Next Article in Journal
Investigation into the Antihypertensive Effects of Diosmetin and Its Underlying Vascular Mechanisms Using Rat Model
Next Article in Special Issue
Identification of a Dual Inhibitor of Secreted Phospholipase A2 (GIIA sPLA2) and SARS-CoV-2 Main Protease
Previous Article in Journal
Design, Synthesis, and Antitumor Evaluation of Novel Mono-Carbonyl Curcumin Analogs in Hepatocellular Carcinoma Cell
Previous Article in Special Issue
Design, Synthesis, and Development of Pyrazolo[1,5-a]pyrimidine Derivatives as a Novel Series of Selective PI3Kδ Inhibitors: Part II—Benzimidazole Derivatives
 
 
Font Type:
Arial Georgia Verdana
Font Size:
Aa Aa Aa
Line Spacing:
Column Width:
Background:
Article

Design, Synthesis, and Development of pyrazolo[1,5-a]pyrimidine Derivatives as a Novel Series of Selective PI3Kδ Inhibitors: Part I—Indole Derivatives

by
Mariola Stypik
1,2,*,
Marcin Zagozda
1,
Stanisław Michałek
1,2,
Barbara Dymek
1,
Daria Zdżalik-Bielecka
1,
Maciej Dziachan
1,
Nina Orłowska
1,2,
Paweł Gunerka
1,
Paweł Turowski
1,
Joanna Hucz-Kalitowska
1,
Aleksandra Stańczak
1,
Paulina Stańczak
1,
Krzysztof Mulewski
1,
Damian Smuga
1,
Filip Stefaniak
1,
Lidia Gurba-Bryśkiewicz
1,
Arkadiusz Leniak
1,
Zbigniew Ochal
2,
Mateusz Mach
1,
Karolina Dzwonek
1,
Monika Lamparska-Przybysz
1,
Krzysztof Dubiel
1 and
Maciej Wieczorek
1
add Show full author list remove Hide full author list
1
Celon Pharma S.A., ul. Marymoncka 15, 05-152 KazuńNowy, Poland
2
Faculty of Chemistry, Warsaw University of Technology, ul. Noakowskiego 3, 00-664 Warsaw, Poland
*
Author to whom correspondence should be addressed.
Pharmaceuticals 2022, 15(8), 949; https://doi.org/10.3390/ph15080949
Submission received: 22 June 2022 / Revised: 27 July 2022 / Accepted: 28 July 2022 / Published: 30 July 2022
(This article belongs to the Special Issue Design of Enzyme Inhibitors as Potential Drugs 2022)

Abstract

:
Phosphoinositide 3-kinase δ (PI3Kδ), a member of the class I PI3K family, is an essential signaling biomolecule that regulates the differentiation, proliferation, migration, and survival of immune cells. The overactivity of this protein causes cellular dysfunctions in many human disorders, for example, inflammatory and autoimmune diseases, including asthma or chronic obstructive pulmonary disease (COPD). In this work, we designed and synthesized a new library of small-molecule inhibitors based on indol-4-yl-pyrazolo[1,5-a]pyrimidine with IC50 values in the low nanomolar range and high selectivity against the PI3Kδ isoform. CPL302253 (54), the most potent compound of all the structures obtained, with IC50 = 2.8 nM, is a potential future candidate for clinical development as an inhaled drug to prevent asthma.

Graphical Abstract

1. Introduction

PI3Ks (phosphoinositide 3-kinases) are a family of lipid kinases that can perform the phosphorylation reaction of the hydroxyl group at the 3-position of the phosphatidylinositol ring. More specifically, they are capable of catalyzing the phosphorylation reaction of 4,5-phosphatidylinositol diphosphate (PIP2) to 3,4,5-phosphatidylinositol triphosphate (PIP3) [1,2,3]. This family of kinases consists of three classes (I, II, and III) in terms of the structure and affinity for the substrate. Most class Is of PI3Ks have been described in the literature. PI3K I consist of heterodimeric proteins: PI3Kα, PI3Kβ, PI3Kγ, and PI3Kδ [1,2,3,4]. Each of them is involved in different functions and cellular processes, such as proliferation, migration, cytokine production, or apoptosis [1,2,3,4]. Cells involved in the body’s immune response, such as macrophages, neutrophils, T, and B cells, highly expressed PI3Kγ and PI3Kδ [1,2,3,4,5]. The role of PI3Kδ as the co-stimulator between T to B cell interactions was also reported [6,7]. In addition, two other subunits, PI3Kα and PI3Kβ, are involved in normal embryogenesis or metabolism regulation. Therefore, PI3Kδ has been identified as an attractive and promising therapeutic target for the treatment of cancer, autoimmune and inflammatory diseases [8,9,10,11,12,13,14].
One of the manifestations of inflammatory diseases is asthma, a chronic illness with a spectrum of respiratory symptoms burdensome for patients [15,16,17]. It was reported that PI3Kδ is involved in the regulation of allergic asthma development processes, such as activation of cytokines expression by Th2 cells, activation of antibodies production (e.g., IgE) by B cells, activation of basophils, and accumulation following the migration of eosinophil in the lungs [2,15,18]. Thus far, several selective PI3Kδ inhibitors have been developed, to name only: Idelalisib (PI3Kδ selective) or Duvelisib (PI3Kδ and γ selective; Figure 1) [15,19,20,21]. Unfortunately, the toxicity and side effects caused by these candidates’ low selectivity in systemic action exclude them from the group of potential future therapeutics for asthma management [15,22,23]. Therefore, new approaches focused on developing safe, selective PI3Kδ inhibitors designed to be conveniently delivered by inhalation remain an unfulfilled challenge [15,23]. Rich expression of PI3Kδ by lung epithelial cells provides the rationale for the new drug design against asthma as the alternative for patients poorly responding to current treatments.
The therapeutic application of PI3Kδ inhibition at the molecular level utilizes particular interactions of the respective inhibitors within the p110δ subunit of the ATP binding site [24,25]. Several binding protein key sites are involved in this mechanism: the affinity pocket, the hinge pocket, and a hydrophobic region located below the non-conserved part of the enzyme’s active site [25,26,27]. Numerous active PI3Kδ inhibitors are characterized by the interactions with a conserved tyrosine residue (Tyr-876) and hydrogen bonds with Lys-833 located at the binding pocket [27,28]. Most selective PI3Kδ inhibitors, however, form a specific hydrogen bond between two critical amino acids: Trp-760 and Met-752 [24,28,29]. In addition, opening the pocket between the Trp-812 and Met-804 has been identified as a selectivity improvement operation [25]. Moreover, PI3Kδ selectivity strongly depends on the interaction with Trp-760, for which a ‘tryptophan shelf’ term was coined [6,24,25]. Binding to Asp-787 was also observed.
Many inhibitors of PI3K have been designed and developed to date. Of the small molecules [12,30,31] and non-specific inhibitors (pan-PI3K) PI-103 [32], ZSTK474 [33], Pictilisib (GDC-0941) [34], Copanlisib (BAY80-6946) [35] and Buparlisib (BKM-120) can be mentioned [36]. More selective inhibitors for particular enzyme isoforms were later developed, such as, e.g., Apitolisib (GDC-0980) [37], Idelalisib (CAL-101) [38], and Duvelisib (IPI-145) were developed [39]. Most of them are applied in cancer therapies [31]. Only a few PI3Kδ or PI3K γ/δ inhibitors have been considered potential drugs in the treatment of respiratory diseases such as chronic obstructive pulmonary disease (COPD) and asthma, namely Nemiralisib (GSK2269557) [40], RV-1729 [41], LAS195319 [42] and AZD8154 [43,44]. Among them, Nemiralisib (Figure 1, terminated in phase II clinical trials) [45] and GSK-2292767 (which did not cross phase I) were delivered by inhalation route [6,46]. In autoimmune and immunodeficiency diseases therapeutic area, two oral PI3Kδ inhibitors have advanced to clinical phase three development: Leniosilib and Seletalisib [5,47,48,49].
Most of the pan-PI3K inhibitors hold in their molecular structure bicyclic cores such as thienopyrimidines (GDC-0941), purines, pyridopyrimidines, or furopyrimidines (Figure 1) [6,27]. The enormous activity and selectivity potential have been associated with the presence of the morpholine ring in the “morpholine-pyrimidine” system (marked in red in Figure 1) [6]. In the hinge-binding mechanism motif, the morpholine ring plays a role as an H-bond acceptor. The heteroaromatic or aromatic ring (marked in green in Figure 1), placed in a “meta”-like position to the morpholine ring, takes up space within the affinity pocket of the enzyme (binding to Val-828) [6,25,27]. This mutual interaction enhances the activity and selectivity of designed inhibitors. Moreover, the heterocyclic system (marked in blue in Figure 1) occupying the pocket responsible for the kinase’s specificity drives the selectivity of the designed compounds [6,25,27].
In our work, utilizing known “morpholine-pyrimidine” structure-PI3Kδ-activity relationship and bicyclic pyrazolo[1,5-a]pyrimidine core, we developed a novel library of compounds focused on future COPD treatment. More specifically, we were fixed on the substitution of morpholine at the C(7) position leading to the 7-(morpholin-4-yl) pyrazolo[1,5-a]pyrimidine structural motif. According to mentioned in the above paragraphs’ correlations, we focused on the pyrazolo[1,5-a]pyrimidine core as probably the most promising structure (including the nitrogen atom in the five-membered ring), especially with the morpholine moiety in the appropriate position (to create the “morpholine-pyrimidine” system). We noticed that based on the structure of inhibitors as the candidates for the treatment of COPD or Asthma, cores based on bicyclic rings five-six-membered are more potent than six-six-membered, such as in CDZ 173 or UCB-5857. Moreover, we hoped that a five-six-membered ring, similar to pan-inhibitor GDC-0941 with appropriate modifications, could improve and increase the selectivity for isoform δ and thus becomes a selective PI3Kδ inhibitor. As a result, we obtained a selection of indole derivatives with improved potency and selectivity towards PI3Kδ inhibition. Moreover, we observed that 5-indole-pyrazolo[1,5-a]pyrimidine turned out to be the most promising core for future SAR studies.

2. Results and Discussion

2.1. Chemistry

The final compounds of our design were obtained in three different multistage approaches. The appropriate aminopyrazole derivatives (available commercially or synthesized) were used as the respective starting materials to provide the final inhibitors utilizing mainly the Buchwald–Hartwig reaction, the Suzuki coupling, or the Dess–Martin periodinane oxidation as the crucial synthetic steps.

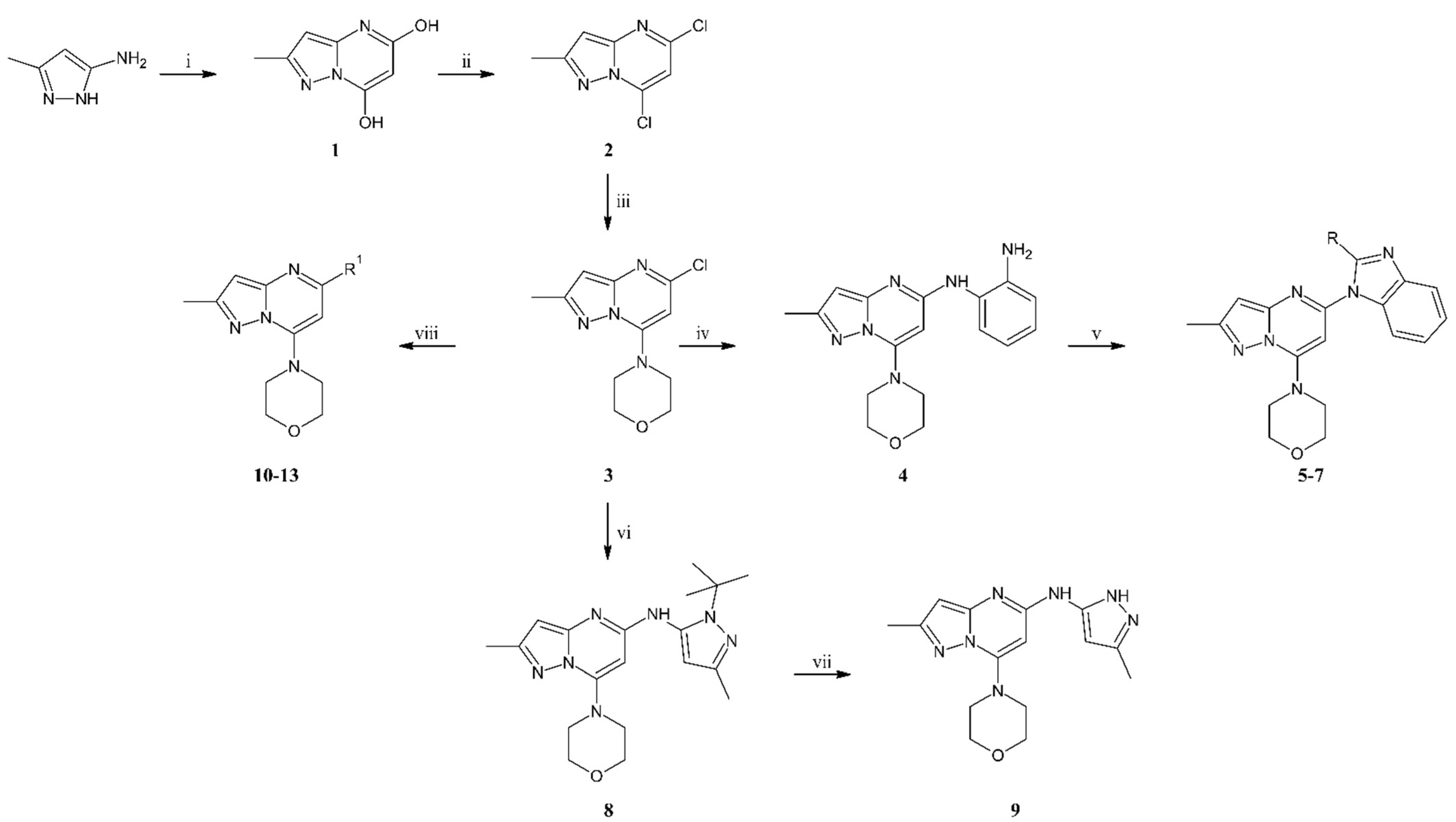
2.1.1. Synthesis of Compounds 5–3

2-Methyl pyrazolo[1,5-a]pyrimidine derivatives were obtained in a multi-step reaction according to Scheme 1. 5-Amino-3-methylpyrazole was reacted with diethyl malonate in the presence of a base (sodium ethanolate) to obtain dihydroxy-heterocycle 1 (89% yield). Then, 2-methylpyrazolo[1,5-a]pyrimidine-5,7-diol (1) was subjected to the chlorination reaction with phosphorus oxychloride to give 5,7-dichloro-2-methylpyrazolo[1,5-a]pyrimidine (2) (61% yield). Structure 3 was prepared from 2 in a nucleophilic substitution reaction using morpholine in the presence of potassium carbonate at room temperature (94% yield). The selectivity of the reaction results from the strong reactivity of the chlorine atom at position 7 of the pyrazolo[1,5-a]pyrimidine core [50]. 4-{5-Chloro-2-methylpyrazolo[1,5-a]pyrimidin-7-yl}morpholine (3) is the key intermediate in the preparation of a series of Supplementary compounds 513. Depending on the R1 substituent, the final compounds were prepared from 3 using two types of coupling reactions: either the Buchwald–Hartwig or the Suzuki coupling reaction. Benzimidazole derivatives 57 were synthesized by carrying out the three-step reaction: again, the Buchwald–Hartwig reaction (average yield of 61%), amidation, following the final cyclization step. The corresponding amides 57 were prepared in the presence of EDCI and HOBt from the appropriate carboxylic acids and amine 4, resulting from the Buchwald–Hartwig synthesis by the heterocycle ring closure in the presence of glacial acetic acid. Since this synthetic route requires no intermediate purification, the observed yields are satisfactory in the 74–77% range. A separate synthetic route was chosen for compound 9, obtained in two steps by the Buchwald–Hartwig reaction with a masked aminopyrazole (54% yield), followed by the final deprotection of intermediate 8 (89% yield). Derivatives 1013 were prepared by the Suzuki reaction of compound 3 with the respective esters or boronic acids in the presence of a palladium catalyst with yields in the range of 55–61%.

2.1.2. Synthesis of Compounds 2345

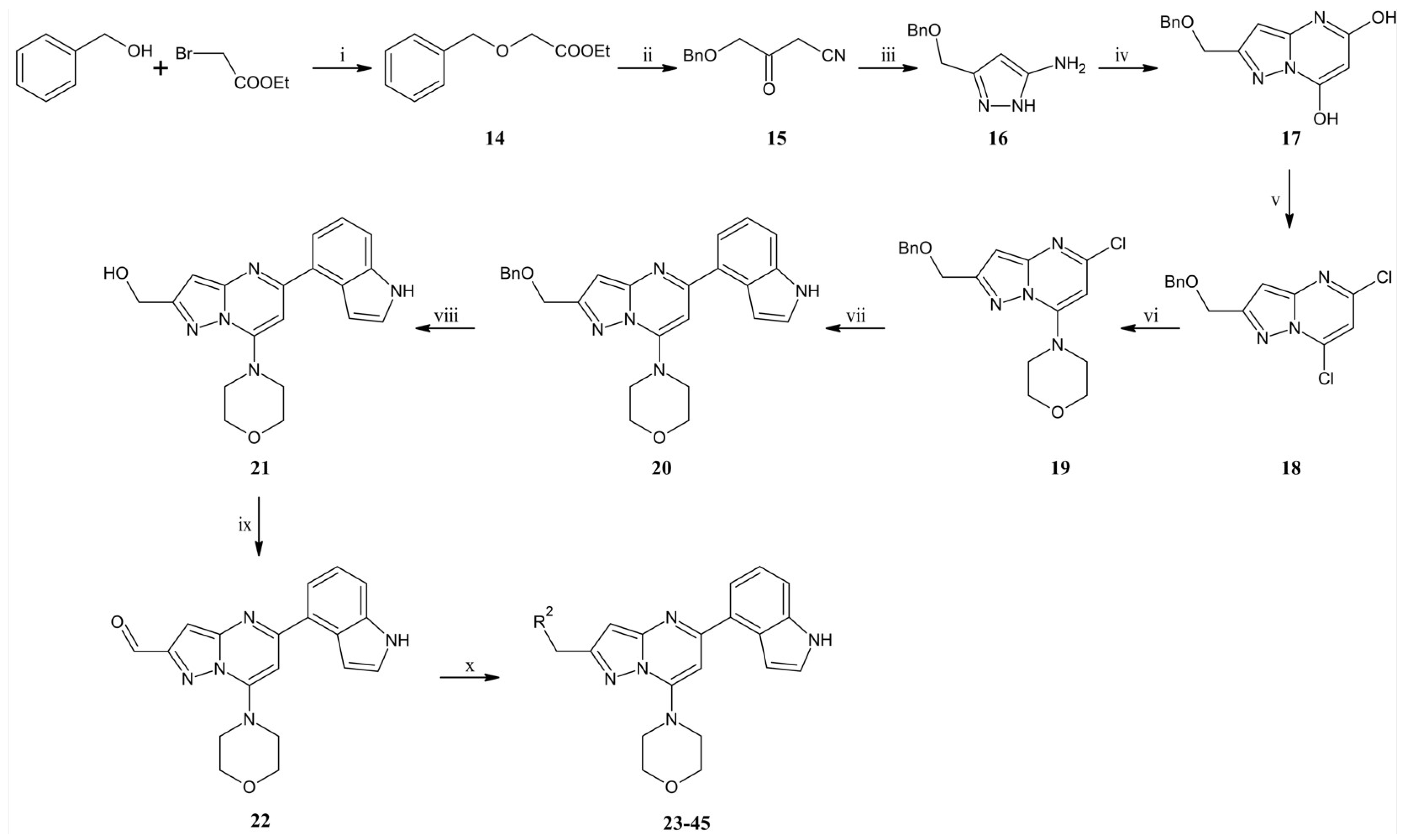
The synthesis of Supplementary compounds 2345 was more complicated and required several additional steps. The first three steps leading to compound 16 were performed based on the available literature data [51,52,53,54]. Initially, the reaction of benzyl alcohol with ethyl bromoacetate in the presence of sodium hydride gave the corresponding ether 14 (Scheme 2) with a 76% yield. Then the beta-ketoester derivative 15 was prepared by reaction with acetonitrile under basic conditions using 2,5 M n-butyllithium solution at a lower temperature of −78 °C. Compound 15 was subsequently condensed with hydrazine to give the corresponding aminopyrazole derivative 16 in satisfying 87% yield after two steps, as depicted in Scheme 2. The experiences gained in the previous synthetic route could be successfully extrapolated to accomplish the next four steps of the synthesis. Reaction of diethyl malonate with the aminopyrazole derivative 16 gave 2-[(benzyloxy)methyl]pyrazolo[1,5-a]pyrimidine-5,7-diol (17, 84% yield). Chlorination of 17 with phosphorus oxychloride provided the corresponding dichloro-derivative: 2-[(benzyloxy)methyl]-5,7-dichloropyrazolo[1,5-a]pyrimidine (18) in 38% yield. A selective and efficient (92% yield) substitution of the C(7)-chlorine atom in the heteroaromatic core with morpholine gave the analog of 3 (Scheme 1) as intermediate 19. Applying the Suzuki coupling conditions to 19 with indole-4-boronic acid pinacol ester led to benzyl masked alcohol 20 in 83% yield. Classical deprotection conditions (gaseous hydrogen over palladium catalyst on activated charcoal) of the benzyloxy group provided compound 21 in 66% yield. The subsequent oxidation reaction of primary alcohol 21 to the crucial aldehyde 22 was easily accomplished using the Dess–Martin reagent (Scheme 2) with a yield of 78%. A series of the reductive amination reactions utilizing compound 22 as a key intermediate with the appropriate cyclic amines gave additional contributors (23 to 45) to the growing library of PI3Kδ inhibitors in un-optimized yields varying from 25 to 93%.

2.1.3. Synthesis of Compounds 49–51 and 53–55

An essential intermediate 19 (Scheme 2) was also successfully used to prepare another set of compounds functionalized at the C(5) position to explore more deeply the structure-activity relationship of this particular core. The synthesis of another subset of substituted pyrazolo[1,5-a]pyrimidines is shown in Scheme 3. Due to the same reaction types, the synthesis pathways of examples Supplementary 49–51 and 53–55 were similar to the synthesis of the previous compounds (23–45, Scheme 2), the difference being the order of the Suzuki reaction and the reductive amination reaction sequence in the multistage synthesis pathway. After deprotection of the hydroxyl group of 19, compound 46 was oxidized to aldehyde 47 (Scheme 3). The following steps included a reductive amination reaction with the carefully selected, based on in silico calculations, amines: (2-(4-piperidyl)-2-propanol or N-t-butylpiperazine followed by a Suzuki coupling to provide Supplementary 49–51 and 53–55, respectively (Scheme 3).

2.2. Docking Study

Several approaches have been described leading to various structural docking theories explaining the selectivity of PI3Kδ inhibitors [25,27]. Opening the specificity pocket between the two amino acids, Trp-812 and Met-804, and adopting the appropriate shape within the protein combined with additional correlations, allows the identification of much more selective PI3Kδ inhibitors from all PI3K Class I isoforms [25,27,34]. It was reported that there are many meaningful interactions between ligand and protein in the enzyme’s active site [6,24,27]. First is the hydrogen bond of the morpholine from pyrazolo[1,5-a]pyrimidine derivative in the hinge-binding motif [6,24,25,26]. More precisely, the hydrogen bonding between the oxygen atom from the morpholine mentioned above the ring and amino acid Val-828 was crucial in the hinge region. It has been suggested that indole derivatives in the C(5) position of the core of pyrazolo[1,5-a]pyrimidine may form an additional hydrogen bond with Asp-787 (another important interaction in many selective inhibitors, most with the affinity pocket) [25]. For this reason, indole heterocycle-based inhibitors are more selective for PI3Kδ than other PI3K isoforms. In addition, a suitable substituent of this structure, which can extend into the solvent, can improve the solubility, ADME properties, and potency of the final compounds [25].
Our work is focused on the pyrazolo[1,5-a]pyrimidine scaffold and appropriate further optimization with different C(5) substituents.
An example of our approach showing the possible binding site of compound 13 with the kinase is presented in Figure 2. The docking procedure utilizes the PI3Kδ protein (PDB: 2WXP) and the Auto-Dock Vina program [55]. Compound 13 (magenta) binds similarity to protein as referent compound GDC-0941 (orange, Figure 2). More specifically, the oxygen atom in the morpholine ring forms a hydrogen bond with the amino acid (Val-828) in the hinge region of the enzyme (the importance of this interaction has been explained before). Moreover, the indole system’s hydrogen atom (NH) is involved in forming the hydrogen bond with the carbonyl oxygen in Asp-787 in the affinity pocket of the kinase (Figure 2).
Among the structures 24, 36, and 37 additional features were found in our in silico model compared to 13 and similars. Compared to compound 23, higher activity and selectivity can be explained by interactions with the tryptophan shelf (2WXP: Trp-760) in PI3Kδ, as described by Sutherlin et al. [25]. For those compounds, the distance between the R2 substituent and the tryptophan’s indole ring is significantly shorter (Figure 3A). Moreover, the additional hydrogen bond of the hydroxyl group in (2-(piperidin-4-yl) propan-2-ol) (36) with Lys-708 was observed (Figure 3B). On the other hand, for a derivative containing tert-butylpiperazine (37), strong hydrophobic interactions with tryptophan (Trp-760) were found, which may cause the withdrawal of the indole ring of 37 from the enzyme affinity pocket. Most likely, this situation is observed due to the lack of interaction with tyrosine (Tyr-813) and aspartic acid (Asp-787) in the mentioned pocket (Figure 3B).

2.3. Biological Evaluation

In Vitro PI3 Kinase Inhibition Assays

To verify whether the 7-(morpholin-4-yl) pyrazolo[1,5-a] pyrimidine system can inhibit PI3δ kinase, the synthesized compounds 6–13 were tested for inhibition of selected PI3Kδ and PI3Kα kinases activity. Enzymatic tests have been used, and the results are presented in Table 1.
The activity of these compounds ranged from 45 µM to 0.5 µM for the PI3K δ isoform and from over 60 µM to 1.06 µM for the PI3Kα isoform, and thus the α/δ selectivity ranged from 1 to 30 (Table 1). Among all benzimidazole derivatives synthesized, the most promising activity with the low PI3Kδ IC50 value was measured for compound 7 (IC50 = 0.47 µM) (Table 1). On the other hand, compounds 5 and 6, keeping benzimidazole derivatives within their structures, show significantly lower activity against the PI3Kδ isoform than compound 7 (IC50 value of 3.56 µM and 2.30 µM, respectively), regardless of better selectivity against the PI3Kα isoform (α/δ) (9.9 for 5 and 11 for 6). We observed that compounds with a monocyclic 5-or 6-membered heteroaromatic ring (911) turned out to be less active and thus showed a lower enzyme inhibition potential than the other bicyclic structures. Structures 12 and 13 bearing conjugated bicyclic system as the R1 substituent presented a similar activity to the benzimidazole derivatives. The most active were compounds having R1 substituents in the form of 2-difluoromethylbenzimidazole (7) and indole (13). Specifically, their IC50 value against PI3Kδ was 0.475 µM and 0.772 µM, respectively. Due to the much better α/δ selectivity of compound 13 over compound 7 (α/δ = 30 and α/δ = 2.2, respectively), we have chosen the indole derivatives for further optimization.
Compared to compound 13, significantly more sterically demanding derivatives were designed and synthesized as the next optimization step. While the indole fragments were preserved, many different cyclic amines were linked to the scaffold core through a methylene linkage as an R2 substituent (Table 2).
The synthesis of the new group of pyrazolo[1,5-a] pyrimidine derivatives (depicted in Scheme 2) required additional steps related to the functionalization of the C(2)-position of the heteroaromatic core. Firstly, a group of derivatives with differing sizes of heterocycle rings and different chemical properties of substituents (2331) was synthesized (Table 2). We noted that structures containing monocyclic five-membered rings (2526) and morpholine (28) turned out to be less potent PI3Kδ inhibitors than compound 13 (Table 1). The mesylpiperazine group present in the GDC0941 Reference [34] did not significantly improve the activity of structurally similar compound 23 from our library (the IC50 value of that example for PI3Kδ and PI3Kα was 0.4 µM and 2.35 µM, respectively). Urea-derivatives, 30 and 31, also showed moderate activity. The most potent compounds in this group (Table 2) turn out to be the analogs of N,N-dimethyl-4-aminopiperidine (24), and 4-(N-methylpiperazin-1ylo)piperidine (29). Both, 24 and 29, showed promising inhibitory activity against PI3Kδ (37 nM and 52 nM respectively) and selectivity against other isoforms (α/δ = 172; β/δ = 389; γ/δ = 1332 for 24 and α/δ = 301 for 29). Careful structural analysis around the R2 substituent of the examples provided in Table 2 led us to several conclusions. Relatively modest activities of the compounds containing the methyl group, aromatic ring, or ester group at the C(4)-position of the heterocyclic ring misled us towards the synthesis of piperazine and piperidine analogs(3245) (Table 2). Moreover, the presence of the second ring within the R2 substituent (compounds 3940 and 4245) did not improve PI3Kδ activity compared to previously obtained compounds 24 or 29. Finally, only large aliphatic substituents within piperazine or piperidine rings gain the PI3Kδ potency and respective selectivity.
We observed that the best results were achieved for two compounds being the representatives of two different modifications. More specifically 2-(piperidin-4-yl) propan-2-ol (compound 36 of piperidine modification series) and N-tert-butylpiperazine (compound 37 of piperazine modification series) exhibit high activities towards the PI3Kδ (IC50 = 6.6 and 13.0 nM, respectively) and appreciable selectivities towards other isoforms (α/δ = 1217; β/δ = 332; γ/δ = 1223 for 36 and α/δ = 1889; β/δ = 829; γ/δ > 9091 for 37; Table 2). As the hit to lead optimization route continued, several indole and azaindole derivatives at the C(5) position were introduced to the existing scaffold. While preserving the most active amino groups, we prepared the piperidine derivatives series (summarized in Table 3) and piperazine derivatives series (covered in Table 4). From all the synthesized structures, the N-tert-butylpiperazine derivatives (37, 53, 54, 55, Table 4) show the highest PI3Kδ activity, greater than the piperidyl–propanol analogs shown in Table 3 (36, 49, 50, 51). The presence of the fluorine atom in the C(5)-position of the indol fragment causes a slight decrease in activity against the PI3Kδ isoform in both groups without affecting the selectivity toward other isoforms. The introduction of the nitrogen atom to the indole ring at position 7 caused a slight decrease in the activity of compound 51 (Table 3), which was almost doubled in the case of 55 (Table 4). Moreover, slight decreases in activity related to the PI3Kα isoform were observed for these structures. An introduction of a nitrogen atom in the 6-position of the indole caused a decrease in activity derivate 50 but a 10-fold improvement for 54. Decreased selectivity against the PI3Kα isoform was also observed for the azaindole structures (50, 51, 53, 54) despite the good activity in the nanomolar range (IC50 value: 2.8–45 nM).
We have found that two compounds: 37 and 54, from the entire synthesized library showed the best activity and selectivity for PI3Kδ. Based on all parameters, these structures showed the highest selectivity, the lowest IC50 values, and the most promising other parameters [15]. Consequently, those two selected examples were tested by flow cytometry towards the proliferation of B lymphocytes capabilities. Both showed very high potency in inhibiting B cell proliferation with IC50 values of 20 nM and 19 nM, respectively (Table 5). Moreover, compound 54 had better kinetic solubility at pH 7.4 than compound 37 (>500 and 444 µM respectively) (Table 5). We also observed that the presence of nitrogen atom in the 6-azaindole ring of 54 molecule results in higher metabolic stability in murine and human microsomes (for details, see Table 5).

3. Materials and Methods

3.1. Chemistry

3.1.1. General Information

Chemicals (at least 95% purity) were purchased from ABCR (Karlsruhe, Germany), Acros (Geel, Belgium), Alfa Aesar (Haverhill, MA, USA), Combi-Blocks (San Diego, CA, USA), Fluorochem (Hadfield, UK), Fluka (Charlotte, NC, USA), Merck (Rahway, NJ, USA), and Sigma Aldrich (St. Louis, MO, USA) and were used without additional purification. Solvents were purified according to standard procedures if required. Air or moisture-sensitive reactions were carried out under an argon atmosphere. All reaction progresses were routinely checked by thin-layer chromatography (TLC). TLC was performed using silica gel coated plates (Kieselgel F254) and visualized using UV light. Flash chromatography was performed using Merck silica gel 60 (230–400 mesh ASTM). 1H NMR spectra were acquired on a Varian Inova 300 MHz NMR spectrometer, JOEL JNMR-ECZS 400 MHz spectrometer, JOEL JNMR-ECZR 600 MHz spectrometer, and Bruker DRX 500 NMR spectrometer with 1H being observed at 300 MHz, 400 MHz, 600 MHz, and 500 MHz, respectively. 13C NMR spectra were recorded similarly at 75 MHz, 101 MHz, 151 MHz, and 126 MHz, frequencies for 13C, respectively. Due to the poor solubility of some final compounds, usual characterization by 13C NMR was omitted. Chemical shifts for 1H and 13C NMR spectra were reported in δ (ppm) using tetramethylsilane as an internal standard or according to the residual undeuterated solvent signal (2.50 ppm for DMSO-d6, and 7.26 ppm for CDCl3). The abbreviations for spin interaction coupled 1H signals are as follows: s (singlet), d (doublet), t (triplet), m (multiplet), dd (doublet of doublets), dt (doublet of triplet), q (quartet). Coupling constants (J) are expressed in Hertz. Mass spectra (Atmospheric Pressure Ionization Electrospray, API-ES, and Electrospray Ionization, ESI-MS) were obtained using Agilent 6130 LC/MSD spectrometer or Agilent 1290 UHPLC coupled with Agilent QTOF 6545 mass spectrometer.

3.1.2. Synthesis

  • Procedure for 5,7-dihydroxy-2-methylpyrazolo[1,5-a]pyrimidine (1)
To the flask with sodium ethoxide solution (obtained from sodium (4.73 g, 0.21 mol) and ethanol (175 mL) a solution of 3-amino-5-methylpyrazole (10.0 g, 0.10 mol) in ethanol (100 mL) and diethyl malonate (23.5 mL, 0.15 mol) were added. The reaction was carried out at reflux for 24 h. The reaction mixture was cooled to room temperature, and then the solvent was evaporated under reduced pressure. The residue was dissolved in 1200 mL of water and acidified with concentrated hydrochloric acid to a pH of about 2. Creamy solid precipitated from the solution was filtered off, washed, and dried. The title compound 1 (15.2 g, 0.08 mol) was obtained as an off-white solid with 89% yield. MS-ESI: m/z calcd for C7H7N3O2 [M+Na]+: 188.04; found 187.9.
  • Procedure for 5,7-dichloro-2-methylpyrazolo[1,5-a]pyrimidine (2)
To the cooled to 0 °C POCl3 (90 mL, 0.963 mol), compound 1 (15.2 g, 0.092 mol) was added. The reaction was carried out at reflux for 24 h. The reaction mixture was cooled to room temperature and poured into the water with ice. The mixture was quenched with a 6 M sodium hydroxide solution to pH 6. The aqueous phase was extracted with ethyl acetate, and after separation, the organic phase was dried with anhydrous sodium sulfate. After filtration of the drying agent and evaporation of the solvent, the residue was purified by column chromatography (0–40% ethyl acetate gradient in heptane) to give compound 2 (11.4 g, 0.056 mol) obtained as an off-white solid with 61% yield. 1H NMR (300 MHz, CDCl3) δ: 6.90 (s, 1H, Ar-H), 6.53 (s, 1H, Ar-H), 2.56 (s, 3H, CH3). MS-ESI: m/z calcd for C7H5Cl2N3 [M+H]+: 201.99; found 201.9.
  • Procedure for 5-chloro-2-methyl-7-morpholin-4-yl-pyrazolo[1,5-a]pyrimidine (3)
To the solution of compound 2 (2.0 g, 9.9 mmol) in acetone (50 mL), potassium carbonate (1.64 g, 11.9 mmol), and morpholine (1.35 mL, 15.5 mmol) were added. The reaction was carried out at room temperature for 1.5 h. Then water (100 mL) was added to the reaction mixture, and the precipitated white solid was filtered off. The obtained solid was washed with water (50 mL) and water/acetone mixture (2/1, v/v) (50 mL), then dried. Compound 3 (2.36 g, 0.09 mol) was obtained as a white solid with 94% yield. 1H NMR (300 MHz, CDCl3) δ: 6.29 (s, 1H, Ar-H), 6.01 (s, 1H, Ar-H), 4.00–3.92 (m, 4H, morph.), 3.81–3.72 (m, 4H, morph.), 2.46 (s, 3H, CH3). MS-ESI: m/z calcd for C11H13ClN4O [M+H]+: 253.09; found 253.0.
  • Procedure for N-(2-methyl-7-(morpholin-4-yl)pyrazolo[1,5-a]pyrimidin-5-yl)benzene-1,2-diamine (4)
The mixture of compound 3 (1.0 g, 3.96 mmol), benzene-1,2-diamine (1.31 g, 11.9 mmol), cesium carbonate (3.87 g, 11.9 mmol), tris(dibenzylideneacetone)dipalladium(0) (0.181 g, 0.20 mmol), 9,9-dimethyl-4,5-bis(diphenylphosphine)xanthene (0.229 g, 0.40 mmol) and dry toluene (40 mL) were introduced to the reaction Schlenk flask. The mixture was flushed with argon and stirred at 110 °C for 24 h. After cooling to room temperature, the reaction mixture was filtered through Celite®, and the solid was washed with ethyl acetate. The filtrate was concentrated under reduced pressure using an evaporator. The residue was resolved and purified by column chromatography (50–100% ethyl acetate gradient in heptane) to give the title compound 4 (0.78 g, 2.4 mmol) with 61% yield. 1H NMR (300 MHz, CDCl3) δ 7.23–7.17 (m, 1H, Ar-H), 7.16–7.09 (m, 1H, Ar-H), 6.88–6.76 (m, 2H, Ar-H), 6.37 (s, 1H, Ar-H), 5.92–5.86 (m, 1H), 5.30 (s, 1H), 4.01–3.81 (m, 4H, morph.), 3.58–3.45 (m, 4H, morph.), 2.39 (s, 3H, CH3). MS-ESI: m/z calcd for C17H20N6O [M+H]+: 325.18; found 325.1.
  • General Procedure for the Synthesis of Benzimidazole Derivatives (57)
In the solution of compound 4 (1.0 eq) dissolved in dry DCM (10 mL/1g of compound 4), the carboxylic acid (2.0 eq), HOBt × H2O (1.2 eq), EDCI × HCl (2.4 eq), and TEA (3.0 eq) were added. The whole reaction mixture was stirred at room temperature for 48 h. To the reaction, mixture water was added, and organic and water phases were separated. The aqueous phase was washed three times with DCM. Combined organic phases were dried over anhydrous sodium sulfate. After the drying agent was filtered off and the solvent evaporated, the reaction mixture was dissolved in glacial acetic acid. The reaction mixture was refluxed for 24 h. Then the reaction mixture was cooled and concentrated under reduced pressure. The residue was diluted with water and neutralized with a saturated sodium bicarbonate solution. The aqueous phase was extracted three times with ethyl acetate. Combined organic phases were dried over sodium sulfate. Once the drying agent was filtered off, the solvent was evaporated under reduced pressure using an evaporator. The reaction mixture was purified by column chromatography.
  • 2-methyl-5-(2-methylbenzimidazol-1-yl)-7-(morpholin-4-yl)pyrazolo[1,5-a]pyrimidine (5)
Compound 5 was prepared from compound 4 (0.20 g, 0.62 mmol), acetic acid (70 μL, 74 mg, 1.23 mmol), HOBt (0.10 g, 0.74 mmol), EDCI (0.28 g, 1.48 mmol), TEA (0.26 mL, 0.19 g, 1.85 mmol) and DCM (6.0 mL). The crude product was purified by flash chromatography to give 5 (0.16 g, 0.46 mmol) as a light yellow solid with 73% yield. 1H NMR (300 MHz, CDCl3) δ 7.78–7.72 (m, 1H, Ar-H), 7.50–7.45 (m, 1H, Ar-H), 7.34–7.22 (m, 2H, Ar-H), 6.42 (s, 1H, Ar-H), 6.16 (s, 1H, Ar-H), 4.03–3.97 (m, 4H, morph.), 3.88–3.82 (m, 4H, morph.), 2.76 (s, 3H, CH3), 2.53 (s, 3H, CH3). 13C NMR (75 MHz, CDCl3) δ 155.0, 151.6, 151.2, 150.4, 148.5, 142.7, 134.5, 123.0, 122.9, 119.4, 110.4, 96.1, 87.5, 66.2, 48.4, 15.6, 14.8. MS-ESI: m/z calcd for C19H20N6O [M+H]+: 349.18; found 349.1.
  • 2-methyl-5-(2-ethylbenzimidazol-1-yl)-7-(morpholin-4-yl)pyrazolo[1,5-a]pyrimidine (6)
Compound 6 was prepared from compound 4 (0.20 g, 0.62 mmol), propionic acid (92 μL, 91 mg, 1.23 mmol), HOBt (0.10 g, 0.74 mmol), EDCI (0.28 g, 1.48 mmol), TEA (0.26 mL, 0.19 g, 1.85 mmol) and DCM (6.0 mL). The crude product was purified by flash chromatography to give 6 (0.17 g, 0.47 mmol) as a white solid with 75% yield. 1H NMR (300 MHz, CDCl3) δ 7.83–7.76 (m, 1H, Ar-H), 7.47–7.41 (m, 1H, Ar-H), 7.34–7.21 (m, 2H, Ar-H), 6.42 (s, 1H, Ar-H), 6.15 (s, 1H, Ar-H), 4.03–3.97 (m, 4H, morph.), 3.88–3.82 (m, 4H, morph.), 3.11 (q, J = 7.5 Hz, 2H, CH2), 2.53 (s, 3H, CH3), 1.41 (t, J = 7.5 Hz, 3H, CH3). 13C NMR (75 MHz, CDCl3) δ 156.2, 155.0, 151.2, 150.4, 148.4, 142.7, 134.6, 123.0, 122.7, 119.5, 110.2, 96.2, 87.7, 66.2, 48.4, 22.1, 14.8, 11.9. MS-ESI: m/z calcd for C20H22N6O [M+H]+: 363.19; found 363.1.
  • 2-methyl-5-(2-difluoromethylbenzimidazol-1-yl)-7-(morpholin-4-yl)pyrazolo[1,5-a]pyrimidine (7)
Compound 7 was prepared from compound 4 (0.20 g, 0.62 mmol), difluoroacetic acid (77 μL, 0.12 g, 1.23 mmol), HOBt (0.10 g, 0.74 mmol), EDCI (0.28 g, 1.48 mmol), TEA (0.26 mL, 0.19 g, 1.85 mmol) and DCM (6.0 mL). The crude product was purified by flash chromatography to give 7 (0.18 g, 0.47 mmol) as a white solid with 76% yield. 1H NMR (300 MHz, CDCl3) δ 7.92 (d, J = 7.1 Hz, 1H, Ar-H), 7.65 (d, J = 7.4 Hz, 1H, Ar-H), 7.47–7.38 (m, 2H, Ar-H), 7.24 (t, J = 26.8 Hz, 1H, CHF2), 6.42 (s, 1H, Ar-H), 6.28 (s, 1H, Ar-H), 4.02–3.97 (m, 4H, morph.), 3.92–3.87 (m, 4H, morph.), 2.53 (s, 3H, CH3). MS-ESI: m/z calcd for C19H18F2N6O [M+H]+: 385.16; found 385.0.
  • Procedure for 1-tert-butyl-3-methyl-N-[2-methyl-7-(morpholin-4-yl)pyrazolo[1,5-a]pyrimidin-5-yl]-1H-pyrazol-5-amine (8)
The mixture of compound 3 (0.64 g, 2.53 mmol), 1-tert-butyl-3-methyl-1H-pyrazol-5-amine (0.59 g, 3.86 mmol), cesium carbonate (1.70 g, 5.16 mmol), tris(dibenzylideneacetone)dipalladium(0) (0.13 g, 0.12 mmol), 9,9-dimethyl-4,5-bis(diphenylphosphine)xanthene (0.15 g, 0.25 mmol) and dry toluene (30 mL) were introduced to the reaction Schlenk flask. The whole mixture was flushed with argon and stirred at 100 °C for 18 h. After cooling to room temperature, the reaction mixture was filtered through the Celite®, and the solid was washed with CHCl3 (50 mL). The filtrate was concentrated under reduced pressure. The residue was resolved on a chromatographic column (amine-functionalized silica gel) (0–10% ethyl acetate gradient in heptane) to give compound 8 (0.51g, 1.38 mmol) with 54% yield. 1H NMR (300 MHz, CDCl3) δ 7.02 (s, 1H, Ar-H), 6.01 (s, 1H, Ar-H), 5.77 (s, 1H), 3.96–3.86 (m, 4H, morph.), 3.59–3.49 (m, 4H, morph.), 2.38 (s, 3H, CH3), 2.29 (s, 3H, CH3), 1.60 (s, 9H, t-Bu.). 13C NMR (75 MHz, CDCl3) δ 156.9, 154.3, 151.9, 151.0, 146.1, 137.3, 104.6, 92.1, 79.2, 66.5, 59.8, 48.8, 30.3, 15.0, 14.6. MS-ESI: m/z calcd for C19H27N7O [M+H]+: 370.24; found 370.1.
  • Procedure for 3-methyl-N-[2-methyl-7-(morpholin-4-yl)pyrazolo[1,5-a]pyrimidin-5-yl]-1H-pyrazol-5-amine (9)
Compound 8 (0.20 g, 0.545 mmol), trifluoroacetic acid (1.0 mL), and water (4.0 mL) were refluxed for 20 h. Then, the reaction mixture was cooled to room temperature, water (10 mL) was added and the whole mixture was alkalized with saturated sodium carbonate solution (12 mL). Precipitation was observed and obtained solid was filtered off, washed with water (5 mL), and dried. The title compound 9 (0.15 g, 0.48 mmol) was isolated as a white solid with 89% yield. 1H NMR (400 MHz, DMSO-d6) δ 11.86 (s, 1H, NH), 9.41 (s, 1H, NH), 6.30 (s, 1H, Ar-H), 6.06 (s, 1H, Ar-H), 5.85 (s, 1H, Ar-H), 3.80–3.78 (m, 4H, morph.), 3.52–3.50 (m, 4H, morph.), 2.27 (s, 3H, CH3), 2.20 (s, 3H, CH3). 13C NMR (101 MHz, DMSO-d6) δ 153.6, 151.6, 150.7, 150.1, 95.1, 91.4, 81.8, 65.6, 48.0, 14.4, 10.9. MS-ESI: m/z calcd for C15H19N7O [M+H]+: 314.17; found 314.1.
  • General Procedure for the Suzuki Reaction
To the solution of compound 3 (1.0 eq) dissolved in 1,2-dimethoxyethane (DME) (10 mL/1 g of compound 3), boronic acid pinacol ester or boronic acid (1.5 eq), tetrakis(triphenylphosphino)palladium (0) (0.2 eq) and 2M aqueous sodium carbonate solution (2.0 eq) were added. The reaction mixture was refluxed overnight. Then, the reaction mixture was cooled to room temperature, filtered through the pad of Celite®, and obtained solid washed with ethyl acetate. The filtrate was concentrated under reduced pressure using an evaporator and the residue was purified by column chromatography.
  • 2-methyl-7-(morpholin-4-yl)-5-(1H-pyrazol-4-yl)pyrazolo[1,5-a]pyrimidine (10)
Synthesized from compound 3 (0.15 g, 0.594 mmol), 4-(4,4,5,5-tetramethyl-1,3,2-dioxaborolan-2-yl)-1H-pyrazole-1-carboxylic acid tert-butyl ester (0.26 g, 0.890 mmol), tetrakis(triphenylphosphine)palladium(0) (0.14 g, 0.119 mmol), 2M aqueous sodium carbonate solution (0.59 mL, 1.19 mmol) and DME (6 mL). The crude product was purified by flash chromatography (0–100% ethyl acetate gradient in heptane) to give 10 (0.095 g, 0.33 mmol) with 56% yield. 1H NMR (300 MHz, DMSO-d6) δ 13.18 (s, 1H, NH), 8.49 (s, 1H, Ar-H), 8.13 (s, 1H, Ar-H), 6.60 (s, 1H, Ar-H), 6.24 (s, 1H, Ar-H), 3.90–3.78 (m, 4H, morph.), 3.78–3.63 (m, 4H, morph.), 2.37 (s, 3H, CH3). 13C NMR (75 MHz, DMSO-d6) δ 152.8, 151.7, 151.4, 149.8, 138.1, 128.7, 121.7, 93.9, 89.3, 65.9, 48.3, 14.7. MS-ESI: m/z calcd for C14H16N6O [M+H]+: 285.15; found 284.9.
  • 2-methyl-7-(morpholin-4-yl)-5-(2-aminopyridin-5-yl)pyrazolo[1,5-a]pyrimidine (11)
Synthesized from compound 3 (0.10 g, 0.396 mmol), 2-aminopyridine-5-boronic acid pinacol ester (0.14 g, 0.594 mmol), tetrakis(triphenylphosphine)palladium(0) (91 mg, 0.079 mmol), 2M aqueous sodium carbonate solution (0.40 mL, 0.791 mmol) and DME (4 mL). the crude product was purified by flash chromatography (0–100% ethyl acetate gradient in heptane) to give 11 (0.075 g, 0.032 mol) with 61% yield. 1H NMR (300 MHz, CDCl3+CD3OD) δ 8.58 (d, J = 1.8 Hz, 1H), 8.11 (dd, J = 8.8, 1.8 Hz, 1H), 6.68 (d, J = 8.8 Hz, 1H, Ar-H), 6.47 (s, 1H, Ar-H), 6.34 (s, 1H), 4.04–3.98 (m, 4H, morph.), 3.80–3.75 (m, 4H, morph.), 2.49 (s, 3H, CH3). 13C NMR (75 MHz, CDCl3+CD3OD) δ 146.6, 136.8, 108.8, 100.2, 94.7, 88.7, 74.8, 70.2, 66.1, 29.5, 16.55, 14.0. MS-ESI: m/z calcd for C16H18N6O [M+H]+: 311.16; found 311.0.
  • 2-methyl-7-(morpholin-4-yl)-5-(1H-indazole-4-yl)pyrazolo[1,5-a]pyrimidine (12)
Synthesized from compound 3 (0.10 g, 0.396 mmol), 1H-indazole-4-boronic acid (0.10 g, 0.594 mmol), tetrakis(triphenylphosphine)palladium(0) (91 mg, 0.079 mmol), 2M aqueous sodium carbonate solution (0.40 mL, 0.791 mmol) and DME (4 mL). The crude product was purified by flash chromatography (0–100% ethyl acetate gradient in heptane) to give 12 (0.077 g, 0.23 mmol) with 58% yield. 1H NMR (300 MHz, CDCl3) δ 8.76–8.74 (m, 1H, NH), 7.69–7.65 (m, 1H), 7.61–7.57 (m, 1H, Ar-H), 7.53–7.46 (m, 1H), 6.59 (s, 1H, Ar-H), 6.50 (s, 1H, Ar-H), 4.06–3.98 (m, 4H, morph.), 3.85–3.76 (m, 4H, morph.), 2.54 (s, 3H, CH3). 13C NMR (75 MHz, CDCl3) δ 156.8, 154.8, 151.9, 150.6, 141.2, 135.8, 132.3, 128.9, 126.9, 121.0, 111.7, 96.3, 91.2, 66.6, 48.7, 15.2. MS-ESI: m/z calcd for C18H18N6O [M+H]+: 335.16; found 335.1.
  • 2-methyl-7-(morpholin-4-yl)-5-(1H-indole-4-yl)pyrazolo[1,5-a]pyrimidine (13)
Synthesized from compound 3 (0.10 g, 0.404 mmol), indole-4-boronic acid pinacol ester (0.15 g, 0.606 mmol), tetrakis(triphenylphosphine)palladium(0) (93 mg, 0.081 mmol), 2M aqueous sodium carbonate solution (0.40 mL, 0.80 mmol) and DME (5 mL). The crude product was purified by flash chromatography (0–50% ethyl acetate gradient in heptane) to give 13 (0.074 g, 0.22 mmol) with 55% yield. 1H NMR (300 MHz, CDCl3) δ 8.68 (s, 1H, NH), 7.63–7.55 (m, 1H, Ar-H), 7.48–7.39 (m, 1H, Ar-H), 7.33–7.21 (m, 2H, Ar-H), 7.10–7.04 (m, 1H, Ar-H), 6.61 (s, 1H, Ar-H), 6.45 (s, 1H, Ar-H), 4.05–3.93 (m, 4H, morph.), 3.82–3.70 (m, 4H, morph.), 2.52 (s, 3H, CH3). 13C NMR (75 MHz, CDCl3) δ 158.4, 154.1, 151.7, 150.1, 136.6, 131.3, 125.9, 125.4, 121.9, 120.2, 112.6, 102.6, 95.5, 92.1, 66.3, 48.4, 14.8. MS-ESI: m/z calcd for C19H19N5O [M+H]+: 334.17; found 334.0.
  • Procedure for Ethyl 2-benzyloxyacetate (14)
To the suspension of 60% NaH (21.8 g, 0.545 mol) in dry toluene (1000 mL), benzyl alcohol (47 mL, 0.454 mol) was added dropwise over 30 min. The whole mixture was stirred at room temperature for 4 h. The suspension was cooled in a water-ice bath and ethyl bromoacetate (66 mL, 0.595 mol) was added dropwise for 45 min. The reaction mixture was heated to room temperature and stirred for one h. The whole mixture was poured onto ice water (1200 mL) acidified with concentrated hydrochloric acid (10 mL) to pH 4. Phases were separated and the aqueous phase was extracted three times with diethyl ether (200 mL). Combined organic phases were washed with brine and dried over anhydrous magnesium sulfate. After filtration of the drying agent, organic solvents were evaporated under reduced pressure. The residue was separated by distillation under reduced pressure to give (66.7 g, 0.34 mol) ethyl 2-benzyloxyacetate (14) with 76% yield as a colorless liquid (Tb = 104–106°C / 0.7 tor). 1H NMR (500 MHz, CDCl3) δ: 7.39–7.28 (m; 5H, Ar-H), 4.63 (s; 2H, CH2), 4.23 (q; J = 7.1 Hz; 2H, CH2), 4.09 (s; 2H, CH2), 1.28 (t; J = 7.1 Hz; 3H, CH3). MS-ESI: m/z calcd for C11H14O3 [M+H]+: 195.23; found 195.1.
  • Procedure for 4-benzyloxy-3-oxobutyronitrile (15)
A flask filled with dry THF (750 mL) under an argon atmosphere was cooled to −78 °C, then 2.5 M n-BuLi hexane solution (200 mL, 0.5 mol) was added, and after that acetonitrile (28 mL, 0.533 mol) was added dropwise. The whole mixture was stirred at −78 °C for 2 h. The mixture was transferred dropwise to the suspension of ethyl 2-benzyloxyacetate (77.7 g, 0.4 mol) dropwise, and stirring was continued at −78 °C for one h. The reaction was quenched with ammonium chloride solution (500 mL). The reaction mixture was poured onto ice water and acidified with 6 M hydrochloric acid (250 mL) to pH 3. The aqueous phase was extracted twice with diethyl ether (400 mL). Combined organic phases were washed with brine and dried over anhydrous magnesium sulfate. The drying agent was filtered off, and the solvent was evaporated under reduced pressure. Compound 15 was used in the next step without additional purification. MS-ESI: m/z calcd for C11H11NO2 [M+H]+: 190.22; found 190.1.
  • Procedure for 3-(benzyloxymethyl)-1H-pyrazol-5-amine (16)
To compound 15 (75.7 g, 0.4 mol, obtained above), ethanol (500 mL) and hydrazine monohydrate (100 mL, 2.1 mol) were added. The mixture was refluxed for 16 h. After concentration, the residue was dissolved with chloroform and dried over anhydrous sodium sulfate. Then, the drying agent was filtered off, and the solvent was evaporated. The crude product was purified by column chromatography (0–5% methanol gradient in ethyl acetate) to give 16 (70.4 g, 0.34 mol) with 87% yield after two steps as a brown oil. 1H NMR (300 MHz; CDCl3) δ: 7.39–7.28 (m; 5H, Ar-H); 5.59 (s; 1H); 4.53 (s; 2H, CH2); 4.50 (s; 2H, CH2). MS-ESI: m/z calcd for C11H13N3O [M+H]+: 204.25; found 204.1.
  • Procedure for 2-(benzyloxymethyl)pyrazolo[1,5-a]pyrimidin-5,7-diol (17)
To the flask containing sodium ethanolate solution (obtained from sodium ethanolate (53 g, 0.74 mol) and ethanol (700 mL)), compound 16 (70.4 g, 0.35 mol) dissolved in ethanol (200 mL) and diethyl malonate (80 mL, 0.53 mol) was added. The reaction was refluxed for 24 h. Then the reaction mixture was cooled to room temperature, and the solvent was evaporated under reduced pressure. The residue was dissolved in water (1200 mL) and acidified with concentrated hydrochloric acid (250 mL). Creamy solid precipitated from the solution was filtered off, washed, and dried to give 17 (79.0 g, 0.27 mol) with 84% yield as a creamy solid. MS-ESI: m/z calcd for C14H13N3O3 [M+Na]+: 294.26; found 294.1.
  • Procedure for 2-(benzyloxymethyl)-5,7-dichloropyrazolo[1,5-a]pyrimidine (18)
The suspension of compound 17 (30 g, 0.11 mol) in acetonitrile (270 mL) was cooled to 0 °C in a water-ice bath, and POCl3 (206 mL, 2.2 mol) was added. The reaction was heated at 80 °C for five h. The reaction mixture was concentrated under reduced pressure to remove acetonitrile and POCl3. The residue was poured onto the water with ice and alkalized to pH 5 with saturated sodium hydrogen carbonate solution (350 mL). The aqueous phase was extracted with ethyl acetate, and after separation, the organic phase was dried over anhydrous sodium sulfate. After filtration of the drying agent and evaporation of the solvent, the residue was purified by column chromatography (0–20% ethyl acetate gradient in heptane to give 18 (13 g, 42.3 mmol) with 38% yield as a slightly yellow oil. 1H NMR (300 MHz, CDCl3) δ: 7.41–7.27 (m; 5H, Ar-H); 6.96 (s; 1H, Ar-H); 6.80 (s; 1H, Ar-H); 4.81 (s; 2H, CH2); 4.65 (s; 2H, CH2). MS-ESI: m/z calcd for C14H11Cl2N3O [M+H]+: 309.17; found 308.0.
  • Procedure for 2-(benzyloxymethyl)-5-chloro-7-(morpholin-4-yl)pyrazolo[1,5-a]pyrimidine (19)
To the solution of compound 18 (13 g, 42.3 mmol) dissolved in acetone (450 mL), sodium carbonate (5.38 g, 50.8 mmol), and morpholine (6.65 mL, 76.2 mmol) were added. The reaction was carried out at room temperature for 1.5 h. 500 mL of water were added to the reaction mixture, and the precipitated white solid was filtered off. The solid was washed with water (300 mL) and water/acetone mixture (2/1, v/v) (200 mL), then dried to give 19 (14 g, 39.01 mmol) with 92% yield as a white solid. 1H NMR (300 MHz, CDCl3) δ: 7.41–7.27 (m; 5H, Ar-H); 6.56 (s; 1H, Ar-H); 6.06 (s; 1H, Ar-H); 4.73 (s; 2H, CH2); 4.62 (s; 2H, CH2); 3.98–3.90 (m; 4H, morph.); 3.82–3.74 (m; 4H, morph.). MS-ESI: m/z calcd for C18H19ClN4O2 [M+H]+: 359.83; found 359.2.
  • Procedure for 2-(benzyloxymethyl)-5-(1H-indol-4-yl)-7-(morpholin-4-yl)pyrazolo[1,5-a]pyrimidine (20)
To the solution of compound 19 (1.88 g, 5.24 mmol) dissolved in 1,2-dimethoxyethane (DME) (52 mL), indole-4-boronic acid pinacol ester (1.97 g, 7.87 mmol), tetrakis(triphenylphosphino)palladium (0) (0.61 g, 0.52 mmol) and 2M aqueous sodium carbonate solution (5.2 mL) were added. The reaction was refluxed for 16 h. Then, the reaction mixture was cooled to room temperature, filtered through the Celite®, and the solid was washed with ethyl acetate (50 mL). The filtrate was concentrated under reduced pressure using an evaporator. The crude product was purified by column chromatography (0–70% ethyl acetate gradient in heptane) to obtain compound 20 (1.91 g, 4.34 mmol) with an 83% yield. 1H NMR (300 MHz, CDCl3) δ: 8.61 (s; 1H); 7.61 (dd; J = 7.4; 0.8 Hz; 1H, Ar-H); 7.50–7.23 (m; 8H); 7.13–7.07 (m; 1H, Ar-H); 6.74 (s; 1H, Ar-H); 6.66 (s; 1H, Ar-H); 4.81 (s; 2H, CH2); 4.67 (s; 2H, CH2); 4.02–3.95 (m; 4H, morph.); 3.81–3.73 (m; 4H, morph.). MS-ESI: m/z calcd for C26H25N5O2 [M+H]+: 440.21; found 440.1.
  • Procedure for [5-(1H-indol-4-yl)-7-(morpholin-4-yl)pyrazolo[1,5-a]pyrimidin-2-yl]methanol (21)
To the solution of compound 20 (5.0 g, 9.1 mmol) in DMF (120 mL) and EtOH (60 mL), 10% Pd/C (11.3 g) and formic acid (100 µL) were added. The reaction was heated to 60 °C under hydrogen pressure for 24 h. After cooling the reaction mixture to room temperature, the catalyst was filtered-off on a Celite®, washed with EtOH (50 mL), and the filtrate was then concentrated under reduced pressure using an evaporator. The crude product was purified by column chromatography (0–100% ethyl acetate gradient in heptane) to give 21 (2.08 g, 5.95 mmol) with 66% yield. 1H NMR (300 MHz, DMSO-d6) δ 11.36 (s; 1H, NH); 7.70–7.63 (m; 1H, Ar-H); 7.59–7.52 (m; 1H, Ar-H); 7.52–7.46 (m; 1H, Ar-H); 7.28–7.20 (m; 1H, Ar-H); 7.14–7.09 (m; 1H, Ar-H); 6.78 (s; 1H, Ar-H); 6.55 (s; 1H, Ar-H); 5.36 (t; J = 6.0 Hz; 1H, OH); 4.66 (d; J = 6.0 Hz; 2H, CH2); 3.90–3.83 (m; 4H, morph.); 3.83–3.75 (m; 4H, morph.). MS-ESI: m/z calcd for C19H19N5O2 [M+H]+: 350.39; found 350.2.
  • Procedure for 5-(1H-indol-4-yl)-7-(morpholin-4-yl)pyrazolo[1,5-a]pyrimidin-2-carboxyaldehyde (22)
To the solution of compound 21 (0.90 g, 2.58 mmol) in dry DMF(26 mL), Dess–Martin reagent (1.31 g, 3.09 mmol) was added. The whole mixture was stirred at room temperature for one h. The obtained solid was filtered off and then washed with ethyl acetate (35 mL). The obtained solution was concentrated under reduced pressure. The crude product was purified by flash chromatography (0–70% ethyl acetate gradient in heptane) to give 22 (0.70 g, 2.01 mmol) with 78% yield. 1H NMR (300 MHz, CDCl3) δ 10.22 (s; 1H, CHO); 8.47 (s; 1H); 7.66–7.59 (m; 1H, Ar-H); 7.57–7.50 (m; 1H, Ar-H); 7.39–7.29 (m; 2H, Ar-H); 7.18–7.09 (m; 2H, Ar-H); 6.83 (s; 1H, Ar-H); 4.08–4.00 (m; 4H, morph.); 3.86–3.77 (m; 4H, morph.). MS-ESI: m/z calcd for C19H17N5O2 [M+H]+: 348.38; found 348.1.
  • General Procedure for the Reductive Amination Reaction (23–45)
To the solution of compound 22 (1.0 eq) in dry DCM (10 mL/1 g of compound 22), amine derivative (1.2 eq) was added and then stirred at room temperature. After 1 h sodium triacetoxyborohydride (1.5 eq) was added and the mixture was stirred at room temperature for 15 h. To the reaction mixture was added water and phases were separated. The aqueous phase was extracted three times with DCM. Combined organic phases were dried over anhydrous sodium sulfate, filtered, and evaporated under reduced pressure. The residue was purified by flash chromatography.
  • 5-(1H-indol-4-yl)-2-((4-(methyl-sulphonyl)piperazin-1-yl)methyl)-7-(morpholin-4-yl)pyrazolo[1,5-a]pyrimidine (23)
Compound 23 was prepared from aldehyde 22 (0.39 g, 0.65 mmol), 1-methanesulfonylpiperazine (0.13 g, 0.78 mmol), DCM (4.0 mL) and sodium triacetoxyborohydride (0.25 g, 1.18 mmol). The crude product was purified by flash chromatography (0–10% MeOH gradient in AcOEt) to give 23 (0.27 mg, 0.54 mmol) as a light yellow solid with 84% yield. 1HNMR (600 MHz, DMSO-d6) δ 11.31 (s, 1H, NH), 7.64 (dd, J = 7.4, 0.8 Hz, 1H, Ar-H), 7.53 (dt, J = 8.0, 0.8 Hz, 1H, Ar-H), 7.47 (t, J = 2.8 Hz, 1H, Ar-H), 7.22 (t, J = 7.7 Hz, 1H, Ar-H), 7.10–7.09 (m, 1H, Ar-H), 6.77 (s, 1H, Ar-H), 6.51 (s, 1H, Ar-H), 3.86–3.84 (m, 4H, morph.), 3.79–3.77 (m, 4H, morph.), 3.74 (s, 2H, CH2), 3.14–3.13 (m, 4H), 2.86 (s, 3H, CH3), 2.58–2.57 (m, 4H). 13CNMR (151 MHz, DMSO-d6) δ 157.9, 153.5, 151.0, 149.5, 136.7, 129.9, 126.4, 125.6, 120.7, 119.5, 113.2, 101.8, 94.7, 91.5, 65.6, 55.5, 51.8, 47.8, 45.4, 33.7. HRMS (ESI): m/z calcd for C24H29N7O3S [M+H]+: 496.2125; found 496.2134.
  • 2-((4-(dimethylamino)piperidin-1-yl)methyl)-5-(1H-indol-4-yl)-7-(morpholin-4-yl)pyrazolo[1,5-a]pyrimidine (24)
Compound 24 was prepared from aldehyde 22 (0.18 g, 0.52 mmol), 4-(dimethylamino)piperidine dihydrochloride (0.13 g, 0.62 mmol), DCM (3.5 mL), triethylamine (0.17 mL, 1.24 mmol) and sodium triacetoxyborohydride (0.17 g, 0.78 mmol). The crude product was purified by flash chromatography (0–20% MeOH gradient in AcOEt) to give 24 (0.18 g, 0.39 mmol)) as a light yellow solid with 76% yield. 1H NMR (300 MHz, CDCl3) δ: 8.85 (s; 1H, NH); 7.60 (d; J = 7.2 Hz; 1H, Ar-H); 7.51 (d; J = 8.2 Hz; 1H, Ar-H); 7.36–7.28 (m; 2H, Ar-H); 7.12–7.08 (m; 1H, Ar-H); 6.65 (s; 1H, Ar-H); 6.61 (s; 1H, Ar-H); 4.04–3.94 (m; 4H, morph.); 3.80 (s; 2H, CH2); 3.79–3.72 (m; 4H, morph.); 3.19–3.07 (m; 2H, CH2); 2.60–2.49 (m; 1H, CH); 2.44 (s; 6H, 2xCH3); 2.22–2.09 (m; 2H, CH2); 1.98–1.86 (m; 2H); 1.76–1.59 (m; 2H) HRMS (ESI): m/z calcd for C26H33N7O [M+H]+: 460.2819; found 460.2842.
  • 5-(1H-indol-4-yl)-2-((3R)-1-methylpyrrolidin-3-ol)methyl)-7-(morpholin-4-yl)pyrazolo[1,5-a]pyrimidine (25)
Compound 25 was prepared from aldehyde 22 (0.17 g, 0.48 mmol), (R)-(+)-3-pyrrolidinol (53 mg, 0.58 mmol), DCM (2.0 mL) and sodium triacetoxyborohydride (0.18 mg, 0.86 mmol). The crude product was purified by flash chromatography (0–30% MeOH gradient in AcOEt) to give 25 (50 mg, 0.12 mmol) as a light yellow solid with 25% yield. 1H NMR (600 MHz, DMSO-d6) δ 11.31 (s, 1H, NH), 7.64 (dd, J = 7.4, 0.6 Hz, 1H, Ar-H), 7.53 (d, J = 8.0 Hz, 1H, Ar-H), 7.46 (t, J = 2.8 Hz, 1H, Ar-H), 7.21 (t, J = 7.7 Hz, 1H, Ar-H), 7.09 (t, J = 2.1 Hz, 1H, Ar-H), 6.76 (s, 1H, Ar-H), 6.50 (s, 1H, Ar-H), 4.21–4.19 (m, 1H), 3.86–3.84 (m, 4H, morph.), 3.82–3.72 (m, 6H), 2.80–2.77 (m, 1H), 2.71–2.67 (m, 1H), 2.55–2.52 (m, 1H), 2.44–2.42 (m, 1H), 2.01–1.98 (m, 1H), 1.57–1.54 (m, 1H). 13C NMR (151 MHz, DMSO-d6) δ 157.8, 154.6, 150.9, 149.5, 136.7, 130.0, 126.4, 125.6, 120.7, 119.5, 113.1, 101.8, 94.6, 91.4, 69.4, 65.6, 62.5, 53.3, 52.3, 47.8, 34.5. HRMS (ESI): m/z calcd for C23H26N6O2 [M+H]+: 419.2190; found 419.2191.
  • 5-(1H-indol-4-yl)-2-((3S)-1-methylpyrrolidin-3-ol)methyl)-7-(morpholin-4-yl)pyrazolo[1,5-a]pyrimidine (26)
Compound 26 was prepared from aldehyde 22 (0.17 mg, 0.48 mmol), (S)-3-pyrrolidinol (52 mg, 0.58 mmol), DCM (2.0 mL) and sodium triacetoxyborohydride (0.18 mg, 0.86 mmol). The crude product was purified by flash chromatography (0–30% MeOH gradient in AcOEt) to give 26 (70 mg, 0.17 mmol) as a light yellow solid with 35% yield. 1H NMR (600 MHz, DMSO-d6) δ 11.33 (s, 1H, NH), 7.64 (dd, J = 7.4, 0.7 Hz, 1H, Ar-H), 7.53 (d, J = 8.0 Hz, 1H, Ar-H), 7.47 (t, J = 2.8 Hz, 1H, Ar-H), 7.22–7.20 (m, 1H, Ar-H), 7.09–7.08 (m, 1H, Ar-H), 6.76 (s, 1H, Ar-H), 6.50 (s, 1H, Ar-H), 4.21–4.19 (m, 1H), 3.86–3.84 (m, 4H, morph.), 3.78–3.72 (m, 6H), 2.78 (m, 1H), 2.68 (m, 1H), 2.54–2.50 (m, 1H), 2.43 (m, 1H), 2.03–1.97 (m, 1H), 1.57–1.54 (m, 1H). 13C NMR (151 MHz, DMSO-d6) δ 157.8, 154.6, 150.9, 149.6, 136.8, 130.0, 126.5, 125.6, 120.8, 119.6, 113.2, 101.8, 94.6, 91.5, 69.5, 65.6, 62.6, 53.4, 52.4, 47.9, 34.5. HRMS (ESI): m/z calcd for C23H26N6O2 [M+H]+: 419.2190; found 419.2200.
  • 2-((1,1-dioxothiomorpholin-1-yl)-methyl)-5-(1H-indol-4-yl)-7-(morpholin-4-yl)pyrazolo[1,5-a]pyrimidine (27)
Compound 27 was prepared from aldehyde 22 (85 mg, 0.25 mmol), thiomorpholine-1,1-dioxide (40 mg, 0.29 mmol), DCM (3.0 mL) and sodium triacetoxyborohydride (78 mg, 0.37 mmol). The crude product was purified by flash chromatography (0–10% MeOH gradient in AcOEt) to give 27 (48 mg, 0.10 mmol) as a light yellow solid with 42% yield. 1H NMR (400 MHz, DMSO-d6) δ 11.33 (s, 1H, NH), 7.62 (dd, J = 7.4, 0.8 Hz, 1H, Ar-H), 7.51 (d, J = 8.1 Hz, 1H, Ar-H), 7.44 (t, J = 2.8 Hz, 1H, Ar-H), 7.19 (t, J = 7.7 Hz, 1H, Ar-H), 7.07–7.06 (m, 1H, Ar-H), 6.75 (s, 1H, Ar-H), 6.54 (s, 1H, Ar-H), 3.87 (s, 2H), 3.83–3.81 (m, 3H), 3.75–3.74 (m, 3H), 3.12–3.09 (m, 4H), 2.98–2.95 (m, 4H). 13C NMR (101 MHz, DMSO-d6) δ 158.0, 153.3, 151.0, 149.6, 136.8, 129.9, 126.5, 125.6, 120.8, 119.6, 113.3, 101.8, 94.8, 91.7, 65.6, 54.2, 50.6, 50.2, 47.9. HRMS (ESI): m/z calcd for C23H26N6O3S [M+H]+: 467.1860; found 467.1866.
  • 5-(1H-indol-4-yl)-7-(morpholin-4-yl)-2-((morpholin-4-yl)methyl)pyrazolo[1,5-a]pyrimidine (28)
Compound 28 was prepared from aldehyde 22 (0.20 g, 0.23 mmol), morpholine (24 mL, 24 mg, 0.27 mmol), DCM (3.0 mL) and sodium triacetoxyborohydride (95 mg, 0.45 mmol). The crude product was purified by flash chromatography (0–10% MeOH gradient in AcOEt) to give 28 (55 mg, 0.13 mmol) as a light yellow solid with 59% yield. 1H NMR (500 MHz, DMSO-d6) δ 11.32 (s, 1H, NH), 7.65 (d, J = 7.4 Hz, 1H, Ar-H), 7.54 (d, J = 7.4 Hz, 1H, Ar-H), 7.49–7.45 (m, 1H, Ar-H), 7.25–7.19 (m, 1H, Ar-H), 7.12–7.08 (m, 1H, Ar-H), 6.77 (s, 1H, Ar-H), 6.52 (s, 1H, Ar-H), 3.89–3.83 (m, 4H, morph.), 3.81–3.76 (m, 4H, morph.), 3.68 (s, 2H, CH2), 3.63–3.57 (m, 4H, morph.), 2.49–2.45 (m, 4H, morph.). 13C NMR (126 MHz, DMSO-d6) δ: 157.9, 153.6, 151.0, 149.6, 136.8, 129.9, 126.5, 125.6, 120.8, 119.6, 113.2, 101.8, 94.8, 91.5, 66.2, 65.6, 56.4, 53.2, 47.9. HRMS (ESI): m/z calcd for C23H26N6O2 [M+H]+: 419.2190; found 419.2196.
  • 5-(1H-indol-4-yl)-2-((4-(4-methylpiperazin-1-yl)piperidin-1-yl)methyl)-7-(morpholin-4-yl)pyrazolo[1,5-a]pyrimidine (29)
Compound 29 was prepared from aldehyde 22 (0.17 g, 0.50 mmol), 1-methyl-4-(piperidin-4-yl)piperazine (0.11 g, 0.6 mmol), DCM (3.5 mL) and sodium triacetoxyborohydride (0.16 g, 0.75 mmol). The crude product was purified by flash chromatography (0–15% MeOH gradient in AcOEt) to give 29 (0.23 g, 0.45 mmol) as a yellow solid with 89% yield. 1H NMR (300 MHz, CDCl3) δ: 9.56 (s; 1H); 7.62–7.55 (m; 1H, Ar-H); 7.47–7.1 (m; 1H, Ar-H); 7.31–7.21 (m; 2H, Ar-H); 7.11–7.02 (m; 1H, Ar-H); 6.64 (s; 1H, Ar-H); 6.62 (s; 1H, Ar-H); 4.00–3.90 (m; 4H, morph.); 3.86–3.62 (m; 6H); 3.19–3.05 (m; 2H); 2.81–2.45 (m; 8H); 2.34 (s; 3H); 2.39–2.29 (m; 1H); 2.21–2.08 (m; 2H); 1.91–1.79 (m; 2H); 1.75–1.54 (m; 2H). 13C NMR (75 MHz, CDCl3) δ 158.8, 154.2, 151.6, 150.2, 136.8, 131.1, 126.1, 125.8, 121.8, 120.1, 113.0, 102.4, 96.0, 92.5, 66.3, 61.9, 56.5, 54.8, 53.0, 48.5, 48.4, 45.6, 27.9. HRMS (ESI): m/z calcd for C29H38N8O [M+H]+: 515.3241; found 515.3224.
  • 3-ethyl-1-(1-((5-(1H-indol-4-yl)-7-(morpholin-4-yl)pyrazolo[1,5-a]pyrimidin-2-yl)methyl)piperidin-4-yl)urea (30)
The 3-ethyl-1-(piperidin-4-yl)urea was synthesizedaccording to the van Duzer et al. procedure [56]. The urea derivative was used in the reductive amination reaction (next step) as is, without additional purification.
Compound 30 was prepared from aldehyde 22 (0.20 g, 0.58 mmol), 3-ethyl-1-(piperidin-4-yl)urea hydrochloride (0.14 g, 0.69 mmol), DCM (4.0 mL), triethylamine (0.194 mL, 1.38 mmol) and sodium triacetoxyborohydride (0.19 g, 0.86 mmol). The crude product was purified by flash chromatography (0–15% MeOH gradient in AcOEt) to give 30 (0.15 g, 0.30 mmol) as a light yellow solid with 52% yield. 1H NMR (400 MHz, DMSO-d6) δ 11.33 (s, 1H), 7.64 (d, J = 7.4 Hz, 1H), 7.53 (d, J = 8.0 Hz, 1H), 7.47 (t, J = 2.7 Hz, 1H), 7.21 (t, J = 7.7 Hz, 1H, Ar-H), 7.09–7.09 (m, 1H, Ar-H), 6.76 (s, 1H, Ar-H), 6.48 (s, 1H, Ar-H), 5.71 (d, J = 7.8 Hz, 1H), 5.65 (t, J = 5.5 Hz, 1H), 3.86–3.84 (m, 4H), 3.78–3.77 (m, 4H), 3.64 (s, 2H), 3.36–3.36 (m, 1H), 3.01–2.94 (m, 2H), 2.81–2.78 (m, 2H), 2.15–2.10 (m, 2H), 1.74–1.72 (m, 2H, CH2), 1.38–1.32 (m, 2H, CH2), 0.96 (t, J = 7.1 Hz, 3H, CH3). 13C NMR (101 MHz, DMSO-d6) δ 157.9, 157.3, 154.3, 151.0, 149.5, 136.8, 130.0, 126.5, 125.6, 120.8, 119.6, 113.2, 101.8, 94.7, 91.5, 65.6, 56.2, 52.0, 47.9, 46.1, 33.9, 32.5, 15.7. HRMS (ESI): m/z calcd for C27H34N8O2 [M+H]+: 503.2877; found 503.2882.
  • 1-phenyl-3-(1-((5-(1H-indol-4-yl)-7-(morpholin-4-yl)pyrazolo[1,5-a]pyrimidin-2-yl)methyl)piperidin-4-yl)urea (31)
The synthesis of 1-phenyl-3-(piperidin-4-yl)urea was conducted according to the van Duzer et al.procedure [56]. The urea derivative was used in the reductive amination reaction (next step)as is, without additional purification.
Compound 31 was prepared from aldehyde 22 (0.20 g, 0.58 mmol), 1-phenyl-3-(piperidin-4-yl)urea hydrochloride (0.18 g, 0.69 mmol), DCM (4.0 mL), triethylamine (0.194 mL, 1.38 mmol) and sodium triacetoxyborohydride (0.19 g, 0.86 mmol). The crude product was purified by flash chromatography (0–15% MeOH gradient in AcOEt) to give 31 (0.18 g, 0.33 mmol) as a light yellow solid with 58% yield. 1H NMR (400 MHz, DMSO-d6) δ 11.33 (s, 1H, NH), 8.30 (s, 1H), 7.65 (dd, J = 7.4, 0.8 Hz, 1H), 7.53 (d, J = 8.1 Hz, 1H), 7.47 (t, J = 2.8 Hz, 1H), 7.37–7.34 (m, 2H), 7.24–7.16 (m, 3H), 7.10–7.09 (m, 1H, Ar-H), 6.88–6.84 (m, 1H, Ar-H), 6.76 (s, 1H, Ar-H), 6.51 (s, 1H, Ar-H), 6.11 (d, J = 7.7 Hz, 1H), 3.86–3.84 (m, 4H, morph.), 3.79–3.78 (m, 4H, morph.), 3.67 (s, 2H, CH2), 3.49–3.48 (m, 1H), 2.83–2.80 (m, 2H, CH2), 2.22–2.17 (m, 2H, CH2), 1.98–1.80 (m, 2H, CH2), 1.47–1.38 (m, 2H, CH2). 13C NMR (101 MHz, DMSO-d6) δ 157.9, 154.5, 154.2, 151.0, 149.6, 140.5, 136.8, 130.0, 128.6, 126.5, 125.6, 120.9, 120.8, 119.6, 117.5, 113.2, 101.8, 94.7, 91.5, 65.6, 56.2, 51.7, 47.9, 46.0, 32.2. HRMS (ESI): m/z calcd for C31H34N8O2 [M+H]+: 551.2887; found 551.2880.
  • 5-(1H-indol-4-yl)-2-((4-(4-methoxyphenyl)piperazin-1-yl)-methyl)-7-(morpholin-4-yl)pyrazolo[1,5-a]pyrimidine (32)
Compound 32 was prepared from aldehyde 22 (0.18 g, 0.52 mmol), 1-(4-methoxyphenyl)piperazine (0.12 g, 0.63 mmol), DCM (3.5 mL) and sodium triacetoxyborohydride (0.17 g, 0.79 mmol). The crude product was purified by flash chromatography (0–5% MeOH gradient in AcOEt) to give 32 (0.22 g, 0.42 mmol) as a light yellow solid with 81% yield. 1H NMR (300 MHz, CDCl3) δ: 8.52 (s; 1H, NH); 7.61 (d; J = 7.4 Hz; 1H, Ar-H); 7.49 (d; J = 8.1 Hz; 1H, Ar-H); 7.35–7.27 (m; 2H, Ar-H); 7.14–7.09 (m; 1H, Ar-H); 6.96–6.80 (m; 4H); 6.67 (s; 1H, Ar-H); 6.65 (s; 1H, Ar-H); 4.04–3.95 (m; 4H, morph.); 3.88 (s; 2H, CH2); 3.82–3.76 (m; 4H, morph.); 3.77 (s; 3H, CH3); 3.19–3.11 (m; 4H, piperaz.); 2.84–2.74 (m; 4H, piperaz.). 13C NMR (75 MHz, CDCl3) δ 158.8, 154.3, 153.8, 151.7, 150.3, 145.8, 136.8, 131.3, 126.1, 125.6, 122.0, 120.3, 118.3, 114.5, 112.9, 102.7, 96.1, 92.5, 66.4, 56.8, 55.7, 53.4, 50.7, 48.6. HRMS (ESI): m/z calcd for C30H33N7O2 [M+H]+: 524.2769; found 524.2770.
  • 5-(1H-indol-4-yl)-2-((4-methyl-piperazin-1-yl)methyl)-7-(morpholin-4-yl)pyrazolo[1,5-a]pyrimidine (33)
Compound 33 was prepared from aldehyde 22 (85 mg, 0.24 mmol), 1-methylpiperazine, (33 mL, 29 mg, 0.29 mmol), DCM (4.0 mL) and sodium triacetoxyborohydride (78 mg, 0.37 mmol). The crude product was purified by flash chromatography (0–20% MeOH gradient in AcOEt) to give 33 (91 mg, 0.21 mmol) as a light yellow solid with 86% yield. 1H NMR (400 MHz, DMSO-d6) δ 11.41 (s, 1H, NH), 7.64 (d, J = 7.4 Hz, 1H, Ar-H), 7.53 (d, J = 8.1 Hz, 1H, Ar-H), 7.46 (t, J = 2.7 Hz, 1H, Ar-H), 7.21 (t, J = 7.7 Hz, 1H, Ar-H), 7.09 (t, J = 2.0 Hz, 1H, Ar-H), 6.76 (s, 1H, Ar-H), 6.48 (s, 1H, Ar-H), 3.85–3.83 (m, 4H, morph.), 3.78–3.76 (m, 4H, morph.), 3.65 (s, 2H, CH2), 2.50–2.45 (m, 4H, piperaz.), 2.32–2.32 (m, 4H, piperaz.), 2.14 (s, 3H, CH3). 13C NMR (101 MHz, DMSO-d6) δ 157.9, 154.0, 151.0, 149.6, 136.8, 129.9, 126.5, 125.6, 120.7, 119.6, 113.2, 101.8, 94.7, 91.5, 65.6, 56.0, 54.7, 52.6, 47.9, 45.7. HRMS (ESI): m/z calcd for C24H29N7O [M+H]+: 432.2506; found 432.2511.
  • 2-((4-ethylpiperazin-1-yl)methyl)-5-(1H-indol-4-yl)-7-(morpholin-4-yl)pyrazolo[1,5-a]pyrimidine (34)
Compound 34 was prepared from aldehyde 22 (85 mg, 0.24 mmol), 1-ethylpiperazine (37 mL, 33 mg, 0.29 mmol), DCM (4.0 mL) and sodium triacetoxyborohydride (78 mg, 0.37 mmol). The crude product was purified by flash chromatography (0–20% MeOH gradient in AcOEt) to give 34 (85 mg, 0.19 mmol) as a light yellow solid with 78% yield. 1H NMR (400 MHz, DMSO-d6) δ 11.37 (s, 1H, NH), 7.64 (d, J = 7.4 Hz, 1H, Ar-H), 7.53 (d, J = 8.1 Hz, 1H, Ar-H), 7.46 (t, J = 2.7 Hz, 1H, Ar-H), 7.21 (t, J = 7.7 Hz, 1H, Ar-H), 7.09–7.08 (m, 1H, Ar-H), 6.76 (s, 1H, Ar-H), 6.49 (s, 1H, Ar-H), 3.86–3.84 (m, 4H, morph.), 3.78–3.77 (m, 4H, morph.), 3.67 (s, 2H, CH2), 2.63–2.44 (m, 8H, piperaz.), 2.39 (q, J = 7.2 Hz, 2H, CH2), 1.00 (t, J = 7.2 Hz, 3H, CH3). 13C NMR (101 MHz, DMSO-d6) δ 172.0, 157.9, 153.8, 151.0, 149.6, 136.8, 129.9, 126.5, 125.6, 120.7, 119.6, 113.2, 101.8, 94.8, 91.5, 65.6, 55.9, 52.1, 51.4, 47.9, 21.1. HRMS (ESI): m/z calcd for C25H31N7O [M+H]+: 446.2663; found 446.2661.
  • Methyl 1-((5-(1H-indol-4-yl)-7-(morpholin-4-yl)pyrazolo[1,5-a]pyrimidin-2-yl)methyl)piperidin-4-carboxylate (35)
Compound 35 was prepared from aldehyde 22 (85 mg, 0.24 mmol), methyl isonipecotate, (42 mg, 0.29 mmol), DCM (4.0 mL) and sodium triacetoxyborohydride (78 mg, 0.37 mmol). The crude product was purified by flash chromatography (0–10% MeOH gradient in CHCl3) to give 35 (76 mg, 0.16 mmol) as a light yellow solid with 65% yield. 1H NMR (400 MHz, DMSO-d6) δ 11.35 (s, 1H, NH), 7.64 (dd, J = 7.4, 0.7 Hz, 1H, Ar-H), 7.53 (d, J = 8.1 Hz, 1H, Ar-H), 7.47 (t, J = 2.8 Hz, 1H, Ar-H), 7.21 (t, J = 7.7 Hz, 1H, Ar-H), 7.10–7.09 (m, 1H, Ar-H), 6.76 (s, 1H, Ar-H), 6.49 (s, 1H, Ar-H), 3.86–3.83 (m, 4H, morhp.), 3.78–3.77 (m, 4H, morph.), 3.65 (s, 2H, CH2), 3.58 (s, 3H, CH3), 2.87–2.84 (m, 2H, CH2), 2.32–2.27 (m, 1H, CH), 2.11–2.06 (m, 2H, CH2), 1.82–1.79 (m, 2H, CH2), 1.63–1.57 (m, 2H). 13C NMR (101 MHz, DMSO-d6) δ 174.8, 157.9, 154.0, 151.0, 149.5, 136.8, 130.0, 126.5, 125.6, 120.7, 119.6, 113.2, 101.8, 94.7, 91.5, 65.6, 56.2, 52.2, 51.3, 47.9, 40.1, 28.0. HRMS (ESI): m/z calcd for C26H30N6O3 [M+H]+: 475.2452; found 475.2458.
  • 2-((4-(2-hydroxypropan-2-yl)piperidin-1-yl)methyl)-5-(1H-indol-4-yl)-7-(morpholin-4-yl)pyrazolo[1,5-a]pyrimidine (36)
Compound 36 was prepared from aldehyde 22 (0.18 g, 0.52 mmol), 2-(4-piperidyl)-2-propanol (93 mg, 0.62 mmol), DCM (3.5 mL) and sodium triacetoxyborohydride (0.17 g, 0.78 mmol). The crude product was purified by flash chromatography (0–5% MeOH gradient in AcOEt) to give 36 (0.183 g, 0.39 mmol) as an off-white solid with 74% yield. 1H NMR (300 MHz, CDCl3) δ: 8.57 (s; 1H, NH); 7.64–7.58 (m; 1H, Ar-H); 7.52–7.46 (m; 1H, Ar-H); 7.36–7.25 (m; 2H, Ar-H); 7.14–7.09 (m; 1H, Ar-H); 6.64 (s; 1H, Ar-H); 6.64 (s; 1H, Ar-H); 4.03–3.95 (m; 4H, morph.); 3.82 (s; 2H, CH2); 3.81–3.71 (m; 4H, morph.); 3.20–3.10 (m; 2H, CH2); 2.18–2.03 (m; 2H, CH2); 1.81–1.69 (m; 2H, CH2); 1.56–1.38 (m; 2H, CH2); 1.35–1.30 (m; 1H); 1.18 (s; 6H). 13C NMR (75 MHz, CDCl3) δ 158.7, 151.7, 150.2, 136.8, 131.3, 126.1, 125.6, 122.0, 120.3, 112.9, 102.7, 96.2, 92.4, 72.7, 66.4, 56.9, 54.2, 48.6, 47.3, 27.1, 27.0. HRMS (ESI): m/z calcd for C27H34N6O6 [M+H]+: 475.2816; found 475.2815.
  • 2-((4-tert-butylpiperazin-1-yl)methyl)-5-(1H-indol-4-yl)-7-(morpholin-4-yl)pyrazolo[1,5-a]pyrimidine (37)
Compound 37 was prepared from aldehyde 22 (0.12 g, 0.35 mmol), N-tert-butylpiperazine (59 mg, 0.42 mmol), DCM (2.0 mL) and sodium triacetoxyborohydride (0.11 g, 0.52 mmol). The crude product was purified by flash chromatography (0–20% MeOH gradient in AcOEt) to give 37 (0.15 g, 0.32 mmol) as a yellow solid with 93% yield. 1H NMR (400 MHz, DMSO-d6) δ 11.33 (s, 1H, NH), 7.64 (dd, J = 7.4, 0.9 Hz, 1H, Ar-H), 7.53 (dt, J = 8.1, 0.8 Hz, 1H, Ar-H), 7.46 (t, J = 2.8 Hz, 1H, Ar-H), 7.21 (t, J = 7.7 Hz, 1H, Ar-H), 7.10–7.08 (m, 1H, Ar-H), 6.76 (s, 1H, Ar-H), 6.48 (s, 1H, Ar-H), 3.86–3.84 (m, 4H, morph.), 3.78–3.76 (m, 4H, morph.), 3.63 (s, 2H, CH2), 2.53–2.45 (m, 8H, piperaz.), 0.98 (s, 9H, t-Bu.). 13C NMR (101 MHz, DMSO-d6) δ 157.8, 154.0, 151.0, 149.5, 136.8, 130.0, 126.5, 125.6, 120.7, 119.6, 113.2, 101.8, 94.8, 91.5, 65.6, 56.0, 53.5, 53.1, 47.9, 45.2, 25.7. HRMS (ESI): m/z calcd for C27H35N7O [M+H]+: 474.2976; found 474.2976.
  • 2-(4-((5-(1H-indol-4-yl)-7-(morpholin-4-yl)pyrazolo[1,5-a]pyrimidin-2-yl)methyl)piperazin-1-yl)-2-methylpropionamide (38)
Compound 38 was prepared from aldehyde 22 (0.20 g, 0.58 mmol), 2-methyl-2-(piperazin-1-yl)propenamide dihydrochloride (0.18 g, 0.69 mmol), DCM (3.0 mL), triethylamine (0.194 mL, 1.38 mmol) and sodium triacetoxyborohydride (0.18 g, 0.86 mmol). The crude product was purified by flash chromatography (0–10% MeOH gradient in AcOEt) to give 38 (0.21 g, 0.42 mmol) as a light yellow solid with 73% yield. 1H NMR (500 MHz, DMSO-d6) δ 11.32 (s, 1H, NH), 7.65 (d, J = 7.3 Hz, 1H, Ar-H), 7.54 (d, J = 8.0 Hz, 1H, Ar-H), 7.49–7.45 (m, 1H, Ar-H), 7.22 (t, J = 7.7 Hz, 1H, Ar-H), 7.12–7.08 (m, 1H, Ar-H), 7.07–7.01 (m, 1H, Ar-H), 6.95–6.90 (m, 1H), 6.77 (s, 1H), 6.50 (s, 1H), 3.89–3.82 (m, 4H, morph.), 3.82–3.76 (m, 4H, morph.), 3.68 (s, 2H, CH2), 2.57–2.51 (m, 4H), 2.49–2.40 (m, 4H), 1.06 (s, 6H). 13C NMR (126 MHz, DMSO-d6) δ 178.1, 157.9, 153.9, 151.0, 149.5, 136.8, 130.0, 126.5, 125.6, 120.8, 119.6, 113.2, 101.8, 94.8, 91.5, 65.6, 62.4, 56.0, 53.2, 47.9, 46.1, 20.4. HRMS (ESI): m/z calcd for C27H34N8O2 [M+H]+: 503.2877; found 503.2901.
  • 2-((4-cyclopropylpiperazin-1-yl)methyl)-5-(1H-indol-4-yl)-7-(morpholin-4-yl)pyrazolo[1,5-a]pyrimidine (39)
Compound 39 was prepared from aldehyde 22 (85 mg, 0.25 mmol), 1-cyclopropylpiperazine (35 mL, 37 mg, 0.29 mmol), DCM (3.0 mL) and sodium triacetoxyborohydride (78 mg, 0.37 mmol). The crude product was purified by flash chromatography (0–15% MeOH gradient in AcOEt) to give 39 (84 mg, 0.18 mmol) as a light yellow solid with 75% yield. 1H NMR (400 MHz, DMSO-d6) δ 11.32 (s, 1H, NH), 7.64 (dd, J = 7.4, 0.7 Hz, 1H, Ar-H), 7.53 (d, J = 8.1 Hz, 1H, Ar-H), 7.47 (t, J = 2.8 Hz, 1H, Ar-H), 7.21 (t, J = 7.7 Hz, 1H, Ar-H), 7.09 (t, J = 2.1 Hz, 1H), 6.76 (s, 1H, Ar-H), 6.48 (s, 1H, Ar-H), 3.85–3.83 (m, 4H, morph.), 3.78–3.76 (m, 4H, morph.), 3.64 (s, 2H, CH2), 2.54 (s, 4H, piperaz.), 2.43 (s, 4H, piperaz.), 1.58 (s, 1H, CH), 0.38–0.36 (m, 2H, CH2), 0.26–0.24 (m, 2H, CH2). 13C NMR (101 MHz, DMSO-d6) δ 157.9, 154.0, 151.0, 149.5, 136.8, 130.0, 126.5, 125.6, 120.7, 119.6, 113.2, 101.8, 94.7, 91.5, 65.6, 56.0, 52.7, 52.7, 47.9, 38.0, 5.6. HRMS (ESI): m/z calcd for C26H31N7O [M+H]+: 458.2663; found 458.2666.
  • 2-((4-cyclopentylpiperazin-1-yl)methyl)-5-(1H-indol-4-yl)-7-(morpholin-4-yl)pyrazolo[1,5-a]pyrimidine (40)
Compound 40 was prepared from aldehyde 22 (70 mg, 0.20 mmol), 1-cyclopentylpiperazine (39 mL, 38 mg, 0.24 mmol), DCM (4.0 mL) and sodium triacetoxyborohydride (64 mg, 0.30 mmol). The crude product was purified by flash chromatography (0–15% MeOH gradient in AcOEt) to give 40 (84 mg, 0.17 mmol) as a light yellow solid with 86% yield. 1H NMR (400 MHz, DMSO-d6) δ 11.34 (s, 1H, NH), 7.64 (dd, J = 7.4, 0.7 Hz, 1H, Ar-H), 7.53 (d, J = 8.1 Hz, 1H, Ar-H), 7.46 (t, J = 2.8 Hz, 1H, Ar-H), 7.21 (t, J = 7.7 Hz, 1H, Ar-H), 7.09 (t, J = 2.1 Hz, 1H, Ar-H), 6.76 (s, 1H, Ar-H), 6.48 (s, 1H, Ar-H), 3.86–3.83 (m, 4H, morph.), 3.78–3.76 (m, 4H, morph.), 3.64 (s, 2H, CH2), 2.53–2.42 (m, 9H), 1.75–1.72 (m, 2H, CH2), 1.59–1.55 (m, 2H), 1.48–1.44 (m, 2H), 1.31–1.26 (m, 2H). 13C NMR (101 MHz, DMSO-d6) δ 157.9, 153.9, 151.0, 149.5, 136.8, 130.0, 126.4, 125.6, 120.7, 119.6, 113.2, 101.8, 94.7, 91.5, 66.7, 65.6, 56.0, 52.7, 51.6, 47.9, 29.8, 23.6. HRMS (ESI): m/z calcd for C28H35N7O [M+H]+: 486.2976; found 486.2973.
  • 2-((4-tert-butylpiperidin-1-yl)methyl)-5-(1H-indol-4-yl)-7-(morpholin-4-yl)pyrazolo[1,5-a]pyrimidine (41)
Compound 41 was prepared from aldehyde 22 (0.10 g, 0.29 mmol), 4-(tert-butyl)piperidine hydrochloride (61 mg, 0.35 mmol), DCM (4.0 mL), triethylamine (0.097 mL, 0.69 mmol) and sodium triacetoxyborohydride (94 mg, 0.43 mmol). The crude product was purified by flash chromatography (0–20% MeOH gradient in CHCl3) to give 41 (0.10 g, 0.21 mmol) as a light yellow solid with 76% yield. 1H NMR (400 MHz, DMSO-d6) 11.32 (s, 1H, NH), 7.64 (dd, J = 7.4, 0.7 Hz, 1H, Ar-H), 7.53 (d, J = 8.1 Hz, 1H, Ar-H), 7.46 (t, J = 2.8 Hz, 1H, Ar-H), 7.21 (t, J = 7.7 Hz, 1H, Ar-H), 7.10–7.09 (m, 1H, Ar-H), 6.75 (s, 1H, Ar-H), 6.48 (s, 1H, Ar-H), 3.85–3.83 (m, 4H, morph.), 3.78–3.76 (m, 4H, morph.), 3.61 (s, 2H, CH2), 2.98–2.95 (m, 2H, CH2), 1.95–1.89 (m, 2H, CH2), 1.59–1.56 (m, 2H, CH2), 1.27–1.17 (m, 2H, CH2), 0.96–0.90 (m, 1H, CH), 0.81 (s, 9H, t-Bu.). 13C NMR (101 MHz, DMSO-d6) δ 157.8, 154.3, 151.0, 149.5, 136.8, 130.0, 126.4, 125.6, 120.7, 119.5, 113.2, 101.9, 94.7, 91.4, 65.6, 56.4, 54.0, 47.9, 45.8, 31.8, 27.2, 26.4. HRMS (ESI): m/z calcd for C28H36N6O [M+H]+: 473.3023; found 473.3028.
  • 5-(1H-indol-4-yl)-2-((4-(oxetan-3-yl)piperidin-1-yl)methyl)-7-(morpholin-4-yl)pyrazolo[1,5-a]pyrimidine (42)
The multistep preparation of compound 42 started from 1-(oxetan-3-yl) piperazine.
Step 1.
To the solution of 3-oxetanone (0.23 mL, 0.28 g, 3.9 mmol) in dry DCM (39.0 mL), 1-Boc-piperazine (0.60 g, 3.2 mmol) was added, and then the mixture was stirred at room temperature. After four h, sodium triacetoxyborohydride (1.35 g, 6.4 mmol) was added, and stirring was continued at room temperature overnight. Then, water (30 mL) was added to the reaction mixture, and the phases were separated. The aqueous phase was extracted three times with chloroform (25 mL). Combined organic phases were dried over anhydrous sodium sulfate, filtrated the drying agent, and the solvent was evaporated under reduced pressure to obtain tert-butyl 4-(oxetan-3-yl)piperazin-1-carboxylate (0.61 g, 2.52 mmol) with 65% yield without purification. 1H NMR (300 MHz, CDC13) δ 4.68–4.52 (m; 4H, piperaz.); 3.50–3.32 (m; 5H); 2.31–2.09 (m; 4H); 1.43 (s; 9H, t-Bu.). MS-ESI: (m/z) calcd for C12H22N2O3 [M+H]+: 243.17; found 243.2.
Step 2.
To the solution of the product of Step 1 (0.55 g, 2.8 mmol) in DCM (28 mL), trifluoroacetic acid (16.8 mL) was added. The reaction was carried out at room temperature for two h. Then, the water was added (30 mL), and the reaction mixture was alkalized with saturated sodium carbonate solution (10 mL). Phases were separated, and the aqueous phase was extracted three times with chloroform (25 mL). Combined organic phases were dried over anhydrous sodium sulfate. The drying agent was filtered off and the solvent evaporated under reduced pressure to obtain 1-(oxetan-3-yl)piperazine (0.23 g, 1.61 mmol) with 57% yield without purification. 1H NMR (300 MHz, CDCl3) δ 4.66–4.56 (m; 4H); 3.66–3.56 (m; 1H); 3.30–3.12 (m; 4H); 2.68–2.51 (m; 4H). MS-ESI: (m/z) calcd for C7H14N2O [M+H]+: 143.12; found 143.1.
Compound 42 was prepared from aldehyde 22 (0.20 g, 0.58 mmol), 1-(oxetan-3-yl)piperazine (98 mg, 0.69 mmol), DCM (4.0 mL) and sodium triacetoxyborohydride (0.19 g, 0.86 mmol). The crude product was purified by flash chromatography (0–10% MeOH gradient in AcOEt) to give 42 (0.15 g, 0.32 mmol) as a light yellow solid with 54% yield. 1H NMR (400 MHz, DMSO-d6) δ 11.33 (s, 1H, NH), 7.64 (dd, J = 7.5, 0.8 Hz, 1H, Ar-H), 7.54–7.52 (m, 1H, Ar-H), 7.47 (t, J = 2.8 Hz, 1H, Ar-H), 7.21 (t, J = 7.7 Hz, 1H, Ar-H), 7.10–7.08 (m, 1H, Ar-H), 6.76 (s, 1H, Ar-H), 6.49 (s, 1H, Ar-H), 4.50 (t, J = 6.5 Hz, 2H, CH2), 4.39 (t, J = 6.1 Hz, 2H, CH2), 3.86–3.84 (m, 4H, morph.), 3.78–3.76 (m, 4H, morph.), 3.67 (s, 2H, CH2), 3.40–3.33 (m, 1H, CH), 2.53–2.48 (m, 4H, piperaz.), 2.27–2.27 (m, 4H, piperaz.). 13C NMR (101 MHz, DMSO-d6) δ 157.9, 153.9, 151.0, 149.5, 136.8, 130.0, 126.5, 125.6, 120.7, 119.6, 113.2, 101.8, 94.8, 91.5, 74.4, 65.6, 58.5, 56.0, 52.3, 49.0, 47.9. HRMS (ESI): m/z calcd for C26H31N7O2 [M+H]+: 474.2612; found 474.2616.
  • 5-(1H-indol-4-yl)-2-(((1S, 4S)-2-(oxetan-3-yl)-2,5-diaza-bicyclo [2.2.1]hept-2-yl)methyl)-7-(morpholin-4-yl)pyrazolo[1,5-a]pyrimidine (43)
The preparation of compound 43 started from (1S, 4S)-2-(oxetan-3-yl)-2,5-diazabicyclo [2.2.1]heptane, which was prepared analogously, as described for the synthesis of 1-(oxetan-3-yl) piperazine.
Compound 43 was prepared from aldehyde 22 (0.20 g, 0.58 mmol), (1S, 4S)-2-(oxetan-3-yl)-2,5-diazabicyclo [2.2.1]heptane (0.11 g, 0.69 mmol), DCM (4.0 mL) and sodium triacetoxyborohydride (0.19 g, 0.86 mmol). The crude product was purified by flash chromatography (0–10% MeOH gradient in AcOEt) to give 43 (0.18 g, 0.37 mmol) as a light yellow solid with 63% yield. 1H NMR (600 MHz, DMSO-d6) δ 11.34 (s, 1H, NH), 7.63 (dd, J = 7.4, 0.7 Hz, 1H, Ar-H), 7.53 (d, J = 8.0 Hz, 1H, Ar-H), 7.46 (t, J = 2.8 Hz, 1H, Ar-H), 7.21 (t, J = 7.7 Hz, 1H, Ar-H), 7.09–7.08 (m, 1H, Ar-H), 6.75 (s, 1H, Ar-H), 6.50 (s, 1H, Ar-H), 4.59–4.51 (m, 2H, CH2), 4.41–4.34 (m, 2H, CH2), 3.89–3.82 (m, 6H), 3.79–3.75 (m, 5H), 3.40 (s, 1H, CH), 3.22 (s, 1H), 2.84 (d, J = 9.4 Hz, 1H), 2.65–2.59 (m, 2H, CH2), 2.54–2.53 (m, 1H), 1.65–1.54 (m, 2H, CH2). 13C NMR (151 MHz, DMSO-d6) δ 157.8, 150.9, 149.5, 136.8, 130.0, 126.4, 125.6, 120.7, 119.5, 113.2, 101.8, 94.3, 91.4, 75.8, 75.3, 65.6, 61.6, 59.4, 57.3, 55.0, 52.7, 52.2, 47.8, 32.7. HRMS (ESI): m/z calcd for C27H31N7O2 [M+H]+: 486.2612; found 486.2614.
  • 2-((4-(cyclopropanecarbonyl)piperazin-1-yl)methyl)-5-(1H-indol-4-yl)-7-(morpholin-4-yl)pyrazolo[1,5-a]pyrimidine (44)
Compound 44 was prepared from aldehyde 22 (0.12 g, 0.36 mmol), 1-(cyclopropylcarbonyl)piperazine (64 µL, 70 mg, 0.43 mmol), DCM (4.0 mL) and sodium triacetoxyborohydride (0.11 g, 0.54 mmol). The crude product was purified by flash chromatography (0–10% MeOH gradient in AcOEt) to give 44 (0.14 g, 0.29 mmol) as a light yellow solid with 78% yield. 1H NMR (500 MHz, CDCl3) δ 8.67 (s, 1H, NH), 7.60 (d, J = 7.3 Hz, 1H, Ar-H), 7.48 (d, J = 8.1 Hz, 1H, Ar-H), 7.33–7.27 (m, 2H, Ar-H), 7.10 (s, 1H, Ar-H), 6.65 (s, 1H, Ar-H), 6.64 (s, 1H, Ar-H), 4.01–3.95 (m, 4H, morph.), 3.84 (s, 2H, CH2), 3.80–3.75 (m, 4H, morph.), 3.75–3.65 (m, 4H), 2.69–2.55 (m, 4H), 1.75–1.69 (m, 1H, CH), 1.01–0.95 (m, 2H, CH2), 0.77–0.72 (m, 2H, CH2). 13C NMR (126 MHz, CDCl3) δ 174.81, 153.02, 139.60, 128.89, 128.34, 124.80, 123.14, 115.62, 105.57, 98.80, 95.28, 69.17, 59.40, 51.37, 13.80, 10.22. HRMS (ESI): m/z calcd for C27H31N7O2 [M+H]+: 486.2612; found 486.2619.
  • 2-((4-(cyclopropylmethyl)piperazin-1-yl)methyl)-5-(1H-indol-4-yl)-7-(morpholin-4-yl)pyrazolo[1,5-a]pyrimidine (45)
Compound 45 was prepared from aldehyde 22 (85 mg, 0.25 mmol), 1-(cyclopropylmethyl)piperazine (44 µL, 41 mg, 0.29 mmol), DCM (3.0 mL) and sodium triacetoxyborohydride (78 mg, 0.37 mmol). The crude product was purified by flash chromatography (0–20% MeOH gradient in AcOEt) to give 45 (97 mg, 0.21 mmol) as a light yellow solid with 84% yield. 1H NMR (400 MHz, DMSO-d6) δ 11.34 (s, 1H, NH), 7.65–7.63 (m, 1H, Ar-H), 7.53 (d, J = 8.1 Hz, 1H, Ar-H), 7.47–7.46 (m, 1H, Ar-H), 7.21 (t, J = 7.7 Hz, 1H, Ar-H), 7.10–7.09 (m, 1H, Ar-H), 6.76 (s, 1H, Ar-H), 6.48 (s, 1H, Ar-H), 3.86–3.84 (m, 4H, morph.), 3.78–3.77 (m, 4H, morph.), 3.65 (s, 2H, CH2), 2.53–2.45 (m, 8H, piperaz.), 2.15 (d, J = 6.6 Hz, 2H, CH2), 0.84–0.77 (m, 1H, CH), 0.45–0.40 (m, 2H, CH2), 0.06–0.02 (m, 2H, CH2). 13C NMR (101 MHz, DMSO-d6) δ 157.9, 154.0, 151.0, 149.5, 136.8, 130.0, 126.4, 125.6, 120.7, 119.5, 113.2, 101.8, 94.7, 91.5, 65.6, 62.8, 56.1, 52.7, 52.7, 47.9, 8.2, 3.7. HRMS (ESI): m/z calcd for C27H33N7O [M+H]+: 472.2819; found 472.2825.
  • Procedure for [5-chloro-7-(morpholin-4-yl)pyrazolo[1,5-a]pyrimidin-2-yl]methanol (46)
To the solution of compound 19 (16.6 g, 46.3 mmol) in CHCl3 (150 mL), methanesulfonic acid (61 mL, 925 mmol) was added, and then the reaction mixture was stirred at room temperature. After two h, the reaction mixture was poured onto the water containing ice and alkalized with 15% sodium hydroxide solution (25 mL). The aqueous phase was extracted with ethyl acetate (35 mL), and after separation, the organic phase was dried over anhydrous sodium sulfate. After filtration of the drying agent and evaporation of the solvent, the residue was purified by column chromatography (0–80% ethyl acetate gradient in heptane) to give 46 (12 g, 44.76 mmol) with 97% yield as an off-white solid. 1H NMR (300 MHz, CDCl3) δ: 6.49 (s, 1H, Ar-H), 6.07 (s, 1H, Ar-H), 4.87 (s, 2H, CH2), 4.00–3.90 (m, 4H, morph.), 3.83–3.73 (m, 4H, morph.). MS-ESI: m/z calcd for C11H13ClN4O2 [M+H]+: 269.08; found 269.0.
  • Procedure for 5-chloro-7-(morpholin-4-yl)pyrazolo[1,5-a]pyrimidine-2-carbaldehyde (47)
To a solution of compound 46 (3.00 g, 10.9 mmol) in DMF (30.0 mL) in argon atmosphere was added Dess–Martin periodinane (97%, 5.74 g, 13.1 mmol). The resulting mixture was stirred at room temperature for 2 h. The solvent was evaporated. The residue was washed with AcOEt and filtered. The filtrate was concentrated, and the crude product was purified by flash chromatography (0–100% AcOEt gradient in heptane) to give 47 (1.34 g, 5.02 mmol) with 46% yield. 1H NMR (500 MHz, DMSO-d6) δ 10.09 (s, 1H, CHO), 6.97 (s, 1H, Ar-H), 6.63 (s, 1H, Ar-H), 3.90–3.85 (m, 4H, morph.), 3.86–3.78 (m, 4H, morph.).
  • Procedure for 2-(1-{[5-chloro-7-(morpholin-4-yl)pyrazolo[1,5-a]pyrimidin-2-yl]methyl}piperidin-4-yl)propan-2-ol (48)
To the solution of compound 47 (3.4 g, 12.5 mmol) in dry DCM (30 mL), 2-(4-piperidyl)-2-propanol (2.24 g, 15.0 mmol) was added and then stirred at room temperature. After one hour, sodium triacetoxyborohydride (4.59 g, 21.2 mmol) was added, stirring the mixture at room temperature for a further 15 h. Then, water (45 mL) was added to the reaction mixture, and water-organic phases were separated. The aqueous phase was extracted three times with DCM (30 mL). Combined organic phases were dried over anhydrous sodium sulfate, filtered, and evaporated under reduced pressure. The residue was purified by flash chromatography (0–10% methanol gradient in ethyl acetate) to give 48 (3.1 g, 7.88 mmol) with a 63% yield as a slightly yellow solid. 1H NMR (500 MHz, CDCl3) δ 6.47 (s, 1H, Ar-H), 6.01 (s, 1H, Ar-H), 3.96–3.91 (m, 4H, morph.), 3.81–3.76 (m, 4H, morph.), 3.71 (s, 2H), 3.11–3.00 (m, 2H), 2.09–1.98 (m, 2H), 1.78–1.67 (m, 2H), 1.48–1.35 (m, 2H), 1.30–1.23 (m, 1H), 1.17 (s, 6H, 2xCH3). MS-ESI: m/z calcd for C19H28ClN5O2 [M+H]+: 394.20; found 394.1.
  • Procedure for 2-((4-(2-hydroxypropan-2-yl)piperidin-1-yl)methyl)-5-(5-fluoro-1H-indol-4-yl)-7-(morpholin-4-yl)pyrazolo[1,5-a]pyrimidine (49)
Compound 49 was prepared according to the general procedure for the Suzuki reaction. Synthesized from 48 (0.15 g, 0.381 mmol), 5-fluoro-4-(4,4,5,5-tetramethyl-1,3,2-dioxaborolan-2-yl)-1H-indole (0.16 g, 0.571 mmol), tetrakis(triphenylphosphine)palladium(0) (90 mg, 0.076 mmol), 2M aqueous sodium carbonate solution (0.38 mL, 0.762 mmol) and DME (6 mL). The crude product was purified by flash chromatography (50–100% ethyl acetate gradient in heptane) to give 49 (0.11 g, 0.22 mmol) with 60% yield. 1H NMR (400 MHz, DMSO-d6) δ 11.34 (s, 1H, NH), 7.50–7.46 (m, 2H, Ar-H), 7.07–7.02 (m, 1H, Ar-H), 6.72–6.71 (m, 1H, Ar-H), 6.56 (d, J = 1.7 Hz, 1H, Ar-H), 6.49 (s, 1H), 4.02 (bs, 1H), 3.84–3.80 (m, 4H, morph.), 3.77–3.73 (m, 4H, morph.), 3.63 (s, 2H), 2.98–2.95 (m, 2H), 1.95–1.90 (m, 2H), 1.65–1.62 (m, 2H), 1.31–1.23 (m, 3H), 1.01 (s, 6H, 2xCH3). 13C NMR (101 MHz, DMSO-d6) δ 154.5, 154.2, 153.6, 150.8, 149.2, 132.8, 128.0, 126.9, 116.6, 113.5, 109.6, 101.8, 94.8, 93.9, 70.2, 65.6, 56.4, 53.9, 47.8, 46.9, 26.9, 26.6. HRMS (ESI): m/z calcd for C27H33FN6O2 [M+H]+: 493.2722; found 493.724.
  • Procedure for 2-((4-(2-hydroxypropan-2-yl)piperidin-1-yl)methyl)-5-(1H-pyrrolo [2,3-c]pyridin-4-yl)-7-(morpholin-4-yl)pyrazolo[1,5-a]pyrimidine (50)
Compound 50 was prepared according to the general procedure for the Suzuki reaction. Synthesized from 48 (0.15 g, 0.381 mmol), 6-azaindole-4-boronic acid pinacol ester (0.15 g, 0.571 mmol), tetrakis(triphenylphosphine)palladium(0) (88 mg, 0.076 mmol), 2M aqueous sodium carbonate solution (0.38 mL, 0.762 mmol) and DME (6 mL). The crude product was purified by flash chromatography (0–2% methanol gradient in ethyl acetate) to give 50 (0.13 g, 0.27 mmol) with 72% yield. 1H NMR(300 MHz, CDCl3) δ 10.43 (bs; 1H, NH); 8.80–8.78 (m; 1H, Ar-H); 8.72 (s; 1H, Ar-H); 7.51 (d; J = 3.1 Hz; 1H, Ar-H); 7.18 (d; J = 2.6 Hz; 1H, Ar-H); 6.65 (s; 1H, Ar-H); 6.61 (s; 1H, Ar-H); 4.02–3.90 (m; 4H, morph.); 3.84–3.72 (m; 6H); 3.20–3.09 (m; 2H, CH2); 2.16–2.03 (m; 2H, CH2); 1.80–1.70 (m; 2H); 1.53–1.31 (m; 3H); 1.18 (s; 6H, 2xCH3). 13C NMR (75 MHz, CDCl3) δ 156.4, 154.9, 151.7, 150.5, 138.2, 135.1, 133.8, 131.2, 130.0, 126.6, 102.7, 96.3, 91.5, 72.6, 66.4, 57.0, 54.3, 48.6, 47.4, 27.1, 27.1. HRMS (ESI): m/z calcd for C26H33N7O2 [M+H]+: 476.2769; found 476.2775.
  • Procedure for 2-((4-(2-hydroxypropan-2-yl)piperidin-1-yl)methyl)-5-(1H-pyrrolo [2,3-b]pyridin-4-yl)-7-(morpholin-4-yl)pyrazolo[1,5-a]pyrimidine (51)
Compound 51 was prepared according to the general procedure for the Suzuki reaction. Synthesized from 48 (0.15 g, 0.381 mmol), 4-(4,4,5,5-tetramethyl-1,3,2-dioxaborolan-2-yl)-1H-pyrrolo [2,3-b]pyridine (0.14 g, 0.571 mmol), tetrakis(triphenylphosphine) palladium(0) (88 mg, 0.076 mmol), 2M aqueous sodium carbonate solution (0.38 mL, 0.762 mmol) and DME (6 mL). The crude product was purified by flash chromatography (0–5% methanol gradient in ethyl acetate) to give 51 (0.12 g, 0.25 mmol) with 67% yield. 1H NMR (400 MHz, DMSO-d6) δ 11.85 (s, 1H, NH), 8.34 (d, J = 5.0 Hz, 1H, Ar-H), 7.67 (d, J = 5.0 Hz, 1H, Ar-H), 7.61–7.59 (m, 1H, Ar-H), 7.10–7.09 (m, 1H, Ar-H), 6.84 (s, 1H, Ar-H), 6.55 (s, 1H, Ar-H), 4.02 (s, 1H), 3.84–3.83 (m, 8H), 3.63 (s, 2H), 2.97–2.94 (m, 2H), 1.95–1.89 (m, 2H), 1.65–1.62 (m, 2H), 1.27–1.20 (m, 3H), 1.01 (s, 6H, 2xCH3). 13C NMR (101 MHz, DMSO-d6) δ 155.5, 154.8, 150.9, 149.8, 149.7, 142.5, 137.0, 127.4, 117.1, 114.1, 100.8, 95.2, 91.1, 70.2, 65.6, 56.4, 53.9, 47.9, 46.8, 26.9, 26.6.HRMS (ESI): m/z calcd for C26H33N7O2 [M+H]+: 476.2769; found 476.2776.
  • Procedure for 4-{2-[(4-tert-butylpiperazin-1-yl)methyl]-5-chloropyrazolo[1,5-a]pyrimidin-7-yl}morpholine (52)
To the solution of compound 47 (4.1 g, 15.4 mmol) in dry DCM (60 mL), N-t-butylpiperazine (2.62 g, 18.4 mmol) was added and then stirred at room temperature. After one h, sodium triacetoxyborohydride (5.54 g, 26.1 mmol) was added, and the mixture was stirred at room temperature for a further 15 h. Then, water (50 mL) was added to the reaction mixture, and the phases were separated. The aqueous phase was extracted three times with DCM (45 mL). Combined organic phases were dried over anhydrous sodium sulfate, filtered, and evaporated under reduced pressure. The residue was purified by flash chromatography (0–10% methanol gradient in ethyl acetate) to give 52 (3.2 g, 8.15 mmol) with 53% yield as a slightly yellow solid. 1H NMR (300 MHz, CDCl3) δ 6.47 (s, 1H, Ar-H), 6.03 (s, 1H, Ar-H), 3.99–3.89 (m, 4H, morph.), 3.84–3.76 (m, 4H, morph.), 3.74 (s, 2H, CH2), 2.63 (s, 8H, piperaz.), 1.08 (s, 9H, t-Bu.). MS-ESI: m/z calcd for C19H29ClN6O [M+H]+: 393.22; found 393.1.
  • Procedure for 2-((4-tert-butylpiperazin-1-yl)methyl)-5-(5-fluoro-1H-indol-4-yl)-7-(morpholin-4-yl)pyrazolo[1,5-a]pyrimidine (53)
Compound 53 was prepared according to the general procedure for the Suzuki reaction. Synthesized from 52 (0.12 g, 0.305 mmol), 5-fluoro-4-(4,4,5,5-tetramethyl-1,3,2-dioxaborolan-2-yl)-1H-indole (0.13 g, 0.458 mmol), tetrakis(triphenylphosphine)palladium(0) (72 mg, 0.061 mmol), 2M aqueous sodium carbonate solution (0.31 mL, 0.611 mmol) and DME (5 mL). The crude product was purified by flash chromatography (0–5% methanol gradient in ethyl acetate) to give 53 (0.10 g, 0.20 mmol) with 68% yield. 1H NMR (600 MHz, DMSO-d6) δ 11.36 (s, 1H, NH), 7.50–7.48 (m, 1H, Ar-H), 7.47–7.46 (m, 1H, Ar-H), 7.06–7.03 (m, 1H, Ar-H), 6.71–6.70 (m, 1H, Ar-H), 6.57–6.57 (m, 1H, Ar-H), 6.51 (s, 1H, Ar-H), 3.83–3.82 (m, 4H, morph.), 3.75–3.74 (m, 4H, morph.), 3.67 (s, 2H, CH2), 2.65–2.37 (m, 8H, piperaz.), 1.03 (s, 9H, t-Bu.). 13C NMR (151 MHz, DMSO-d6) δ 154.9, 153.7, 153.4, 150.8, 149.2, 132.8, 128.0, 126.9, 116.6, 113.6, 109.7, 101.8, 95.0, 94.0, 65.6, 55.8, 53.3, 47.8, 45.3, 40.0, 25.5. HRMS (ESI): m/z calcd for C27H34FN7O [M+H]+: 492.2881; found 492.2886.
  • Procedure for 2-((4-tert-butylpiperazin-1-yl)methyl)-5-(1H-pyrrolo [2,3-c]pyridin-4-yl)-7-(morpholin-4-yl)pyrazolo[1,5-a]pyrimidine (54)
Compound 54 was prepared according to the general procedure for the Suzuki reaction. Synthesized from 52 (0.12 g, 0.305 mmol), 6-azaindole-4-boronic acid pinacol ester (0.12 g, 0.458 mmol), tetrakis(triphenylphosphine)palladium(0) (71 mg, 0.061 mmol), 2M aqueous sodium carbonate solution (0.305 mL, 0.611 mmol) and DME (5 mL). The crude product was purified by flash chromatography (0–5% methanol gradient in ethyl acetate) to give 54 (0.11 g, 0.23 mmol) with 77% yield. 1H NMR (600 MHz, DMSO-d6) δ 11.84 (s, 1H, NH), 8.83–8.83 (m, 1H, Ar-H), 8.76–8.75 (m, 1H, Ar-H), 7.73–7.73 (m, 1H, Ar-H), 7.17–7.16 (m, 1H, Ar-H), 6.84 (s, 1H, Ar-H), 6.51 (s, 1H, Ar-H), 3.85–3.84 (m, 5H), 3.82–3.81 (m, 4H), 3.63 (s, 2H, CH2), 2.54–2.46 (m, 8H, piperaz.), 0.97 (s, 9H, t-Bu.). 13C NMR (151 MHz, DMSO-d6) δ 155.8, 154.1, 151.0, 149.6, 137.9, 133.6, 130.6, 129.8, 125.1, 101.7, 94.9, 90.9, 65.6, 56.0, 53.6, 52.9, 47.9, 45.2, 40.0, 25.7. HRMS (ESI): m/z calcd for C26H34N8O [M+H]+: 475.2928; found 472.2929.
  • Procedure for 2-((4-tert-butylpiperazin-1-yl)methyl)-5-(1H-pyrrolo [2,3-b]pyridin-4-yl)-7-(morpholin-4-yl)pyrazolo[1,5-a]pyrimidine (55)
Compound 55 prepared according to the general procedure for the Suzuki reaction. Synthesized from 52 (0.15 g, 0.382 mmol), 4-(4,4,5,5-tetramethyl-1,3,2-dioxaborolan-2-yl)-1H-pyrrolo [2,3-b]pyridine (0.14 g, 0.573 mmol), tetrakis(triphenylphosphine) palladium(0) (88 mg, 0.076 mmol), 2M aqueous sodium carbonate solution (0.38 mL, 0.763 mmol) and DME (5 mL). The crude product was purified by flash chromatography (0–5% methanol gradient in ethyl acetate) to give 55 (0.13 g, 0.27 mmol) with 72% yield. 1H NMR (400 MHz, DMSO-d6) δ 11.85 (s, 1H, NH), 8.34 (d, J = 5.0 Hz, 1H, Ar-H), 7.67 (d, J = 5.1 Hz, 1H, Ar-H), 7.61–7.59 (m, 1H, Ar-H), 7.10–7.08 (m, 1H, Ar-H), 6.85 (s, 1H, Ar-H), 6.56 (s, 1H, Ar-H), 3.84–3.83 (m, 8H, morph.), 3.64 (s, 2H, CH2), 2.50–2.43 (m, 8H, piperaz.), 0.97 (s, 9H, t-Bu.). 13C NMR (101 MHz, DMSO-d6) δ 155.5, 154.4, 150.9, 149.8, 142.5, 137.0, 127.4, 117.1, 114.1, 100.8, 95.3, 91.2, 65.6, 55.9, 53.5, 53.1, 47.9, 45.2, 40.2, 25.7. HRMS (ESI): m/z calcd for C26H34N8O [M+H]+: 475.2928; found 472.2936.

3.2. Docking Study

The docking procedure was performed in the PI3K δ protein from Protein Data Bank (PDB: 2WXP) using the Auto-Dock Vina program [55]. All figures with examples of 3D modeling of a possible binding mode of selected compounds were prepared based on the calculated pKa from the Instant JChem 21.13.0 program [57]. More specifically, all structures depicted in the respective figures have not had protons added, but the appropriate protonation state has been maintained.

3.3. Biology

3.3.1. In Vitro Kinase Inhibition Assay for PI3K

Tested compounds were dissolved in 100% DMSO, and obtained solutions were serially diluted in 1× reaction buffer. The recombinant kinase solution was diluted in a reaction mixture comprising 5× reaction buffer, respective compound solution (1 mM sodium diacetate 4,5-bisphosphate phosphatidylinositol (PIP2) solution in 40 mM Tris buffer), and water. In a 96-wells plate, 5 μL of compound solutions and 15 μL of the kinase solution in the reaction mixture were added per well. To initiate the interaction of chemical compounds to be tested with the enzyme, the plate was incubated for 10 min at a suitable temperature in a plate thermostat with orbital shaking at 600 rpm. Negative control wells contained all the above reagents except tested compound and kinase, and positive control wells contained all the above reagents except tested compounds. The enzymatic reaction was initiated by adding 5 μL of 150 μM ATP solution. Subsequently, the plate was incubated for 1 h at 25 or 30 °C (depending on the PI3K isoform tested) in a plate thermostat with orbital shaking of the plate contents at 600 rpm. The reaction conditions are combined in the table below (Table 6).
Detection of ADP formed in the enzymatic reaction was then performed using ADP-Glo Kinase Assay™ (Promega, Madison, WI, USA). To the wells of a 96-well plate, 25 μL of ADP-Glo Reagent™ was added, and the plate was incubated for 40 min at 25 °C in a plate thermostat with orbital shaking at 600 rpm. Then 50 μL of Kinase Detection Reagent were added to each well, and the plate was incubated for 40 min at 25 °C in a plate thermostat with orbital shaking at 600 rpm. Once the incubation was complete, the luminescence intensity was measured using a Victor Light luminometer (Perkin Elmer, Inc., Waltham, MA, USA). IC50 values were determined based on luminescence intensity measured in wells containing tested compounds at different concentrations in relation to control wells. These values were calculated with Graph Pad 5.03 software by fitting the curve using non-linear regression. Each compound was tested at least in quadruplicates (4 wells) on two 96-well plates utilizing at least 4 wells for each control. Averaged results of inhibition activity respective to specific isoforms of PI3K kinases for tested compounds are presented as IC50 values in Table 1, Table 2, Table 3 and Table 4.

3.3.2. Influence of Selected Compounds on B Cells Proliferation

CD19 cells were isolated from PBMC using magnetic beads (Stem Cell, Cambridge, MA, USA) and then labeled with 2 µM CFSE (Invitrogen, Waltham, MA, USA).
1 × 105 cells were seeded on 96-well plate, activated by 2 µg/mL αIgM (Jackson ImmunoResearch, Ely, UK) and 1 µg/mL ODN2006 (InvivoGen, San Diego, CA, USA), and incubated with increasing concentrations of drugs (0.1, 0.3, 1.0, 3.3, 10, 33, 100, 333, 1000, 3333, 10,000 nM). After four days, cells were stained with LIVE/DEAD™ kit (Invitrogen, Waltham, MA, USA). Samples were acquired using Attune NxT Flow Cytometer (Invitrogen, Waltham, MA, USA) and analyzed using FlowJo software. Each biological assay was performed with cells isolated from a different donor. The presented results constitute the average value of the percentage of proliferating cells from 3 independent experiments.

3.4. Metabolic Stability and Solubility

3.4.1. Metabolic Stability Assay

Assessment of metabolic phase I stability in mouse (CD-1™) and human microsomes (Thermo-Fisher Scientific, Waltham, MA, USA) was performed on 96-well non-binding plates (Greiner, Frickenhausen, Germany) at 1 μM concentration for verapamil (positive control) and donepezil (negative control) and tested compounds. Unless otherwise stated, all chemicals and materials were ordered from Merck Life Science (Palo Alto, CA, USA). Each biological replicate was prepared in triplicates. Briefly, mixtures were incubated in 100 mM potassium phosphate buffer with microsomes (0.5 mg/mL) and NADPH (1–1.2 mM) on a plate shaker (500 rpm) in the dark at 37 °C. A 4× solution of NADPH, a cofactor for metabolic enzymes, was prepared directly prior to the experiment by reducing NADP with G6P dehydrogenase (13.2 mM MgCl2, 13.2 mM G6P, 5.2 mM NADP, 3.2 U/mL G6P dehydrogenase, 20 min at 30 °C, 500 rpm). The negative control contained buffer instead of NADPH solution. Samples were collected at 0, 10, 20, and 40 min or 0 and 40 min for the negative and double negative controls. The reaction was stopped by protein precipitation in 2 volumes of ice-cold MeOH with 200 nM imipramine (an internal standard for LC-MS analysis). Then, the extract was mixed (1 min, 1000 rpm), filtered through a 0.22 μm filter on a 96-well plate vacuum manifold, and subjected to LC-MS analysis.

3.4.2. Kinetic Stability Assay

Kinetic solubility was determined by the shake-flask protocol [58,59]. Appropriate compounds (500 µM) were incubated in an aqueous buffer (0.1 M phosphate-buffered saline pH 7.4) at 25 °C with stirring at 500 rpm. The samples were taken at the start time and after 24 h of incubation, filtered through 0.22 µm filters, and diluted with two volumes of acetonitrile. UHPLC-UV/Vis determined sample concentrations. A calibration curve was prepared to quality the compound’s contents in the test solution.

4. Conclusions

Based on the 2-methyl-pyrazolo[1,5-a]pyrimidine system, the most promising R1 (Scheme 1) substituent in terms of activity and selectivity was selected, and appropriate structures were designed and synthesized in multi-step synthesis. Among various derivatives obtained, two amino groups were identified as the most promising concerning the PI3Kδ activity and other PI3K isoforms selectivity: 2-(piperidin-4-yl) propan-2-ol and N-tert-butylpiperazine located at the C(2) position of the pyrazolo[1,5-a]pyrimidine. The most selective compounds turned out to be 4-{2-[(4-tert-butylpiperazin-1-yl)methyl]-7-(morpholin-4-yl)pyrazolo[1,5-a]pyrimidin-5-yl}-1H-indole (37) and 4-{2-[(4-tert-butylpiperazin-1-yl)methyl]-5-{1H-pyrrolo [2,3-c]pyridin-4-yl}pyrazolo[1,5-a]pyrimidin-7-yl}morpholine (54), bearing the indol or azaindole system as the R1 substituent and N-tert-butylpiperazine as the R2 (Scheme 2) residue. Molecular calculations and docking studies supported the strong tryptophan shelf (Trp-760) mechanism in which the lipophilic tert-butyl substituent is possibly engaged. Compound 54 (CPL302253) showed promising additional properties such as suitable kinetic solubility or higher metabolic stability (Table 6) compared to compound 37. For these reasons, CPL302253 was selected as a promising clinical candidate for the treatment of asthma. Additional, biological studies supporting this selection have been published by Gunerka et al. [15].

Supplementary Materials

The following supporting information can be downloaded at: https://www.mdpi.com/article/10.3390/ph15080949/s1, Compounds 513, 2345, 4951 and 5355.

Author Contributions

Synthesis, M.S., M.Z., S.M., N.O. and M.D.; biological evaluation B.D., P.S., J.H.-K., P.T., P.G., D.Z.-B., A.S. and K.D. (Karolina Dzwonek); analytical evaluation K.M., D.S., L.G.-B. and A.L.; investigation, M.S., M.Z., P.G., D.Z.-B. and B.D.; writing—original draft preparation, M.S., M.Z. and S.M.; writing—review and editing, M.M., P.G., D.Z.-B. and Z.O.; visualization, F.S.; supervision, M.W. and Z.O.; project administration, M.Z., P.G., A.S., K.D. (Karolina Dzwonek), K.D. (Krzysztof Dubiel), M.L.-P., M.W. and Z.O.; funding acquisition, M.W. All authors have read and agreed to the published version of the manuscript.

Funding

This research was co-financed by Celon Pharma S.A. and the National Centre for Research and Development “Narodowe Centrum Badan i Rozwoju”., project “PIKCEL—Preclinical and clinical development of innovative lipid kinases inhibitor as a candidate for the treatment of steroid-resistant and severe inflammatory lung diseases”, granted under number POIR.01.01.01-00-1341/15.

Institutional Review Board Statement

Not applicable.

Informed Consent Statement

Not applicable.

Data Availability Statement

Data is contained within the article and supplementary material.

Acknowledgments

We would like to thank Aleksandra Świderska (Celon Pharma) for NMR analyses and practical suggestions. Moreover, we would like to thank Wojciech Pietruś for docking study suggestions and docking figures.

Conflicts of Interest

The authors declare the following financial interests/personal relationships which may be considered as potential competing interests: All contributors to this work at the time of their direct involvement in the project were the full-time employees of Celon Pharma S.A. A patent application WO 2016/157091 A1, based on the present observations, has been filed. M. Wieczorek is the CEO of Celon Pharma S.A. Some of the authors are the shareholders of Celon Pharma S.A.

References

  1. Okkenhaug, K.; Vanhaesebroeck, B. PI3K-Signalling in B- and T-Cells: Insights from Gene-Targeted Mice. Biochem. Soc. Trans. 2003, 31, 270–274. [Google Scholar] [CrossRef] [PubMed]
  2. Okkenhaug, K.; Vanhaesebroeck, B. PI3K in Lymphocyte Development, Differentiation, and Activation. Nat. Rev. Immunol. 2003, 3, 317–330. [Google Scholar] [CrossRef] [PubMed]
  3. Rommel, C.; Camps, M.; Ji, H. PI3Kδ and PI3Kγ: Partners in Crime in Inflammation in Rheumatoid Arthritis and Beyond? Nat. Rev. Immunol. 2007, 7, 191–201. [Google Scholar] [CrossRef] [PubMed]
  4. Thomas, M.; Owen, C. Inhibition of PI-3 Kinase for Treating Respiratory Disease: Good Idea or Bad Idea? Curr. Opin. Pharmacol. 2008, 8, 267–274. [Google Scholar] [CrossRef]
  5. Williams, O.; Houseman, B.T.; Kunkel, E.J.; Aizenstein, B.; Hoffman, R.; Knight, Z.A.; Shokat, K.M. Discovery of Dual Inhibitors of the Immune Cell PI3Ks P110δ and P110γ: A Prototype for New Anti-Inflammatory Drugs. Chem. Biol. 2010, 17, 123–134. [Google Scholar] [CrossRef]
  6. Perry, M.W.D.; Abdulai, R.; Mogemark, M.; Petersen, J.; Thomas, M.J.; Valastro, B.; Westin Eriksson, A. Evolution of PI3Kγ and δ Inhibitors for Inflammatory and Autoimmune Diseases. J. Med. Chem. 2019, 62, 4783–4814. [Google Scholar] [CrossRef]
  7. Zhang, T.; Makondo, K.J.; Marshall, A.J. P110δ Phosphoinositide 3-Kinase Represses IgE Switch by Potentiating BCL6 Expression. J. Immunol. 2012, 188, 3700–3708. [Google Scholar] [CrossRef]
  8. Puri, K.D.; Gold, M.R. Selective Inhibitors of Phosphoinositide 3-Kinase Delta: Modulators of B-Cell Function with Potential for Treating Autoimmune Inflammatory Diseases and B-Cell Malignancies. Front. Immunol. 2012, 3, 256. [Google Scholar] [CrossRef]
  9. Suárez-Fueyo, A.; Rojas, J.M.; Cariaga, A.E.; García, E.; Steiner, B.H.; Barber, D.F.; Puri, K.D.; Carrera, A.C. Inhibition of PI3Kδ Reduces Kidney Infiltration by Macrophages and Ameliorates Systemic Lupus in the Mouse. J. Immunol. 2014, 193, 544–554. [Google Scholar] [CrossRef]
  10. Haselmayer, P.; Camps, M.; Muzerelle, M.; el Bawab, S.; Waltzinger, C.; Bruns, L.; Abla, N.; Polokoff, M.A.; Jond-Necand, C.; Gaudet, M.; et al. Characterization of Novel PI3KÎ’ Inhibitors as Potential Therapeutics for SLE and Lupus Nephritis in Pre-Clinical Studies. Front. Immunol. 2014, 5, 233. [Google Scholar] [CrossRef]
  11. Suárez-Fueyo, A.; Barber, D.F.; Martínez-Ara, J.; Zea-Mendoza, A.C.; Carrera, A.C. Enhanced Phosphoinositide 3-Kinase δ Activity Is a Frequent Event in Systemic Lupus Erythematosus That Confers Resistance to Activation-Induced T Cell Death. J. Immunol. 2011, 187, 2376–2385. [Google Scholar] [CrossRef]
  12. Cushing, T.D.; Metz, D.P.; Whittington, D.A.; McGee, L.R. PI3Kδ and PI3Kγ as Targets for Autoimmune and Inflammatory Diseases. J. Med. Chem. 2012, 55, 8559–8581. [Google Scholar] [CrossRef]
  13. Wright, H.L.; Moots, R.J.; Bucknall, R.C.; Edwards, S.W. Neutrophil Function in Inflammation and Inflammatory Diseases. Rheumatology 2010, 49, 1618–1631. [Google Scholar] [CrossRef]
  14. Ali, K.; Camps, M.; Pearce, W.P.; Ji, H.; Rückle, T.; Kuehn, N.; Pasquali, C.; Chabert, C.; Rommel, C.; Vanhaesebroeck, B. Isoform-Specific Functions of Phosphoinositide 3-Kinases: P110δ but Not P110γ Promotes Optimal Allergic Responses In Vivo. J. Immunol. 2008, 180, 2538–2544. [Google Scholar] [CrossRef]
  15. Gunerka, P.; Gala, K.; Banach, M.; Dominowski, J.; Hucz-Kalitowska, J.; Mulewski, K.; Hajnal, A.; Mikus, E.G.; Smuga, D.; Zagozda, M.; et al. Preclinical Characterization of CPL302-253, a Selective Inhibitor of PI3Kδ, as the Candidate for the Inhalatory Treatment and Prevention of Asthma. PLoS ONE 2020, 15, e0236159. [Google Scholar] [CrossRef]
  16. Barnes, P.J. Immunology of Asthma and Chronic Obstructive Pulmonary Disease. Nat. Rev. Immunol. 2008, 8, 183–192. [Google Scholar] [CrossRef]
  17. Lambrecht, B.N.; Hammad, H. The Immunology of Asthma. Nat. Immunol. 2015, 16, 45–56. [Google Scholar] [CrossRef]
  18. Jeong, J.S.; Kim, J.S.; Kim, S.R.; Lee, Y.C. Defining Bronchial Asthma with Phosphoinositide 3-Kinase Delta Activation: Towards Endotype-Driven Management. Int. J. Mol. Sci. 2019, 20, 3525. [Google Scholar] [CrossRef]
  19. Zirlik, K.; Veelken, H. Idelalisib. Recent Res. Cancer Res. 2018, 212, 243–264. [Google Scholar] [CrossRef]
  20. Blair, H.A. Duvelisib: First Global Approval. Drugs 2018, 78, 1847–1853. [Google Scholar] [CrossRef]
  21. Okabe, S.; Tanaka, Y.; Tauchi, T.; Ohyashiki, K. Copanlisib, a Novel Phosphoinositide 3-Kinase Inhibitor, Combined with Carfilzomib Inhibits Multiple Myeloma Cell Proliferation. Ann. Hematol. 2019, 98, 723–733. [Google Scholar] [CrossRef] [PubMed]
  22. Greenwell, I.B.; Ip, A.; Cohen, J.B. PI3K Inhibitors: Understanding Toxicity Mechanisms and Management. Oncology 2017, 31, 821–828. [Google Scholar] [PubMed]
  23. Barnes, P.J. New Therapies for Asthma: Is There Any Progress? Trends Pharmacol. Sci. 2010, 31, 335–343. [Google Scholar] [CrossRef] [PubMed]
  24. Murray, J.M.; Sweeney, Z.K.; Chan, B.K.; Balazs, M.; Bradley, E.; Castanedo, G.; Chabot, C.; Chantry, D.; Flagella, M.; Goldstein, D.M.; et al. Potent and Highly Selective Benzimidazole Inhibitors of PI3-Kinase Delta. J. Med. Chem. 2012, 55, 7686–7695. [Google Scholar] [CrossRef] [PubMed]
  25. Sutherlin, D.P.; Baker, S.; Bisconte, A.; Blaney, P.M.; Brown, A.; Chan, B.K.; Chantry, D.; Castanedo, G.; DePledge, P.; Goldsmith, P.; et al. Potent and Selective Inhibitors of PI3Kδ: Obtaining Isoform Selectivity from the Affinity Pocket and Tryptophan Shelf. Bioorg. Med. Chem. Lett. 2012, 22, 4296–4302. [Google Scholar] [CrossRef]
  26. Safina, B.S.; Baker, S.; Baumgardner, M.; Blaney, P.M.; Chan, B.K.; Chen, Y.-H.; Cartwright, M.W.; Castanedo, G.; Chabot, C.; Cheguillaume, A.J.; et al. Discovery of Novel PI3-Kinase δ Specific Inhibitors for the Treatment of Rheumatoid Arthritis: Taming CYP3A4 Time-Dependent Inhibition. J. Med. Chem. 2012, 55, 5887–5900. [Google Scholar] [CrossRef]
  27. Stark, A.K.; Sriskantharajah, S.; Hessel, E.M.; Okkenhaug, K. PI3K inhibitors in inflammation, autoimunity and cancer. Curr. Opin. Pharmacol. 2015, 23, 82–91. [Google Scholar] [CrossRef]
  28. Knight, Z.A.; Gonzalez, B.; Feldman, M.E.; Zunder, E.R.; Goldenberg, D.D.; Williams, O.; Loewith, R.; Stokoe, D.; Balla, A.; Toth, B.; et al. A Pharmacological Map of the PI3-K Family Defines a Role for P110α in Insulin Signaling. Cell 2006, 125, 733–747. [Google Scholar] [CrossRef]
  29. Berndt, A.; Miller, S.; Williams, O.; Le, D.D.; Houseman, B.T.; Pacold, J.I.; Gorrec, F.; Hon, W.-C.; Ren, P.; Liu, Y.; et al. Erratum: Corrigendum: The P110δ Structure: Mechanisms for Selectivity and Potency of New PI(3)K Inhibitors. Nat. Chem. Biol. 2010, 6, 244. [Google Scholar] [CrossRef]
  30. Garces, A.E.; Stocks, M.J. Class 1 PI3K Clinical Candidates and Recent Inhibitor Design Strategies: A Medicinal Chemistry Perspective. J. Med. Chem. 2019, 62, 4815–4850. [Google Scholar] [CrossRef]
  31. Vanhaesebroeck, B.; Perry, M.W.D.; Brown, J.R.; André, F.; Okkenhaug, K. PI3K Inhibitors Are Finally Coming of Age. Nat. Rev. Drug Discov. 2021, 20, 741–769. [Google Scholar] [CrossRef]
  32. Hayakawa, M.; Kaizawa, H.; Moritomo, H.; Koizumi, T.; Ohishi, T.; Yamano, M.; Okada, M.; Ohta, M.; Tsukamoto, S.; Raynaud, F.I.; et al. Synthesis and Biological Evaluation of Pyrido [3′,2′:4,5]Furo [3,2-d]Pyrimidine Derivatives as Novel PI3 Kinase P110α Inhibitors. Bioorg. Med. Chem. Lett. 2007, 17, 2438–2442. [Google Scholar] [CrossRef]
  33. Kawashima, S.; Matsuno, T.; Yaguchi, S.; Sasahara, H.; Watanabe, T. Heterocyclic Compound and Antitumor Agent Containing the Same as Active Ingredient. U.S. Patent 1,389,617, 26 June 2002. [Google Scholar]
  34. Folkes, A.J.; Ahmadi, K.; Alderton, W.K.; Alix, S.; Baker, S.J.; Box, G.; Chuckowree, I.S.; Clarke, P.A.; Depledge, P.; Eccles, S.A.; et al. The Identification of 2-(1-H-Indazol-4-Yl)-6-(4-Methanesulfonyl-Piperazin-1-Ylmethyl)-4-Morpholin-4-Yl-Thieno [3,2-d]Pyrimidine (GDC-0941) as a Potent, Selective, Orally Bioavailable Inhibitor of Class I PI3 Kinase for the Treatment of Cancer. J. Med. Chem. 2008, 51, 5522–5532. [Google Scholar] [CrossRef]
  35. Scott, W.J.; Hentemann, M.F.; Rowley, R.B.; Bull, C.O.; Jenkins, S.; Bullion, A.M.; Johnson, J.; Redman, A.; Robbins, A.H.; Esler, W.; et al. Discovery and SAR of Novel 2,3-Dihydroimidazo [1,2-c]Quinazoline PI3K Inhibitors: Identification of Copanlisib (BAY 80-6946). ChemMedChem 2016, 11, 1517–1530. [Google Scholar] [CrossRef]
  36. Burger, M.T.; Pecchi, S.; Wagman, A.; Ni, Z.-J.; Knapp, M.; Hendrickson, T.; Atallah, G.; Pfister, K.; Zhang, Y.; Bartulis, S.; et al. Identification of NVP-BKM120 as a Potent, Selective, Orally Bioavailable Class I PI3 Kinase Inhibitor for Treating Cancer. ACS Med. Chem. Lett. 2011, 2, 774–779. [Google Scholar] [CrossRef]
  37. Sutherlin, D.P.; Bao, L.; Berry, M.; Castanedo, G.; Chuckowree, I.; Dotson, J.; Folks, A.; Friedman, L.; Goldsmith, R.; Gunzner, J.; et al. Discovery of a Potent, Selective, and Orally Available Class I Phosphatidylinositol 3-Kinase (PI3K)/Mammalian Target of Rapamycin (MTOR) Kinase Inhibitor (GDC-0980) for the Treatment of Cancer. J. Med. Chem. 2011, 54, 7579–7587. [Google Scholar] [CrossRef]
  38. Zhang, J.Q.; Luo, Y.J.; Xiong, Y.S.; Yu, Y.; Tu, Z.C.; Long, Z.J.; Lai, X.J.; Chen, H.X.; Luo, Y.; Weng, J.; et al. Design, synthesis, and biological evaluation of substituted pyrimidines as potential phosphatidylinositol 3-kinase (PI3K) inhibitors. J. Med. Chem. 2016, 59, 7268–7274. [Google Scholar] [CrossRef]
  39. Ren, P.; Liu, Y.; Wilson, T.E.; Chan, K.; Rommel, C.; Li, L. Certain Chemical Entities, Compositions and Methods. Patent WO2009088986, 16 July 2009. [Google Scholar]
  40. Down, K.; Amour, A.; Baldwin, I.R.; Cooper, A.W.J.; Deakin, A.M.; Felton, L.M.; Guntrip, S.B.; Hardy, C.; Harrison, Z.A.; Jones, K.L.; et al. Optimization of Novel Indazoles as Highly Potent and Selective Inhibitors of Phosphoinositide 3-Kinase δ for the Treatment of Respiratory Disease. J. Med. Chem. 2015, 58, 7381–7399. [Google Scholar] [CrossRef]
  41. King-Underwood, J.; Ito, K.; Murray, J.; Hardy, G.; Brookfield, F.A.; Brown, C.J. Compounds. Patent WO2011048111, 28 April 2011. [Google Scholar]
  42. Erra, M.; Taltavull, J.; Bernal, F.J.; Caturla, J.F.; Carrascal, M.; Pagès, L.; Mir, M.; Espinosa, S.; Gràcia, J.; Domínguez, M.; et al. Discovery of a Novel Inhaled PI3Kδ Inhibitor for the Treatment of Respiratory Diseases. J. Med. Chem. 2018, 61, 9551–9567. [Google Scholar] [CrossRef]
  43. Perry, M.W.D.; Björhall, K.; Bold, P.; Brűlls, M.; Börjesson, U.; Carlsson, J.; Chang, H.-F.A.; Chen, Y.; Eriksson, A.; Fihn, B.-M.; et al. Discovery of AZD8154, a Dual PI3Kγδ Inhibitor for the Treatment of Asthma. J. Med. Chem. 2021, 64, 8053–8075. [Google Scholar] [CrossRef]
  44. A Study to Evaluate the Safety, Tolerability and Absorption to the Blood after Administration of Single and Multiple Doses of AZD8154 in Healthy Participants. Available online: https://clinicaltrials.gov/show/NCT03436316 (accessed on 31 May 2022).
  45. Dose Finding Study of Nemiralisib (GSK2269557) in Subjects with an Acute Moderate or Severe Exacerbation of Chronic Obstructive Pulmonary Disease (COPD). Available online: https://clinicaltrials.gov/ct2/show/NCT03345407 (accessed on 31 May 2022).
  46. Safety, Tolerability and Pharmacokinetics of Single and Repeat Doses of GSK2292767 in Healthy Participants Who Smoke Cigarettes. Available online: https://clinicaltrials.gov/ct2/show/study/NCT03045887 (accessed on 31 May 2022).
  47. Rao, V.K.; Webster, S.; Dalm, V.A.S.H.; Šedivá, A.; van Hagen, P.M.; Holland, S.; Rosenzweig, S.D.; Christ, A.D.; Sloth, B.; Cabanski, M.; et al. Effective “Activated PI3Kδ Syndrome”–Targeted Therapy with the PI3Kδ Inhibitor Leniolisib. Blood 2017, 130, 2307–2316. [Google Scholar] [CrossRef] [PubMed]
  48. Study of Efficacy of CDZ173 in Patients with APDS/PASLI. Available online: https://clinicaltrials.gov/ct2/show/NCT02435173 (accessed on 31 May 2022).
  49. Sun, J.; Feng, Y.; Huang, Y.; Zhang, S.-Q.; Xin, M. Research Advances on Selective Phosphatidylinositol 3 Kinase δ (PI3Kδ) Inhibitors. Bioorg. Med. Chem. Lett. 2020, 30, 127457. [Google Scholar] [CrossRef] [PubMed]
  50. Hayakawa, N.; Noguchi, M.; Takeshita, S.; Eviryanti, A.; Seki, Y.; Nishio, H.; Yokoyama, R.; Noguchi, M.; Shuto, M.; Shima, Y.; et al. Structure–Activity Relationship Study, Target Identification, and Pharmacological Characterization of a Small Molecular IL-12/23 Inhibitor, APY0201. Bioorg. Med. Chem. 2014, 22, 3021–3029. [Google Scholar] [CrossRef] [PubMed]
  51. Michrowska-Piankowska, A.; Kordes, M.; Hutzler, J.; Newton, T.; Evans, R.R.; Kreuz, K.; Grossmann, K.; Seitz, T.; van der Kloet, A.; Witschel, M.; et al. Herbicidal Isoxazolo [5,4-b]Pyridines. Patent WO2013104561A1, 3 June 2013. [Google Scholar]
  52. Moszczyński-Pętkowski, R.; Bojarski, Ł.; Stefaniak, F.; Wieczorek, M.; Dubiel, K.; Lamparska-Przybysz, M. Pyrazolo [3,4-d]Pyrimidin-4(5h)-One Derivatives as Pde9 Inhibitors. Patent WO2014016789A1, 30 January 2014. [Google Scholar]
  53. Yamada, S.; Goto, T.; Mashiko, T.; Kogi, K.; Oguchi, Y.; Narita, S. Thiazolopyridine Derivative, Their Production and Cardiovascular Treating Agents Containing Tchem. Patent EP277701A1, 1989. [Google Scholar]
  54. Oakley, P.; Press, N.; Spanka, C.; Watson, J. Heterocyclic Compounds as Inhibitors of Cxcr2. Patent WO2009106539A1, 9 September 2009. [Google Scholar]
  55. Trott, O.; Olson, A.J. AutoDock Vina: Improving the Speed and Accuracy of Docking with a New Scoring Function, Efficient Optimization, and Multithreading. J. Comput. Chem. 2009, 31, 455–461. [Google Scholar] [CrossRef]
  56. Duzer, J.; Michaelis, A.; William, G.; Stafford, D.; Raker, J.; Yu, X.; Siedlecki, J.; Yang, Y. Rifamycin Analogs and Uses Thereof. Patent US020070155715A1, 1 March 2006. [Google Scholar]
  57. Instant JChem. Available online: https://chemaxon.com/products/instant-jchem (accessed on 31 May 2022).
  58. Sugano, K.; Okazaki, A.; Sugimoto, S.; Tavornvipas, S.; Omura, A.; Mano, T. Solubility and Dissolution Profile Assessment in Drug Discovery. Drug Metab. Pharm. 2007, 22, 225–254. [Google Scholar] [CrossRef]
  59. Guha, R.; Dexheimer, T.S.; Kestranek, A.N.; Jadhav, A.; Chervenak, A.M.; Ford, M.G.; Simeonov, A.; Roth, G.P.; Thomas, C.J. Exploratory Analysis of Kinetic Solubility Measurements of a Small Molecule Library. Bioorg. Med. Chem. 2011, 19, 4127–4134. [Google Scholar] [CrossRef]
Figure 1. Chemical structures of selected PI3 kinase inhibitors. (A)—Pan-PI3K inhibitors, (B)—Isoform-specific inhibitors, and (C)—PI3Kδ or PI3Kγ/δ inhibitors as the candidates for the treatment of COPD or Asthma.
Figure 1. Chemical structures of selected PI3 kinase inhibitors. (A)—Pan-PI3K inhibitors, (B)—Isoform-specific inhibitors, and (C)—PI3Kδ or PI3Kγ/δ inhibitors as the candidates for the treatment of COPD or Asthma.
Pharmaceuticals 15 00949 g001
Scheme 1. Synthesis of 2-methylpyrazolo[1,5-a]pyrimidine derivatives. Reagents and conditions: (i) diethyl malonate, EtONa, reflux, 24 h, 89%; (ii) POCl3, reflux, 24 h, 61%; (iii) morpholine, K2CO3, acetone, RT, 1.5 h, 94%; (iv) benzene-1,2-diamine, tris(dibenzylideneacetone)dipalladium(0), Xantphos, Cs2CO3, toluene, 110 °C, 24 h, 61%; (v) (a) carboxylic acid, EDCI x HCl, HOBt x H2O, TEA, DCM, RT, 48 h, (b) AcOH, reflux, 24 h, 74–77%; (vi) 1-tert-butyl-3-methyl-1H-pyrazol-5-amine, tris(dibenzylideneacetone)dipalladium(0), Xantphos, Cs2CO3, toluene, 100 °C, 18 h, 54%; (vii) TFA, H2O, reflux, 20 h, 89%; (viii) boronic acid pinacol ester or boronic acid, tetrakis(triphenylphosphino)palladium(0), 2M aq Na2CO3, DME, reflux, overnight, 55–61%.
Scheme 1. Synthesis of 2-methylpyrazolo[1,5-a]pyrimidine derivatives. Reagents and conditions: (i) diethyl malonate, EtONa, reflux, 24 h, 89%; (ii) POCl3, reflux, 24 h, 61%; (iii) morpholine, K2CO3, acetone, RT, 1.5 h, 94%; (iv) benzene-1,2-diamine, tris(dibenzylideneacetone)dipalladium(0), Xantphos, Cs2CO3, toluene, 110 °C, 24 h, 61%; (v) (a) carboxylic acid, EDCI x HCl, HOBt x H2O, TEA, DCM, RT, 48 h, (b) AcOH, reflux, 24 h, 74–77%; (vi) 1-tert-butyl-3-methyl-1H-pyrazol-5-amine, tris(dibenzylideneacetone)dipalladium(0), Xantphos, Cs2CO3, toluene, 100 °C, 18 h, 54%; (vii) TFA, H2O, reflux, 20 h, 89%; (viii) boronic acid pinacol ester or boronic acid, tetrakis(triphenylphosphino)palladium(0), 2M aq Na2CO3, DME, reflux, overnight, 55–61%.
Pharmaceuticals 15 00949 sch001
Scheme 2. Synthesis of 5-(indol-4-yl)pyrazolo[1,5-a]pyrimidine derivatives. Reagents and conditions: (i) 60% NaH, toluene, RT, 5 h, 76%; (ii) acetonitrile, 2.5 M n-BuLi, THF, −78 °C, 3 h; (iii) hydrazine monohydrate, EtOH, reflux, 16 h, 87% after two steps; (iv) diethyl malonate, EtONa, reflux, 24 h, 84%; (v) POCl3, acetonitrile, 80 °C, 5 h, 38%; (vi) morpholine, K2CO3, acetone, RT, 1.5 h, 92%; (vii) indole-4-boronic acid pinacol ester, tetrakis(triphenylphosphino)palladium (0), 2M aq Na2CO3, DME, reflux, 16h, 83%; (viii) H2, 10% Pd/C, DMF/EtOH, 60 °C, 24 h, 66%; (ix) Dess–Martin reagent, DMF, RT, 2 h, 78%; (x) amine, sodium triacetoxyborohydride, DCM, RT, 2 h, 25–93%.
Scheme 2. Synthesis of 5-(indol-4-yl)pyrazolo[1,5-a]pyrimidine derivatives. Reagents and conditions: (i) 60% NaH, toluene, RT, 5 h, 76%; (ii) acetonitrile, 2.5 M n-BuLi, THF, −78 °C, 3 h; (iii) hydrazine monohydrate, EtOH, reflux, 16 h, 87% after two steps; (iv) diethyl malonate, EtONa, reflux, 24 h, 84%; (v) POCl3, acetonitrile, 80 °C, 5 h, 38%; (vi) morpholine, K2CO3, acetone, RT, 1.5 h, 92%; (vii) indole-4-boronic acid pinacol ester, tetrakis(triphenylphosphino)palladium (0), 2M aq Na2CO3, DME, reflux, 16h, 83%; (viii) H2, 10% Pd/C, DMF/EtOH, 60 °C, 24 h, 66%; (ix) Dess–Martin reagent, DMF, RT, 2 h, 78%; (x) amine, sodium triacetoxyborohydride, DCM, RT, 2 h, 25–93%.
Pharmaceuticals 15 00949 sch002
Scheme 3. Synthesis of pyrazolo[1,5-a]pyrimidine derivatives. Reagents and conditions: (i) methanesulfonic acid, CHCl3, RT, 2 h, 97%; (ii) Dess–Martin periodinane, DMF, RT, 2 h, 46%; (iii) 2-(4-piperidyl)-2-propanol, sodium triacetoxyborohydride, DCM, RT, 16 h, 63%; (iv) boronic acid pinacol ester, tetrakis(triphenylphosphino)palladium (0), 2M aq Na2CO3, DME, reflux, 16 h, 60–72%; (v) N-t-butylpiperazine, sodium triacetoxyborohydride, DCM, RT, 16 h, 53%; (vi) boronic acid pinacol ester, tetrakis(triphenylphosphino)palladium (0), 2M aq Na2CO3, DME, reflux, 16 h, 68–77%.
Scheme 3. Synthesis of pyrazolo[1,5-a]pyrimidine derivatives. Reagents and conditions: (i) methanesulfonic acid, CHCl3, RT, 2 h, 97%; (ii) Dess–Martin periodinane, DMF, RT, 2 h, 46%; (iii) 2-(4-piperidyl)-2-propanol, sodium triacetoxyborohydride, DCM, RT, 16 h, 63%; (iv) boronic acid pinacol ester, tetrakis(triphenylphosphino)palladium (0), 2M aq Na2CO3, DME, reflux, 16 h, 60–72%; (v) N-t-butylpiperazine, sodium triacetoxyborohydride, DCM, RT, 16 h, 53%; (vi) boronic acid pinacol ester, tetrakis(triphenylphosphino)palladium (0), 2M aq Na2CO3, DME, reflux, 16 h, 68–77%.
Pharmaceuticals 15 00949 sch003
Figure 2. Example of 3D modeling of a possible binding mode of compound 13 (green) and reference compound GDC-0941 (orange) in 2WXP—No protons were added, but the appropriate protonation state was maintained.
Figure 2. Example of 3D modeling of a possible binding mode of compound 13 (green) and reference compound GDC-0941 (orange) in 2WXP—No protons were added, but the appropriate protonation state was maintained.
Pharmaceuticals 15 00949 g002
Figure 3. (A,B)—examples of 3D modeling of a possible binding mode of compounds 24 (gray), 36 (yellow) and 37 (magenta) in 2WXP.*no protons were added, but the appropriate state of protonation was maintained.
Figure 3. (A,B)—examples of 3D modeling of a possible binding mode of compounds 24 (gray), 36 (yellow) and 37 (magenta) in 2WXP.*no protons were added, but the appropriate state of protonation was maintained.
Pharmaceuticals 15 00949 g003
Table 1. Inhibition of PI3Kδ and PI3Kα by 2-methylpyrazolo[1,5-a]pyrimidine derivatives.
Table 1. Inhibition of PI3Kδ and PI3Kα by 2-methylpyrazolo[1,5-a]pyrimidine derivatives.
Pharmaceuticals 15 00949 i001
CompoundR1IC50 PI3Kδ
[µM]
IC50 PI3Kα
[µM]
Fold
Selectivity α/δ
5 Pharmaceuticals 15 00949 i0023.5635.19.9
6 Pharmaceuticals 15 00949 i0032.3025.911
7 Pharmaceuticals 15 00949 i0040.4751.062.2
9 Pharmaceuticals 15 00949 i00543.6>60>1.4
10 Pharmaceuticals 15 00949 i00612.736.22.9
11 Pharmaceuticals 15 00949 i0076.864.640.7
12 Pharmaceuticals 15 00949 i0083.854.811.2
13 Pharmaceuticals 15 00949 i0090.77223.530
IC50 values were determined as the mean based on two independent experiments.
Table 2. Inhibition of PI3K isoforms by 5-(indol-4-yl)pyrazolo[1,5-a]pyrimidine derivatives.
Table 2. Inhibition of PI3K isoforms by 5-(indol-4-yl)pyrazolo[1,5-a]pyrimidine derivatives.
Pharmaceuticals 15 00949 i010
CompoundR1IC50 PI3K δ
[nM]
IC50 PI3K α
[nM]
IC50 PI3K β
[nM]
IC50 PI3K γ
[nM]
Fold Selectivity
α/δβ/δγ/δ
23 Pharmaceuticals 15 00949 i0114022351 5.8
24 Pharmaceuticals 15 00949 i01237638014,40049,3001723891332
25 Pharmaceuticals 15 00949 i0131992
26 Pharmaceuticals 15 00949 i0142207
27 Pharmaceuticals 15 00949 i0152668650 33
28 Pharmaceuticals 15 00949 i0161072
29 Pharmaceuticals 15 00949 i0175215,630 301
30 Pharmaceuticals 15 00949 i01836014,200 39
31 Pharmaceuticals 15 00949 i019559
32 Pharmaceuticals 15 00949 i0201778790 50
33 Pharmaceuticals 15 00949 i02119342,400 220
34 Pharmaceuticals 15 00949 i0224334,30010,900>60,000798253>1395
35 Pharmaceuticals 15 00949 i0231388,460 61
36 Pharmaceuticals 15 00949 i0241315,8204,31015,90012173321223
37 Pharmaceuticals 15 00949 i0256.612,4705470>60,0001889829>9091
38 Pharmaceuticals 15 00949 i0264117,740599017,550433146428
39 Pharmaceuticals 15 00949 i0275825,30015,000 436259
40 Pharmaceuticals 15 00949 i0284213,800 329
41 Pharmaceuticals 15 00949 i0295112,3003170973024162191
42 Pharmaceuticals 15 00949 i0305618,680 334
43 Pharmaceuticals 15 00949 i0317122,600 318
44 Pharmaceuticals 15 00949 i03222127073108465833238
45 Pharmaceuticals 15 00949 i033296320 218
IC50 values were determined as the mean based on two independent experiments. For compounds with PI3Kδ IC50 above 0.5 µM, the activity for the remaining isoforms was not determined. Compounds with PI3Kδ IC50 above 50 nM were additionally checked for the potency of the PI3Kα isoform.
Table 3. Inhibition of PI3Kδ by pyrazolo[1,5-a]pyrimidine derivatives.
Table 3. Inhibition of PI3Kδ by pyrazolo[1,5-a]pyrimidine derivatives.
Pharmaceuticals 15 00949 i034
CompoundR1IC50 PI3K δ
[nM]
IC50 PI3K α
[nM]
IC50 PI3K β
[nM]
IC50 PI3K γ
[nM]
Fold Selectivity
α/δβ/δγ/δ
36 Pharmaceuticals 15 00949 i0351315,820431015,90012173321223
49 Pharmaceuticals 15 00949 i0364034,40011,30047,8008602831195
50 Pharmaceuticals 15 00949 i0372836505260 130188
51 Pharmaceuticals 15 00949 i03823975026,800 4241165
IC50 values were determined as the mean based on two independent experiments.
Table 4. Inhibition of PI3Kδ by pyrazolo[1,5-a]pyrimidine derivatives.
Table 4. Inhibition of PI3Kδ by pyrazolo[1,5-a]pyrimidine derivatives.
Pharmaceuticals 15 00949 i039
CompoundR1IC50 PI3K δ
[nM]
IC50 PI3K α
[nM]
IC50 PI3K β
[nM]
IC50 PI3K γ
[nM]
Fold SelectivityIC50 CD19
[nM]
α/δβ/δγ/δ
37 Pharmaceuticals 15 00949 i0406.612,4705470>60,0001889829>909120
53 Pharmaceuticals 15 00949 i0411119,30019,450>60,00017541768>5455
54 Pharmaceuticals 15 00949 i0422.8267021,60034,400954771412,28619
55 Pharmaceuticals 15 00949 i04345296032,000 66711
IC50 values were determined as the mean based on two independent experiments.
Table 5. Comparison of the selected properties of compounds 37 and 54.
Table 5. Comparison of the selected properties of compounds 37 and 54.
CompoundSolubility
[µM]
MLM t1/2
[min]
MLM Cl
[mL × min−1 × mg−1]
HLM t1/2
[min]
HLM Cl
[mL × min−1 × mg−1]
3744412613.77622.8
54>5001987.03703.7
Table 6. Reaction conditions and compositions of reaction mixtures for kinases.
Table 6. Reaction conditions and compositions of reaction mixtures for kinases.
KINASEKinase Concentration [ng per Reaction]Reaction Temperature and TimeSubstrate PIP2 [Final Concentration μM]Reaction Buffer
PI3Kα
(Carna Biosciences)
7.5 ng25 °C, 1 h30 μM50 mM HEPES pH 7.5
50 mM NaCl
3 mM MgCl2
0.025 mg/mL BSA
PI3Kδ
(Merck Millipore)
10 ng25 °C, 1 h30 μM50 mM HEPES pH 7.5
50 mM NaCl
3 mM MgCl2
0.025 mg/mL BSA
PI3Kβ
(Merck Millipore)
15 ng30 °C, 1 h50 μM50 mM HEPES pH 7.5
50 mM NaCl
3 mM MgCl2
0.025 mg/mL BSA
PI3Kα
(Merck Millipore)
30 ng30 °C, 1 h50 μM40 nM Tris pH 7.5
20 mM MgCl2
0.1 mg/mL BSA
1 mM DTT
Publisher’s Note: MDPI stays neutral with regard to jurisdictional claims in published maps and institutional affiliations.

Share and Cite

MDPI and ACS Style

Stypik, M.; Zagozda, M.; Michałek, S.; Dymek, B.; Zdżalik-Bielecka, D.; Dziachan, M.; Orłowska, N.; Gunerka, P.; Turowski, P.; Hucz-Kalitowska, J.; et al. Design, Synthesis, and Development of pyrazolo[1,5-a]pyrimidine Derivatives as a Novel Series of Selective PI3Kδ Inhibitors: Part I—Indole Derivatives. Pharmaceuticals 2022, 15, 949. https://doi.org/10.3390/ph15080949

AMA Style

Stypik M, Zagozda M, Michałek S, Dymek B, Zdżalik-Bielecka D, Dziachan M, Orłowska N, Gunerka P, Turowski P, Hucz-Kalitowska J, et al. Design, Synthesis, and Development of pyrazolo[1,5-a]pyrimidine Derivatives as a Novel Series of Selective PI3Kδ Inhibitors: Part I—Indole Derivatives. Pharmaceuticals. 2022; 15(8):949. https://doi.org/10.3390/ph15080949

Chicago/Turabian Style

Stypik, Mariola, Marcin Zagozda, Stanisław Michałek, Barbara Dymek, Daria Zdżalik-Bielecka, Maciej Dziachan, Nina Orłowska, Paweł Gunerka, Paweł Turowski, Joanna Hucz-Kalitowska, and et al. 2022. "Design, Synthesis, and Development of pyrazolo[1,5-a]pyrimidine Derivatives as a Novel Series of Selective PI3Kδ Inhibitors: Part I—Indole Derivatives" Pharmaceuticals 15, no. 8: 949. https://doi.org/10.3390/ph15080949

APA Style

Stypik, M., Zagozda, M., Michałek, S., Dymek, B., Zdżalik-Bielecka, D., Dziachan, M., Orłowska, N., Gunerka, P., Turowski, P., Hucz-Kalitowska, J., Stańczak, A., Stańczak, P., Mulewski, K., Smuga, D., Stefaniak, F., Gurba-Bryśkiewicz, L., Leniak, A., Ochal, Z., Mach, M., ... Wieczorek, M. (2022). Design, Synthesis, and Development of pyrazolo[1,5-a]pyrimidine Derivatives as a Novel Series of Selective PI3Kδ Inhibitors: Part I—Indole Derivatives. Pharmaceuticals, 15(8), 949. https://doi.org/10.3390/ph15080949

Note that from the first issue of 2016, this journal uses article numbers instead of page numbers. See further details here.

Article Metrics

Back to TopTop