Application of Fucoidan in Caco-2 Model Establishment
Abstract
:1. Introduction
2. Results
2.1. Fucoidan Had no Significant Effect on the Activity of Caco-2 Cells
2.2. Fucoidan Can Shorten the Modeling Period to 5 Days and the Best Effect Is When the Concentration Is 50 µg/mL
2.3. The AKP Enzyme Is Secreted Normally and the Function of Caco-2 Cells Is Not Affected in the 5-Day Caco-2 Model
2.4. Caco-2 Cell Morphology and Function Were Not Affected in the 5-Day Caco-2 Model
2.5. Fucoidan Did Not Affect the Permeability of the Caco-2 Model
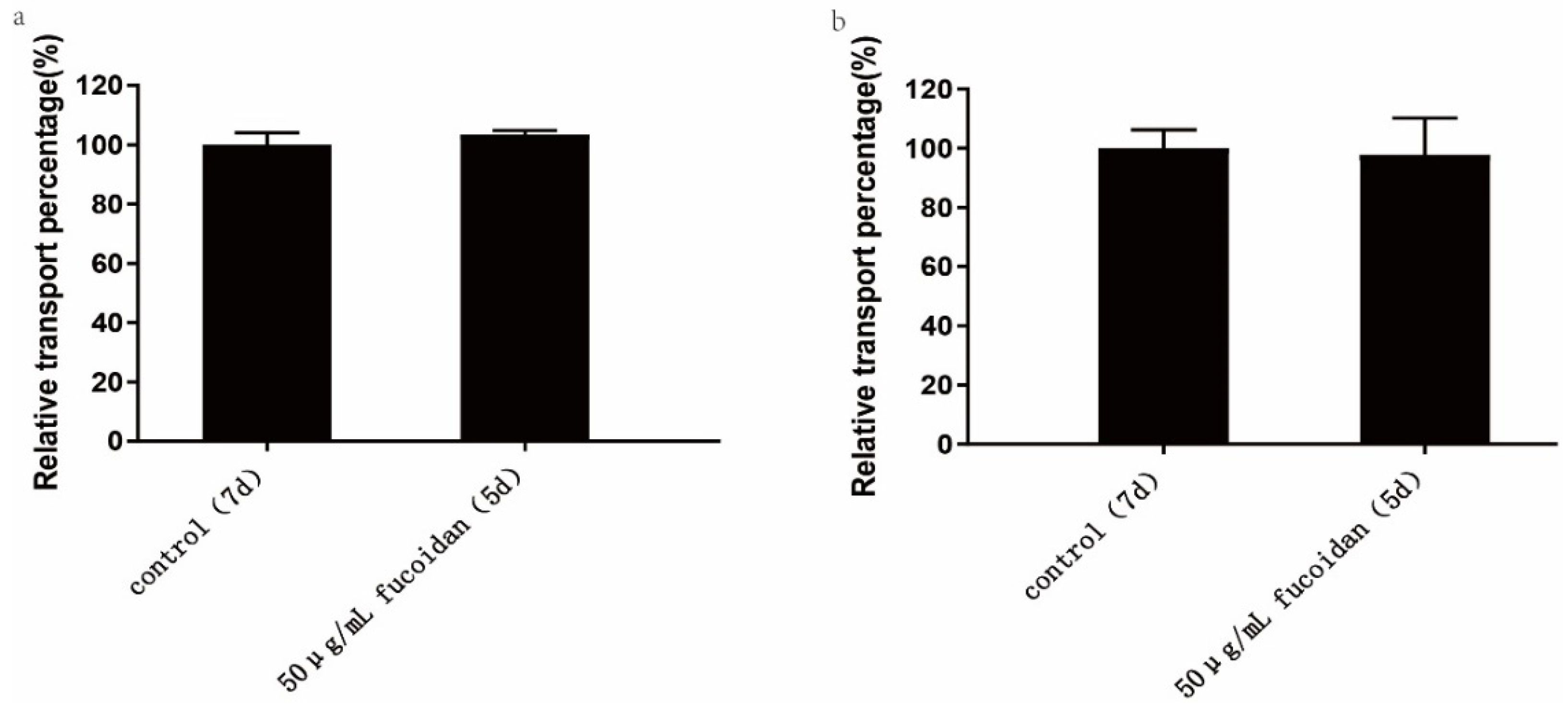
2.6. The Addition of Fucoidan Has No Effect on Transferrin Transport and the Absorption of Materials Mediated by Clathrin and Caveolin
2.7. The 5-Day Caco-2 Model Can Be Used to Study the Absorption of Macromolecular Substances, and It Does Not Affect the Absorption of Substances Mediated by the Macropinocytosis Pathway
3. Discussion
4. Materials and Methods
4.1. Drugs and Reagents
4.2. Caco-2 Cell Culture
4.3. Effect of Fucoidan on the Activity of Caco-2 Cells
4.4. Effect of Fucoidan Concentration on the Establishment of Caco-2 Model
4.5. TEER Value Measurement
4.6. Effects of Fucoidan on AKP Activity
4.7. Effects of Fucoidan on the Morphology of Caco-2 Cells (Scanning Electron Microscopy [SEM])
4.8. Effect of Fucoidan on the Permeability of Caco-2 Cells
4.9. Effect of Fucoidan on Absorption and Transport of Macromolecular Proteins in Caco-2 Cells
4.10. Effect of Fucoidan on Macromolecule Drug Absorption in Caco-2 Cells
4.11. Data Analysis
5. Conclusions
Author Contributions
Funding
Institutional Review Board Statement
Informed Consent Statement
Data Availability Statement
Acknowledgments
Conflicts of Interest
Abbreviations
References
- Franz, J.; Grunebaum, J.; Schafer, M.; Mulac, D.; Rehfeldt, F.; Langer, K.; Kramer, A.; Riethmuller, C. Rhombic organization of microvilli domains found in a cell model of the human intestine. PLoS ONE 2018, 13, e0189970. [Google Scholar] [CrossRef] [PubMed] [Green Version]
- Artursson, P. Epithelial Transport Of Drugs In Cell Culture. I: A Model For Studying the Passive Diffusion of Drugs over Intestinal Absorbtive (Caco-2) Cells. J. Pharm. Sci. 1990, 79, 476–482. [Google Scholar] [CrossRef] [PubMed]
- Artursson, P.; Borchardt, R.T. Intestinal drug absorption and metabolism in cell cultures: Caco-2 and beyond. Pharm. Res 1997, 14, 1655–1658. [Google Scholar] [CrossRef] [PubMed]
- Bashyal, S.; Seo, J.E.; Choi, Y.W.; Lee, S. Bile acid transporter-mediated oral absorption of insulin via hydrophobic ion-pairing approach. J. Control Release 2021, 338, 644–661. [Google Scholar] [CrossRef] [PubMed]
- Faralli, A.; Shekarforoush, E.; Ajalloueian, F.; Mendes, A.C.; Chronakis, I.S. In vitro permeability enhancement of curcumin across Caco-2 cells monolayers using electrospun xanthan-chitosan nanofibers. Carbohyd. Polym. 2019, 206, 38–47. [Google Scholar] [CrossRef] [PubMed] [Green Version]
- Diedrichsen, R.G.; Harloff-Helleberg, S.; Werner, U.; Besenius, M.; Leberer, E.; Kristensen, M.; Nielsen, H.M. Revealing the importance of carrier-cargo association in delivery of insulin and lipidated insulin. J. Control Release 2021, 338, 8–21. [Google Scholar] [CrossRef]
- Denaro, M.; Smeriglio, A.; De Francesco, C.; Xiao, J.B.; Cornara, L.; Trombetta, D. In vitro intestinal transport and anti-inflammatory properties of ideain across Caco-2 transwell model. Fitoterapia 2020, 146, 104723. [Google Scholar] [CrossRef]
- Fan, A.; Xue, S.; Wei, J.; Li, N.; Zhao, D.; Lu, Y.; Chen, X. Absorption mechanism of a novel tubulin inhibitor, YMR-65, in Caco-2 cell model. Chin. J. Clin. Pharmacol. Ther. 2018, 23, 983–988. [Google Scholar]
- Nimtrakul, P.; Williams, D.B.; Tiyaboonchai, W.; Prestidge, C.A. Copolymeric Micelles Overcome the Oral Delivery Challenges of Amphotericin B. Pharm.-Base 2020, 13, 121. [Google Scholar] [CrossRef]
- Baig, M.W.; Fatima, H.; Akhtar, N.; Hussain, H.; Okla, M.K.; Al-Hashimi, A.; Al-Qahtani, W.H.; AbdElgawad, H.; Haq, I.U. Anti-Inflammatory Potential of Daturaolone from Datura innoxia Mill.: In Silico, In Vitro and In Vivo Studies. Pharm.-Base 2021, 14, 1248. [Google Scholar] [CrossRef]
- Wang, J.; Zhang, Q.B.; Zhang, Z.S.; Zhang, H.; Niu, X.Z. Structural studies on a novel fucogalactan sulfate extracted from the brown seaweed Laminaria japonica. Int. J. Biol. Macromol. 2010, 47, 126–131. [Google Scholar] [CrossRef] [PubMed]
- Wang, J.; Zhang, Q.B.; Zhang, Z.S.; Li, Z. Antioxidant activity of sulfated polysaccharide fractions extracted from Laminaria japonica. Int. J. Biol. Macromol. 2008, 42, 127–132. [Google Scholar] [CrossRef] [PubMed]
- Wang, J.; Zhang, Q.B.; Zhang, Z.S.; Song, H.F.; Li, P.C. Potential antioxidant and anticoagulant capacity of low molecular weight fucoidan fractions extracted from Laminaria japonica. Int. J. Biol. Macromol. 2010, 46, 6–12. [Google Scholar] [CrossRef] [PubMed]
- Zhang, Y.; Liu, J.X.; Dou, P.F.; Wu, Z.J.; Zheng, Z.M.; Pan, X.L.; Zhou, T.; Wang, K.P. Oral absorption characteristics and mechanisms of a pectin-type polysaccharide from Smilax china L. across the intestinal epithelium. Carbohyd. Polym. 2021, 270, 118383. [Google Scholar] [CrossRef] [PubMed]
- Xia, D.N.; He, Y.; Li, Q.X.; Hu, C.D.; Huang, W.; Zhang, Y.H.; Wan, F.; Wang, C.; Gan, Y. Transport mechanism of lipid covered saquinavir pure drug nanoparticles in intestinal epithelium. J. Control Release 2018, 269, 159–170. [Google Scholar] [CrossRef]
- Peng, Y.; Yadava, P.; Heikkinen, A.T.; Parrott, N.; Railkar, A. Applications of a 7-day Caco-2 cell model in drug discovery and development. Eur. J. Pharm. Sci. 2014, 56, 120–130. [Google Scholar] [CrossRef]
- Sevin, E.; Dehouck, L.; Fabulas-da Costa, A.; Cecchelli, R.; Dehouck, M.P.; Lundquist, S.; Culot, M. Accelerated Caco-2 cell permeability model for drug discovery. J. Pharm. Tox. Met. 2013, 68, 334–339. [Google Scholar] [CrossRef]
- Lentz, K.A.; Hayashi, J.; Lucisano, L.J.; Polli, J.E. Development of a more rapid, reduced serum culture system for Caco-2 monolayers and application to the biopharmaceutics classification system. Int. J. Pharm. 2000, 200, 41–51. [Google Scholar] [CrossRef]
- Calabria, A.R.; Weidenfeller, C.; Jones, A.R.; de Vries, H.E.; Shusta, E.V. Puromycin-purified rat brain microvascular endothelial cell cultures exhibit improved barrier properties in response to glucocorticoid induction. J. Neurochem. 2006, 97, 922–933. [Google Scholar] [CrossRef]
- Demeuse, P.; Fragner, P.; Leroy-Noury, C.; Mercier, C.; Payen, L.; Fardel, O.; Couraud, P.O.; Roux, F. Puromycin selectively increases mdr1a expression in immortalized rat brain endothelial cell lines. J. Neurochem. 2004, 88, 23–31. [Google Scholar] [CrossRef]
- Anastyuk, S.D.; Imbs, T.I.; Shevchenko, N.M.; Dmitrenok, P.S.; Zvyagintseva, T.N. ESIMS analysis of fucoidan preparations from Costaria costata, extracted from alga at different life-stages. Carbohyd. Polym. 2012, 90, 993–1002. [Google Scholar] [CrossRef] [PubMed]
- Myers, S.P.; O’Connor, J.; Fitton, H.J.; Brooks, L.; Rolfe, M.; Connellan, P.; Wohlmuth, H.; Cheras, P.A.; Morris, C. A combined Phase I and II open-label study on the immunomodulatory effects of seaweed extract nutrient complex. Biol.-Targets Ther. 2011, 5, 45–60. [Google Scholar] [CrossRef] [PubMed] [Green Version]
- Yang, G.; Zhang, Q.Q.; Kong, Y.Y.; Xie, B.Q.; Gao, M.J.; Tao, Y.; Xu, H.W.; Zhan, F.H.; Dai, B.J.; Shi, J.M.; et al. Antitumor activity of fucoidan against diffuse large B cell lymphoma in vitro and in vivo. Acta Biochim. Biophys. Sin. 2015, 47, 925–931. [Google Scholar] [CrossRef] [Green Version]
- Mori, N.; Nakasone, K.; Tomimori, K.; Ishikawa, C. Beneficial effects of fucoidan in patients with chronic hepatitis C virus infection. World J. Gastroenterol. 2012, 18, 2225–2230. [Google Scholar] [CrossRef] [PubMed]
- Iraha, A.; Chinen, H.; Hokama, A.; Yonashiro, T.; Kinjo, T.; Kishimoto, K.; Nakamoto, M.; Hirata, T.; Kinjo, N.; Higa, F.; et al. Fucoidan enhances intestinal barrier function by upregulating the expression of claudin-1. World J. Gastroenterol. 2013, 19, 5500–5507. [Google Scholar] [CrossRef] [PubMed]
- Sun, T.; Liang, H.; Xue, M.L.; Liu, Y.; Gong, A.J.; Jiang, Y.S.; Qin, Y.M.; Yang, J.; Meng, D.Y. Protective effect and mechanism of fucoidan on intestinal mucosal barrier function in NOD mice. Food Agric. Immunol. 2020, 31, 922–936. [Google Scholar] [CrossRef]
- Zhang, E.; Chu, F.L.; Xu, L.X.; Liang, H.; Song, S.L.; Ji, A.G. Use of fluorescein isothiocyanate isomer I to study the mechanism of intestinal absorption of fucoidan sulfate in vivo and in vitro. Biopharm. Drug Dispos. 2018, 39, 298–307. [Google Scholar] [CrossRef]
- Bai, X.; Zhang, E.; Hu, B.; Liang, H.; Song, S.L.; Ji, A.G. Study on Absorption Mechanism and Tissue Distribution of Fucoidan. Molecules 2020, 25, 1087. [Google Scholar] [CrossRef] [Green Version]
- Chantret, I.; Barbat, A.; Dussaulx, E.; Brattain, M.G.; Zweibaum, A. Epithelial Polarity, Villin Expression, and Enterocytic Differentiation of Cultured Human-Colon Carcinoma-Cells—A Survey of 20 Cell-Lines. Cancer Res. 1988, 48, 1936–1942. [Google Scholar]
- Martirosyan, A.; Grintzalis, K.; Polet, M.; Laloux, L.; Schneider, Y.J. Tuning the inflammatory response to silver nanoparticles via quercetin in Caco-2 (co-)cultures as model of the human intestinal mucosa. Toxicol. Lett. 2016, 253, 36–45. [Google Scholar] [CrossRef]
- Duizer, E.; Gilde, A.J.; Versantvoort, C.H.M.; Groten, J.P. Effects of cadmium chloride on the paracellular barrier function of intestinal epithelial cell lines. Toxicol. Appl. Pharm. 1999, 155, 117–126. [Google Scholar] [CrossRef] [PubMed]
- Lu, M. Observation of Caco-2 cell monolayer model with electron microscopy. J. Chin. Electron. Microsc. Soc. 2018, 37, 371–375. [Google Scholar]
- Sakai, M.; Imai, T.; Ohtake, H.; Azuma, H.; Otagiri, M. Simultaneous use of sodium deoxycholate and dipotassium glycyrrhizinate enhances the cellular transport of poorly absorbed compounds across Caco-2 cell monolayers. J. Pharm. Pharm. 1999, 51, 27–33. [Google Scholar] [CrossRef] [PubMed]
- Vaneijk, H.G.; Dejong, G. The Physiology of Iron, Transferrin, and Ferritin. Biol. Trace Elem. Res. 1992, 35, 13–24. [Google Scholar] [CrossRef]
- Zhu, Y.Z.; Xu, Q.Q.; Wu, D.G.; Ren, H.; Zhao, P.; Lao, W.G.; Wang, Y.; Tao, Q.Y.; Qian, X.J.; Wei, Y.H.; et al. Japanese Encephalitis Virus Enters Rat Neuroblastoma Cells via a pH-Dependent, Dynamin and Caveola-Mediated Endocytosis Pathway. J. Virol. 2012, 86, 13407–13422. [Google Scholar] [CrossRef] [Green Version]
- Chen, S.L.; Liu, Y.G.; Zhou, Y.T.; Zhao, P.; Ren, H.; Xiao, M.; Zhu, Y.Z.; Qi, Z.T. Endophilin-A2-mediated endocytic pathway is critical for enterovirus 71 entry into caco-2 cells. Emerg. Microbes Infect. 2019, 8, 773–786. [Google Scholar] [CrossRef]
- Artursson, P.; Palm, K.; Luthman, K. Caco-2 monolayers in experimental and theoretical predictions of drug transport. Adv. Drug Deliv. Rev. 2012, 64, 280–289. [Google Scholar] [CrossRef]
- Volpe, D.A. Advances in cell-based permeability assays to screen drugs for intestinal absorption. Expert Opin. Drug Dis. 2020, 15, 539–549. [Google Scholar] [CrossRef]
- Gan, L.S.L.; Thakker, D.R. Applications of the Caco-2 model in the design and development of orally active drugs: Elucidation of biochemical and physical barriers posed by the intestinal epithelium. Adv. Drug Deliv. Rev. 1997, 23, 77–98. [Google Scholar] [CrossRef]
- Cai, Y.K.; Xu, C.S.; Chen, P.Y.; Hu, J.Q.; Hu, R.; Huang, M.; Bi, H.C. Development, validation, and application of a novel 7-day Caco-2 cell culture system. J. Pharm. Tox. Met. 2014, 70, 175–181. [Google Scholar] [CrossRef]
- Hubatsch, I.; Ragnarsson, E.G.E.; Artursson, P. Determination of drug permeability and prediction of drug absorption in Caco-2 monolayers. Nat. Protoc. 2007, 2, 2111–2119. [Google Scholar] [CrossRef] [PubMed]
- Zeng, B.; Wang, C.L.; Wu, A.G. Establishment of Caco-2 Cell Model and Exploration of Its Application to Absorption of Chinese Medicine. Tradit. Chin. Drug Res. Clin. Plarmacol. 2010, 21, 570–573. [Google Scholar]
- Sun, M.J.; Sheng, X.; Hu, Y.Q. Establishment and Validation of Caco-2 Cell Lines for Lntestinal Epithelial Permeability. Chin. Pharm. J. 2006, 41, 1431–1434. [Google Scholar]





| Time (min) | Fucoidan (µg/mL) | |||
|---|---|---|---|---|
| Control (7d) | 100 (5d) | 50 (5d) | 25 (5d) | |
| 30 | 4.30 ± 1.54 | 3.26 ± 0.18 | 4.16 ± 0.71 | 3.69 ± 0.96 |
| 60 | 6.31 ± 1.42 | 4.84 ± 0.42 | 5.92 ± 0.33 | 5.23 ± 0.76 |
| 120 | 6.81 ± 1.26 | 5.81 ± 0.02 | 6.63 ± 0.20 | 6.49 ± 0.83 |
| 180 | 6.90 ± 1.40 | 6.07 ± 0.23 | 6.59 ± 0.39 | 6.52 ± 0.44 |
| Time (min) | Fucoidan (µg/mL) | |||
|---|---|---|---|---|
| Control (7d) | 100 (5d) | 50 (5d) | 25 (5d) | |
| 30 | 0.07 ± 0.027 | 0.06 ± 0.003 | 0.06 ± 0.012 | 0.07 ± 0.017 |
| 60 | 0.22 ± 0.049 | 0.17 ± 0.014 | 0.18 ± 0.012 | 0.20 ± 0.026 |
| 120 | 0.47 ± 0.087 | 0.40 ± 0.002 | 0.45 ± 0.014 | 0.46 ± 0.058 |
| 180 | 0.72 ± 0.145 | 0.63 ± 0.034 | 0.68 ± 0.04 | 0.68 ± 0.045 |
| Time (min) | Fucoidan (µg/mL) | |
|---|---|---|
| Control (7d) | 50 (5d) | |
| 120 | 4.45 ± 0.18 | 4.61 ± 0.05 |
| Time (min) | Fucoidan (µg/mL) | |
|---|---|---|
| Control (7d) | 50 (5d) | |
| 120 | 4.56 ± 0.28 | 4.46 ± 0.57 |
Publisher’s Note: MDPI stays neutral with regard to jurisdictional claims in published maps and institutional affiliations. |
© 2022 by the authors. Licensee MDPI, Basel, Switzerland. This article is an open access article distributed under the terms and conditions of the Creative Commons Attribution (CC BY) license (https://creativecommons.org/licenses/by/4.0/).
Share and Cite
Yang, Q.; Xing, M.; Wang, K.; Wei, Q.; Zhao, J.; Wang, Y.; Ji, K.; Song, S. Application of Fucoidan in Caco-2 Model Establishment. Pharmaceuticals 2022, 15, 418. https://doi.org/10.3390/ph15040418
Yang Q, Xing M, Wang K, Wei Q, Zhao J, Wang Y, Ji K, Song S. Application of Fucoidan in Caco-2 Model Establishment. Pharmaceuticals. 2022; 15(4):418. https://doi.org/10.3390/ph15040418
Chicago/Turabian StyleYang, Qiong, Maochen Xing, Ke Wang, Qiang Wei, Jiarui Zhao, Yuan Wang, Kai Ji, and Shuliang Song. 2022. "Application of Fucoidan in Caco-2 Model Establishment" Pharmaceuticals 15, no. 4: 418. https://doi.org/10.3390/ph15040418
APA StyleYang, Q., Xing, M., Wang, K., Wei, Q., Zhao, J., Wang, Y., Ji, K., & Song, S. (2022). Application of Fucoidan in Caco-2 Model Establishment. Pharmaceuticals, 15(4), 418. https://doi.org/10.3390/ph15040418

