In Vitro/In Vivo Evaluation of Clomipramine Orodispersible Tablets for the Treatment of Depression and Obsessive-Compulsive Disorder
Abstract
1. Introduction
2. Results and Discussion
2.1. Physicochemical Characterization of Superdisintegrants
2.2. Drug–Superdisintegrant Compatibility Study
2.2.1. Fourier Transform Infrared Spectroscopy (FTIR) Analysis
2.2.2. Differential Scanning Calorimetry (DSC)/Thermogravimetric Analysis (TGA)
2.2.3. Powdered X-ray Diffraction (PXRD) Analysis
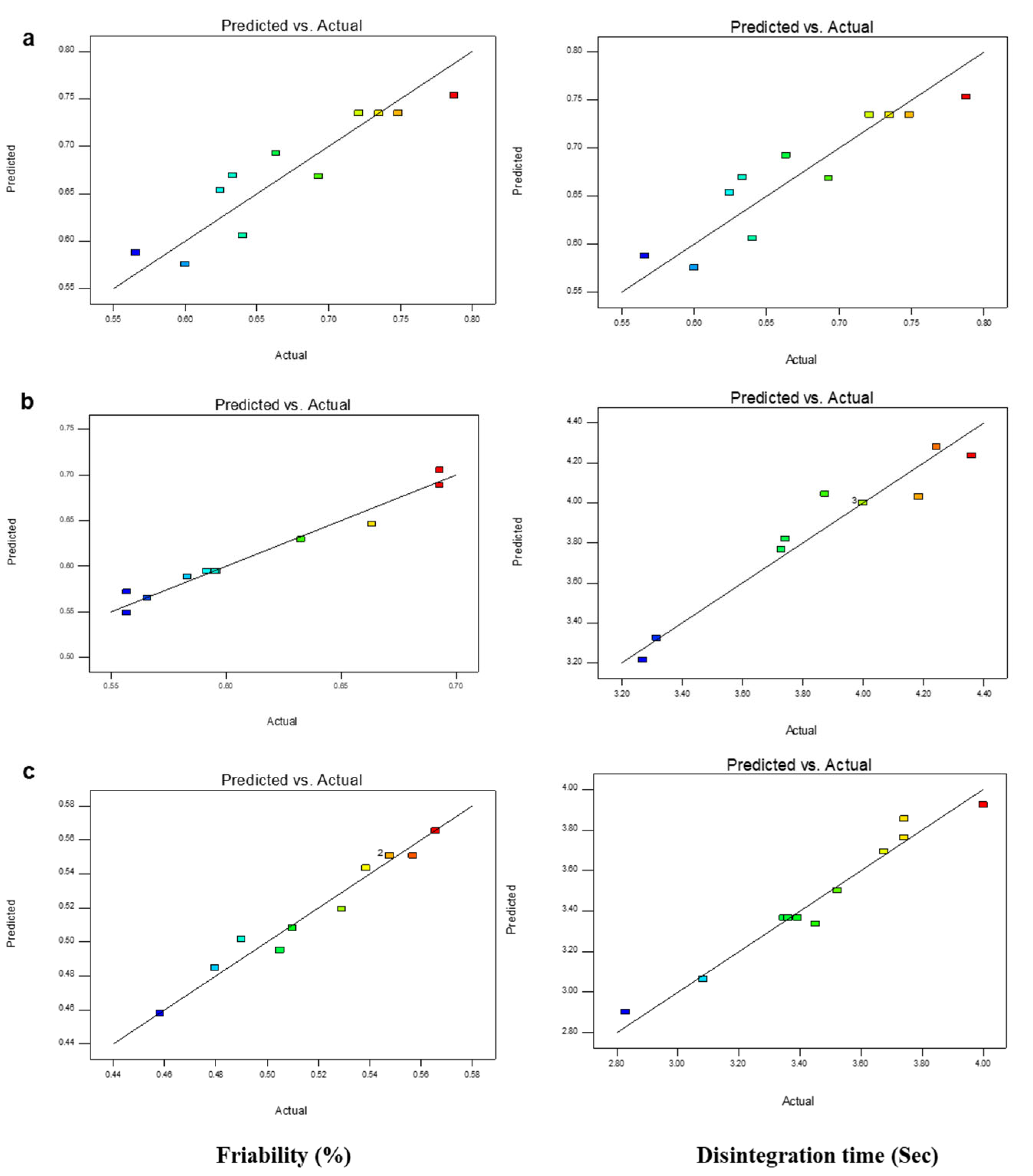
2.3. Formulation Design and Optimization by Design Expert
2.4. Pre-Compression Evaluation of Powder Blend
2.5. Post-Compression Tablet Evaluation
2.6. In Vitro Drug Profiles
2.7. In Vivo Study of Antidepressant Activity of Optimized Formulation (F9)
2.7.1. Exploration Behavior Analysis via OFT
- Latency: Clomfranil decreased the latency in Group III linked depressed rats to 3.2, whereas the optimized formulation (F9) decreased the latency frequency more than clomfranil, due to its rapid action, to 2.28 in Group IV, as compared to the depressed rats of Group II that were kept without (F9) treatment.
- Ambulation frequency: An increase of up to 16.9 in the ambulation score was seen by using clomfranil as compared to Group II (depressed rats). On the other hand, the optimized formulation (F9) showed a larger increase in the ambulation score, 21.7, compared to Group II and Group III.
- Rearing frequency: Similar to ambulation, an increased rearing score of up to 7.4 was seen in Group III after treatment with clomfranil as compared to Group II, without clomfranil treatment. However, the optimized formulation (F9), showed a higher raise in the rearing score of 11.4 in Group IV as compared to Group II and Group III.
- Self-grooming frequency: After the ambulation and rearing score, an increase in self-grooming was seen up to 5.6 in Group III after treatment with clomfranil, as compared to Group II without clomfranil treatment. On the other hand, the optimized formulation (F9) showed a larger increase in the self-grooming score of 8.9 in Group IV as compared to Group II without (F9) and Group III with clomfranil treatment.
2.7.2. Hopelessness and Despair Behavior Analysis via FST
- Immobility frequency: Clomfranil decreased the immobility in Group III linked depressed rats to 11.2, whereas the optimized formulation (F9) decreased the immobility frequency more than clomfranil due to its rapid action and was 7.2 in Group IV as compared to the depressed rats of Group II that were kept without (F9) treatment.
- Swimming frequency: An increase of up to 28.82 in the swimming frequency was seen by using clomfranil as compared to Group II (depressed rats). On the other hand, the optimized formulation (F9) showed a larger increase in the swimming frequency, 41.9, as compared to Group II and Group III.
- Climbing frequency: After swimming, an increase of 8.2 in the climbing frequency was also seen by using clomfranil as compared to Group II (depressed rats). However, the optimized formulation (F9) showed a larger increase in the climbing score, 14.2, as compared to Group II and Group III.
3. Materials and Methods
3.1. Materials
3.2. Methods
3.2.1. Extraction/Purification of Plantago ovata Mucilage (POM)
3.2.2. Physicochemical Characterization of Superdisintegrants
Swelling Ratio
Weight Loss on Drying
3.2.3. Pre-Compression Parameters of the Powder Blend
Determination of Bulk Density, Tapped Density
Angle of Repose
Powder Compressibility
3.2.4. Drug-Superdisintegrants Compatibility Study
Fourier Transform Infrared Spectroscopy (FTIR) Analysis
Differential Scanning Calorimetry (DSC) and Thermogravimetric Analysis (TGA)
Powdered X-ray Diffraction (PXRD) Analysis
3.2.5. Formulation Design and Optimization by Design Expert
Preparation of CLP ODTs
3.2.6. Evaluation of Orodispersible Tablets
Tablet Hardness
Thickness and Diameter
Weight Variation
Friability
Drug Content
Water Absorption Ratio
Wetting Time
Disintegration Time
In Vitro Drug Release
3.2.7. In Vivo Study of Antidepressant Activity of Optimized Formulation (F9)
Exploration Behavior Analysis via OFT
- Latency: This is linked to the time taken by the animal to decide to move after placing the animal in a beaker’s center.
- Ambulation frequency: This is linked to the mobility of the animal inside the beaker, e.g., the number of spherical movements of the animal made around the wall of the beaker.
- Rearing frequency: This means how many times the animal stood and stretched on its hind limbs without its forelimb support.
- Grooming frequency: This means how many times did the animal perform face touching/face scratching with the hind legs or how many times the animal licked its fur/genitals.
Hopelessness and Despair Behavior Analysis via FST
3.2.8. Statistical Analysis
4. Conclusions
Supplementary Materials
Author Contributions
Funding
Institutional Review Board Statement
Informed Consent Statement
Data Availability Statement
Conflicts of Interest
References
- Elsayed, M.M.; Aboelez, M.O.; Elsadek, B.E.; Sarhan, H.A.; Khaled, K.A.; Belal, A.; Khames, A.; Hassan, Y.A.; Abdel-Rheem, A.A.; Elkaeed, E.B. Tolmetin sodium fast dissolving tablets for rheumatoid arthritis treatment: Preparation and optimization using Box-Behnken design and response surface methodology. Pharmaceutics 2022, 14, 880. [Google Scholar] [CrossRef] [PubMed]
- Matoug Elwerfalli, A.; Ghanchi, Z.; Rashid, F.; Alany, R.G.; ElShaer, A. New generation of orally disintegrating tablets for sustained drug release: A propitious outlook. Curr. Drug Deliv. 2015, 12, 652–667. [Google Scholar] [CrossRef] [PubMed]
- Badgujar, B.P.; Mundada, A.S. The technologies used for developing orally disintegrating tablets: A review. Acta Pharm. 2011, 61, 117–139. [Google Scholar] [CrossRef] [PubMed]
- Çomoğlu, T.; Savaşer, A.; Özkan, Y.; Gönül, N.; Baykara, T. Enhancement of ketoprofen bioavailability by formation of microsponge tablets. Die Pharm. Int. J. Pharm. Sci. 2007, 62, 51–54. [Google Scholar]
- Valleri, M.; Mura, P.; Maestrelli, F.; Cirri, M.; Ballerini, R. Development and evaluation of glyburide fast dissolving tablets using solid dispersion technique. Drug Dev. Ind. Pharm. 2004, 30, 525–534. [Google Scholar] [CrossRef]
- Slavkova, M.; Breitkreutz, J. Orodispersible drug formulations for children and elderly. Eur. J. Pharm. Sci. 2015, 75, 2–9. [Google Scholar] [CrossRef]
- Riet-Nales, V.; Diana, A.; Kozarewicz, P.; Aylward, B.; de Vries, R.; Egberts, T.C.; Rademaker, C.; Schobben, A.F. Paediatric drug development and formulation design—A European perspective. Aaps Pharm. 2017, 18, 241–249. [Google Scholar] [CrossRef]
- Navarro, V. Improving medication compliance in patients with depression: Use of orodispersible tablets. Adv. Ther. 2010, 27, 785–795. [Google Scholar] [CrossRef]
- Wade, A.G.; Crawford, G.M.; Young, D. A survey of patient preferences for a placebo orodispersible tablet. Patient Prefer. Adherence 2012, 6, 201. [Google Scholar] [CrossRef]
- Cilurzo, F.; Musazzi, U.M.; Franzé, S.; Selmin, F.; Minghetti, P. Orodispersible dosage forms: Biopharmaceutical improvements and regulatory requirements. Drug Discov. Today 2018, 23, 251–259. [Google Scholar] [CrossRef]
- Moqbel, H.A.; ElMeshad, A.N.; El-Nabarawi, M.A. A pharmaceutical study on chlorzoxazone orodispersible tablets: Formulation, in-vitro and in-vivo evaluation. Drug Deliv. 2016, 23, 2998–3007. [Google Scholar] [CrossRef]
- Dey, P.; Maiti, S. Orodispersible tablets: A new trend in drug delivery. J. Nat. Sci. Biol. Med. 2010, 1, 2. [Google Scholar] [CrossRef]
- Hannan, P.; Khan, J.; Khan, A.; Safiullah, S. Oral dispersible system: A new approach in drug delivery system. Indian J. Pharm. Sci. 2016, 78, 2. [Google Scholar] [CrossRef]
- Pawar, H.; Varkhade, C.; Jadhav, P.; Mehra, K. Development and evaluation of orodispersible tablets using a natural polysaccharide isolated from Cassia tora seeds. Integr. Med. Res. 2014, 3, 91–98. [Google Scholar] [CrossRef]
- Harvey, A.L.; Edrada-Ebel, R.; Quinn, R.J. The re-emergence of natural products for drug discovery in the genomics era. Nat. Rev. Drug Discov. 2015, 14, 111–129. [Google Scholar] [CrossRef]
- Pawar, H.; Varkhade, C. Isolation, characterization and investigation of Plantago ovata husk polysaccharide as superdisintegrant. Int. J. Biol. Macromol. 2014, 69, 52–58. [Google Scholar] [CrossRef]
- Nayak, A.K.; Pal, D.; Santra, K. Ispaghula mucilage-gellan mucoadhesive beads of metformin HCl: Development by response surface methodology. Carbohydr. Polym. 2014, 107, 41–50. [Google Scholar] [CrossRef]
- Patil, P.; More, V.; Tour, N. Recent trends in orodispersible tablets–An overview of formulation technology and future prospects. Int. J. Pharma Sci. Res. 2015, 6, 1056–1066. [Google Scholar]
- Kapse, N.K.; Bharti, V.P.; Birajdar, A.S.; Munde, A.V.; Panchal, P.P. Co-processed superdisintegrants: Novel technique for design orodispersible tablets. J. Innov. Pharm. Biol. Sci. 2015, 2, 541–555. [Google Scholar]
- Kumar, Y.G.; Reddy, M.S.; Kumar, P.N.; Rasool, S.N.; Srinivasulu, K. Formulation, Characterization and Evaluation Parameters of fast dissolving tablets of ondansetron HCL. WJPR 2013, 2, 2662–2673. [Google Scholar]
- Nayak, A.K.; Pal, D.; Santra, K. Plantago ovata F. Mucilage-alginate mucoadhesive beads for controlled release of glibenclamide: Development, optimization, and in vitro-in vivo evaluation. J. Pharm. 2013, 2013, 151035. [Google Scholar]
- Draksiene, G.; Kopustinskiene, D.M.; Lazauskas, R.; Bernatoniene, J. Psyllium (Plantago Ovata Forsk) Husk Powder as a natural superdisintegrant for orodispersible formulations: A study on meloxicam tablets. Molecules 2019, 24, 3255. [Google Scholar] [CrossRef] [PubMed]
- Tafere, C.; Yilma, Z.; Abrha, S.; Yehualaw, A. Formulation, in vitro characterization and optimization of taste-masked orally disintegrating co-trimoxazole tablet by direct compression. PLoS ONE 2021, 16, e0246648. [Google Scholar] [CrossRef] [PubMed]
- Sreeharsha, N.; Naveen, N.R.; Anitha, P.; Goudanavar, P.S.; Ramkanth, S.; Fattepur, S.; Telsang, M.; Habeebuddin, M.; Anwer, M.K. Development of Nanocrystal Compressed Minitablets for Chronotherapeutic Drug Delivery. Pharmaceuticals 2022, 15, 311. [Google Scholar] [CrossRef]
- Hu, J.; Fitaihi, R.; Abukhamees, S.; Abdelhakim, H.E. Formulation and Characterisation of Carbamazepine Orodispersible 3D-Printed Mini-Tablets for Paediatric Use. Pharmaceutics 2023, 15, 250. [Google Scholar] [CrossRef]
- Mahapatra, A.P.K.; Saraswat, R.; Botre, M.; Paul, B.; Prasad, N. Application of response surface methodology (RSM) in statistical optimization and pharmaceutical characterization of a patient compliance effervescent tablet formulation of an antiepileptic drug levetiracetam. Future J. Pharm. Sci. 2020, 6, 82. [Google Scholar] [CrossRef]
- Elashery, S.E.; Attia, N.F.; Omar, M.; Tayea, H.M. Cost-effective and green synthesized electroactive nanocomposite for high selective potentiometric determination of clomipramine hydrochloride. Microchem. J. 2019, 151, 104222. [Google Scholar] [CrossRef]
- Kelly, M.W.; Myers, C.W. Clomipramine: A tricyclic antidepressant effective in obsessive compulsive disorder. Dicp 1990, 24, 739–744. [Google Scholar] [CrossRef]
- Allsopp, L.F.; Huitson, A.; Deering, R.; Brodie, N. Efficacy and Tolerability of Sustained-Release Clomipramine (Anafranil SR®) in the Treatment of Phobias: A Comparison with the Conventional Formulation of Clomipramine (Anafranil®). J. Int. Med. Res. 1985, 13, 203–208. [Google Scholar] [CrossRef]
- Poddar, S.; Agarwal, P.S.; Sahi, A.K.; Vajanthri, K.Y.; Singh, K.; Mahto, S.K. Fabrication and cytocompatibility evaluation of psyllium husk (Isabgol)/gelatin composite scaffolds. Appl. Biochem. Biotechnol. 2019, 188, 750–768. [Google Scholar] [CrossRef]
- Panigrahi, R.; Chowdary, K.; Mishra, G.; Bhowmik, M.; Behera, S. Formulation of fast dissolving tablets of Lisinopril using combination of synthetic superdisintegrants. Asian J. Pharm. Technol. 2012, 2, 94–98. [Google Scholar]
- Chauvet, A.; Masse, J. Etude thermoanalytique de substances psychotherapeutiques. III. Antidepresseurs. Chlorhydrate d’imipramine, chlorhydrate de clomipramine, chlorhydrate de nortriptyline, chlorhydrate d’amitriptyline. Thermochim. Acta 1983, 65, 179–196. [Google Scholar]
- Rao, N.R.; Patel, T.; Kumar, R. Development of fast dissolving carbamazepine tablets: Effect of functionality of superdisintegrants. Int. J. Pharm. Sci. Nanotechnol. 2010, 3, 824–833. [Google Scholar] [CrossRef]
- Singh, A.V. A DSC study of some biomaterials relevant to pharmaceutical industry. J. Therm. Anal. Calorim. 2013, 112, 791–793. [Google Scholar] [CrossRef]
- Kaur, G.; Chaudhary, M.; Jena, K.C.; Singh, N. Terbium (III)-coated carbon quantum dots for the detection of clomipramine through aggregation-induced emission from the analyte. New J. Chem. 2020, 44, 10536–10544. [Google Scholar] [CrossRef]
- Castro, S.; Allemandi, D.; Palma, S. New binary solid dispersion of Indomethacin and croscarmellose sodium: Physical characterization and in-vitro dissolution enhancement. J. Excip. Food Chem. 2012, 3, 121–128. [Google Scholar]
- Bergese, P.; Bontempi, E.; Colombo, I.; Gervasoni, D.; Depero, L. Microstructural investigation of nimesulide–crospovidone composites by X-ray diffraction and thermal analysis. Compos. Sci. Technol. 2003, 63, 1197–1201. [Google Scholar] [CrossRef]
- Bhatia, M.; Ahuja, M. Thiol modification of psyllium husk mucilage and evaluation of its mucoadhesive applications. Sci. World J. 2013, 2013, 284182. [Google Scholar] [CrossRef]
- Soroush, H.; Ghorbani-Bidkorbeh, F.; Mortazavi, S.A.; Mehramizi, A. Formulation optimization and assessment of dexamethasone orally disintegrating tablets using box-behnken design. Iran. J. Pharm. Res. IJPR 2018, 17, 1150. [Google Scholar]
- Thalluri, C.; Amin, R.; Mandhadi, J.R.; Gacem, A.; Emran, T.B.; Dey, B.K.; Roy, A.; Alqahtani, M.S.; Refat, M.S.; Safi, S.Z. Central Composite Designed Fast Dissolving Tablets for Improved Solubility of the Loaded Drug Ondansetron Hydrochloride. BioMed Res. Int. 2022, 2022, 2467574. [Google Scholar] [CrossRef]
- Čerpnjak, K.; Pobirk, A.Z.; Vrečer, F.; Gašperlin, M. Tablets and minitablets prepared from spray-dried SMEDDS containing naproxen. Int. J. Pharm. 2015, 495, 336–346. [Google Scholar] [CrossRef] [PubMed]
- Swamy, P.; Areefulla, S.; Shirs, S.; Smitha, G.; Prashanth, B. Orodispersible tablets of meloxicam using disintegrant blends for improved efficacy. Indian J. Pharm. Sci. 2007, 69, 836. [Google Scholar] [CrossRef]
- Hickey, A.J.; Mansour, H.M.; Telko, M.J.; Xu, Z.; Smyth, H.D.; Mulder, T.; McLean, R.; Langridge, J.; Papadopoulos, D. Physical characterization of component particles included in dry powder inhalers. I. Strategy review and static characteristics. J. Pharm. Sci. 2007, 96, 1282–1301. [Google Scholar] [PubMed]
- El-Mahrouk, G.; Aboul-Einien, M.H.; Elkasabgy, N.A. Formulation and evaluation of meloxicam orally dispersible capsules. Asian J. Pharm. Sci. 2009, 4, 8–22. [Google Scholar]
- Mehta, D.M.; Shelat, P.; Parejiya, P.; Patel, A.; Barot, B. Investigations of Plantago ovata husk powder as a disintegrating agent for development of famotidine tablets. Int. J. Pharm. Sci. Nanotechnol. 2011, 4, 1412–1417. [Google Scholar] [CrossRef]
- Monge Neto, A.A.; Bergamasco, R.d.C.; de Moraes, F.F.; Medina Neto, A.; Peralta, R.M. Development of a technique for psyllium husk mucilage purification with simultaneous microencapsulation of curcumin. PLoS ONE 2017, 12, e0182948. [Google Scholar] [CrossRef]
- Heinig, R.; Weimann, B.; Dietrich, H.; Böttcher, M.-F. Pharmacokinetics of a new orodispersible tablet formulation of vardenafil. Clin. Drug Investig. 2011, 31, 27–41. [Google Scholar] [CrossRef]
- Ghumman, S.A.; Noreen, S.; Hameed, H.; Elsherif, M.A.; Shabbir, R.; Rana, M.; Junaid, K.; Bukhari, S.N.A. Synthesis of pH-Sensitive Cross-Linked Basil Seed Gum/Acrylic Acid Hydrogels by Free Radical Copolymerization Technique for Sustained Delivery of Captopril. Gels 2022, 8, 291. [Google Scholar] [CrossRef]
- Ghumman, S.A.; Mahmood, A.; Noreen, S.; Rana, M.; Hameed, H.; Ijaz, B.; Hasan, S.; Aslam, A.; ur Rehman, M.F. Formulation and evaluation of quince seeds mucilage–sodium alginate microspheres for sustained delivery of cefixime and its toxicological studies. Arab. J. Chem. 2022, 15, 103811. [Google Scholar] [CrossRef]
- Molla, F.; Belete, A.; Gebre-Mariam, T. Boswellia papyrifera resin as microencapsulating agent for controlled release of diclofenac sodium: Formulation, evaluation and optimization study. Int. J. Pharm. Pharm. Sci. 2014, 6, 827–837. [Google Scholar]
- Singh, K.P.; Gupta, S.; Singh, A.K.; Sinha, S. Experimental design and response surface modeling for optimization of Rhodamine B removal from water by magnetic nanocomposite. Chem. Eng. J. 2010, 165, 151–160. [Google Scholar] [CrossRef]
- Malik, K.; Arora, G.; Singh, I. Taste masked microspheres of ofloxacin: Formulation and evaluation of orodispersible tablets. Sci. Pharm. 2011, 79, 653–672. [Google Scholar] [CrossRef]
- Gupta, A.; Bhadoria, J.; Darwhekar, G. Formulation and Evaluation of Orodispersible Tablet of Atorvastatin Calcium by Using Hibiscus rosa sinesis Mucilage as Natural Superdisintegrant. J. Drug Deliv. Ther. 2019, 9, 90–94. [Google Scholar] [CrossRef]
- Teaima, M.H.; Abdel-Haleem, K.M.; Osama, R.; El-Nabarawi, M.A.; Elnahas, O.S. A promising single oral disintegrating tablet for co-delivery of pitavastatin calcium and lornoxicam using co-processed excipients: Formulation, characterization and pharmacokinetic study. Drug Des. Dev. Ther. 2021, 15, 4229. [Google Scholar] [CrossRef]
- Gupta, G.; Jia Jia, T.; Yee Woon, L.; Kumar Chellappan, D.; Candasamy, M.; Dua, K. Pharmacological evaluation of antidepressant-like effect of genistein and its combination with amitriptyline: An acute and chronic study. Adv. Pharmacol. Sci. 2015, 2015, 164943. [Google Scholar] [CrossRef]
- Marzouk, M.A.; Osman, D.A.; Mohamed, O.S. In vitro and in vivo evaluation of taste-masked orodispersible tablets of fluoxetine hydrochloride for the treatment of depression. Drug Dev. Ind. Pharm. 2021, 47, 645–653. [Google Scholar] [CrossRef]












| Parameter | POM | CS | CP |
|---|---|---|---|
| Angle of repose | 30 | 28 | 29 |
| Bulk density (g/mL) | 0.569 | 0.55 | 0.52 |
| Tapped density (g/mL) | 0.590 | 0.66 | 0.63 |
| Weight loss on drying (%) | 7.1 | 9.5 | 13 |
| Swelling index (%) | 95.94 | 87 | 94 |
| Hausner’s ratio | 1.03 | 1.2 | 1.21 |
| Carr’s index | 5.08 | 16.67 | 17.46 |
| POM: Avcl Formulations | |||||
|---|---|---|---|---|---|
| Friability (%) | |||||
| Source | Sequential p-value | Lack of Fit p-value | Adjusted R2 | Predicted R2 | Remarks |
| Linear | 0.2532 | 0.0190 | 0.1133 | 0.3839 | |
| 2FI | 0.8002 | 0.0160 | 0.0034 | 0.7181 | |
| Quadratic | 0.0006 | 0.1799 | 0.9459 | 0.8094 | Suggested |
| Cubic | 0.4426 | 0.1130 | 0.9292 | 0.0790 | Aliased |
| Disintegration Time (s) | |||||
| Linear | 0.0013 | 0.0152 | 0.7640 | 0.5975 | |
| 2FI | 0.9057 | 0.0127 | 0.7309 | 0.4645 | |
| Quadratic | 0.0170 | 0.0389 | 0.9314 | 0.8424 | Suggested |
| Cubic | 0.3195 | 0.0283 | 0.9425 | 0.0438 | Aliased |
| Response 1: R1 (Friability) | ||||||
|---|---|---|---|---|---|---|
| Source | Sum of Squares | df | Mean Square | F-Value | p-Value | |
| Model | 0.0399 | 5 | 0.0080 | 35.98 | 0.0006 | significant |
| A-POM | 0.0308 | 1 | 0.0308 | 138.69 | <0.0001 | |
| B-Avcl | 0.0049 | 1 | 0.0049 | 21.91 | 0.0054 | |
| AB | 0.0000 | 1 | 0.0000 | 0.1126 | 0.7508 | |
| A2 | 0.0042 | 1 | 0.0042 | 18.90 | 0.0074 | |
| B2 | 0.0001 | 1 | 0.0001 | 0.5741 | 0.4828 | |
| Residual | 0.0001 | 5 | 0.0001 | |||
| Lack of Fit | 0.0001 | 3 | 0.0001 | 0.6903 | 0.5806 | not significant |
| Pure Error | 0.0000 | 2 | 0.0000 | |||
| Cor Total | 0.0410 | 10 | ||||
| Fit Statistics | ||||||
| Std. Dev. | 0.0149 | R2 | 0.9730 | |||
| Mean | 0.3763 | Adjusted R2 | 0.9459 | |||
| C.V. % | 3.96 | Predicted R2 | 0.8094 | |||
| Adeq. Precision | 17.6655 | |||||
| Response 2: R2 (Disintegration time) | ||||||
| Source | Sum of Squares | df | Mean Square | F-Value | p-Value | |
| Model | 48.18 | 5 | 9.64 | 28.15 | 0.0011 | significant |
| A-POM | 34.38 | 1 | 34.38 | 100.45 | 0.0002 | |
| B-Avcl | 6.41 | 1 | 6.41 | 18.74 | 0.0075 | |
| AB | 0.0025 | 1 | 0.0025 | 0.0073 | 0.9352 | |
| A2 | 0.0006 | 1 | 0.0006 | 0.0018 | 0.9679 | |
| B2 | 6.71 | 1 | 6.71 | 19.60 | 0.0068 | |
| Residual | 0.05 | 5 | 0.0005 | |||
| Lack of Fit | 0.0002 | 3 | 0.0002 | 0.0007 | 0.4066 | not significant |
| Pure Error | 0.0467 | 2 | 0.0233 | |||
| Cor Total | 47.86 | 10 | ||||
| Fit Statistics | ||||||
| Std. Dev. | 0.5851 | R2 | 0.9657 | |||
| Mean | 12.12 | Adjusted R2 | 0.9314 | |||
| C.V. % | 4.83 | Predicted R2 | 0.8424 | |||
| Adeq. Precision | 16.2619 | |||||
| No | POM | Avcl | Friability (%) | Disintegration Time (s) | Desirability | |
|---|---|---|---|---|---|---|
| 1 | 9.00 | 97.00 | 0.24 | 9.5 | 0.9730 | Selected |
| No. of Run | Factor 1 (X1) | Factor 2 (X2) | Response 1 (R1) | Response 2 (R2) |
|---|---|---|---|---|
| CS:Avcl Formulations | ||||
| X1: CS | X2: Avcl | R1: Friability | R2: Disintegration time | |
| Mg | Mg | % | Sec | |
| 1 | 3.00 | 97.00 | 0.52 | 34 |
| 2 | 6.00 | 100.00 | 0.62 | 38 |
| 3 | 9.00 | 97.00 | 0.39 | 23 |
| 4 | 6.00 | 100.00 | 0.36 | 21 |
| 5 | 6.00 | 104.24 | 0.54 | 33.9 |
| 6 | 6.00 | 95.76 | 0.56 | 33.8 |
| 7 | 3.00 | 103.00 | 0.401 | 23.9 |
| 8 | 9.00 | 103.00 | 0.32 | 19 |
| 9 | 1.76 | 100.00 | 0.41 | 24 |
| 10 | 6.00 | 100.00 | 0.44 | 29 |
| 11 | 10.24 | 100.00 | 0.48 | 32 |
| CP: Avcl Formulations | ||||
| X1: CP | X2: Avcl | R1: Friability | R2: Disintegration time | |
| Mg | Mg | % | Sec | |
| 1 | 3.00 | 97.00 | 0.44 | 17.5 |
| 2 | 6.00 | 100.00 | 0.35 | 16 |
| 3 | 9.00 | 97.00 | 0.31 | 11 |
| 4 | 6.00 | 100.00 | 0.355 | 16 |
| 5 | 6.00 | 104.24 | 0.4 | 18 |
| 6 | 6.00 | 95.76 | 0.31 | 14 |
| 7 | 3.00 | 103.00 | 0.48 | 19 |
| 8 | 9.00 | 103.00 | 0.34 | 13.9 |
| 9 | 1.76 | 100.00 | 0.48 | 15 |
| 10 | 6.00 | 100.00 | 0.354 | 16 |
| 11 | 10.24 | 100.00 | 0.32 | 10.7 |
| POM:Avcl Formulations | ||||
| X1: POM | X2: Avcl | R1: Friability | R2: Disintegration time | |
| Mg | Mg | % | s | |
| 1 | 3.00 | 97.00 | 0.23 | 13.5 |
| 2 | 6.00 | 100.00 | 0.3 | 11.5 |
| 3 | 9.00 | 97.00 | 0.24 | 9.5 |
| 4 | 6.00 | 100.00 | 0.31 | 11.2 |
| 5 | 6.00 | 104.24 | 0.32 | 14 |
| 6 | 6.00 | 95.76 | 0.28 | 12.4 |
| 7 | 3.00 | 103.00 | 0.26 | 16 |
| 8 | 9.00 | 103.00 | 0.29 | 11.9 |
| 9 | 1.76 | 100.00 | 0.21 | 14 |
| 10 | 6.00 | 100.00 | 0.3 | 11.3 |
| 11 | 10.24 | 100.00 | 0.255 | 8 |
| Composition | F1 (mg) | F2 (mg) | F3 (mg) | F4 (mg) | F5 (mg) | F6 (mg) | F7 (mg) | F8 (mg) | F9 (mg) |
|---|---|---|---|---|---|---|---|---|---|
| CLP CS | 10 3 | 10 6 | 10 9 | 10 - | 10 - | 10 - | 10 - | 10 - | 10 - |
| CP | - | - | - | 3 | 6 | 9 | - | - | - |
| POM | - | - | - | - | - | - | 3 | 6 | 9 |
| Avcl Mgst SSG Aspt | 103 4 2 3 | 100 4 2 3 | 97 4 2 3 | 103 4 2 3 | 100 4 2 3 | 97 4 2 3 | 103 4 2 3 | 100 4 2 3 | 97 4 2 3 |
Disclaimer/Publisher’s Note: The statements, opinions and data contained in all publications are solely those of the individual author(s) and contributor(s) and not of MDPI and/or the editor(s). MDPI and/or the editor(s) disclaim responsibility for any injury to people or property resulting from any ideas, methods, instructions or products referred to in the content. |
© 2023 by the authors. Licensee MDPI, Basel, Switzerland. This article is an open access article distributed under the terms and conditions of the Creative Commons Attribution (CC BY) license (https://creativecommons.org/licenses/by/4.0/).
Share and Cite
Ghumman, S.A.; Hameed, H.; Noreen, S.; Al-Hussain, S.A.; Kausar, R.; Irfan, A.; Shabbir, R.; Rana, M.; Amanat, A.; Zaki, M.E.A. In Vitro/In Vivo Evaluation of Clomipramine Orodispersible Tablets for the Treatment of Depression and Obsessive-Compulsive Disorder. Pharmaceuticals 2023, 16, 265. https://doi.org/10.3390/ph16020265
Ghumman SA, Hameed H, Noreen S, Al-Hussain SA, Kausar R, Irfan A, Shabbir R, Rana M, Amanat A, Zaki MEA. In Vitro/In Vivo Evaluation of Clomipramine Orodispersible Tablets for the Treatment of Depression and Obsessive-Compulsive Disorder. Pharmaceuticals. 2023; 16(2):265. https://doi.org/10.3390/ph16020265
Chicago/Turabian StyleGhumman, Shazia Akram, Huma Hameed, Sobia Noreen, Sami A. Al-Hussain, Rizwana Kausar, Ali Irfan, Ramla Shabbir, Maria Rana, Amina Amanat, and Magdi E. A. Zaki. 2023. "In Vitro/In Vivo Evaluation of Clomipramine Orodispersible Tablets for the Treatment of Depression and Obsessive-Compulsive Disorder" Pharmaceuticals 16, no. 2: 265. https://doi.org/10.3390/ph16020265
APA StyleGhumman, S. A., Hameed, H., Noreen, S., Al-Hussain, S. A., Kausar, R., Irfan, A., Shabbir, R., Rana, M., Amanat, A., & Zaki, M. E. A. (2023). In Vitro/In Vivo Evaluation of Clomipramine Orodispersible Tablets for the Treatment of Depression and Obsessive-Compulsive Disorder. Pharmaceuticals, 16(2), 265. https://doi.org/10.3390/ph16020265

