Synthesis and Biological Activity Characterization of Novel 5-Oxopyrrolidine Derivatives with Promising Anticancer and Antimicrobial Activity
Abstract
1. Introduction
2. Results and Discussion
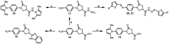
2.1. Synthesis
2.2. The Anticancer Activity of 5-Oxopyrrolidine Derivatives 2 and 4–22
2.3. The Antimicrobial Activity of 5-Oxopyrrolidine Derivatives 2 and 4–22
3. Materials and Methods
3.1. Synthesis
3.2. Antimicrobial Activity Characterization
3.2.1. Bacterial Strains and Culture Conditions
3.2.2. Minimal Inhibitory Concentration Determination
3.2.3. The Cytotoxic Activity Characterization
3.2.4. Statistical Analysis
4. Conclusions
Supplementary Materials
Author Contributions
Funding
Institutional Review Board Statement
Informed Consent Statement
Data Availability Statement
Conflicts of Interest
References
- Uesugi, S.; Fujisawa, N.; Yoshida, J.; Watanabe, M.; Dan, S.; Yamori, T.; Shiono, Y.; Kimura, K. Pyrrocidine A, a metabolite of endophytic fungi, has a potent apoptosis-inducing activity against HL60 cells through caspase activation via the Michael addition. J. Antibiot. 2016, 69, 133–140. [Google Scholar] [CrossRef]
- Asami, Y.; Kakeya, H.; Onose, R.; Yoshida, A.; Matsuzaki, H.; Osada, H. Azaspirene: A Novel Angiogenesis Inhibitor Containing a 1-Oxa-7-azaspiro[4.4]non-2-ene-4,6-dione Skeleton Produced by the Fungus Neosartorya sp. Org. Lett. 2002, 4, 2845–2848. [Google Scholar] [CrossRef] [PubMed]
- Enna, S.J.; Bylund, D.B. xPharm: The Comprehensive Pharmacology Reference; Elsevier: Amsterdam, The Netherlands; Boston, MA, USA.
- Sueyoshi, K.; Yamada, M.; Yamano, A.; Ozaki, K.; Sumimoto, S.; Iwasaki, A.; Suenaga, K.; Teruya, T. Ypaoamides B and C, Linear Lipopeptides from an Okeania sp. Marine Cyanobacterium. J. Nat. Prod. 2018, 81, 1103–1107. [Google Scholar] [CrossRef] [PubMed]
- Lee, H.-S.; Jeong, G.-S. Salinosporamide A, a Marine-Derived Proteasome Inhibitor, Inhibits T Cell Activation through Regulating Proliferation and the Cell Cycle. Molecules 2020, 25, 5031. [Google Scholar] [CrossRef]
- Islam, M.S.; Al-Majid, A.M.; El-Senduny, F.F.; Badria, F.A.; Rahman, A.F.M.M.; Assem Barakat, A.; Elshaier, Y.A.M.M. Synthesis, Anticancer Activity, and Molecular Modeling of New Halogenated Spiro[pyrrolidine-thiazolo-oxindoles] Derivatives. Appl. Sci. 2020, 10, 2170. [Google Scholar] [CrossRef]
- Dai, W.; Lou, N.; Xie, D.; Hu, Z.; Song, H.; Lu, M.; Shang, D.; Wu, W.; Peng, J.; Yin, P.; et al. N-Ethyl-2-Pyrrolidinone-Substituted Flavan-3-Ols with Antiinflammatory Activity in Lipopolysaccharide-Stimulated Macrophages Are Storage-Related Marker Compounds for Green Tea. J. Agric. Food Chem. 2020, 68, 12164–12172. [Google Scholar] [CrossRef]
- Muneer, S.; Memon, S.; Pahnwar, Q.K.; Bhatti, A.A.; Khokhar, T.S. Synthesis and investigation of antimicrobial properties of pyrrolidine appended calix[4]arene. J. Anal. Sci. Technol. 2017, 8, 3–8. [Google Scholar] [CrossRef][Green Version]
- Pendri, A.; Troyer, T.L.; Sofia, M.J.; Walker, M.A.; Naidu, B.N.; Banville, J.; Meanwell, N.A.; Dicker, I.; Lin, Z.; Krystal, M.; et al. Solid Phase Synthesis of Novel Pyrrolidinedione Analogs as Potent HIV-1 Integrase Inhibitors. J. Comb. Chem. 2010, 12, 84–90. [Google Scholar] [CrossRef]
- Siddiqui, S.; Ahmad, R.; Alaidarous, M.; Zia, Q.; Mir, S.A.; Alshehri, B.; Srivastava, A.; Trivedi, A. Phytoconstituents from Moringa oleifera fruits target ACE2 and open spike glycoprotein to combat SARS-CoV-2: An integrative phytochemical and computational approach. J. Food Biochem. 2022, 46, e14062. [Google Scholar] [CrossRef]
- Mao, F.; Ni, W.; Xu, X.; Wang, J.; Ji, M.; Li, J. Chemical Structure-Related Drug-Like Criteria of Global Approved Drugs. Molecules 2016, 21, 75. [Google Scholar] [CrossRef]
- Salgin-Gökşen, U.; Gökhan-Kelekçi, N.; Göktaş, O.; Köysal, Y.; Kiliç, E.; Işik, S.; Aktay, G.; Ozalp, M. 1-Acylthiosemicarbazides, 1,2,4-triazole-5(4H)-thiones, 1,3,4-thiadiazoles and hydrazones containing 5-methyl-2-benzoxazolinones: Synthesis, analgesic-anti-inflammatory and antimicrobial activities. Bioorg. Med. Chem. 2007, 15, 5738–5751. [Google Scholar] [CrossRef] [PubMed]
- Tian, B.; He, M.; Tang, S.; Hewlett, I.; Tan, Z.; Li, J.; Jin, Y.; Yang, M. Synthesis and antiviral activities of novel acylhydrazone derivatives targeting HIV-1 capsid protein. Bioorg. Med. Chem. Lett. 2009, 19, 2162–2167. [Google Scholar] [CrossRef] [PubMed]
- Ozkay, Y.; Tunali, Y.; Karaca, H.; Işikdağ, I. Antimicrobial activity and a SAR study of some novel benzimidazole derivatives bearing hydrazone moiety. Eur. J. Med. Chem. 2010, 45, 3293–3298. [Google Scholar] [CrossRef] [PubMed]
- Abdel-Aziz, A.A.-M.; El-Azab, A.S.; AlSaif, N.A.; Obaidullah, A.J.; Al-Obaid, A.M.; Al-Suwaidan, I.A. Synthesis, potential antitumor activity, cell cycle analysis, and multitarget mechanisms of novel hydrazones incorporating a 4-methylsulfonylbenzene scaffold: A molecular docking study. J. Enzym. Inhib. Med. Chem. 2021, 36, 1520–1536. [Google Scholar] [CrossRef] [PubMed]
- Angelova, V.; Karabeliov, V.; Andreeva-Gateva, P.A.; Tchekalarova, J. Recent Developments of Hydrazide/Hydrazone Derivatives and Their Analogs as Anticonvulsant Agents in Animal Models. Drug Dev. Res. 2016, 77, 379–392. [Google Scholar] [CrossRef]
- Kulandasamy, R.; Adhikari, A.V.; Stables, J.P. A new class of anticonvulsants possessing 6 Hz activity: 3,4-dialkyloxy thiophene bishydrazones. Eur. J. Med. Chem. 2009, 44, 4376–4384. [Google Scholar] [CrossRef]
- Ghazouani, L.; Khdhiri, E.; Elmufti, A.; Feriani, A.; Tir, M.; Baaziz, I.; Hajji, R.; Mansour, H.B.; Ammar, H.; Abid, S.; et al. Cardioprotective effects of (E)-4-hydroxy-N′-(1-(3-oxo-3H-benzo[f]chromen-2-yl)ethylidene)benzohydrazide: A newly synthesized coumarin hydrazone against isoproterenol-induced myocardial infarction in a rat model. Can. J. Physiol. Pharmacol. 2019, 97, 1–10. [Google Scholar] [CrossRef]
- Mashayekhi, V.; Haj, M.E.T.K.; Amidi, S.; Kobarfard, F. Synthesis of novel indole hydrazone derivatives and evaluation of their antiplatelet aggregation activity. Chem. Pharm. Bull. 2013, 61, 144–150. [Google Scholar] [CrossRef]
- Casanova, B.B.; Muniz, M.N.; de Oliveira, T.; de Oliveira, L.F.; Machado, M.M.; Fuentefria, A.M.; Gosmann, G.; Gnoatto, S.C.B. Synthesis and biological evaluation of hydrazone derivatives as antifungal agents. Molecules 2015, 20, 9229–9241. [Google Scholar] [CrossRef]
- Kareem, H.S.; Ariffin, A.; Nordin, N.; Heidelberg, T.; Abdul-Aziz, A.; Kong, K.W.; Yehye, W.A. Correlation of antioxidant activities with theoretical studies for new hydrazone compounds bearing a 3,4,5-trimethoxy benzyl moiety. Eur. J. Med. Chem. 2015, 103, 497–505. [Google Scholar] [CrossRef]
- Anastassova, N.O.; Yancheva, D.Y.; Mavrova, A.T.; Kondeva-Burdina, M.S.; Tzankova, V.I.; Hristova-Avakumova, N.G.; Hadjimitova, V.A. Design, synthesis, antioxidant properties and mechanism of action of new N,N‘-disubstituted benzimidazole-2-thione hydrazone derivatives. J. Mol. Struct. 2018, 1165, 162–176. [Google Scholar] [CrossRef]
- Reis, J.S.; Correa, M.A.; Chung, M.C.; dos Santos, J.L. Synthesis, antioxidant and photoprotection activities of hybrid derivatives useful to prevent skin cancer. Bioorg. Med. Chem. 2014, 22, 2733–2738. [Google Scholar] [CrossRef] [PubMed]
- Baldisserotto, A.; Demurtas, A.; Lampronti, I.; Moi, D.; Balboni, G.; Vertuani, S.; Manfredini, S.; Onnis, V. Benzofuran hydrazones as potential scaffold in the development of multifunctional drugs: Synthesis and evaluation of antioxidant, photoprotective and antiprolferative activity. Eur. J. Med. Chem. 2018, 156, 118–125. [Google Scholar] [CrossRef]
- Elderwish, S.; Audebrand, A.; Nebigil, C.G.; Désaubry, L. Discovery of 3,3′-pyrrolidinyl-spirooxindoles as cardioprotectant prohibitin ligands. Eur. J. Med. Chem. 2020, 186, 111859. [Google Scholar] [CrossRef]
- Cave, C.; Galons, H.; Miocque, M.; Rinjard, P.; Tran, G.; Binet, P. Antihypertensive hydrazidones: α-aminoacylated 2-chlorobenzylidene hydrazines. Eur. J. Med. Chem. 1994, 29, 389–392. [Google Scholar] [CrossRef]
- Dascalua, A.-E.; Ghineta, A.; Lipkaa, E.; Furmana, C.; Rigoa, B.; Fayeullef, A.; Billamboza, M. Design, synthesis and evaluation of hydrazine and acyl hydrazine derivatives of 5-pyrrolidin-2-one as antifungal agents. Bioorg. Med. Chem. Lett. 2020, 30, 127220. [Google Scholar] [CrossRef]
- Betti, N.A.; Hussain, R.I.; Kadhem, S.A. Synthesis and Biological Evaluation of Some Pyrrolidine-2-one Derivatives. MJS 2020, 31, 31–40. [Google Scholar] [CrossRef][Green Version]
- Sapijanskaitė-Banevič, B.; Palskys, V.; Vaickelionienė, R.; Šiugždaitė, J.; Kavaliauskas, P.; Grybaitė, B.; Mickevičius, V. Synthesis and Antibacterial Activity of New Azole, Diazole and Triazole Derivatives Based on p-Aminobenzoic Acid. Molecules 2021, 26, 2597. [Google Scholar] [CrossRef] [PubMed]
- Tumosienė, I.; Peleckis, A.; Jonuškienė, I.; Vaickelionienė, R.; Kantminienė, K.; Šiugždaitė, J.; Beresnevičius, Z.J.; Mickevičius, V. Synthesis of novel 1,2- and 2-substituted benzimidazoles with high antibacterial and antioxidant activity. Monatsh. Chem. 2018, 149, 577–594. [Google Scholar] [CrossRef]
- Balandis, B.; Ivanauskaitė, G.; Smirnovienė, J.; Kantminienė, K.; Matulis, D.; Mickevičius, V.; Zubrienė, A. Synthesis and structure—Affinity relationship of chlorinated pyrrolidinone-bearing benzenesulfonamides as human carbonic anhydrase inhibitors. Bioorg. Chem. 2020, 97, 103658. [Google Scholar] [CrossRef]
- Rutkauskas, K.; Mickevičius, V.; Kantminienė, K.; Stasevych, M.; Komarovska-Porokhnyavets, O.; Musyanovych, R.; Novikov, V. Synthesis and antimicrobial activity of 1,3-disubstituted pyrrolidinones with hydrazone and naphthoquinone moieties. Chemija 2013, 24, 74–80. [Google Scholar]
- Belyaev, A.; Zhang, X.; Augustyns, K.; Lambeir, A.-M.; De Meester, I.; Vedemikova, I.; Schrpė, S.; Haemers, A. Structure-Activity Relationship of diaryl phosphonate esters as potent irreversible dipeptidyl peptidase IV inhibitors. J. Med. Chem. 1999, 42, 1041–1052. [Google Scholar] [CrossRef] [PubMed]
- Bandeira, P.N.; Lemos, T.L.; Santos, H.S.; de Carvalho, M.C.S.; Pinheiro, D.P.; de Moraes Filho, M.O.; Pessoa, C.; Barros-Nepomuceno, F.W.A.; Rodrigues, T.H.S.; Ribeiro, P.R.V.; et al. Synthesis, structural characterization, and cytotoxic evaluation of chalcone derivatives. Med. Chem. Res. 2019, 28, 2037–2049. [Google Scholar] [CrossRef]
- Salem, M.S.; Guirguis, D.B.; El-Helw, E.A.E.; Ghareeb, M.A.; Derbala, H.A.Y. Antioxidant activity of heterocyclic compounds derived from 4-(4-acetamidophenyl)-4-oxobut-2-enoic acid. Int. J. Sci. Res. 2014, 3, 1274–1282. [Google Scholar]
- Chen, L.; Wang, P.; Li, Z.; Zhou, L.; Wu, Z.; Song, B.; Yang, S. Antiviral and antibacterial activities of N-(4-substituted phenyl)acetamide derivatives bearing 1,3,4-oxadiazole moiety. Chin. J. Chem. 2016, 34, 1236–1244. [Google Scholar] [CrossRef]
- Brokaite, K.; Mickevicius, V.; Mikulskiene, G. Synthesis and structural investigation of some 1,4-disubstituted-2-pyrrolidinones. Arkivoc 2006, 2, 61–67. [Google Scholar] [CrossRef]
- Clinical and Laboratory Standards Institute. Methods for Dilution Antimicrobial Susceptibility Tests for Bacteria That Grow Aerobically; CLSI document M07-A8; Clinical and Laboratory Standards Institute: Wayne, PA, USA, 2009. [Google Scholar]





| Bacteria | Strain Number | Resistance Mechanisms | MIC, µg/mL | ||||
|---|---|---|---|---|---|---|---|
| Compound 21 | FOX | CLIN | VAN | LZD | |||
| S. aureus | 215 | aadD, blaZ, erm(A), mecA, spc | 8 | >16 | 32 | 4 | 4 |
| S. aureus | 216 | aph(3′)-III, mecA, mph(C), msr(A) | 2 | 16 | 0.25 | 4 | 2 |
| S. aureus | 219 | aac(6′)-aph(2″), aadD, erm(A), mecA, spc, tet(M) | 4 | >16 | >16 | 8 | 1 |
| S. aureus | 223 | mecA | 1 | 16 | 0.5 | 2 | 4 |
| S. aureus | 224 | aph(3′)-III, erm(A), mecA, spc, tet(K) | 4 | 16 | 1 | 4 | 4 |
| S. aureus | 227 | aadD, blaZ, erm(A), mecA, spc | 8 | >16 | 16 | 4 | 4 |
| Bacteria | Strain Number | Resistance Mechanisms | MIC, µg/mL | |||||
|---|---|---|---|---|---|---|---|---|
| Compound 21 | FOX | CLIN | VAN | LZD | TED | |||
| S. aureus | 701 | mecA | 16 | 16 | 1 | 1 | 16 | 1 |
| S. aureus | 702 | mecA | 4 | 16 | 0.5 | 1 | 8 | 1 |
| S. aureus | 703 | mecA | 32 | 16 | 32 | 0.5–1 | 8 | 2 |
| S. aureus | 704 | mecA | 64 | 16 | 1 | 1 | 32 | 2 |
| Bacterial Strains | MIC, µg/mL | |
|---|---|---|
| Compound 21 | Metronidazole | |
| Clostridioides difficile AR-1074 | 16 | 1 |
| Clostridium perfringens ATCC 12916 | 8 | 0.5 |
| Bacteroides fragilis ATCC 43858 | 64 | 0.5 |
| Porphyromonas gingivalis ATCC 53978 | 32 | 0.5 |
Publisher’s Note: MDPI stays neutral with regard to jurisdictional claims in published maps and institutional affiliations. |
© 2022 by the authors. Licensee MDPI, Basel, Switzerland. This article is an open access article distributed under the terms and conditions of the Creative Commons Attribution (CC BY) license (https://creativecommons.org/licenses/by/4.0/).
Share and Cite
Kairytė, K.; Grybaitė, B.; Vaickelionienė, R.; Sapijanskaitė-Banevič, B.; Kavaliauskas, P.; Mickevičius, V. Synthesis and Biological Activity Characterization of Novel 5-Oxopyrrolidine Derivatives with Promising Anticancer and Antimicrobial Activity. Pharmaceuticals 2022, 15, 970. https://doi.org/10.3390/ph15080970
Kairytė K, Grybaitė B, Vaickelionienė R, Sapijanskaitė-Banevič B, Kavaliauskas P, Mickevičius V. Synthesis and Biological Activity Characterization of Novel 5-Oxopyrrolidine Derivatives with Promising Anticancer and Antimicrobial Activity. Pharmaceuticals. 2022; 15(8):970. https://doi.org/10.3390/ph15080970
Chicago/Turabian StyleKairytė, Karolina, Birutė Grybaitė, Rita Vaickelionienė, Birutė Sapijanskaitė-Banevič, Povilas Kavaliauskas, and Vytautas Mickevičius. 2022. "Synthesis and Biological Activity Characterization of Novel 5-Oxopyrrolidine Derivatives with Promising Anticancer and Antimicrobial Activity" Pharmaceuticals 15, no. 8: 970. https://doi.org/10.3390/ph15080970
APA StyleKairytė, K., Grybaitė, B., Vaickelionienė, R., Sapijanskaitė-Banevič, B., Kavaliauskas, P., & Mickevičius, V. (2022). Synthesis and Biological Activity Characterization of Novel 5-Oxopyrrolidine Derivatives with Promising Anticancer and Antimicrobial Activity. Pharmaceuticals, 15(8), 970. https://doi.org/10.3390/ph15080970

