Synthesis of Quinolones and Zwitterionic Quinolonate Derivatives with Broad-Spectrum Antibiotic Activity
Abstract
:1. Introduction
2. Results
2.1. Compound Selection
2.2. Quinolone Synthesis
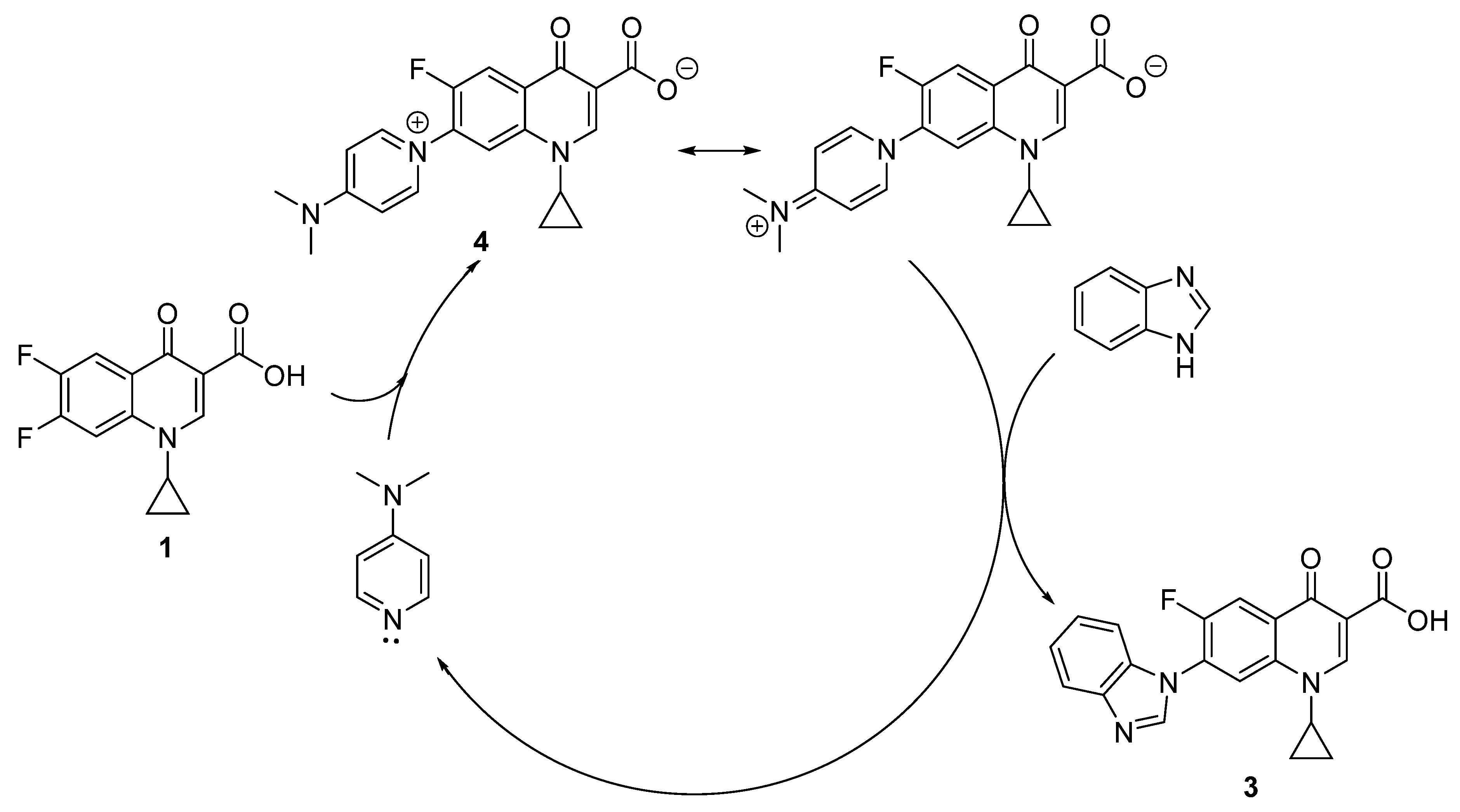
2.3. Zwitterionic Quinolonate Synthesis
2.4. Antibiotic Activity (MIC and MBC)
3. Discussion
4. Materials and Methods
4.1. Synthesis
4.1.1. Quinolone Synthesis
4.1.2. Zwitterionic Quinolonate Synthesis
4.1.3. 1-cyclopropyl-6-fluoro-7-(1-methyl-1H-imidazol-4-yl)-4-oxo-1,4-dihydroquinoline-3-carboxylic acid (7)
4.2. Antibiotic Activity (MIC and MBC)
5. Conclusions
Supplementary Materials
Author Contributions
Funding
Institutional Review Board Statement
Informed Consent Statement
Data Availability Statement
Conflicts of Interest
References
- Yeh, R.F.; Palmer, H.R. 49th ICAAC annual meeting: Optimization of anti-infective use in the clinical setting. Expert. Rev. Anti-Infect. Ther. 2009, 7, 1167–1172. [Google Scholar] [CrossRef]
- World Health Organization. United Nations Meeting on Antimicrobial Resistance. Available online: https://www.un.org/pga/71/event-latest/high-level-meeting-on-antimicrobial-resistance/ (accessed on 20 May 2022).
- Van Bambeke, F.; Michot, J.M.; Van Eldere, J.; Tulkens, P.M. Quinolones in 2005: An update. Clin. Microbiol. Infect. 2005, 11, 256–280. [Google Scholar] [CrossRef] [PubMed] [Green Version]
- Rotschafer, J.C.; Ullman, M.A.; Sullivan, C.J. Optimal use of fluoroquinolones in the intensive care unit setting. Crit. Care. Clin. 2011, 27, 95–106. [Google Scholar] [CrossRef] [PubMed]
- Domagala, J.M. Structure-activity and structure-side-effect relationships for the quinolone antibacterials. J. Antimicrob. Chemother. 1994, 33, 685–706. [Google Scholar] [CrossRef] [PubMed]
- Suay-Garcia, B.; Bueso-Bordils, J.I.; Falcó, A.; Pérez-Gracia, M.T.; Antón-Fos, G.; Alemán-López, P. Quantitative structure-activity relationship methods in the discovery and development of antibacterials. WIREs Comput. Mol. Sci. 2020, 10, e1472. [Google Scholar] [CrossRef]
- Suay-García, B.; Alemán-López, P.; Bueso-Bordils, J.I.; Falcó, A.; Pérez-Gracia, M.T.; Antón-Fos, G.M. Topological index Nclass as a factor determining the antibacterial activity of quinolones against Escherichia coli. Future Med. Chem. 2019, 11, 2255–2262. [Google Scholar] [CrossRef]
- Bueso-Bordils, J.I.; Pérez-Gracia, M.T.; Suay-García, B.; Duart, M.J.; Algarra, R.V.M.; Zamora, L.L.; Anton-Fos, G.M.; Lopez, P.A.A. Topological pattern for the search of new active drugs against methicillin resistant Staphylococcus aureus. Eur. J. Med. Chem. 2017, 138, 807–815. [Google Scholar] [CrossRef]
- Cooper, C.S.; Klock, P.L.; Chu, D.T.W.; Hardy, D.J.; Swanson, R.N.; Plattner, J.J. Preparation and in vitro and in vivo evaluation of quinolones with selective activity against gram positive organisms. J. Med. Chem. 1992, 35, 1392–1398. [Google Scholar] [CrossRef]
- Ceccheti, V.; Fravolini, A.; Palumbo, M.; Sissi, C.; Tabarrini, O.; Terni, P.; Xin, T. Potent 6-defluoro-8-methylquinolones as new lead compounds in antibacterial chemotherapy. J. Med. Chem. 1996, 39, 4952–4957. [Google Scholar] [CrossRef]
- Radl, S.; Kovarova, L. Synthesis and antibacterial activity of new 7-substituted fluoroquinolones. Collect. Czech. Chem. Commun. 1991, 56, 2406–2412. [Google Scholar] [CrossRef]
- Kinoshita, S.; Miyashita, M.; Hosaka, M.; Hirai, K. Preparation of quinolonecarboxylic acid derivatives containing 1,2,3,4-tetrahydroisoquinoline ring at 7-position as bactericides. Kokai Tokkyo Koho 1992, 04235982. [Google Scholar]
- Engler, A.C.; Wiradharma, N.; Ong, Z.Y.; Coady, D.J.; Hedrick, J.L.; Yang, Y.Y. Emerging trends in macromolecular antimicrobials to fight multi-drug-resistant infections. Nano Today 2012, 7, 201–222. [Google Scholar] [CrossRef]
- Locock, K.; Michl, T.D.; Valentin, J.D.; Vasilev, K.; Hayball, J.D.; Qu, Y.; Traven, A.; Griesser, H.J.; Meagher, L.; Haeussler, M. Guanylated polymethacrystals: A class of potent antimicrobial polumers with low hemolytic activity. Biomacromolecules 2013, 14, 4021–4031. [Google Scholar] [CrossRef]
- Zhang, Y.; Chan, J.Y.G. Sustainable chemistry: Imidazolium salts in biomass conversion and CO2 fixation. Energy Environ. Sci. 2010, 3, 408–417. [Google Scholar] [CrossRef]
- Frade, R.F.; Alfonso, C.A. Impact of ionic liquids in environment and humans: An overview. Hum. Exp. Toxicol. 2010, 29, 1038–1054. [Google Scholar] [CrossRef] [PubMed]
- Egorova, K.S.; Ananikov, V.P. Toxicity of ionic liquids: Eco(cyto)activity as complicated, but unavoidable parameter for task-specific optimization. Chem. Sus. Chem. 2014, 7, 336–360. [Google Scholar] [CrossRef] [PubMed]
- Riduan, S.N.; Zhang, Y. Imidazolium salts and their polymeric materials for biological applications. Chem. Soc. Rev. 2013, 42, 9055–9070. [Google Scholar] [CrossRef]
- Li, L.; Zhao, Y.; Ning, A.; Zhang, F.; Zhao, Z. Synthesis of pyridinium N-chloramines for antibacterial applications. Tetrahedron Lett. 2017, 58, 321–325. [Google Scholar] [CrossRef]
- Alptünzü, V.; Parlar, S.; Tash, H.; Erciyas, E. Synthesis and antimicrobial activity of some pyridinium salts. Molecules 2009, 14, 5203–5215. [Google Scholar] [CrossRef]
- Gondru, R.; Saini, R.; Vaarla, K.; Singh, S.; Sirassu, N.; Bavantula, R.; Saxena, A.K. Synthesis and characterization of chalcone-pyridinium hybrids as potential anti-cancer and anti-microbial agents. Chem. Select. 2018, 3, 1424–1431. [Google Scholar] [CrossRef]
- Elie, C.R.; David, G.; Schmitzer, R. Strong antibacterial properties of anion transporters: A result of depolarization and weakening of the bacterial membrane. J. Med. Chem. 2015, 58, 2358–2366. [Google Scholar] [CrossRef] [PubMed]
- Vidal, M.; Elie, C.R.; Campbell, S.; Claing, A.; Schmitzer, A.R. Biologically active binapthol-scaffolded imidazolium salts. Med. Chem. Commun. 2014, 5, 436–440. [Google Scholar] [CrossRef]
- Demberelnyamba, D.; Kim, K.S.; Choi, S.; Park, S.Y.; Lee, H.; Kim, C.J.; Yoo, I.D. Synthesis and antimicrobial properties of imidazolium and pyrrolidinonium salts. Bioor. Med. Chem. 2004, 12, 853–857. [Google Scholar] [CrossRef]
- Chai, Y.; Liu, M.L.; Wang, B.; You, X.; Feng, L.; Zhang, Y.; Cao, J.; Guo, H. Synthesis and in vitro antibacterial activity of novel fluoroquinolone derivatives containing substituted piperidines. Bioorg. Med. Chem. Lett. 2010, 20, 5195e5198. [Google Scholar] [CrossRef] [PubMed]
- Gellis, A.; Kieffer, C.; Primas, N.; Lanzada, G.; Giorgi, M.; Verhaeghe, P.; Vanellea, P. A new DMAP-catalyzed and microwave-assisted approach for introducing heteroarylamino substituents at position-4 of the quinazoline ring. Tetrahedron 2014, 70, 8257–8266. [Google Scholar] [CrossRef] [Green Version]
- Abdelshaheed, M.M.; Fawzy, I.M.; El Subbagh, H.I.; Youssef, K.M. Piperidine nucleus in the field of drug discovery. Futur. J. Pharm. Sci. 2021, 7, 188. [Google Scholar] [CrossRef]
- Shaquiquzzaman, M.; Verma, G.; Marella, A.; Akhter, M.; Akhtar, W.; Khan, M.F.; Tasneem, S.; Alam, M.M. Piperazine scaffold: A remarkable tool in generation of diverse pharmacological agents. Eur. J. Med. Chem. 2015, 102, 487–529. [Google Scholar] [CrossRef]
- Berry, D.J.; DiGiovanna, C.V.; Metrick, S.S.; Murugan, R. Catalysis by 4-dialkylaminopyridines. Arkivoc 2001, 1, 201–226. [Google Scholar] [CrossRef] [Green Version]
- Li, J.J. (Ed.) Heterocyclic Chemistry in Drug Discovery; John Wiley & Sons: Hoboken, NJ, USA, 2013. [Google Scholar]
- Zificsak, C.A.; Hlasta, D.J. Current methods for the synthesis of 2-substituted azoles. Tetrahedron 2004, 60, 8991–9016. [Google Scholar] [CrossRef]
- Basso, D.; Broggini, G.; Passarella, D.; Pilati, T.; Terraneo, A.; Zecchi, G. Synthetic approach to imidazole[1,2-a]pyridine derivatives by the intramolecular nitrone cycloaddition methodology. Tetrahedron 2002, 58, 4445–4450. [Google Scholar] [CrossRef]
- Wayne, P.A.; Clinical and Laboratory Standards Institute (CLSI). Performance Standards for Antimicrobial Susceptibility Testing: Twenty-Second Informational Supplement. Inform. Suppl. 2012, 31, 100–121. [Google Scholar]
- Yamaguchi, K. Evaluation of in-vitro and in-vivo antibacterial activity of tosufloxacin tosilate. J. Infect. Chemother. 2001, 7, 205–217. [Google Scholar] [CrossRef] [PubMed]
- Ozdek, S.C.; Flynn, P.M.; Flynn, H.W. In vitro antifungal activity of the fourth generation of fluoroquinolones against Candida isolates from human ocular infections. Ocul. Immunol. Inflamm. 2006, 14, 347–351. [Google Scholar] [CrossRef] [PubMed]
- Sultana, N.; Naz, A.; Khan, B.; Arayne, M.S.; Mesiak, M.A. Synthesis, characterization, antibacterial, antifungal, and immunomodulating activities of gatifloxacin derivatives. Med. Chem. Res. 2010, 19, 1210–1221. [Google Scholar] [CrossRef]
- Shen, L.L.; Baranowski, J.M.; Fostel, J.; Montgomery, D.A.; Lartey, P.A. DNA topoisomerases from pathogenic fungi: Targets for the discovery of antifungal drugs. Antimicrob. Agents Chemother. 1992, 36, 2778–2784. [Google Scholar] [CrossRef] [PubMed] [Green Version]
- Sugar, A.M.; Liu, X.P.; Chen, R.J. Effectiveness of quinolone antibiotics in modulating the effects of antifungal drugs. Antimicrob Agents Chemother. 1997, 41, 2518–2521. [Google Scholar] [CrossRef] [Green Version]
- Perrin, D.D. Purification of Laboratory Chemicals, 2nd ed.; Pergamon Press: Oxford, UK, 1988. [Google Scholar]





![]() | |||||||
|---|---|---|---|---|---|---|---|
| Entry | Amine | eq. | Et3N (eq.) | Catalyst | Time | Quinolone | Yield |
| 1 | ![]() | 4 | - | - | 3 h | 2 | 60% |
| 2 | ![]() | 2 | 3 | - | 240 h | 3 | 18% |
| 3 | ![]() | 2 | 3 | DMAP 20% molar | 240 h | 3 | 54% |
| 4 | ![]() | 2 | 3 | PBu3 20% molar | 240 h | 3 | 17% |
![]() | |||||
|---|---|---|---|---|---|
| Entry | Amine | eq. | Time | Product | Yield |
| 1 | ![]() | 2.5 | 3 h | ![]() 4 | 99% |
| 2 | ![]() | 3.5 | 5 h | ![]() 5 | 99% |
| 3 | ![]() | 2.5 | 4 h | ![]() 6 | 56% |
| Compound | MIC (mg/L) | MBC (mg/L) |
|---|---|---|
| 2 | 1 | >128 |
| 3 | 1 | 32 |
| Ciprofloxacin | 0.25 | 64 |
| Microorganism | Compound 2 | Compound 3 | ||
|---|---|---|---|---|
| MIC (mg/L) | MBC (mg/L) | MIC (mg/L) | MBC (mg/L) | |
| MRSA | 4 | 32 | 0.5 | 32 |
| Staphylococcus aureus | 2 | 32 | 0.25 | 64 |
| Streptococcus agalactiae | - | - | 0.12 | 32 |
| Bacillus subtilis | 0.25 | 1 | <0.03 | 0.06 |
| Enterococcus faecalis | 4 | >128 | 64 | >128 |
| Pseudomonas aeruginosa | 32 | 64 | 1 | 128 |
| Serratia marcescens | - | - | 32 | 128 |
| Candida albicans | 32 | 128 | 128 | >128 |
| Compound | S. aureus | S. agalactiae | S. marcescens | E. coli | ||||
|---|---|---|---|---|---|---|---|---|
| MIC | MBC | MIC | MBC | MIC | MBC | MIC | MBC | |
| 4 | 32 | >512 | 32 | >512 | 128 | >512 | 8 | 256 |
| 5 | 32 | >512 | 32 | 512 | 512 | >512 | 128 | 512 |
| 6 | 32 | >512 | >512 | >512 | >512 | >512 | 512 | >512 |
| 7 | >512 | >512 | >512 | >512 | 128 | >512 | 64 | >512 |
| Microorganism | Strain |
|---|---|
| Methicillin-resistant Staphylococcus aureus | CECT 5190 |
| Staphylococcus aureus | CECT 239 |
| Streptococcus agalactiae | CECT 183 |
| Bacillus subtilis | CECT 39 |
| Enterococcus faecalis | CECT 481 |
| Escherichia coli | CECT 4972 |
| Pseudomonas aeruginosa | CECT 110 |
| Serratia marcescens | CECT 846 |
| Candida albicans | CECT 1394 |
Publisher’s Note: MDPI stays neutral with regard to jurisdictional claims in published maps and institutional affiliations. |
© 2022 by the authors. Licensee MDPI, Basel, Switzerland. This article is an open access article distributed under the terms and conditions of the Creative Commons Attribution (CC BY) license (https://creativecommons.org/licenses/by/4.0/).
Share and Cite
Suay-García, B.; Bueso-Bordils, J.-I.; Antón-Fos, G.; Pérez-Gracia, M.-T.; Falcó, A.; Alemán-López, P. Synthesis of Quinolones and Zwitterionic Quinolonate Derivatives with Broad-Spectrum Antibiotic Activity. Pharmaceuticals 2022, 15, 818. https://doi.org/10.3390/ph15070818
Suay-García B, Bueso-Bordils J-I, Antón-Fos G, Pérez-Gracia M-T, Falcó A, Alemán-López P. Synthesis of Quinolones and Zwitterionic Quinolonate Derivatives with Broad-Spectrum Antibiotic Activity. Pharmaceuticals. 2022; 15(7):818. https://doi.org/10.3390/ph15070818
Chicago/Turabian StyleSuay-García, Beatriz, Jose-Ignacio Bueso-Bordils, Gerardo Antón-Fos, María-Teresa Pérez-Gracia, Antonio Falcó, and Pedro Alemán-López. 2022. "Synthesis of Quinolones and Zwitterionic Quinolonate Derivatives with Broad-Spectrum Antibiotic Activity" Pharmaceuticals 15, no. 7: 818. https://doi.org/10.3390/ph15070818
APA StyleSuay-García, B., Bueso-Bordils, J.-I., Antón-Fos, G., Pérez-Gracia, M.-T., Falcó, A., & Alemán-López, P. (2022). Synthesis of Quinolones and Zwitterionic Quinolonate Derivatives with Broad-Spectrum Antibiotic Activity. Pharmaceuticals, 15(7), 818. https://doi.org/10.3390/ph15070818













