Abstract
Macrocyclic lactones, particularly the avermectins, have completely revolutionized the approaches aimed at control of parasites. These avermectins are the most widely used anti-parasitic drugs in veterinary field with sales exceeding one billion US dollars annually. However, before clinical usage, their safety evaluation in the animals is a major critical factor that must be considered. Many studies have reported the negative effects of avermectins like ivermectin, abamectin, doramectin, and eprinomectin on the host animals. These harmful effects arise from avermectins targeting GABA and glutamate-gated chloride channels present both in the parasites and the host animals. In this review, various modes of avermectins action along with the negative effects on the host like nephrotoxicity, hepatotoxicity, neurotoxicity, reproductive toxicity, and endocrine disruption were discussed in detail. Furthermore, other important issues like ecotoxicity, drug resistance, and drug residues in milk associated with avermectins usage were also discussed, which need special attention.
1. Introduction
Parasitic organisms like helminths, insects, and arachnids pose a serious threat to the welfare of both humans and animals [1,2,3,4,5]. There exists a significant host-parasite specificity with the parasites getting their metabolic and physiological needs from their hosts [3]. They not only cause diseases, but also result in huge economic losses in terms of reduced productivity and retarded growth in their hosts, thus emphasizing the need for control of these parasites using novel approaches [6,7]. Basically, there are two approaches aimed at control of parasites including either the use of synthetic molecules or the use of natural products [3].
The chemical and structural diversity of natural products has always revolutionized the biological field with the discovery of new drugs [8]. For example, the discovery of avermectins, a group of macrocyclic lactones, in 1976 in Japan changed the concept of parasite control [9,10]. These avermectins are produced by fermentation of Streptomyces avermitilis, and possess broad-spectrum activities against insects, arachnids, and nematodes [11,12,13,14]. They are used extensively in the veterinary field and their annual sales exceeded one billion US dollars in past two decades [10]. One of the main reasons behind their extensive use is their availability in tablets/bolus, drench/syrup, and sometimes injection forms.
Avermectins, termed as endectocides, are recommended for use in many animal species like sheep, goat, cattle, horses, cats, and dogs for control of both internal and external parasites [15,16,17,18,19]. However, the assessment of possible drug toxicity in animals is an important aspect when using drugs for control of parasites, particularly in food animals. In April, 1999, the Safety Working Group of Veterinary International Conference on Harmonisation agreed that the evaluation of veterinary drugs for their safety in food animals is an important endpoint for toxicity studies [20].
Besides the veterinary use, avermectins also find a crucial role in human medicine. Among the avermectins family, ivermectin is currently the only drug which is licensed for use in humans [4]. It is used to treat health conditions like onchocerciasis, strongyloidiasis, lymphatic filariasis, and crusted scabies [10,21,22,23]. As far as the toxicity is concerned in humans, ivermectin damages the macrophages and interacts with liver cytochrome P450 enzymes, thus producing immunotoxicity and hepatotoxicity [24,25]. Other clinical signs observed in patients receiving ivermectin therapy may include pruritis, malaise, skin edema, hypotension, headache, and dyspnea [21].
Various studies have also indicated the avermectins to have toxic effects on animals [26,27,28,29]. For example, collie dogs experiencing severe illness presented to the clinic were found to be suffering from ivermectin toxicity [30]. Similarly, the therapeutic dose of ivermectin in adult rats was found to impair neurochemical and behavioural attitudes [17]. Other studies conducted on cows indicated therapeutic doses of ivermectin to induce hormonal changes, ultimately affecting the reproductive cycle of cows [31,32]. Other studies have also revealed the administration of avermectins even at therapeutic doses to cause reproductive, hepato-renal, sexual, and behavioural abnormalities in animals [17,33,34]. In mammals, these drugs are even more harmful at the juvenile stage as compared with the adult stage because juveniles are still undergoing the stages of physical development. Additionally, the metabolic rates of these drugs are different in juveniles as compared with adults, making the juveniles more prone to rapid toxicity [17]. Moreover, the molecular pathways leading to the idiosyncratic behaviour of avermectins are still ambiguous. In this review, the details of avermectins toxicity were described along with their possible modes of action.
2. Avermectins
Avermectins are the group of 16 distinct chemical compounds that belong to the drug category of macrocyclic lactones and which have well established insecticidal, acaricidal, and nematicidal activities [11,12,13,14]. These are originally produced by soil dwelling gram-positive bacterium of group actinomycetes, Streptomyces avermitilis, through the process of fermentation [35,36,37,38]. Macrocyclic backbone is the main component of avermectins to which a hexahydrobenzofuran and a spiroketal agent are attached [11]. At the C-13 position, the avermectins possess a bisoleandrosyloxy group as the main identification point [11,13,36]. There are eight different components classified into two main groups A and B (A1a, A2a, A1b, A2b, B1a, B2a, B1b, and B2b) which are yielded by bacterium Streptomyces avermitilis. The A and B components vary only with respect to the presence of either methoxy or hydroxy groups at the C-5 position respectively. The general structure of avermectins described by various scientists is elaborated by Figure 1 [12,35,39].
Figure 1.
General structural outline of avermectins.
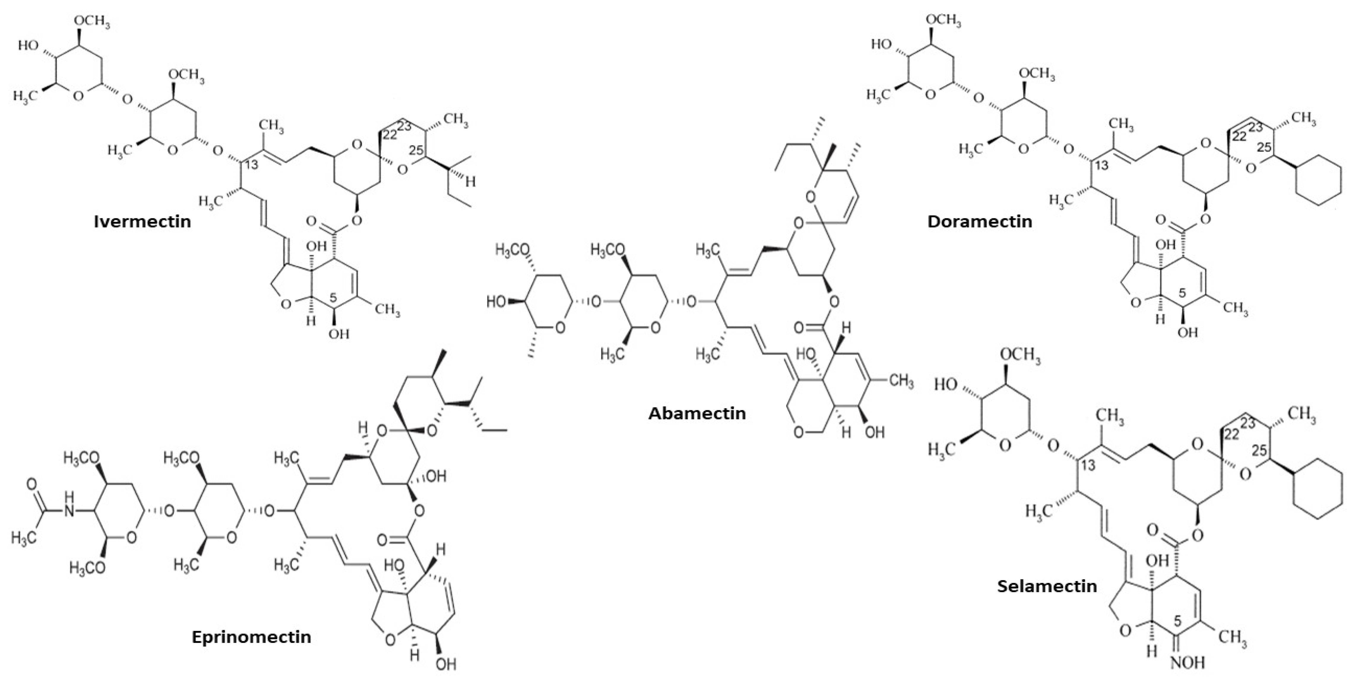
Examples of avermectins include ivermectin, abamectin, doramectin, eprinomectin, and selamectin [11,13,15,23,36,38,40]. The chemical structures of these compounds as taken from various sources [15,40] are shown in Figure 2.
Figure 2.
Chemical structure of various avermectins.
2.1. Mode of Avermectins Action against Parasites
Avermectins, regarded as potential neurotoxins, target the gamma aminobutyric acid (GABA) receptors and the glutamate gated chloride ion channels (GluCl) which are concerned with neurotransmission in parasites [10,17,41]. GABA, a neurotransmitter, causes opening of the chloride ion channels of the organism resulting in the influx of chloride ions. Avermectins act as agonists of chloride channels and cause changes in permeability of these channels, thus resulting in neurotransmission disturbance [13,36,42,43,44]. This disturbance induces neuronal membrane hyperpolarization, paralysis, and ultimately the death of the parasite. The GABA receptors in the mammals are found only in the brain, which is shielded by the blood-brain barrier. Avermectins cannot cross this protective barrier, thus making the avermectins relatively safe in mammals [10,13,17,45]. This mode of action is briefly summarized in Figure 3.
Figure 3.
Mode of action of avermectins.
2.2. Toxicity Studies
The avermectins are potent antiparasitic drugs which may pose a serious toxicity threat to animals. By damaging the various organs of the body, these may even lead to death of animals, as seen in various cases [27,46,47,48]. These damaging effects are seen in dose-dependent and dose-time dependent manners [49,50]. The reason is that avermectins are lipophilic and, hence, tend to accumulate in fatty tissues and the liver where they induce oxidative stress leading to tissue damage through lipid peroxidation [51]. The other important factor is the breed susceptibility. In different animals, the same doses may be damaging. Additionally, some animals like dogs and rats are deficient in P-glycoprotein, which acts as an efflux pump against avermectins, thus increasing their vulnerability to the negative effects of avermectins [30,52]. In toxicity analysis, a combined evaluation of various biochemical parameters provides better identification of the organ being damaged by the drug under investigation. A detailed review of various toxicity studies is described below.
2.3. Nephrotoxicity
The evaluation of serum creatinine and the blood urea levels post-administration of drugs provides a good overview for nephrotoxicity analysis [46]. Various studies conducted on avermectins (mainly the ivermectin and the abamectin) have proven these drugs to induce nephrotoxicity in many animals like mice, bats, rabbits, and rats [28,34,53,54,55,56]. The main molecular mechanism through which avermectins exert their nephrotoxic effect is the lipid peroxidation which results from the action of reactive oxygen species [51]. This oxidative damage results in histopathological changes like interstitial nephritis, glomerular damage, interstitial infiltration areas of round cells, and tubular necrosis as well as elevated levels of serum creatinine, urea, and the uric acid in the blood [46,57,58]. For example, ivermectin causes nephrotoxicity through elevated levels of creatinine and decreased protein synthesis and glucose levels in pigs and dogs [59,60]. Various other reports of avermectins causing nephrotoxicity are summarized in the Table 1.
Table 1.
Nephrotoxic avermectins along with dose, animal, and outcome.
2.4. Hepatotoxicity
The liver is the main organ that catabolizes and neutralizes most toxins and drugs present in the body [66]. These drugs or toxins may induce hepatic injury, which can escalate into complete hepatic failure and even death of the animal may also occur [67]. Avermectins are highly lipophilic with the highest concentration found in the liver of animals post-administration regardless of the administration route [68,69,70]. They cause hepatotoxicity by affecting the liver enzymes, altering the mitochondrial bioenergetics of hepatocytes, inducing oxidative stress, and enhancing the autophagy in the liver tissues of the treated animals [65,66,71,72,73,74]. Various histopathological changes are also observed like dilated blood vessels, infiltration of leucocytes, and hepatocytes degeneration [75]. As a repairing process, autophagy clears the damaged organelles and proteins produced as a result of hepatocytes damage. For example, avermectins administration in pigeons at different concentrations induced hepatotoxicity and increased the apoptosis in a dose dependent manner [74]. Similarly, other hepatotoxic reports of avermectins are compiled in Table 2.
Table 2.
Hepatotoxic avermectins along with dose, animal, and Outcome.
2.5. Neurotoxicity
Generally, the use of avermectins in animals has a wide safety margin as far as the nervous system is concerned [77,78]. This is due to the P-glycoprotein associated with the blood-brain barrier that prevents the avermectins from exerting their neurotoxic effects by inhibiting their penetration in the brain [78,79]. P-glycoprotein is responsible for multi-drug resistance and uses avermectins as substrate [77,80]. Thus, the P-glycoprotein expression is linked with the neurotoxicity of avermectins in animals like rats and dogs, which are somewhat deficient in P-glycoprotein [30,81]. The avermectins exhibit nervous effects by damaging the cerebral cortex and inducing diffused cerebellar dysfunction [79]. They do so by modulating the binding of GABA and benzodiazepine receptors, affecting the chloride channels and targeting the Cys-loop receptors of the mammalian brain [39,82,83]. Various signs observed in neurotoxicity studies are depression, tremors, salivation, ataxia, convulsions, mydriasis, coma, and ultimately death in animals like dogs, cattle, and lions, etc. [77,78,79,84]. Neurotoxic effects produced by various avermectins are described in Table 3.
Table 3.
Neurotoxic avermectins along with dose, animal and outcome.
2.6. Reproductive Toxicity
There are reports of avermectins negatively affecting the reproductive system of the animals [34,46]. As discussed earlier, avermectins induce neurotoxicity by damaging the brain, which is responsible for production of reproductive hormones; therefore, they indirectly affect the reproductive system of animals as well [63,89]. In males, avermectins cause testicular damage, thereby affecting the sperm count as well as the sperm motility [63,90]. The avermectins, by crossing the blood-testes barrier, reach the germ cells of the seminiferous tubules, causing a reduced meiotic index that ultimately results in decreased sperm count [63,91]. The targeting of the brain and the testes by avermectins results in sexual behavioural changes as well as impaired hormones production [92,93]. Likewise, avermectins also target the female reproductive organs, producing deleterious effects like degenerated and hemorrhagic reproductive organs, degenerated ova, and atritic follicles [62]. They have the potential of crossing the placental barrier and are also passed in milk during lactation and produce developmental anomalies in offspring at high doses [94,95]. Various reports of avermectins causing reproductive toxicity are summarized in Table 4.
Table 4.
Reprotoxic avermectins along with dose, animal, and outcome.
2.7. Endocrine Disruption
The organisms administered sub-lethal doses of a drug may experience different side effects including the endocrine disruption [96]. These are the endocrine glands which produce hormones responsible for metabolism, growth, and development of cells. Thus, any disruption in the endocrine system will have a negative impact on the organism [97]. At present, there is limited research available describing the role of avermectins as endocrine disruptors. Additionally, there are different gaps regarding mammalian endocrinal toxicology which are not properly addressed [98]. Among the avermectins, ivermectin and abamectin are investigated as endocrine disruptors. Sexual maturation in Holstein heifers was advanced by 3.5 months following continuous ivermectin administration from birth till puberty. This early maturity may be associated with the elevated levels of insulin-like growth factor and luteinizing hormone [31]. In Baladi cows, the injection of a therapeutic dose (0.2mg/Kg) of ivermectin one day post-parturition caused 3 months delay in estrous. It caused disturbances in the levels of luteinizing hormone, follicle-stimulating hormone, cortisol, estradiol, progesterone, and prolactin [32]. Similarly, ivermectin was also shown to suppress the sexual behavior in estradiol treated female rats at therapeutic dose [99]. In another study where the male albino rats were exposed to sublethal dose of abamectin, significant alterations in sex hormones as well as the thyroid hormones were observed [97,100,101]. Likewise in humans, abamectin is placed under the category which is more likely to cause endocrine disruption according to the joint UK-German document [102].
The toxic effects of avermectins in animals discussed above can be briefly described, as in Figure 4.
Figure 4.
Description of avermectins-induced toxicity.
3. Missing Gaps and the Future Perspective
3.1. Milk Residues
The lipophilic drugs in plasma easily cross the epithelial barrier of mammary glands and concentrate in the milk. The same is true with the avermectins which are highly lipophilic in nature and, hence, diffuse readily in milk [23,103]. This lipophilicity can be estimated from concentration ratio of drugs in milk vs. plasma. The greater the value, the higher the lipophilicity of the drug. In various reports, ivermectin and abamectin were shown to have concentration values close to 1 and 0.2 respectively in the experimental animals, showing abamectin to be relatively safe in view of milk residues [104,105]. The milk with drug residues is fit neither for human consumption nor for animals’ offspring. So, there is a need for either the discovery of new, safe drugs or the development of a new administration technique that minimizes the milk residues and the milk-rejection period.
3.2. Resistance
Avermectins have been used in animals as mass drug administration strategy (MDA) with the purposes of treatment and prophylaxis from parasitic diseases. However, this extensive application of the drugs has led to rapid selection and resistance in the parasites which can survive the drug administration [37]. Various studies have shown the resistance to be associated with genetic mutations but the main mechanism of development of resistance is yet not known [37,106]. Some of the techniques like genetic crossing and genome-wide sequencing may help us better understand the mechanism of resistance development towards avermectins [107,108,109]. Apart from understanding the resistance development mechanism, there is need to develop integrated approaches using various options for control of parasites [37,106].
3.3. Ecotoxicity
Administration of avermectins in animals results in their excretion of faeces, thus posing an impact on the biological processes of nature [110]. The non-specificity of avermectins in their action leads them to exert their deleterious effect not only on the parasites but also on the non-parasitic species found in the ecosystem like dung beetles. These non-parasitic environmental organisms may have an important role in food webs like nutrient recycling in the environment and organic matter decomposition [110]. The sustained slow-release strategy for avermectins poses an even greater threat to the ecosystem [111]. The avermectins are somewhat resistant to environmental degradation and, thus, tend to accumulate in the environment [112]. For example, there are reports of a direct relationship between the dung beetle population in the field and the concentration of avermectins in dung [13,113]. It is important to highlight the potential effects of un-controlled and over the label use of Avermectins in animals and humans. The magnitude of resistance may further be amplified due to the residues of avermectin drugs in the environment. Therefore, there is a need to adopt some comprehensive strategy for the use of avermectins in animals to protect the environment from their toxic effects.
4. Materials and Methods
We performed a systematic review of the scientific literature using the Web of Science, PubMed, and Google Scholar databases through multiple combinations of Avermectins terms with “Toxicity”, “Animals”, “Parasite”, and “Safety”. We limited the search to studies in various types of toxicity (Nephrotoxicity, Hepatotoxicity, Neurotoxicity, Reproductive Toxicity). We obtained over 500 articles that were analyzed and subsequently those that corresponded to the objectives of this study were selected. Following this criterion, we chose and used 113 articles as a reference for this review.
5. Conclusions
The avermectins, owing to their broad spectrum of action, find a crucial role in parasitic control practices with huge sales of these products throughout the world. However, the side effects linked with their usage puts emphasis on a comprehensive approach towards understanding all the aspects associated with them. Due to their non-target specificity, these act both on the parasites as well as the host animals to which they are administered. Nephrotoxicity, hepatotoxicity, neurotoxicity, and reproductive toxicity are the main side-effects produced by them in the host animals. Apart from these effects, these compounds also pose a major threat to the ecosystem and the food web with additional risk of resistance development in the parasites. So, there is need for research focusing on the above-mentioned issues to overcome these major constraints of avermectins usage in animals.
Author Contributions
Conceptualization, R.Z.A. and J.L.M.; methodology, M.S.; software, K.M.; validation, A.A., T.Z. and M.F.; formal analysis, R.H.; investigation, M.S. and R.Z.A.; resources, R.Z.A. writing—original draft preparation, M.S. and R.Z.A.; writing—review and editing, J.L.M.; visualization, S.S. and B.M.; supervision, I.A. and R.Z.A.; funding acquisition, R.Z.A., S.S., B.M. and J.L.M. All authors have read and agreed to the published version of the manuscript.
Funding
The APC was funded by Dicyt, Universidad de Santiago de Chile.
Institutional Review Board Statement
Not applicable.
Informed Consent Statement
Not applicable.
Data Availability Statement
Data are contained within the article.
Conflicts of Interest
The authors declare no conflict of interest.
References
- Salman, M.; Abbas, R.Z.; Israr, M.; Abbas, A.; Mehmood, M.K.; Khan, M.K.; Shah, S. Repellent and acaricidal activity of essential oils and their components against Rhipicephalus ticks in cattle. Vet. Parasitol. 2020, 283, 109178. [Google Scholar] [CrossRef] [PubMed]
- Ali, S.; Ijaz, M.; Ghaffar, A.; Oneeb, M.; Masud, A.; Durrani, A.Z.; Rashid, M.I. Species distribution and seasonal dynamics of equine tick infestation in two subtropical climate niches in Punjab, Pakistan. Pak. Vet. J. 2020, 40, 25–30. [Google Scholar]
- Jayawardene, K.L.T.; Palombo, E.A.; Boag, P.R. Natural Products Are a Promising Source for Anthelmintic Drug Discovery. Biomolecules 2021, 11, 1457. [Google Scholar] [CrossRef] [PubMed]
- Wolstenholme, A.J.; Neveu, C. The avermectin/milbemycin receptors of parasitic nematodes. Pestic. Biochem. Physiol. 2021, 181, 105010. [Google Scholar] [CrossRef] [PubMed]
- Alkenani, N.A.; Ahmed, M.M.M.; Al-Solami, H.M.; Anwar, Y.; Alghamdi, K.M.; Ahmad, M.S. Molecular Identification and bio-control of Mosquitoes using Black seeds extract in Jeddah. Pak. Vet. J. 2021, 41, 359–364. [Google Scholar] [CrossRef]
- Baz, M.M.; Hegazy, M.M.; Khater, H.F.; El-Sayed, Y.A. Comparative Evaluation of Five Oil-Resin Plant Extracts against The Mosquito Larvae, Culex pipiens Say (Diptera: Culicidae). Pak. Vet. J. 2021, 41, 191–196. [Google Scholar] [CrossRef]
- Abbas, R.Z.; Zaman, M.A.; Sindhu, D.; Sharif, M.; Rafique, A.; Saeed, Z.; Ahmad, M. Anthelmintic Effects and Toxicity Analysis of Herbal Dewormer against the Infection of Haemonchus contortus and Fasciola hepatica in Goat. Pak. Vet. J. 2020, 40, 455–460. [Google Scholar] [CrossRef]
- Štrbac, F.; Bosco, A.; Amadesi, A.; Rinaldi, L.; Stojanović, D.; Simin, N.; Ratajac, R. Ovicidal Potential of Five Different Essential Oils to Control Gastrointestinal Nematodes of Sheep. Pak. Vet. J. 2021, 41, 353–358. [Google Scholar] [CrossRef]
- Lasota, J.A.; Dybas, R.A. Avermectins, a novel class of compounds: Implications for use in arthropod pest control. Annu. Rev. Entomol. 1991, 36, 91–117. [Google Scholar] [CrossRef]
- Crump, A.; Omura, S. Ivermectin, “wonder drug” from Japan: The human use perspective. Proc. Jpn. Acad. Ser. B 2011, 87, 13–28. [Google Scholar] [CrossRef] [Green Version]
- Shoop, W.L.; Mrozik, H.; Fisher, M.H. Structure and activity of avermectins and milbemycins in animal health. Vet. Parasitol. 1995, 59, 139–156. [Google Scholar] [CrossRef]
- Pitterna, T.; Cassayre, J.; Huter, O.F.; Jung, P.M.; Maienfisch, P.; Kessabi, F.M.; Quaranta, L.; Tobler, H. New ventures in the chemistry of avermectins. Bioorg. Med. Chem. 2009, 17, 4085–4095. [Google Scholar] [CrossRef] [PubMed]
- Lumaret, J.P.; Errouissi, F.; Floate, K.; Rombke, J.; Wardhaugh, K. A review on the toxicity and non-target effects of macrocyclic lactones in terrestrial and aquatic environments. Curr. Pharm. Biotechnol. 2012, 13, 1004–1060. [Google Scholar] [CrossRef] [PubMed] [Green Version]
- Thuan, N.H.; Pandey, R.P.; Sohng, J.K. Recent advances in biochemistry and biotechnological synthesis of avermectins and their derivatives. Appl. Microbiol. Biotechnol. 2014, 98, 7747–7759. [Google Scholar] [CrossRef] [PubMed]
- Bishop, B.F.; Bruce, C.I.; Evans, N.A.; Goudie, A.C.; Gration, K.A.F.; Gibson, S.P.; Pacey, M.S.; Perry, D.A.; Walshe, N.D.A.; Witty, M.J. Selamectin: A novel broad-spectrum endectocide for dogs and cats. Vet. Parasitol. 2000, 91, 163–176. [Google Scholar] [CrossRef]
- Kose, L.P.; Gulçin, I.; Ozdemir, H.; Atasever, A.; Alwasel, S.H.; Supuran, C.T. The effects of some avermectins on bovine carbonic anhydrase enzyme. J. Enzyme Inhib. Med. Chem. 2016, 31, 773–778. [Google Scholar] [CrossRef] [Green Version]
- Parisi, D.P.; Santos, S.A.; Cabral, D.; Queiroz-Hazarbassanov, N.; Florio, J.C.; Bernardi, M.M.; Kirsten, T.B. Therapeutical doses of ivermectin and its association with stress disrupt motor and social behaviors of juvenile rats and serotonergic and dopaminergic systems. Res. Vet. Sci. 2019, 124, 149–157. [Google Scholar] [CrossRef]
- Bordes, L.; Dumont, N.; Lespine, A.; Souil, E.; Sutra, J.F.; Preévot, F.; Grisez, C.; Romanos, L.; Dailledouze, A.; Jacquiet, P. First report of multiple resistance to eprinomectin and benzimidazole in Haemonchus contortus on a dairy goat farm in France. Parasitol. Int. 2020, 76, 102063. [Google Scholar] [CrossRef]
- Ahmed, A.E.; Al-Kahtani, M.A.; Khalil, A.M.; Alshehri, A.S.; Elghoneimy, A.A.; Elbehairi, S.E.I.; Alfaifi, M.Y.; Shati, A.A.; Morsy, K.S.; Alshehri, M.A.; et al. Co-administration of vitamin E and selenium in vivo and in vitro ameliorates the toxic effects caused by ivermection and doramectin. Vet. Med. 2020, 65, 71–83. [Google Scholar] [CrossRef]
- Hurtt, M.E.; Cappon, G.D.; Browning, A. Proposal for a tiered approach to developmental toxicity testing for veterinary pharmaceutical products for food-producing animals. Food Chem. Toxicol. 2003, 41, 611–619. [Google Scholar] [CrossRef]
- Chung, K.; Yang, C.C.; Wu, M.L.; Deng, J.F.; Tsai, W.J. Agricultural avermectins: An uncommon but potentially fatal cause of pesticide poisoning. Ann. Emerg. Med. 1999, 34, 51–57. [Google Scholar] [CrossRef]
- Gonzalez, P.; González, F.; Ueno, K. Ivermectin in human medicine, an overview of the current status of its clinical applications. Curr. Pharm. Biotechnol. 2012, 13, 1103–1109. [Google Scholar] [CrossRef] [PubMed]
- El-Saber Batiha, G.; Alqahtani, A.; Ilesanmi, O.B.; Saati, A.A.; El-Mleeh, A.; Hetta, H.F.; Magdy Beshbishy, A. Avermectin derivatives, pharmacokinetics, therapeutic and toxic dosages, mechanism of action, and their biological effects. Pharmaceuticals 2020, 13, 196. [Google Scholar] [CrossRef]
- Rendic, S.P. Metabolism and interactions of Ivermectin with human cytochrome P450 enzymes and drug transporters, possible adverse and toxic effects. Arch. Toxicol. 2021, 95, 1535–1546. [Google Scholar] [CrossRef]
- Zhang, P.; Li, Y.; Xu, W.; Cheng, J.; Zhang, C.; Gao, J.; Zhang, Y. Immunotoxicity induced by Ivermectin is associated with NF-κB signaling pathway on macrophages. Chemosphere 2022, 289, 133087. [Google Scholar] [CrossRef] [PubMed]
- Yas-Natan, E.; Shamir, M.; Kleinbart, S.; Aroch, I. Doramectin toxicity in a collie. Vet. Rec. 2003, 153, 718. [Google Scholar] [PubMed]
- Lobetti, R.G.; Caldwell, P. Doramectin toxicity in a group of lions (Panthera leo). J. S. Afr. Vet. Assoc. 2012, 83, 89–92. [Google Scholar] [CrossRef] [Green Version]
- El Maghraby, M.M.; El Maghraby, N.M.; Salama, A.A.; Abdlmonem, A.S.; Authman, E.A.; Abdelmohsen, E.A.; ElTras, M.A.-E.; Barseem, O.N.; Awad, S.R.; Matter, A.A.; et al. Protective effects of vitamin E and grape seed oil against acute hepatorenal ivermectin toxicity in mice: Biochemical and histopathological studies. GSC Biol. Pharm. Sci. 2019, 7, 87–94. [Google Scholar] [CrossRef]
- Guizelini, C.C.; Pupin, R.C.; Möck, T.B.M.; Morais, D.R.; Arredondo, J.A.C.; Robalinho, L.L.; Gimelli, A.; de Lemos, R.A.A. Approaches for a field diagnosis of abamectin poisoning in calves. Pesqui. Vet. Bras. 2020, 40, 155–157. [Google Scholar] [CrossRef]
- Hopper, K.; Aldrich, J.; Haskins, S.C. Ivermectin toxicity in 17 collies. J. Vet. Intern. Med. 2002, 16, 89–94. [Google Scholar] [CrossRef]
- Lacau-Mengido, I.M.; Mejía, M.E.; Díaz-Torga, G.S.; Iglesias, A.G.; Formía, N.; Libertun, C.; Becú-Villalobos, D. Endocrine studies in ivermectin-treated heifers from birth to puberty. J. Anim. Sci. 2000, 78, 817–824. [Google Scholar] [CrossRef] [PubMed]
- Sadek, K.M.; Shaheen, H.M. The biochemical effects of ivermectin on reproductive hormones and mineral homeostasis in Baladi cows post parturition. Vet. Arh. 2015, 85, 95–103. [Google Scholar]
- Nicolas, P.; Maia, M.F.; Bassat, Q.; Kobylinski, K.C.; Monteiro, W.; Rabinovich, N.R.; Menéndez, C.; Bardají, A.; Chaccour, C. Safety of oral ivermectin during pregnancy: A systematic review and meta-analysis. Lancet Glob. Health 2020, 8, e92–e100. [Google Scholar] [CrossRef] [Green Version]
- Ahmed, A.E.; Alshehri, A.; Al-Kahtani, M.A.; Elbehairi, S.E.I.; Alshehri, M.A.; Shati, A.A.; Alfaifi, M.Y.; Al-Doaiss, A.A.; Taha, R.; Morsy, K.; et al. Vitamin E and selenium administration synergistically mitigates ivermectin and doramectin-induced testicular dysfunction in male Wistar albino rats. Biomed. Pharmacother. 2020, 124, 109841. [Google Scholar] [CrossRef]
- Ikeda, H.; Omura, S. Avermectin biosynthesis. Chem. Rev. 1997, 97, 2591–2610. [Google Scholar] [CrossRef]
- Bai, S.H.; Ogbourne, S. Eco-toxicological effects of the avermectin family with a focus on abamectin and ivermectin. Chemosphere 2016, 154, 204–214. [Google Scholar] [CrossRef]
- Laing, R.; Gillan, V.; Devaney, E. Ivermectin–old drug, new tricks? Trends Parasitol. 2017, 33, 463–472. [Google Scholar] [CrossRef] [Green Version]
- Khalil, M.S.; Darwesh, D.M. Avermectins: The promising solution to control plant parasitic nematodes. J. Plant Sci. Phytopathol. 2019, 3, 81–85. [Google Scholar] [CrossRef] [Green Version]
- Lynagh, T.; Lynch, J.W. Ivermectin binding sites in human and invertebrate Cys-loop receptors. Trends Pharmacol. Sci. 2012, 33, 432–441. [Google Scholar] [CrossRef] [Green Version]
- Caglayan, C.; Gulcin, I. The toxicological effects of some avermectins on goat liver carbonic anhydrase enzyme. J. Biochem. Mol. Toxicol. 2018, 32, 22010. [Google Scholar] [CrossRef]
- Abongwa, M.; Martin, R.J.; Robertson, A.P. A brief review on the mode of action of antinematodal drugs. Acta Vet. 2017, 67, 137–152. [Google Scholar] [CrossRef] [PubMed] [Green Version]
- Barragry, T.B. A review of the pharmacology and clinical uses of ivermectin. Can. Vet. J. 1987, 28, 512. [Google Scholar] [PubMed]
- Martin, R.J. Modes of action of anthelmintic drugs. Vet. J. 1997, 154, 11–34. [Google Scholar] [CrossRef]
- Ashour, D.S. Ivermectin: From theory to clinical application. Int. J. Antimicrob. Agents 2019, 54, 134–142. [Google Scholar] [CrossRef] [PubMed]
- Omura, S. A splendid gift from the earth: The origins and impact of the avermectins (Nobel Lecture). Angew. Chem. Int. 2016, 55, 10190–10209. [Google Scholar] [CrossRef] [PubMed]
- Abd-Elhady, H.K.; Abou-Elghar, G.E. Abamectin induced biochemical and histopathological changes in the albino rat, Rattus norvegicus. J. Plant Prot. Res. 2013, 53, 263–270. [Google Scholar] [CrossRef]
- Rodrigues, D.d.C.; Buzullini, C.; Pereira, T.A.; Curz, B.C.; Gomes, L.V.C.; Soares, V.E.; Bastos, T.S.A.; Couto, L.F.M.; Lopes, W.D.Z.; de Oliveira, G.P.; et al. Avermectin toxicity in bovines less than thirty days old. Res. Vet. Sci. 2018, 118, 403–412. [Google Scholar] [CrossRef] [Green Version]
- Perez-Cogollo, L.C.; Rodriguez-Vivas, R.I.; Basto-Estrella, G.S.; Reyes-Novelo, E.; Martinez-Morales, I.; Ojeda-Chi, M.M.; Favila, M.E. Toxicidad y efectos adversos de las lactonas macrocíclicas sobre los escarabajos estercoleros: Una revisión. Rev. Mex. Biodiv. 2018, 89, 1293–1314. [Google Scholar] [CrossRef] [Green Version]
- Trailović, S.M.; Nedeljković, J.T. Central and peripheral neurotoxic effects of ivermectin in rats. J. Vet. Med. Sci. 2011, 73, 591. [Google Scholar] [CrossRef] [Green Version]
- Li, M.; You, T.Z.; Zhu, W.J.; Qu, J.P.; Liu, C.; Zhao, B.; Li, S. Antioxidant response and histopathological changes in brain tissue of pigeon exposed to avermectin. Ecotoxicology 2013, 22, 1241–1254. [Google Scholar] [CrossRef]
- Nasr, H.M.; El-Demerdash, F.M.; El-Nagar, W.A. Neuro and renal toxicity induced by chlorpyrifos and abamectin in rats. Environ. Sci. Pollut. Res. 2016, 23, 1852–1859. [Google Scholar] [CrossRef] [PubMed]
- Lankas, G.R.; Wise, L.D.; Cartwright, M.E.; Pippert, T.; Umbenhauer, D.R. Placental P-glycoprotein deficiency enhances susceptibility to chemically induced birth defects in mice. Reprod. Toxicol. 1998, 12, 457–463. [Google Scholar] [CrossRef]
- DeMarco, J.H.; Heard, D.J.; Fleming, G.J.; Lock, B.A.; Scase, T.J. Ivermectin toxicosis after topical administration in dog-faced fruit bats (Cynopterus brachyotis). J. Zoo Wildl. Med. 2002, 33, 147–150. [Google Scholar] [CrossRef] [PubMed]
- Al-Jassim, K.B.; Jawad, A.A.D.H.; Al-Masoudi, E.A.; Majeed, S.K. Histopathological and biochemical effects of ivermectin on kidney functions, lung and the ameliorative effects of vitamin c in rabbits (Lupus cuniculus). Basrah J. Vet. Res. 2016, 14, 110–124. [Google Scholar]
- Moqbel, F.S.; Al-Eryani, M.A.; Al Galil, F.M.A. Histopathological and biochemical effects of abamectin on kidney in male albino rats. J. Entomol. Zool. Stud. 2017, 5, 245–249. [Google Scholar]
- Abdel-Daim, M.M.; Abdellatief, S.A. Attenuating effects of caffeic acid phenethyl ester and betaine on abamectin-induced hepatotoxicity and nephrotoxicity. Environ. Sci. Pollut. Res. 2018, 25, 15909–15917. [Google Scholar] [CrossRef]
- Eissa, F.I.; Zidan, N.A. Haematological, biochemical and histopathological alterations induced by abamectin and Bacillus thuringiensis in male albino rats. Acta Biol. 2010, 61, 33–44. [Google Scholar] [CrossRef] [Green Version]
- Magdy, B.W.; Mohamed, F.E.; Amin, A.S.; Rana, S.S. Ameliorative effect of antioxidants (vitamins C and E) against abamectin toxicity in liver, kidney and testis of male albino rats. J. Basic Appl. Zool. 2016, 77, 69–82. [Google Scholar] [CrossRef] [Green Version]
- Rodrigues, M.L.R.; Mattei, R. Toxicity assessment of the antiparasitic ivermectin. Toxicity Assess. 1988, 3, 379–384. [Google Scholar] [CrossRef]
- Dey, S.; Kurade, N.P.; Khurana, K.L.; Dan, A. Clinicobiochemical changes in ivermectin toxicity in Doberman pinscher pups. J. Parasit. Dis. 2017, 41, 580–583. [Google Scholar] [CrossRef]
- Abdou, K.A.; Sharkawy, A.A. Some toxicological studies on ivermectin in goats. In Proceeding of the 20 Annual Meeting of the Egyptian Society of Toxicology, Alexandria, Egypt, 18–19 February 2004; pp. 18–19. [Google Scholar]
- GabAllh, M.S.; El-mashad, A.B.E.; Amin, A.A.; Darweish, M.M. Pathological studies on effects of ivermectin on male and female rabbits. Benha Vet. Med. J. 2017, 32, 104–112. [Google Scholar] [CrossRef]
- El-Shafey, A.A.M.; Seliem, M.M.E.; El-Mahrouky, F.; Gabr, W.M.; Kandil, R.A. Some physiological and biochemical effects of oshar extract and abamectin biocide on male albino rats. J. Am. Sci. 2011, 7, 254–261. [Google Scholar]
- Fahim, H.E.; Ahmed, O.M.; Boules, M.W.; Ahmed, H.Y. Nephrotoxic effects of abamectin and Calotropis procera latex and leaf extract in male albino rats. Am. J. Med. Med. Sci. 2016, 6, 73–86. [Google Scholar] [CrossRef]
- Zhu, W.J.; Zhang, Z.W.; Wang, X.S.; Xu, S.W.; Li, M.; Li, S. Effects of avermectin on microsomal cytochrome P450 enzymes in the liver and kidneys of pigeons. Environ. Toxicol. Pharmacol. 2014, 38, 562–569. [Google Scholar] [CrossRef] [PubMed]
- Zanoli, J.C.C.; Maioli, M.A.; Medeiros, H.C.; Mingatto, F.E. Abamectin affects the bioenergetics of liver mitochondria: A potential mechanism of hepatotoxicity. Toxicol. Vitro 2012, 26, 51–56. [Google Scholar] [CrossRef] [PubMed] [Green Version]
- Bischoff, K.; Mukai, M.; Ramaiah, S.K. Liver toxicity. In Veterinary Toxicology: Basic and Clinical Principles, 3rd ed.; Gupta, R.C., Ed.; Elsevier: Amsterdam, The Netherlands, 2018; pp. 239–257. [Google Scholar]
- Fisher, M.H.; Mrozik, H. The chemistry and pharmacology of avermectins. Annu. Rev. Pharmacol. Toxicol. 1992, 32, 537–553. [Google Scholar] [CrossRef]
- Hou, X.; Jiang, H.; Ding, S.; Zhang, S.; Li, X.; Shen, J. Multiresidue analysis of avermectins in cattle liver by liquid chromatography/tandem mass spectrometry. J. AOAC Int. 2006, 89, 1110–1115. [Google Scholar] [CrossRef] [Green Version]
- Celis-Giraldo, C.T.; Ordonez, D.; Roa, L.; Cuervo-Escobar, S.A.; Garzon-Rodriguez, D.; Alarcon-Caballero, M.; Merchan, L.F. Preliminary study of ivermectin residues in bovine livers in the Bogota Savanna. Rev. Mex. Cienc. Pecu. 2020, 11, 311–325. [Google Scholar] [CrossRef]
- Hsu, D.Z.; Hsu, C.H.; Huang, B.M.; Liu, M.Y. Abamectin effects on aspartate aminotransferase and nitric oxide in rats. Toxicology 2001, 165, 189–193. [Google Scholar] [CrossRef]
- El-Hamid, S.R.A.; Refaie, A.A. Ameliorative effect of Silybum marianum extract against avermectin induced toxicity in adult male rats. JASMR 2009, 4, 25–31. [Google Scholar]
- Zhu, W.J.; Li, M.; Liu, C.; Qu, J.P.; Min, Y.H.; Xu, S.W.; Li, S. Avermectin induced liver injury in pigeon: Mechanisms of apoptosis and oxidative stress. Ecotoxicol. Environ. Saf. 2013, 98, 74–81. [Google Scholar] [CrossRef] [PubMed]
- Wang, X.S.; Liu, C.; Khoso, P.A.; Zheng, W.; Li, M.; Li, S. Autophagy response in the liver of pigeon exposed to avermectin. Environ. Sci. Pollut. Res. 2017, 24, 12767–12777. [Google Scholar] [CrossRef] [PubMed]
- Khaldoun-Oularbi, H.; Richeval, C.; Djenas, N.; Lhermitte, M.; Humbert, L.; Baz, A. Effect of sub-acute exposure to abamectin “insecticide” on liver rats (Rattus norvegicus). Ann. Toxicol. Anal. 2013, 25, 63–70. [Google Scholar] [CrossRef] [Green Version]
- Dadarkar, S.S.; Deore, M.D.; Gatne, M.M. Comparative evaluation of acute toxicity of ivermectin by two methods after single subcutaneous administration in rats. Regul. Toxicol. Pharmacol. 2007, 47, 257–260. [Google Scholar] [CrossRef] [PubMed]
- Lankas, G.R.; Cartwright, M.E.; Umbenhauer, D. P-glycoprotein deficiency in a subpopulation of CF-1 mice enhances avermectin-induced neurotoxicity. Toxicol. Appl. Pharmacol. 1997, 143, 357–365. [Google Scholar] [CrossRef]
- Krolewiecki, A.J.; Alvarez, L.I. Ivermectin for the treatment of soil-transmitted helmithiases. Curr. Treat. Options Infect. Dis. 2019, 11, 252–266. [Google Scholar] [CrossRef]
- Bates, N. Poisons affecting the neurological system. Vet. Nurs. 2020, 11, 116–125. [Google Scholar] [CrossRef]
- Didier, A.; Loor, F. The abamectin derivative ivermectin is a potent P-glycoprotein inhibitor. Anti-Cancer Drugs 1996, 7, 745–751. [Google Scholar] [CrossRef]
- Edwards, G. Ivermectin: Does P-glycoprotein play a role in neurotoxicity? Filaria J. 2003, 2, S8. [Google Scholar] [CrossRef] [Green Version]
- Olsen, R.W.; Snowman, A.M. Avermectin B1a modulation of γ-aminobutyric acid/benzodiazepine receptor binding in mammalian brain. J. Neurochem. 1985, 44, 1074–1082. [Google Scholar] [CrossRef]
- Payne, G.T.; Soderlund, D.M. Activation of γ-aminobutyric acid insensitive chloride channels in mouse brain synaptic vesicles by avermectin B1a. J. Biochem. Toxicol. 1991, 6, 283–292. [Google Scholar] [CrossRef] [PubMed]
- Merola, V.M.; Eubig, P.A. Toxicology of avermectins and milbemycins (macrocylic lactones) and the role of P-glycoprotein in dogs and cats. Vet. Clin. N. Am. Small Anim. Pract. 2012, 42, 313–333. [Google Scholar] [CrossRef] [PubMed] [Green Version]
- Chen, L.J.; Sun, B.H.; Ping Qu, J.; Xu, S.; Li, S. Avermectin induced inflammation damage in king pigeon brain. Chemosphere 2013, 93, 2528–2534. [Google Scholar] [CrossRef] [PubMed]
- Seaman, J.T.; Eagleson, J.S.; Carrigan, M.J.; Webb, R.F. Avermectin B1 toxicity in a herd of Murray Grey cattle. Aust. Vet. J. 1987, 64, 284–285. [Google Scholar] [CrossRef] [PubMed]
- Kanungo, D.; Pfeil, R. Triforine. In Pesticide Residues in Food 2014—EVALUATIONS 2014, Proceedings of the Joint FAO/WHO Meeting on Pesticide Residues, Rome, Italy, 16–25 September 2014; FAO: Rome, Italy, 2014; pp. 451–514. [Google Scholar]
- Tranquilli, W.J.; Paul, A.J.; Todd, K.S. Assessment of toxicosis induced by high-dose administration of milbemycin oxime in collies. Am. J. Vet. Res. 1991, 52, 1170–1172. [Google Scholar]
- Laube, C.; van den Bos, W.; Fandakova, Y. The relationship between pubertal hormones and brain plasticity: Implications for cognitive training in adolescence. Dev. Cogn. Neurosci. 2020, 42, 100753. [Google Scholar] [CrossRef]
- Celik-Ozenci, C.; Tasatargil, A.; Tekcan, M.; Sati, L.; Gungor, E.; Isbir, M.; Demir, R. Effects of abamectin exposure on male fertility in rats: Potential role of oxidative stress-mediated poly (ADP-ribose) polymerase (PARP) activation. Regul. Toxicol. Pharmacol. 2011, 61, 310–317. [Google Scholar] [CrossRef]
- Dixon, R.L.; Lee, I.P. Possible role of the blood-testicular barrier in dominant lethal testing. Environ. Health Perspect. 1973, 6, 59–63. [Google Scholar] [CrossRef]
- Elbetieha, A.; Da’as, S.I. Assessment of antifertility activities of abamectin pesticide in male rats. Ecotoxicol. Environ. Saf. 2003, 55, 307–313. [Google Scholar] [CrossRef]
- Ferri, R.; Silva, A.T.; Cabral, D.; Moreira, N.; Spinosa, H.S.; Bernardi, M.M. Doramectin reduces sexual behavior and penile erection in male rats. Neurotoxicol. Teratol. 2013, 39, 63–68. [Google Scholar] [CrossRef]
- Lankas, G.R.; Gordon, L.R. Ivermectin and abamectin. Toxicology 1989, 13, 10–142. [Google Scholar]
- Chamberlain, P.L.; Fowler, B.A.; Sexton, M.J.; Peggins, J.O.; von Bredow, J. Preliminary studies of offspring exposure to phenylbutazone and ivermectin during the perinatal period in a Holstein cow–calf model. Toxicol. Appl. Pharmacol. 2003, 187, 198–208. [Google Scholar] [CrossRef]
- Sánchez-Bayo, F. Insecticides mode of action in relation to their toxicity to non-target organisms. J. Environ. Anal. Toxicol. 2012, S4, 2. [Google Scholar] [CrossRef] [Green Version]
- Nassar, A.M.K. Comparative endocrine disrupting effects of abamectin and indoxacarb insecticides. Int. J. Pharmacol. Toxicol. 2016, 4, 89–92. [Google Scholar] [CrossRef] [Green Version]
- European Food Safety Authority (EFSA). Peer review of the pesticide risk assessment of the active substance abamectin. EFSA J. 2016, 14, e04491. [Google Scholar] [CrossRef]
- Moreira, N.; Bernardi, M.M.; Spinosa, H.D.S. Ivermectin reduces sexual behavior in female rats. Neurotoxicol. Teratol. 2014, 43, 33–38. [Google Scholar] [CrossRef] [PubMed]
- Hassan, H.F.; Meligi, N.M. Effects of sublethal abamectin exposure on some hormonal profiles and testicular histopathology in male albino rats and the possible ameliorative role of Eruca sativa. Environ. Sci. Pollut. Res. 2017, 24, 24690–24697. [Google Scholar] [CrossRef] [PubMed]
- Mansour, S.A.; Abbassy, M.A.; Shaldam, H.A. Zinc ameliorate oxidative stress and hormonal disturbance induced by methomyl, abamectin, and their mixture in male rats. Toxics 2017, 5, 37. [Google Scholar] [CrossRef] [Green Version]
- Ewence, A.; Brescia, S.; Johnson, I.; Rumsby, P.C. An approach to the identification and regulation of endocrine disrupting pesticides. Food Chem. Toxicol. 2015, 78, 214–220. [Google Scholar] [CrossRef]
- Prichard, R.K.; Geary, T.G. Perspectives on the utility of moxidectin for the control of parasitic nematodes in the face of developing anthelmintic resistance. Int. J. Parasitol. Drugs Drug Resist. 2019, 10, 69–83. [Google Scholar] [CrossRef]
- Shoop, W.L.; Demontigny, P.; Fink, D.W.; Williams, J.B.; Egerton, J.R.; Mrozik, H.; Fisher, M.H.; Skelly, B.J.; Turner, M.J. Efficacy in sheep and pharmacokinetics in cattle that led to the selection of eprinomectin as a topical endectocide for cattle. Int. J. Parasitol. 1996, 26, 1227–1235. [Google Scholar] [CrossRef]
- Prichard, R.; Menez, C.; Lespine, A. Moxidectin and the avermectins: Consanguinity but not identity. Int. J. Parasitol. Drugs Drug Resist. 2012, 2, 134–153. [Google Scholar] [CrossRef] [PubMed]
- Sturgess-Osborne, C.; Burgess, S.; Mitchell, S.; Wall, R. Multiple resistance to macrocyclic lactones in the sheep scab mite Psoroptes ovis. Vet. Parasitol. 2019, 272, 79–82. [Google Scholar] [CrossRef] [PubMed]
- Redman, E.; Sargison, N.; Whitelaw, F.; Jackson, F.; Morrison, A.; Bartley, D.J.; Gilleard, J.S. Introgression of ivermectin resistance genes into a susceptible Haemonchus contortus strain by multiple backcrossing. PLoS Pathog. 2012, 8, 1002534. [Google Scholar] [CrossRef] [PubMed] [Green Version]
- Howe, K.L.; Bolt, B.J.; Cain, S.; Chan, J.; Chen, W.J.; Davis, P.; Done, J.; Down, T.; Gao, S.; Grove, C.; et al. WormBase 2016: Expanding to enable helminth genomic research. Nucleic Acids Res. 2016, 44, 774–780. [Google Scholar] [CrossRef] [Green Version]
- Laing, R.; Martinelli, A.; Tracey, A.; Holroyd, N.; Gilleard, J.S.; Cotton, J.A. Haemonchus contortus: Genome structure, organization and comparative genomics. Adv. Parasitol. 2016, 93, 569–598. [Google Scholar] [CrossRef]
- Jensen, J.; Scott-Fordsmand, J.J. Ecotoxicity of the veterinary pharmaceutical ivermectin tested in a soil multi-species (SMS) system. Environ. Pollut. 2012, 171, 133–139. [Google Scholar] [CrossRef]
- McKellar, Q.A. Ecotoxicology and residues of anthelmintic compounds. Vet. Parasitol. 1997, 72, 413–435. [Google Scholar] [CrossRef]
- Litskas, V.D.; Karamanlis, X.N.; Batzias, G.C.; Tsiouris, S.E. Are the parasiticidal avermectins resistant to dissipation in the environment? The case of eprinomectin. Environ. Int. 2013, 60, 48–55. [Google Scholar] [CrossRef]
- King, K.L. The potential for avermectins to affect the nutrient economy of grazed pastures. Vet. Parasitol. 1993, 48, 261–271. [Google Scholar] [CrossRef]
Publisher’s Note: MDPI stays neutral with regard to jurisdictional claims in published maps and institutional affiliations. |
© 2022 by the authors. Licensee MDPI, Basel, Switzerland. This article is an open access article distributed under the terms and conditions of the Creative Commons Attribution (CC BY) license (https://creativecommons.org/licenses/by/4.0/).



