West Mexico Berries Modulate α-Amylase, α-Glucosidase and Pancreatic Lipase Using In Vitro and In Silico Approaches
Abstract
:1. Introduction
2. Results and Discussion
2.1. Total Polyphenols, Anthocyanins, Flavonoids, and Tannins
2.2. Antioxidant Potential (AP) from Different Berry Cultivars
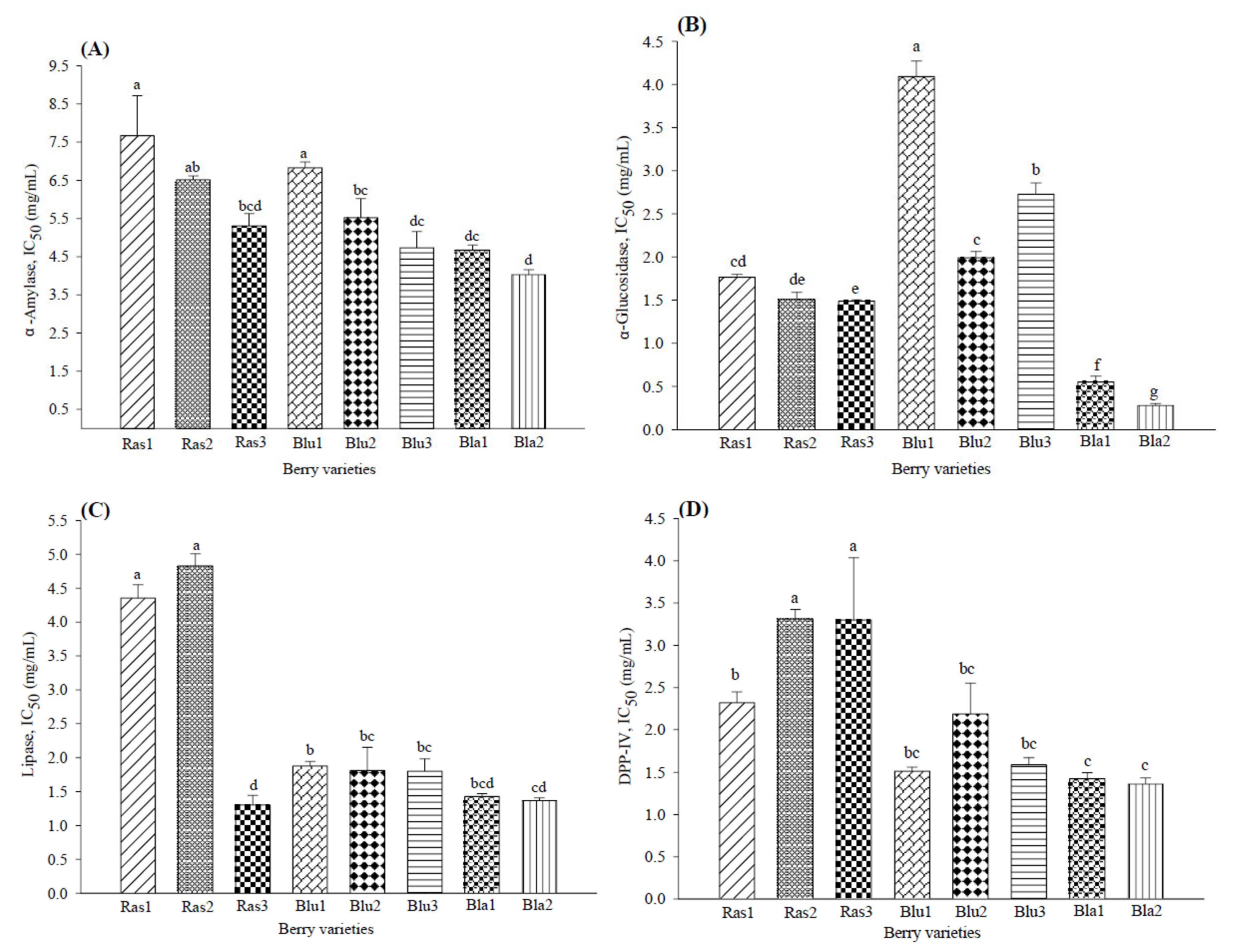
2.3. Biological Potential of Berries Cultivars
2.4. Tentative Identification of Phenolic Compounds
2.5. Molecular Docking of Berry Phytochemicals on Enzymes Related to Obesity and Diabetes
3. Materials and Methods
3.1. Chemicals
3.2. Sample Collection
3.3. Polyphenol-Rich Extracts Preparation
3.4. Analysis of Extracts Composition
3.4.1. Total Phenolic Compounds
3.4.2. Total Anthocyanins
3.4.3. Flavonoids
3.4.4. Tannins
3.5. Antioxidant Potential
3.5.1. DPPH Assay
3.5.2. ABTS
3.5.3. Nitric Oxide (NO) Radical Scavenging Assay
3.6. Biological Potential
3.6.1. α-Amylase Inhibition Biochemical Assay
3.6.2. α-Glucosidase Inhibition Biochemical Assay
3.6.3. Dipeptidyl Peptidase IV (DPP-IV) Inhibition Biochemical Assay
3.6.4. Lipase Inhibition Biochemical Assay
3.6.5. Tentative Identification of Phenolic Compounds by UPLC-ESI-QToF-MS/MS
3.6.6. Molecular Docking Analysis
3.7. Statistical Analysis
4. Conclusions
Author Contributions
Funding
Institutional Review Board Statement
Informed Consent Statement
Data Availability Statement
Acknowledgments
Conflicts of Interest
References
- Servicio de Información Agroalimentaria y Pesquera (SIAP). Panorama Agroalimentario 2020; Primera: Ciudad de México, México, 2020. [Google Scholar]
- Secretaría de Agricultura y Desarrollo Rural. ¿Qué Tanto Conoces de Berries o Frutillas? Available online: https://www.gob.mx/agricultura/es/articulos/frutillas-mexicanas-las-favoritas-del-mundo (accessed on 20 March 2022).
- Klimis-Zacas, D. Berry Antioxidants in Health and Disease; MDPI AG: Basel, Switzerland, 2016. [Google Scholar]
- Gul, K.; Singh, A.K.; Jabeen, R. Nutraceuticals and functional foods: The foods for the future world. Crit. Rev. Food Sci. Nutr. 2016, 56, 2617–2627. [Google Scholar] [CrossRef] [PubMed]
- Castro-Acosta, M.L.; Lenihan-Geels, G.N.; Corpe, C.P.; Hall, W.L. Berries and anthocyanins: Promising functional food ingredients with postprandial glycaemia-lowering effects. Proc. Nutr. Soc. 2016, 75, 342–355. [Google Scholar] [CrossRef] [PubMed]
- Edirisinghe, I.; Burton-Freeman, B. Anti-diabetic actions of berry polyphenols—Review on proposed mechanisms of action. J. Berry Res. 2016, 6, 237–250. [Google Scholar] [CrossRef]
- Fan, J.; Johnson, M.H.; Lila, M.A.; Yousef, G.; de Mejia, E.G. Berry and citrus phenolic compounds inhibit dipeptidyl peptidase IV: Implications in diabetes management. Evid Based Complement. Altern. Med. 2013, 2013, 479505. [Google Scholar] [CrossRef]
- Mcdougall, G.J.; Stewart, D. The inhibitory effects of berry polyphenols on digestive enzymes. Biofactors 2005, 23, 189–195. [Google Scholar] [CrossRef]
- Olas, B. Berry phenolic antioxidants—Implications for human health? Front. Pharmacol. 2018, 9, 78. [Google Scholar] [CrossRef]
- Johnson, M.H.; de Mejia, E.G.; Fan, J.; Lila, M.A.; Yousef, G.G. Anthocyanins and proanthocyanidins from blueberry-blackberry fermented beverages inhibit markers of inflammation in macrophages and carbohydrate-utilizing enzymes in vitro. Mol. Nutr. Food Res. 2013, 57, 1182–1197. [Google Scholar] [CrossRef]
- Kim, J.-S. Antioxidant activities of selected berries and their free, esterified, and insoluble-bound phenolic acid contents. Prev. Nutr. Food Sci. 2018, 23, 35–45. [Google Scholar] [CrossRef]
- Marhuenda, J.; Alemán, M.D.; Gironés-Vilaplana, A.; Pérez, A.; Caravaca, G.; Figueroa, F.; Mulero, J.; Zafrilla, P. Phenolic composition, antioxidant activity, and in vitro availability of four different berries. J. Chem. 2016, 2016, 5194901. [Google Scholar] [CrossRef]
- Sariburun, E.; Şahin, S.; Demir, C.; Türkben, C.; Uylaşer, V. Phenolic content and antioxidant activity of raspberry and blackberry cultivars. J. Food Sci. 2010, 75, C328–C335. [Google Scholar] [CrossRef]
- Diaconeasa, Z.; Ranga, F.; Rugină, D.; Leopold, L.; Pop, O.; Vodnar, D.; Cuibus, L.; Socaciu, C. Phenolic content and their antioxidant activity in various berries cultivated in Romania. Bull. Univ. Agric. Sci. Veter-Med. Cluj-Napoca. Food Sci. Technol. 2015, 72, 99–103. [Google Scholar] [CrossRef]
- Diaconeasa, Z.; Florica, R.; Rugină, D.; Lucian, C.; Socaciu, C. HPLC/PDA–ESI/MS identification of phenolic acids, flavonol glycosides and antioxidant potential in blueberry, blackberry, raspberries and cranberries. J. Food Nutr. Res. 2014, 2, 781–785. [Google Scholar] [CrossRef]
- McDougall, G.J.; Kulkarni, N.N.; Stewart, D. Berry polyphenols inhibit pancreatic lipase activity in vitro. Food Chem. 2009, 115, 193–199. [Google Scholar] [CrossRef]
- Määttä-Riihinen, K.R.; Kamal-Eldin, A.; Törrönen, A.R. Identification and quantification of phenolic compounds in berries of Fragaria and Rubus species (family Rosaceae). J. Agric. Food Chem. 2004, 52, 6178–6187. [Google Scholar] [CrossRef] [PubMed]
- Guedes, M.N.S.; Pio, R.; Maro, L.A.C.; Lage, F.F.; Abreu, C.M.P.D.; Saczk, A.A. Antioxidant activity and total phenol content of blackberries cultivated in a highland tropical climate. Acta Sci. Agron. 2017, 39, 43. [Google Scholar] [CrossRef]
- Martinez-Gonzalez, A.I.; Alvarez-Parrilla, E.; Díaz-Sánchez, Á.G.; de la Rosa, L.A.; Núñez-Gastélum, J.A.; Vazquez-Flores, A.A.; Gonzalez-Aguilar, G.A. In vitro inhibition of pancreatic lipase by polyphenols: A kinetic, fluorescence spectroscopy and molecular docking study. Food Technol. Biotechnol. 2017, 55, 519–530. [Google Scholar] [CrossRef] [PubMed]
- Zhang, J.; Sun, L.; Dong, Y.; Fang, Z.; Nisar, T.; Zhao, T.; Wang, Z.-C.; Guo, Y. Chemical compositions and α-glucosidase inhibitory effects of anthocyanidins from blueberry, blackcurrant and blue honeysuckle fruits. Food Chem. 2019, 299, 125102. [Google Scholar] [CrossRef]
- Sui, X.; Zhang, Y.; Zhou, W. In vitro and in silico studies of the inhibition activity of anthocyanins against porcine pancreatic α-amylase. J. Funct. Foods 2016, 21, 50–57. [Google Scholar] [CrossRef]
- Mojica, L.; Meyer, A.; Berhow, M.A.; de Mejía, E.G. Bean cultivars (Phaseolus vulgaris L.) have similar high antioxidant capacity, in vitro inhibition of α-amylase and α-glucosidase while diverse phenolic composition and concentration. Food Res. Int. 2015, 69, 38–48. [Google Scholar] [CrossRef]
- Mojica, L.; Berhow, M.; Mejia, E.G.D. Black bean anthocyanin-rich extracts as food colorants: Physicochemical stability and antidiabetes potential. Food Chem 2017, 229, 628–639. [Google Scholar] [CrossRef]
- Luna-Vital, D.A.; González de Mejía, E.; Mendoza, S.; Loarca-Piña, G. Peptides present in the non-digestible fraction of common beans (Phaseolus vulgaris L.) inhibit the angiotensin-i converting enzyme by interacting with its catalytic cavity independent of their antioxidant capacity. Food Funct. 2015, 6, 1470–1479. [Google Scholar] [CrossRef]
- Oseguera-Toledo, M.E.; Gonzalez de Mejia, E.; Amaya-Llano, S.L. Hard-to-cook bean (Phaseolus vulgaris L.) proteins hydrolyzed by alcalase and bromelain produced bioactive peptide fractions that inhibit targets of type-2 diabetes and oxidative stress. Food Res. Int. 2015, 76, 839–851. [Google Scholar] [CrossRef]
- Ruiz, M.D.L.A.C.; Mateos-Díaz, J.C.; Carriere, F.; Rodriguez, J.A. A broad pH range indicator-based spectrophotometric assay for true lipases using tributyrin and tricaprylin. J. Lipid Res. 2015, 56, 1057–1067. [Google Scholar] [CrossRef] [PubMed]
- Fonseca-Hernández, D.; Lugo-Cervantes, E.D.C.; Escobedo-Reyes, A.; Mojica, L. Black bean (Phaseolus vulgaris L.) polyphenolic extract exerts antioxidant and antiaging potential. Molecules 2021, 26, 6716. [Google Scholar] [CrossRef] [PubMed]
- Trott, O.; Olson, A.J. AutoDock vina: Improving the speed and accuracy of docking with a new scoring function, efficient optimization, and multithreading. J. Comput. Chem. 2009, 31, 455–461. [Google Scholar] [CrossRef] [PubMed] [Green Version]



| Fruit Sample | Variety | TPC (mg GAE/g DW) | Anthocyanins (mg C3GE/g DW) | Flavonoids (mg RUE/g DW) | Tannins (mg CAE/g DW) |
|---|---|---|---|---|---|
| Raspberry | Ras1 | 8.05 ± 0.32 bc | 0.45 ± 0.04 e | 2.62 ± 0.11 d | 37.94 ± 2.32 a |
| Ras2 | 9.66 ± 0.30 b | 1.55 ± 0.08 d | 3.45 ± 0.86 dc | 112.53 ± 9.4 a | |
| Ras3 | 6.55 ± 0.35 cd | 0.65 ± 0.04 e | 2.39 ± 0.20 d | 49.47 ± 1.41 a | |
| Blueberry | Blu1 | 5.79 ± 0.17 d | 3.44 ± 0.17 a | 4.68 ± 0.21 ab | 107.24 ± 39.22 a |
| Blu2 | 5.08 ± 0.66 d | 2.25 ± 0.27 bc | 4.60 ± 0.22 ab | 84.24 ± 36 a | |
| Blu3 | 5.91 ± 0.22 d | 2.80 ± 0.24 b | 5.37 ± 0.37 a | 110.42 ± 56.7 a | |
| Blackberry | Bla1 | 11.94 ± 1.19 a | 2.29 ± 0.22 bc | 4.41 ± 0.16 abc | 112.05 ± 49.9 a |
| Bla2 | 11.32 ± 0.63 a | 2.15 ± 0.31 c | 4.15 ± 0.30 bc | 119.64 ± 68.7 a |
| Tentative Identification | Elemental Formula | Variety Sample | m/z Experimental | m/z Theoretical | tR |
|---|---|---|---|---|---|
| Quercetin-3-d-Galactoside * | C21H20O12 | Ras1 | 463.1829 | 463.1211 | 4.86 |
| Ras2 | 463.1829 | 463.1211 | 4.97 | ||
| Ras3 | 463.1829 | 463.1211 | 4.70 | ||
| Blu1 | 463.1741 | 463.1211 | 4.79 | ||
| Blu2 | 463.1741 | 463.1211 | 4.79 | ||
| Blu3 | 463.1741 | 463.1211 | 4.80 | ||
| Bla1 | 463.1829 | 463.1211 | 4.75 | ||
| Bla2 | 463.1829 | 463.1211 | 4.69 | ||
| Malvidin-3-Glucoside * | C23H25O12 | Ras1 | - | - | - |
| Ras2 | - | - | - | ||
| Ras3 | - | - | - | ||
| Blu1 | 491.1996 | 491.119 | 5.94 | ||
| Blu2 | 491.2086 | 491.119 | 3.91 | ||
| Blu3 | 491.2086 | 491.119 | 5.95 | ||
| Bla1 | 491.2813 | 491.119 | 6.24 | ||
| Bla2 | 491.2813 | 491.119 | 6.28 | ||
| Delphinidin 3-Glucoside * | C21H20O12 | Ras1 | - | - | - |
| Ras2 | - | - | - | ||
| Ras3 | - | - | - | ||
| Blu1 | 301.1333 | 301.0349 | 6.58 | ||
| Blu2 | 301.1333 | 301.0349 | 6.56 | ||
| Blu3 | 301.1262 | 301.0349 | 6.68 | ||
| Bla1 | 301.0977 | 301.0349 | 4.80 | ||
| Bla2 | 301.0977 | 301.0349 | 4.69 | ||
| Cyanidin 3-Glucoside * | C21H21O11+ | Ras1 | 447.1505 | 447.1242 | 4.96 |
| Ras2 | 447.1505 | 447.1242 | 4.97 | ||
| Ras3 | 447.1505 | 447.1242 | 5.29 | ||
| Blu1 | 447.1764 | 447.1242 | 5.33 | ||
| Blu2 | 447.1764 | 447.1242 | 5.33 | ||
| Blu3 | 447.1764 | 447.1242 | 5.35 | ||
| Bla1 | 447.1851 | 447.1242 | 2.98 | ||
| Bla2 | 447.1851 | 447.1242 | 3.11 | ||
| Petunidin-3-O-Beta-Glucoside | C22H23O12 | Ras1 | 477.16 | 477.1033 | 4.86 |
| Ras2 | 477.16 | 477.1033 | 4.97 | ||
| Ras3 | 477.16 | 477.1033 | 4.70 | ||
| Blu1 | 477.1868 | 477.1033 | 5.33 | ||
| Blu2 | 477.1957 | 477.1033 | 5.33 | ||
| Blu3 | 477.1764 | 477.1033 | 5.35 | ||
| Bla1 | - | - | - | ||
| Bla2 | - | - | - | ||
| Pelargonidin-3-Glucoside | C21H21O10 | Ras1 | 431.3153 | 431.0978 | 12.33 |
| Ras2 | 431.3068 | 431.0978 | 12.33 | ||
| Ras3 | 431.3068 | 431.0978 | 12.45 | ||
| Blu1 | - | - | - | ||
| Blu2 | - | - | - | ||
| Blu3 | - | - | - | ||
| Bla1 | 431.2898 | 431.0978 | 4.07 | ||
| Bla2 | 431.2898 | 431.0978 | 4.09 | ||
| Peonidin-3-O-Glucoside | C22H23O11 | Ras1 | 461.2635 | 461.1084 | 4.20 |
| Ras2 | 461.2722 | 461.1084 | 5.18 | ||
| Ras3 | 461.2546 | 461.1084 | 4.21 | ||
| Blu1 | 461.2019 | 461.1084 | 3.91 | ||
| Blu2 | 461.2019 | 461.1084 | 3.99 | ||
| Blu3 | 461.2019 | 461.1084 | 3.91 | ||
| Bla1 | - | - | - | ||
| Bla2 | - | - | - | ||
| (-) Epicatechin | C15H14O6 | Ras1 | 289.1659 | 289.0712 | 3.79 |
| Ras2 | 289.1659 | 289.0712 | 3.84 | ||
| Ras3 | 289.1659 | 289.0712 | 3.79 | ||
| Blu1 | - | - | - | ||
| Blu2 | - | - | - | ||
| Blu3 | - | - | - | ||
| Bla1 | - | - | - | ||
| Bla2 | - | - | - | ||
| Ellagic acid | C14H6O8 | Ras1 | 301.0977 | 301.0358 | 4.72 |
| Ras2 | 301.0906 | 301.0358 | 4.70 | ||
| Ras3 | 301.0977 | 301.0358 | 4.70 | ||
| Blu1 | - | - | - | ||
| Blu2 | - | - | - | ||
| Blu3 | - | - | - | ||
| Bla1 | - | - | - | ||
| Bla2 | - | - | - | ||
| p-Coumaric acid | C9H8O3 | Ras1 | - | - | - |
| Ras2 | 163.1315 | 163.0395 | 4.42 | ||
| Ras3 | 163.1315 | 163.0395 | 4.21 | ||
| Blu1 | - | - | - | ||
| Blu2 | - | - | - | ||
| Blu3 | - | - | - | ||
| Bla1 | - | - | - | ||
| Bla2 | - | - | - | ||
| Gallic acid | C7H6O5 | Blu1 | 169.0798 | 169.0606 | 9.03 |
| Blu2 | 169.0798 | 169.0606 | 5.33 | ||
| Blu3 | 169.0824 | 169.0606 | 5.35 | ||
| Caffeic acid | C15H10O4 | Blu1 | 179.0695 | 179.0345 | 4.16 |
| Blu2 | 179.0641 | 179.0345 | 0.52 | ||
| Blu3 | 179.1408 | 179.0345 | 1.67 | ||
| Catechin | C15H14O6 | Bla1 | 289.1659 | 289.1219 | 3.79 |
| Bla2 | 289.1729 | 289.1219 | 3.96 | ||
| Salicylic acid | C7H6O3 | Bla1 | 137.1133 | 137.0249 | 5.72 |
| Bla2 | 137.1133 | 137.0249 | 5.70 |
| Compound | Lipase (kcal/mol) | Dipeptidyl Peptidase IV (kcal/mol) | α-Glucosidase (kcal/mol) | α-Amylase (kcal/mol) |
|---|---|---|---|---|
| Quercetin 3-d-Glucoside | −8.7 | −7.1 | −5.7 | −8.4 |
| Malvidin 3-O-Glucoside | −7.7 | −6.7 | −5.4 | −7.8 |
| Delphinidin 3-O-Glucoside | −8.5 | −6.9 | −6.4 | −8.0 |
| Cyanidin 3-Glucoside | −8.6 | −7.0 | −6.4 | −8.3 |
| Petunidin 3-O-Glucoside | −8.5 | −6.9 | −6.4 | −8.0 |
| Pelargonidin 3-Glucoside | −8.7 | −6.8 | −5.5 | −8.0 |
| Peonidin 3-O-Glucoside | −8.5 | −6.3 | −6.2 | −8.5 |
| (-) Epicatechin | −9.2 | −6.9 | −7.3 | −8.6 |
| Ellagic acid | −9.3 | −7.4 | −7.7 | −8.6 |
| p-Coumaric acid | −6.2 | −6.4 | −5.6 | −6.4 |
| Gallic acid | −6.1 | −6.4 | −5.5 | −6.4 |
| Caffeic acid | −6.7 | −6.7 | −6.7 | |
| Catechin | −9.2 | −6.6 | −7.5 | −8.9 |
| Salicylic acid | −6.2 | −5.4 | −5.4 | −5.9 |
| Orlistat | −6.2 | - | - | - |
| Sitagliptin | - | −6.7 | - | - |
| Acarbose | - | - | −6.6 | −7.2 |
Publisher’s Note: MDPI stays neutral with regard to jurisdictional claims in published maps and institutional affiliations. |
© 2022 by the authors. Licensee MDPI, Basel, Switzerland. This article is an open access article distributed under the terms and conditions of the Creative Commons Attribution (CC BY) license (https://creativecommons.org/licenses/by/4.0/).
Share and Cite
Virgen-Carrillo, C.A.; Valdés Miramontes, E.H.; Fonseca Hernández, D.; Luna-Vital, D.A.; Mojica, L. West Mexico Berries Modulate α-Amylase, α-Glucosidase and Pancreatic Lipase Using In Vitro and In Silico Approaches. Pharmaceuticals 2022, 15, 1081. https://doi.org/10.3390/ph15091081
Virgen-Carrillo CA, Valdés Miramontes EH, Fonseca Hernández D, Luna-Vital DA, Mojica L. West Mexico Berries Modulate α-Amylase, α-Glucosidase and Pancreatic Lipase Using In Vitro and In Silico Approaches. Pharmaceuticals. 2022; 15(9):1081. https://doi.org/10.3390/ph15091081
Chicago/Turabian StyleVirgen-Carrillo, Carmen Alejandrina, Elia Herminia Valdés Miramontes, David Fonseca Hernández, Diego A. Luna-Vital, and Luis Mojica. 2022. "West Mexico Berries Modulate α-Amylase, α-Glucosidase and Pancreatic Lipase Using In Vitro and In Silico Approaches" Pharmaceuticals 15, no. 9: 1081. https://doi.org/10.3390/ph15091081
APA StyleVirgen-Carrillo, C. A., Valdés Miramontes, E. H., Fonseca Hernández, D., Luna-Vital, D. A., & Mojica, L. (2022). West Mexico Berries Modulate α-Amylase, α-Glucosidase and Pancreatic Lipase Using In Vitro and In Silico Approaches. Pharmaceuticals, 15(9), 1081. https://doi.org/10.3390/ph15091081

