Formulation of Chitosan-Coated Brigatinib Nanospanlastics: Optimization, Characterization, Stability Assessment and In-Vitro Cytotoxicity Activity against H-1975 Cell Lines
Abstract
:1. Introduction
2. Results and Discussion
2.1. Analysis of I Optimal Design for Optimization of BGT Loaded NSPs
2.2. Evaluation of the Prepared BGT Loaded SPS
2.2.1. Entrapment Efficiency (EE%)
2.2.2. Vesicles’ Size and Size Distribution PDI
2.2.3. Zeta Potential
2.3. Selection of the Optimized BGT Loaded SPs
2.4. Evaluation of the Optimized Coated Formula
2.4.1. Vesicle Size, %EE, and Zeta Potential
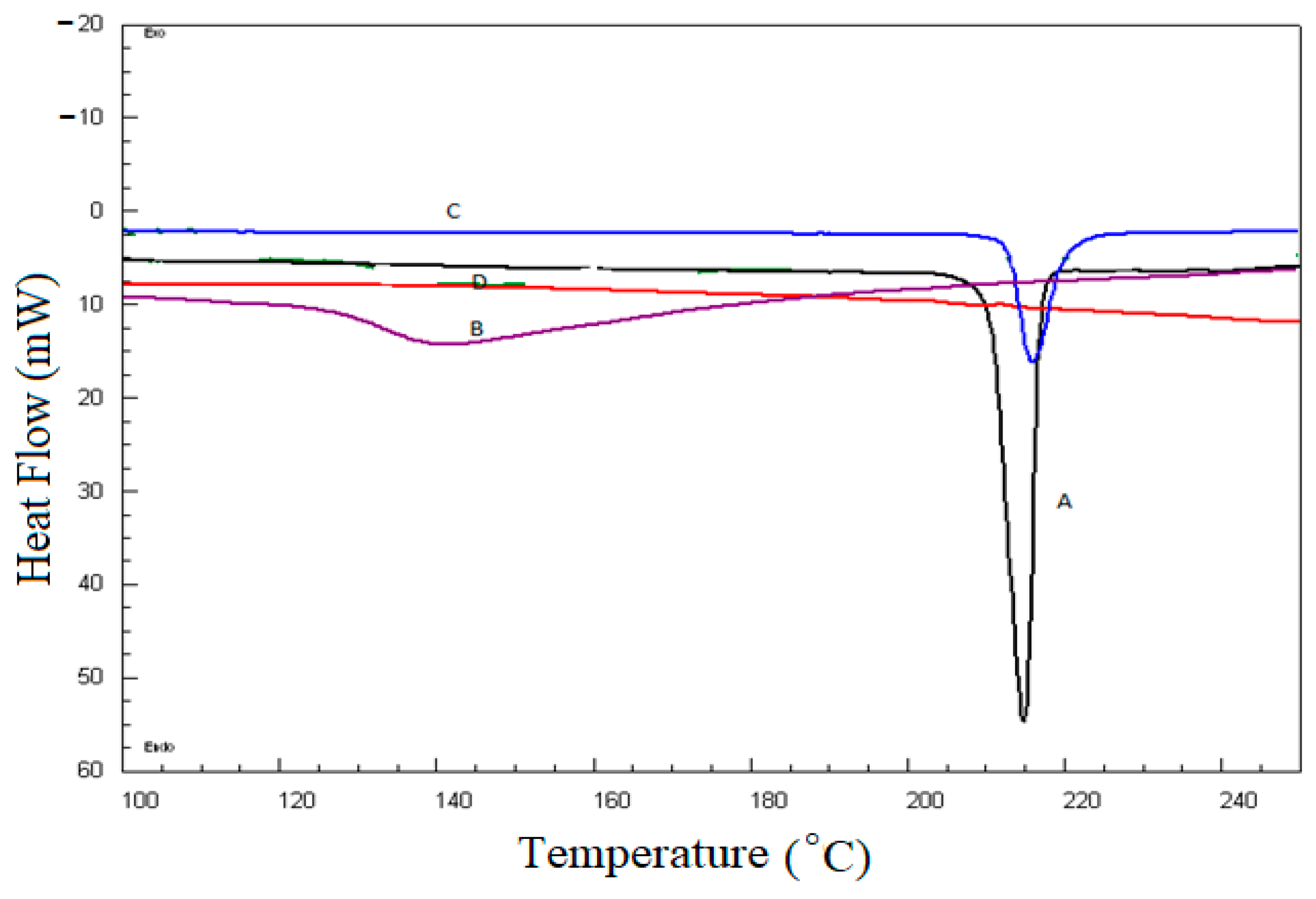
2.4.2. Differential Scanning Calorimetry (DSC)
2.4.3. X-ray Diffraction (XRD) Analysis
2.4.4. In Vitro Drug Release
2.4.5. Transmission Electron Microscopy (TEM)
2.4.6. Stability Study
2.4.7. Cytotoxicity Studies against H-1975 Cell Lines
3. Materials and Methods
3.1. Materials
3.2. Experimental Design
3.3. Development of BGT-Loaded NSPs
3.4. Entrapment Efficiency %
3.5. Measurement of Vesicles Size, Size Distribution (PDI) and Zeta Potential (ZP)
3.6. Optimization of BGT Loaded SPs
3.7. Coating the Optimized Formula with Chitosan
3.8. Evaluations for the Coated Optimized Formula
3.8.1. Vesicles’ Size, % EE, and Zeta Potential
3.8.2. Differential Scanning Calorimetry (DSC)
3.8.3. X-ray Diffraction (XRD) Analysis
3.8.4. In Vitro Drug Release
3.8.5. Transmission Electron Microscopy (TEM)
3.9. Stability Study
3.10. Cytotoxicity Studies against H-1975 Cell Lines
3.11. Statistical Analysis
4. Conclusions
Author Contributions
Funding
Institutional Review Board Statement
Informed Consent Statement
Data Availability Statement
Acknowledgments
Conflicts of Interest
References
- Alexander, M.; Kim, S.Y.; Cheng, H. Update 2020: Management of Non-Small Cell Lung Cancer. Lung 2020, 198, 897–907. [Google Scholar] [CrossRef]
- Siegel, R.L.; Miller, K.D.; Jemal, A. Cancer statistics, 2020. CA Cancer J. Clin. 2020, 70, 7–30. [Google Scholar] [CrossRef]
- Yingchoncharoen, P.; Kalinowski, D.S.; Richardson, D.R. Lipid-Based Drug Delivery Systems in Cancer Therapy: What Is Available and What Is Yet to Come. Pharmacol. Rev. 2016, 68, 701–787. [Google Scholar] [CrossRef] [Green Version]
- Su, S.; Kang, P.M. Recent Advances in Nanocarrier-Assisted Therapeutics Delivery Systems. Pharmaceutics 2020, 12, 837. [Google Scholar] [CrossRef]
- Kim, D.W.; Tiseo, M.; Ahn, M.J.; Reckamp, K.L.; Hansen, K.H.; Kim, S.W.; Leighl, N.B. Brigatinib in patients with crizotinib-refractory anaplastic lymphoma kinase-positive non-small-cell lung cancer: A randomized, multicenter phase II trial. J. Clin. Oncol. 2017, 35, 2490–2498. [Google Scholar] [CrossRef]
- Alshahrani, S.M.; Ahmed, M.M.; Anwer, M.K.; Fatima, F.; Alshetaili, A.S.; Alalaiwe, A.; Alsulays, B.B.; Shakeel, F. Temperature dependent solubility studies of brigatinib in some pure solvents useful in dosage form development. Acta. Pol. Pharm. 2019, 76, 226–232. [Google Scholar]
- Huang, W.S.; Liu, S.; Zou, D.; Thomas, M.; Wang, Y.; Zhou, T.; Romero, J.; Kohlmann, A.; Li, F.; Qi, J.; et al. Discovery of brigatinib (AP26113), a phosphine oxide-containing, potent, orally active inhibitor of anaplastic lymphoma kinase. J. Med. Chem. 2016, 59, 4948–4964. [Google Scholar] [CrossRef]
- Spencer, S.A.; Riley, A.C.; Matthew, A.; Di Pasqua, A.J. Brigatinib: Novel ALK Inhibitor for Non–Small-Cell Lung Cancer. Ann. Pharmacother. 2019, 53, 621–626. [Google Scholar] [CrossRef]
- Bedi, S.; Khan, S.A.; AbuKhader, M.M.; Alam, P.; Siddiqui, N.A.; Husain, A. A comprehensive review on Brigatinib—A wonder drug for targeted cancer therapy in non-small cell lung cancer. Saudi Pharm. J. 2018, 26, 755–763. [Google Scholar] [CrossRef]
- Ansari, M.J.; Alnakhli, M.; Al-Otaibi, T.G.; Meanazel, O.T.; Anwer, M.K.; Ahmed, M.M.; Alshahrani, S.M.; Alshetaili, A.S.; Aldawsari, M.F.; Alalaiwe, A.S.; et al. Formulation and evaluation of self-nanoemulsifying drug delivery system of brigatinib: Improvement of solubility, in vitro release, ex-vivo permeation and anticancer activity. J. Drug Deliv. Sci. Technol. 2020, 61, 102204. [Google Scholar] [CrossRef]
- Camidge, D.R.; Kim, H.R.; Ahn, M.J.; Yang, J.; Han, J.Y.; Hochmair, M.J.; Lee, K.H.; Delmonte, A.; García Campelo, M.R.; Kim, D.W.; et al. Brigatinib Versus Crizotinib in Advanced ALK Inhibitor-Naive ALK-Positive Non-Small Cell Lung Cancer: Second Interim Analysis of the Phase III ALTA-1L Trial. J. Clin. Oncol. 2020, 38, 3592–3603. [Google Scholar] [CrossRef]
- Nishio, M.; Yoshida, T.; Kumagai, T.; Hida, T.; Toyozawa, R.; Shimokawaji, T.; Goto, K.; Nakagawa, K.; Ohe, Y.; Seto, T.; et al. Brigatinib in Japanese Patients With ALK-Positive NSCLC Previously Treated With Alectinib and Other Tyrosine Kinase Inhibitors: Outcomes of the Phase 2 J-ALTA Trial. J. Thorac. Oncol. 2021, 16, 452–463. [Google Scholar] [CrossRef]
- Ahmed, M.M.; Fatima, F.; Anwer, M.K.; Aldawsari, M.F.; Alsaidan, Y.; Alfaiz, S.A.; Haque, A.; Az, A.; Alhazzani, K. Development and characterization of Brigatinib loaded solid lipid nanoparticles: In-vitro cytotoxicity against human carcinoma A549 lung cell lines. Chem. Phy. Lipids 2020, 233, 105003. [Google Scholar] [CrossRef]
- Ahmed, M.; Fatima, F.; Anwer, M.; Ansari, M.; Das, S.; Alshahrani, S. Development and characterization of ethyl cellulose nanosponges for sustained release of brigatinib for the treatment of non-small cell lung cancer. J. Polym. Eng. 2020, 40, 823–832. [Google Scholar] [CrossRef]
- Dai, W.; Ruan, C.; Zhang, Y.; Wang, J.; Han, J.; Shao, Z.; Sun, Y.; Liang, J. Bioavailability enhancement of EGCG by structural modification and nano-delivery: A review. J. Func. Foods 2020, 65, 103732. [Google Scholar] [CrossRef]
- Mazyed, E.A.; Helal, D.A.; Elkhoudary, M.M.; Abd Elhameed, A.G.; Yasser, M. Formulation and Optimization of Nanospanlastics for Improving the Bioavailability of Green Tea Epigallocatechin Gallate. Pharmaceuticals 2021, 14, 68. [Google Scholar] [CrossRef]
- El Maghraby, G.M.; Williams, A.C.; Barry, B.W. Oestradiol skin delivery from ultradeformable liposomes: Refinement of surfactant concentration. Int. J. Pharm. 2000, 196, 63–74. [Google Scholar] [CrossRef]
- Kakkar, S.; Kaur, I.P. Spanlastics—A novel nanovesicular carrier system for ocular delivery. Int. J. Pharm. 2011, 413, 202–210. [Google Scholar] [CrossRef]
- Al-Mahallawi, A.M.; Khowessah, O.M.; Shoukri, R.A. Enhanced non invasive trans-tympanic delivery of ciprofloxacin through encapsulation into nano-spanlastic vesicles: Fabrication, in-vitro characterization, and comparative ex-vivo permeation studies. Int. J. Pharm. 2017, 522, 157–164. [Google Scholar] [CrossRef]
- Mazyed, E.A.; Abdelaziz, A.E. Fabrication of Transgelosomes for Enhancing the Ocular Delivery of Acetazolamide: Statistical Optimization, In Vitro Characterization, and In Vivo Study. Pharmaceutics 2020, 12, 465. [Google Scholar] [CrossRef]
- Hilițanu, L.N.; Mititelu-Tarțău, L.; Popa, G.E.; Buca, B.R.; Pavel, L.L.; Pelin, A.-M.; Meca, A.-D.; Bogdan, M.; Pricop, D.A. The Analysis of Chitosan-Coated Nanovesicles Containing Erythromycin-Characterization and Biocompatibility in Mice. Antibiotics 2021, 10, 1471. [Google Scholar] [CrossRef]
- Sharifi-Rad, J.; Quispe, C.; Butnariu, M.; Rotariu, L.S.; Sytar, O.; Sestito, S.; Rapposelli, S.; Akram, M.; Iqbal, M.; Krishna, A.; et al. Chitosan nanoparticles as a promising tool in nanomedicine with particular emphasis on oncological treatment. Cancer Cell Int. 2021, 21, 318. [Google Scholar] [CrossRef]
- Kukushkina, E.A.; Hossain, S.I.; Sportelli, M.C.; Ditaranto, N.; Picca, R.A.; Cioffi, N. Ag-based synergistic antimicrobial composites. A critical review. Nanomaterials 2021, 11, 1687. [Google Scholar] [CrossRef]
- Aziz, D.E.; Abdelbary, A.A.; Elassasy, A.I. Implementing Central Composite Design for Developing Transdermal Diacerein-Loaded Niosomes: Ex vivo Permeation and In vivo Deposition. Curr Drug Deliv. 2018, 15, 1330–1342. [Google Scholar] [CrossRef]
- Turk, C.T.S.; Oz, U.C.; Serim, T.M.; Hascicek, C. Formulation and optimization of nonionic surfactants emulsified nimesulide-loaded PLGA-based nanoparticles by design of experiments. AAPS PharmSciTech 2014, 15, 161–176. [Google Scholar] [CrossRef] [Green Version]
- Al-mahallawi, A.M.; Khowessah, O.M.; Shoukri, R.A. Nano-transfersomal ciprofloxacin loadedvesicles for non-invasive trans-tympanic ototopical delivery: In-vitro optimization, ex-vivo permeation studies and in-vivo assessment. Int. J. Pharm. 2014, 472, 304–314. [Google Scholar] [CrossRef]
- Ngan, C.L.; Basri, M.; Lye, F.F.; Masoumi, H.R.F.; Tripathy, M.; Karjiban, R.A.; Abdul-Malek, E. Comparison of process parameter optimization using different designs in nanoemulsion-based formulation for transdermal delivery of fullerene. Int. J. Nanomed. 2014, 9, 4375. [Google Scholar] [CrossRef] [Green Version]
- Elsherif, N.I.; Shamma, R.N.; Abdelbary, G. Terbinafine hydrochloride trans-ungual delivery via nanovesicular systems: In vitro characterization and ex vivo evaluation. AAPS PharmSciTech 2017, 18, 551–562. [Google Scholar] [CrossRef]
- Zhao, J.; Chong, J.Y.; Shi, L.; Wang, R. PTFE-assisted immobilization of Pluronic F127 in PVDF hollow fiber membranes with enhanced hydrophilicity through nonsolvent-thermally induced phase separation method. J. Membr. Sci. 2021, 620, 118914. [Google Scholar] [CrossRef]
- Foo, K.S.; Bavoh, C.B.; Lal, B.; Shariff, A.M. Rheology Impact of Various Hydrophilic-Hydrophobic Balance (HLB) Index Non-Ionic Surfactants on Cyclopentane Hydrates. Molecules 2020, 25, 3725. [Google Scholar] [CrossRef]
- El Zaafarany, G.M.; Awad, G.A.S.; Holayel, S.M.; Mortada, N.D. Role of edge activators and surface charge in developing ultradeformable vesicles with enhanced skin delivery. Int. J. Pharm. 2010, 397, 164–172. [Google Scholar] [CrossRef]
- Abdelbari, M.A.; El-mancy, S.S.; Elshafeey, A.H.; Abdelbary, A.A. Implementing Spanlastics for Improving the Ocular Delivery of Clotrimazole: In vitro Characterization, Ex vivo Permeability, Microbiological Assessment and In vivo Safety Study. Int. J. Nanomed. 2021, 16, 6249–6261. [Google Scholar] [CrossRef]
- Badria, F.; Mazyed, E. Formulation of Nanospanlastics as a Promising Approach for Improving the Topical Delivery of a Natural Leukotriene Inhibitor (3-Acetyl-11-Keto -β-Boswellic Acid): Statistical Optimization, in vitro Characterization, and ex vivo Permeation Study. Drug Des. Dev. Ther. 2020, 14, 3697–3721. [Google Scholar] [CrossRef]
- ElMeshad, A.N.; Mohsen, A.M. Enhanced corneal permeation and antimycotic activity of itraconazole against Candida albicans via a novel nanosystem vesicle. Drug Deliv. 2016, 23, 2115–2123. [Google Scholar] [CrossRef]
- Mahmoud, D.B.; Bakr, M.M.; Al-karmalawy, A.A.; Moatasim, Y.; El Taweel, A.; Mostafa, A. Scrutinizing the Feasibility of Nonionic Surfactants to Form Isotropic Bicelles of Curcumin: A Potential Antiviral Candidate Against COVID-19. AAPS PharmSciTech 2022, 23, 44. [Google Scholar] [CrossRef]
- Elsaied, E.H.; Dawaba, H.M.; Ibrahim, E.A.; Afouna, M.I. Effect of pegylated edge activator on span 60 based-nanovesicles: Comparison between myrj 52 and myrj 59. Univ. J. Pharm. Res. 2019, 4, 1–8. [Google Scholar] [CrossRef]
- Dave, V.; Yadav, R.B.; Kushwaha, K.; Yadav, S.; Sharma, S.; Agrawal, U. Lipid-polymer hybrid nanoparticles: Development & statistical optimization of norfloxacin for topical drug delivery system. Bioact. Mater. 2017, 2, 269–280. [Google Scholar] [CrossRef]
- Alshraim, M.O.; Sangi, S.; Harisa, G.I.; Alomrani, A.H.; Yusuf, O.; Badran, M.M. Chitosan-Coated Flexible Liposomes Magnify the Anticancer Activity and Bioavailability of Docetaxel: Impact on Composition. Molecules 2019, 24, 250. [Google Scholar] [CrossRef] [Green Version]
- Bruinsmann, F.A.; Pigana, S.; Aguirre, T.; Souto, G.D.; Pereira, G.G.; Bianchera, A.; Fasiolo, L.T.; Colombo, G.; Marques, M.; Pohlmann, A.R.; et al. Chitosan-Coated Nanoparticles: Effect of Chitosan Molecular Weight on Nasal Transmucosal Delivery. Pharmaceutics 2019, 11, 86. [Google Scholar] [CrossRef] [Green Version]
- Cuomo, F.; Cofelice, M.; Venditti, F.; Ceglie, A.; Miguel, M.; Lindman, B.; Lopez, F. In-vitro digestion of curcumin loaded chitosan-coated liposomes. Colloid Surf. B Biointerfaces 2018, 168, 29–34. [Google Scholar] [CrossRef]
- Dong, Y.; Ruan, Y.; Wang, H.; Bi, D.; Zhao, Y. Studies on glass transition temperature of chitosan with four techniques. J. Appl. Polym. Sci. 2004, 93, 1553–1558. [Google Scholar] [CrossRef]
- Rozamus, L.W.; Sharma, P. Crystalline Forms of 5-Chloro-n4-[-2-(dimethylphosphoryl) Phenyl]-n2-{2-methoxy-4-[4-(4-methylpiperazin-1-yl) Piperidin-1-yl]pyrimidine-2,4-diamine. European Patent EP 3 209 647 B1, 2020. [Google Scholar]
- Siepmann, J.; Peppas, N.A. Modeling of drug release from delivery systems based on hydroxypropyl methylcellulose (HPMC). Adv. Drug Deliv. Rev. 2001, 48, 139–157. [Google Scholar] [CrossRef]
- Md, S.; Abdullah, S.T.; Alhakamy, N.A.; Bani-Jaber, A.; Radhakrishnan, A.K.; Karim, S.; Shahzad, N.; Gabr, G.A.; Alamoudi, A.J.; Rizg, W.Y. Ambroxol Hydrochloride Loaded Gastro-Retentive Nanosuspension Gels Potentiate Anticancer Activity in Lung Cancer (A549) Cells. Gels 2021, 7, 243. [Google Scholar] [CrossRef]
- Badria, F.; Fayed, H.A.; Ibraheem, A.K.; Mazyed, E.A. Formulation of Sodium Valproate Nanospanlastics as a Promising Approach for Drug Repurposing in the Treatment of Androgenic Alopecia. Pharmaceutics 2020, 12, 866. [Google Scholar] [CrossRef]
- Danaei, M.; Dehghankhold, M.; Ataei, S.; Hasanzadeh Davarani, F.; Javanmard, R.; Dokhani, A.; Khorasani, S.; Mozafari, M.R. Impact of Particle Size and Polydispersity Index on the Clinical Applications of Lipidic Nanocarrier Systems. Pharmaceutics 2018, 10, 57. [Google Scholar] [CrossRef] [Green Version]
- Ali, A.A.; Hassan, A.H.; Eissa, E.M.; Aboud, H.M. Response Surface Optimization of Ultra-Elastic Nanovesicles Loaded with Deflazacort Tailored for Transdermal Delivery: Accentuated Bioavailability and Anti-Inflammatory Efficacy. Int. J. Nanomed. 2021, 16, 591–607. [Google Scholar] [CrossRef]
- Sebaaly, C.; Trifan, A.; Sieniawska, E.; Greige-Gerges, H. Chitosan-Coating Effect on the Characteristics of Liposomes: A Focus on Bioactive Compounds and Essential Oils: A Review. Processes 2021, 9, 445. [Google Scholar] [CrossRef]
- Raza, K.; Ratan, S.; Kumar, M.; Kumar, P.; Chaturvedi, S.; Katare, O.P. Aceclofenac polymorphs: Preparation, characterization and intestinal permeation studies. J. Drug Deliv. Sci. Technol. 2017, 39, 69–74. [Google Scholar] [CrossRef]
- Almutairy, B.K.; Alshetaili, A.; Alali, A.S.; Ahmed, M.M.; Anwer, M.K.; Aboudzadeh, M.A. Design of Olmesartan Medoxomil-Loaded Nanosponges for Hypertension and Lung Cancer Treatments. Polymers 2021, 13, 2272. [Google Scholar] [CrossRef]
- Almomen, A.; El-Toni, A.M.; Badran, M.; Alhowyan, A.; Abul Kalam, M.; Alshamsan, A.; Alkholief, M. The Design of Anionic Surfactant-Based Amino-Functionalized Mesoporous Silica Nanoparticles and their Application in Transdermal Drug Delivery. Pharmaceutics 2020, 12, 1035. [Google Scholar] [CrossRef]
- Aboud, H.M.; Mahmoud, M.O.; Abdeltawab, M.M.; Sabry, D. Preparation and appraisal of self-assembled valsartan-loaded amalgamated Pluronic F127/Tween 80 polymeric micelles: Boosted cardioprotection via regulation of Mhrt/Nrf2 and Trx1 pathways in cisplatin-induced cardiotoxicity. J. Drug Target. 2020, 28, 282–299. [Google Scholar] [CrossRef]










| Independent Variable | Levels | ||||||
|---|---|---|---|---|---|---|---|
| Low (−1) | High (+1) | ||||||
| Sonication Time (X1) | 5 | 10 | |||||
| Type of EA (X2) | Pluronic F127 | Tween 80 | |||||
| Span-60: EA Ratio (X3) | 3:2 | 4:1 | |||||
| Dependent Variables | R2 | Adjusted R2 | Predicted R2 | Constraints | p Value | F Value | Adequate Precision |
| Y1: % EE | 0.9993 | 0.9959 | 0.9846 | Maximize | 0.0034 | 293.68 | 51.9945 |
| Y2: vesicles size (nm) | 0.9998 | 0.9989 | 0.9672 | Minimize | 0.0009 | 1065.42 | 95.8437 |
| Y3: zeta potential (mV) | 0.9951 | 0.9804 | 0.8818 | Maximize | 0.0026 | 67.62 | 24.4528 |
| Formula Code | Sonication Time (min.) | Type of EA | Span-60:EA Ratio | EE (%) | Vesicles Size (nm) | Zeta Potential (mV) | PDIa |
|---|---|---|---|---|---|---|---|
| S1 | 5 | Tween® 80 | 4:1 | 88.7 ± 1.31 | 465.7 ± 11.45 | −23.5 ± 1.03 | 0.441 ± 0.12 |
| S2 | 10 | Pluronic F127 | 3:2 | 45.8 ± 2.37 | 773.4 ± 15.46 | −28.2 ± 0.74 | 0.627 ± 0.02 |
| S3 | 5 | Tween® 80 | 3:2 | 72.8 ± 1.76 | 493.5 ± 14.32 | −22.5 ± 2.31 | 0.573 ± 0.06 |
| S4 | 7.5 | Tween® 80 | 3:2 | 68.3 ± 3.57 | 460.2 ± 8.56 | −26.2 ± 1.76 | 0.351 ± 0.14 |
| S5 | 5 | Pluronic F127 | 4:1 | 63.5 ± 1.89 | 621.6 ± 22.47 | −24.3 ± 1.45 | 0.432 ± 0.15 |
| S6 | 7.5 | Pluronic F127 | 3:2 | 47.3 ± 2.67 | 794.3 ± 13.45 | −25.4 ± 0.83 | 0.631 ± 0.05 |
| S7 | 5 | Pluronic F127 | 3:2 | 52.3 ± 2.58 | 832.2 ± 23.34 | −22.4 ± 1.48 | 0.507 ± 0.12 |
| S8 | 7.5 | Pluronic F127 | 4:1 | 56.2 ± 2.54 | 592.4 ± 21.76 | −29.3 ± 2.43 | 0.235 ± 0.10 |
| S9 | 7.5 | Tween® 80 | 4:1 | 83.1 ± 1.45 | 402.6 ± 16.54 | −24.6 ± 1.98 | 0.436 ± 0.09 |
| S10 | 7.5 | Pluronic F127 | 4:1 | 54.5 ± 1.96 | 589.3 ± 18.43 | −30.2 ± 2.45 | 0.602 ± 0.11 |
| S11 | 10 | Pluronic F127 | 4:1 | 54.7 ± 2.03 | 579.4 ± 25.43 | −33.2 ± 1.73 | 0.648 ± 0.07 |
| S12 | 10 | Tween® 80 | 3:2 | 65.7 ± 1.94 | 441.3 ± 17.65 | −32.8 ± 2.45 | 0.553 ± 0.1 |
| S13 | 10 | Tween® 80 | 4:1 | 81.5 ± 2.57 | 388 ± 8.93 | −29.6 ± 1.85 | 0.474 ± 0.2 |
| Model Name | Chitosan-Coated NSPs | |
|---|---|---|
| R2 | Slope | |
| Zero order | 0.8655 | 17.179 |
| First order | 0.9174 | 0.0988 |
| Higuchi | 0.9472 | 32.744 |
| Parameter | Initial Values | After Storage at 4 °C | After Storage at 37 °C |
|---|---|---|---|
| EE% | 86.5 ± 2.35 | 85.2 ± 1.56 | 83.8 ± 1.22 |
| Vesicles’ size | 395.4 ± 10.43 | 401.2 ± 6.45 | 405.3 ± 8.65 |
| Zeta potential | 33.2 ± 2.23 | 32.8 ± 1.24 | 31.7 ± 2.01 |
| % Drug release | 80.38 ± 3.24 | 78.5 ± 2.37 | 75.6 ± 3.57 |
Publisher’s Note: MDPI stays neutral with regard to jurisdictional claims in published maps and institutional affiliations. |
© 2022 by the authors. Licensee MDPI, Basel, Switzerland. This article is an open access article distributed under the terms and conditions of the Creative Commons Attribution (CC BY) license (https://creativecommons.org/licenses/by/4.0/).
Share and Cite
Zaki, R.M.; Alfadhel, M.M.; Alshahrani, S.M.; Alsaqr, A.; Al-Kharashi, L.A.; Anwer, M.K. Formulation of Chitosan-Coated Brigatinib Nanospanlastics: Optimization, Characterization, Stability Assessment and In-Vitro Cytotoxicity Activity against H-1975 Cell Lines. Pharmaceuticals 2022, 15, 348. https://doi.org/10.3390/ph15030348
Zaki RM, Alfadhel MM, Alshahrani SM, Alsaqr A, Al-Kharashi LA, Anwer MK. Formulation of Chitosan-Coated Brigatinib Nanospanlastics: Optimization, Characterization, Stability Assessment and In-Vitro Cytotoxicity Activity against H-1975 Cell Lines. Pharmaceuticals. 2022; 15(3):348. https://doi.org/10.3390/ph15030348
Chicago/Turabian StyleZaki, Randa Mohammed, Munerah M. Alfadhel, Saad M. Alshahrani, Ahmed Alsaqr, Layla A. Al-Kharashi, and Md Khalid Anwer. 2022. "Formulation of Chitosan-Coated Brigatinib Nanospanlastics: Optimization, Characterization, Stability Assessment and In-Vitro Cytotoxicity Activity against H-1975 Cell Lines" Pharmaceuticals 15, no. 3: 348. https://doi.org/10.3390/ph15030348
APA StyleZaki, R. M., Alfadhel, M. M., Alshahrani, S. M., Alsaqr, A., Al-Kharashi, L. A., & Anwer, M. K. (2022). Formulation of Chitosan-Coated Brigatinib Nanospanlastics: Optimization, Characterization, Stability Assessment and In-Vitro Cytotoxicity Activity against H-1975 Cell Lines. Pharmaceuticals, 15(3), 348. https://doi.org/10.3390/ph15030348

