, S.E.; El-Khouly, A.; Abdel-Bar, H.M.; Al-Mahallawi, A.M.; Ghorab, D.M. Fluoxetine hydrochloride loaded lipid polymer hybrid nanoparticles showed possible efficiency against SARS-CoV-2 infection. Int. J. Pharm. 2021, 607, 121023. [Google Scholar] [CrossRef] [PubMed]
- Mandal, S.D.; Mandal, S.; Patel, J. Brain targeting efficiency of Curcumin loaded mucoadhesive microemulsion through intranasal route. J. Pharm. Investig. 2016, 46, 179–188. [Google Scholar] [CrossRef]
- Date, T.; Nimbalkar, V.; Kamat, J.; Mittal, A.; Mahato, R.I.; Chitkara, D. Lipid-polymer hybrid nanocarriers for delivering cancer therapeutics. J. Control. Release 2018, 271, 60–73. [Google Scholar] [CrossRef]
- Gieszinger, P.; Stefania Csaba, N.; Garcia-Fuentes, M.; Prasanna, M.; Gáspár, R.; Sztojkov-Ivanov, A.; Ducza, E.; Márki, Á.; Janáky, T.; Kecskeméti, G.; et al. Preparation and characterization of lamotrigine containing nanocapsules for nasal administration. Eur. J. Pharm. Biopharm. 2020, 153, 177–186. [Google Scholar] [CrossRef]
- Ishak, R.A.; Mostafa, N.M.; Kamel, A.O. Stealth lipid polymer hybrid nanoparticles loaded with rutin for effective brain delivery–comparative study with the gold standard (Tween 80): Optimization, characterization and biodistribution. Drug Deliv. 2017, 24, 1874–1890. [Google Scholar] [CrossRef]
- Batool, A.; Arshad, R.; Razzaq, S.; Nousheen, K.; Kiani, M.H.; Shahnaz, G. Formulation and evaluation of hyaluronic acid-based mucoadhesive self nanoemulsifying drug delivery system (SNEDDS) of tamoxifen for targeting breast cancer. Int. J. Biol. Macromol. 2020, 152, 503–515. [Google Scholar] [CrossRef] [PubMed]
- Wünsch, A.; Mulac, D.; Langer, K. Lecithin coating as universal stabilization and functionalization strategy for nanosized drug carriers to overcome the blood–brain barrier. Int. J. Pharm. 2021, 593, 120146. [Google Scholar] [CrossRef]
- Kumar, A.; Pandey, A.N.; Jain, S.K. Nasal-nanotechnology: Revolution for efficient therapeutics delivery. Drug Deliv. 2016, 23, 671–683. [Google Scholar] [CrossRef] [PubMed]
- Lee, D.; Minko, T. Nanotherapeutics for Nose-to-Brain Drug Delivery: An Approach to Bypass the Blood Brain Barrier. Pharmaceutics 2021, 13, 2049. [Google Scholar] [CrossRef] [PubMed]
- Miyakawa, T.; Leiter, L.M.; Gerber, D.J.; Gainetdinov, R.R.; Sotnikova, T.D.; Zeng, H.; Caron, M.G.; Tonegawa, S. Conditional calcineurin knockout mice exhibit multiple abnormal behaviors related to schizophrenia. Proc. Natl. Acad. Sci. USA 2003, 100, 8987–8992. [Google Scholar] [CrossRef] [PubMed]
- Holthoewer, D.; Kirschbaum, K.; Frisch, J.; Hiemke, C.; Schmitt, U. Pharmacodynamic effects of aripiprazole and ziprasidone with respect to p-glycoprotein substrate properties. Pharmacopsychiatry 2013, 46, 175–180. [Google Scholar] [CrossRef]
- Schmidt, A.W.; Lebel, L.A.; Howard, H.R.; Zorn, S.H. Ziprasidone: A novel antipsychotic agent with a unique human receptor binding profile. Eur. J. Pharmacol. 2001, 425, 197–201. [Google Scholar] [CrossRef]
- Stip, E.; Zhornitsky, S.; Moteshafi, H.; Létourneau, G.; Stikarovska, I.; Potvin, S.; Tourjman, V. Ziprasidone for psychotic disorders: A meta-analysis and systematic review of the relationship between pharmacokinetics, pharmacodynamics, and clinical profile. Clin. Ther. 2011, 33, 1853–1867. [Google Scholar] [CrossRef]
- Ellenbroek, B. Treatment of schizophrenia: A clinical and preclinical evaluation of neuroleptic drugs. Pharmacol. Ther. 1993, 57, 1–78. [Google Scholar] [CrossRef]
- Ellenbroek, B.; Cools, A.R. The PAW test: An animal model for neuroleptic drugs which fulfils the criteria for pharmacological isomorphism. Life Sci. 1988, 42, 1205–1213. [Google Scholar] [CrossRef]
- Van den Buuse, M.; de Jong, W. Differential effects of dopaminergic drugs on open-field behavior of spontaneously hypertensive rats and normotensive Wistar-Kyoto rats. J. Pharmacol. Exp. Ther. 1989, 248, 1189–1196. [Google Scholar] [PubMed]
- Brisch, R.; Saniotis, A.; Wolf, R.; Bielau, H.; Bernstein, H.-G.; Steiner, J.; Bogerts, B.; Braun, K.; Jankowski, Z.; Kumaratilake, J. The role of dopamine in schizophrenia from a neurobiological and evolutionary perspective: Old fashioned, but still in vogue. Front. Psychiatry 2014, 5, 47. [Google Scholar] [PubMed]
- Briones-Aranda, A.; Suárez-Santiago, J.E.; Picazo, O.; Castellanos-Pérez, M. Effect of ketamine administration, alone and in combination with E-6837, on climbing behavior. Behav. Pharmacol. 2016, 27, 485–488. [Google Scholar] [CrossRef]
- Hirst, W.D.; Stean, T.O.; Rogers, D.C.; Sunter, D.; Pugh, P.; Moss, S.F.; Bromidge, S.M.; Riley, G.; Smith, D.R.; Bartlett, S. SB-399885 is a potent, selective 5-HT6 receptor antagonist with cognitive enhancing properties in aged rat water maze and novel object recognition models. Eur. J. Pharmacol. 2006, 553, 109–119. [Google Scholar] [CrossRef] [PubMed]
- Ben-Azu, B.; Aderibigbe, A.O.; Ajayi, A.M.; Iwalewa, E.O. Neuroprotective effects of the ethanol stem bark extracts of Terminalia ivorensis in ketamine-induced schizophrenia-like behaviors and oxidative damage in mice. Pharm. Biol. 2016, 54, 2871–2879. [Google Scholar] [CrossRef]
- Emami, J.; Boushehri, M.S.; Varshosaz, J. Preparation, characterization and optimization of glipizide controlled release nanoparticles. Res. Pharm. Sci. 2014, 9, 301. [Google Scholar]
- Marghade, S.; Musmade, P.B.; Moorkoth, S. High-performance liquid chromatographic assay for ziprasidone in plasma samples: Application to pharmacokinetic studies in rats. J. Chromatogr. Sci. 2012, 50, 902–908. [Google Scholar] [CrossRef]
- Utomo, E.; Domínguez-Robles, J.; Moreno-Castellanos, N.; Stewart, S.A.; Picco, C.J.; Anjani, Q.K.; Simón, J.A.; Peñuelas, I.; Donnelly, R.F.; Larrañeta, E. Development of intranasal implantable devices for schizophrenia treatment. Int. J. Pharm. 2022, 624, 122061. [Google Scholar] [CrossRef]
- Hu, X.; Yang, F.-F.; Liu, C.-Y.; Ehrhardt, C.; Liao, Y.-H. In vitro uptake and transport studies of PEG-PLGA polymeric micelles in respiratory epithelial cells. Eur. J. Pharm. Biopharm. 2017, 114, 29–37. [Google Scholar] [CrossRef]
- Fukami, J.; Ozawa, A.; Yoshihashi, Y.; Yonemochi, E.; Terada, K. Development of fast disintegrating compressed tablets using amino acid as disintegratation accelerator: Evaluation of wetting and disintegration of tablet on the basis of surface free energy. Chem. Pharm. Bull. 2005, 53, 1536–1539. [Google Scholar] [CrossRef]
- Costantino, H.R.; Illum, L.; Brandt, G.; Johnson, P.H.; Quay, S.C. Intranasal delivery: Physicochemical and therapeutic aspects. Int. J. Pharm. 2007, 337, 1–24. [Google Scholar] [CrossRef] [PubMed]
- Abo El-Enin, H.A.; Mostafa, R.E.; Ahmed, M.F.; Naguib, I.A.; Abdelgawad, M.A.; Ghoneim, M.M.; Abdou, E.M. Assessment of Nasal-Brain-Targeting Efficiency of New Developed Mucoadhesive Emulsomes Encapsulating an Anti-Migraine Drug for Effective Treatment of One of the Major Psychiatric Disorders Symptoms. Pharmaceutics 2022, 14, 410. [Google Scholar] [CrossRef] [PubMed]
- Ellenbroek, B.A.; Peeters, B.; Honig, W.; Cools, A. The paw test: A behavioural paradigm for differentiating between classical and atypical neuroleptic drugs. Psychopharmacology 1987, 93, 343–348. [Google Scholar] [CrossRef] [PubMed]
- Powell, C.M.; Miyakawa, T. Schizophrenia-relevant behavioral testing in rodent models: A uniquely human disorder? Biol. Psychiatry 2006, 59, 1198–1207. [Google Scholar] [CrossRef]
- Pitsikas, N.; Georgiadou, G.; Delis, F.; Antoniou, K. Effects of Anesthetic Ketamine on Anxiety-Like Behaviour in Rats. Neurochem. Res. 2019, 44, 829–838. [Google Scholar] [CrossRef]









| Run | Critical Process Parameters (CPPs) | Critical Quality Attributes (CQAs) | ||||
|---|---|---|---|---|---|---|
| A: PLGA (mg) | B: Lecithin: Cholesterol (mg) | C: Drug Amount (mg) | D: Stirring Speed (rpm) | Particle Size (nm) a,c | EE% b,c | |
| 1 | 10 | 2 | 3 | 750 | 112.5 ± 3.25 | 77.11 ± 1.41 |
| 2 | 15 | 2 | 5 | 750 | 161.25 ± 1.84 | 94.70 ± 2.45 |
| 3 | 10 | 2 | 5 | 500 | 232.50 ± 3.52 | 87.90 ± 3.25 |
| 4 | 10 | 3 | 3 | 1000 | 123.75 ± 5.11 | 91.36 ± 1.25 |
| 5 | 10 | 2 | 3 | 750 | 120 ± 4.11 | 83.06 ± 3.97 |
| 6 | 10 | 2 | 3 | 750 | 120.75 ± 3.54 | 85.16 ± 4.11 |
| 7 | 10 | 1 | 3 | 1000 | 102.75 ± 1.55 | 93.46 ± 2.45 |
| 8 | 10 | 2 | 3 | 750 | 119.25 ± 3.47 | 83.43 ± 1.95 |
| 9 | 5 | 2 | 1 | 750 | 100.50 ± 1.97 | 46.66 ± 2.36 |
| 10 | 15 | 2 | 3 | 500 | 213.75 ± 4.87 | 72.72 ± 3.11 |
| 11 | 15 | 2 | 1 | 750 | 117.75 ± 2.57 | 47.47 ± 2.45 |
| 12 | 10 | 3 | 5 | 750 | 141.75 ± 1.79 | 93.74 ± 2.04 |
| 13 | 10 | 1 | 5 | 750 | 147 ± 2.33 | 95.87 ± 3.11 |
| 14 | 5 | 2 | 5 | 750 | 102.75 ± 2.87 | 83.06 ± 1.47 |
| 15 | 15 | 3 | 3 | 750 | 145.5 ± 2.76 | 73.39 ± 2.63 |
| 16 | 10 | 2 | 5 | 1000 | 142.5 ± 1.78 | 93.34± 3.47 |
| 17 | 5 | 2 | 3 | 500 | 201.75 ± 1.25 | 68.16 ± 2.01 |
| 18 | 10 | 2 | 1 | 1000 | 93.75 ± 1.01 | 57.16 ± 1.98 |
| 19 | 5 | 3 | 3 | 750 | 102.75 ± 1.14 | 93.45 ± 1.78 |
| 20 | 5 | 1 | 3 | 750 | 96 ± 1.01 | 57.44 ± 1.25 |
| 21 | 5 | 2 | 3 | 1000 | 103.5 ± 2.21 | 78.58 ± 2.11 |
| 22 | 15 | 2 | 3 | 1000 | 126.75 ± 1.36 | 83.61 ± 2.05 |
| 23 | 15 | 1 | 3 | 750 | 104.25 ± 1.65 | 92.40 ± 1.47 |
| 24 | 10 | 3 | 3 | 500 | 221.25 ± 1.07 | 77.91 ± 1.39 |
| 25 | 10 | 2 | 1 | 500 | 199.5 ± 2.16 | 41.58 ± 1.54 |
| 26 | 10 | 3 | 1 | 750 | 141 ± 2.11 | 62.32 ± 1.20 |
| 27 | 10 | 1 | 3 | 500 | 206.25 ± 2.09 | 73.73 ± 1.21 |
| 28 | 10 | 2 | 3 | 750 | 135 ± 1.87 | 93.43 ± 0.99 |
| 29 | 10 | 1 | 1 | 750 | 101.25 ± 1.62 | 49.99 ± 1.01 |
| PLGA Amount (mg) | Lecithin: Cholesterol Amount (mg) | ZP Amount (mg) | Stirring Speed (rpm) | Particle Size (nm) a,e | PDI a,c | Zeta Potential (mV) b,e | EE% c,e | LE% d,e |
|---|---|---|---|---|---|---|---|---|
| 5.7 | 3 | 3.4 | 850 | 97.56 ± 4.55 | 0.128 ± 0.018 | −19.68 ± 2.57 | 97.98 ± 1.22 | 8.57 ± 0.54 |
| Parameter | Plasma | Brain | ||
|---|---|---|---|---|
| Ziprasidone IN LPH | Ziprasidone IV Solution | Ziprasidone IN LPH | Ziprasidone IV Solution | |
| Cmax (ng/mL) | 262.23± 26.93 | -------- | 539.96± 14.87 * | 219.64 ± 9.56 |
| Tmax (min) | 60 | -------- | 10 | 30 |
| AUC0–480 min (ng/mL.h) | 881.47 ± 25.63 | 1399.76 ± 24.32 * | 2202.56 ± 50.97 * | 885.59 ± 45.78 |
| AUC0–∞(ng/mL.h) | 1128.28 ± 39.68 | 1859.62 ± 19.65 * | 3370.63 ± 41.23 * | 1266.75 ± 33.25 |
| MRT (h) | 4 ± 0.52 | 4.2 ± 0.47 | 4.88 ± 0.24 | 4.59 ± 0.35 |
| Kel (h−1) | 0.18 ± 0.01 | 0.17 ± 0.02 | 0.13 ± 0.014 * | 0.15 ± 0.013 |
| Absolute bioavailability (F%) | 62.97 | 100 | -------- | -------- |
| DTE (%) | -------- | -------- | 394.94 | -------- |
| DTP (%) | -------- | -------- | 74.68 | -------- |
| Critical Process Parameters (Coded Independent Variables) | Levels | ||
|---|---|---|---|
| Low (−1) | Medium 0 | High (1) | |
| A: PLGA amount (mg) | 5 | 10 | 15 |
| B: Lecithin: Cholesterol amount (mg) | 1 | 2 | 3 |
| C: Drug amount (mg) | 1 | 3 | 5 |
| D: Stirring speed (rpm) | 500 | 750 | 1000 |
| Critical Quality attributes Quality target product profile (Responses) (Constraints) | |||
| 1: Particle size (nm) Y2: Entrapment efficiency EE (%) | Minimum Maximize | ||
Disclaimer/Publisher’s Note: The statements, opinions and data contained in all publications are solely those of the individual author(s) and contributor(s) and not of MDPI and/or the editor(s). MDPI and/or the editor(s) disclaim responsibility for any injury to people or property resulting from any ideas, methods, instructions or products referred to in the content. |
© 2023 by the authors. Licensee MDPI, Basel, Switzerland. This article is an open access article distributed under the terms and conditions of the Creative Commons Attribution (CC BY) license (https://creativecommons.org/licenses/by/4.0/).
Share and Cite
Abo El-Enin, H.A.; Tulbah, A.S.; Darwish, H.W.; Salama, R.; Naguib, I.A.; Yassin, H.A.; Abdel-Bar, H.M. Evaluation of Brain Targeting and Antipsychotic Activity of Nasally Administrated Ziprasidone Lipid–Polymer Hybrid Nanocarriers. Pharmaceuticals 2023, 16, 886. https://doi.org/10.3390/ph16060886
Abo El-Enin HA, Tulbah AS, Darwish HW, Salama R, Naguib IA, Yassin HA, Abdel-Bar HM. Evaluation of Brain Targeting and Antipsychotic Activity of Nasally Administrated Ziprasidone Lipid–Polymer Hybrid Nanocarriers. Pharmaceuticals. 2023; 16(6):886. https://doi.org/10.3390/ph16060886
Chicago/Turabian StyleAbo El-Enin, Hadel A., Alaa S. Tulbah, Hany W. Darwish, Rania Salama, Ibrahim A. Naguib, Heba A. Yassin, and Hend Mohamed Abdel-Bar. 2023. "Evaluation of Brain Targeting and Antipsychotic Activity of Nasally Administrated Ziprasidone Lipid–Polymer Hybrid Nanocarriers" Pharmaceuticals 16, no. 6: 886. https://doi.org/10.3390/ph16060886
APA StyleAbo El-Enin, H. A., Tulbah, A. S., Darwish, H. W., Salama, R., Naguib, I. A., Yassin, H. A., & Abdel-Bar, H. M. (2023). Evaluation of Brain Targeting and Antipsychotic Activity of Nasally Administrated Ziprasidone Lipid–Polymer Hybrid Nanocarriers. Pharmaceuticals, 16(6), 886. https://doi.org/10.3390/ph16060886

