Combined Effects of Methyldopa and Baicalein or Scutellaria baicalensis Roots Extract on Blood Pressure, Heart Rate, and Expression of Inflammatory and Vascular Disease-Related Factors in Spontaneously Hypertensive Pregnant Rats
Abstract
1. Introduction
2. Results
2.1. Analysis of Bioactive Compounds in the Extract
2.2. Cardiovascular Measurements
2.2.1. Morning Values of SBP, DBP, and HR
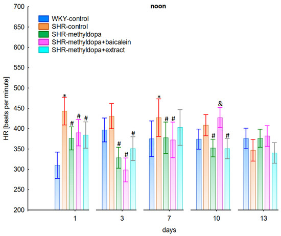
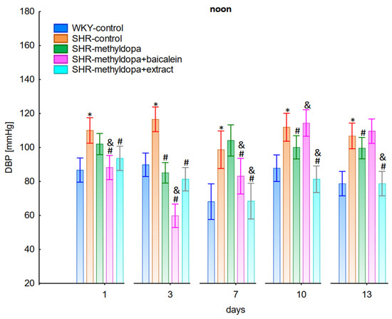
2.2.2. Noon Values of SBP, DBP, and HR
2.2.3. Evening Values of SBP, DBP, and HR
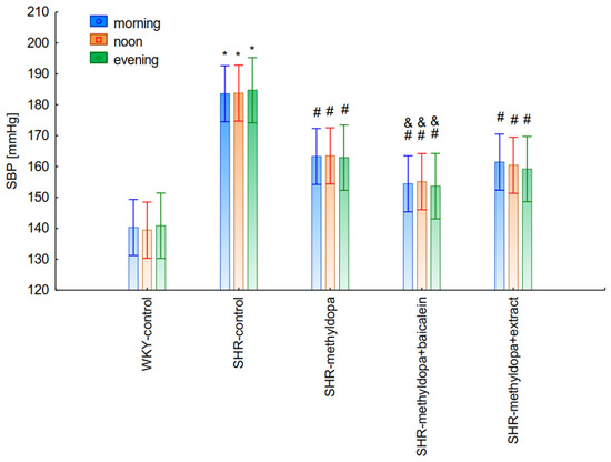
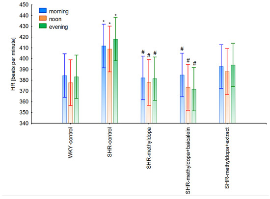
2.2.4. Comparative Analysis of the Influence of Time of Day and Duration of the Experiment
2.3. Body Mass
2.4. VEGF
2.5. HIF-1α
2.6. TGF-β
2.7. PlGF
2.8. TNF-α
2.9. IL-1β
2.10. IL-6
2.11. Myocardial Proteins
2.11.1. Creatine Kinase B-Type (CKB)
2.11.2. Creatine Kinase M-Type (CKM)
2.11.3. Myoglobin
2.11.4. Troponin T (cTnT)
2.11.5. Troponin I (cTnI)
2.11.6. Lactate Dehydrogenase A (LDH-A)
2.12. Factors Related to Oxidative Stress
2.12.1. Malonyldialdehyde Concentration (MDA)
2.12.2. Activity of Superoxide Dismutase (SOD)
3. Discussion
4. Conclusions
5. Materials and Methods
5.1. Chemicals
5.2. Plant Material
5.3. Extract from Scutellaria baicalensis Roots
5.4. Determination of Bioactive Compounds in the Extract
5.5. Animals
5.6. Animal Groups
5.7. Drug Treatment
5.8. Cardiovascular Studies
5.9. Biochemical Tests
5.9.1. Analysis of Changes in mRNA Levels
5.9.2. Biochemical Parameters
SOD
MDA
5.9.3. Myocardial Proteins
5.10. Statistical Analysis
Author Contributions
Funding
Institutional Review Board Statement
Informed Consent Statement
Data Availability Statement
Conflicts of Interest
Abbreviations
| ACE | angiotensin converting enzyme |
| AT1 | angiotensin II receptor 1 |
| cTnI | troponin I |
| cTnT | troponin T |
| CKB | creatine kinase B-type |
| CKM | creatine kinase M-type |
| DBP | diastolic blood pressure |
| GAPDH | glyceraldehyde 3-phosphate dehydrogenase |
| HIF-1α | hypoxia-inducible factor 1α |
| HR | heart rate |
| HUVEC | human umbilical vein endothelial cells |
| Il-1β | interleukin 1β |
| IL-6 | interleukin 6 |
| JEG-3 cells | trophoblast-derived human choriocarcinoma cells |
| MD | malondialdehyde |
| NE | norepinephrine |
| PCR | polymerase chain reaction |
| PlGF | placental growth factor |
| qPCR | quantitative polymerase chain reaction |
| qRT-PCR | quantitative reverse transcription polymerase chain reaction |
| SBP | systolic blood pressure |
| SHR | spontaneously hypertensive rats |
| SOD | superoxide dismutase |
| TGF-β | transforming growth factor β |
| TNF-α | tumor necrosis factor α |
| VEGF | vascular endothelial growth factor |
| WKY | Wistar Kyoto rats |
References
- Sibai, B.; Dekker, G.; Kupferminc, M. Pre-eclampsia. Lancet 2005, 365, 785–799. [Google Scholar] [CrossRef]
- Hutcheon, J.A.; Lisonkova, S.; Joseph, K.S. Epidemiology of pre-eclampsia and the other hypertensive disorders of pregnancy. Best Pract. Res. Clin. Obstet. Gynaecol. 2011, 25, 391–403. [Google Scholar] [CrossRef] [PubMed]
- James, J.L.; Whitley, G.S.; Cartwright, J.E. Pre-eclampsia: Fitting together the placental, immune and cardiovascular pieces. J. Pathol. 2010, 221, 363–378. [Google Scholar] [CrossRef] [PubMed]
- Brown, C.M.; Garovic, V.D. Drug treatment of hypertension in pregnancy. Drugs 2014, 74, 283–296. [Google Scholar] [CrossRef]
- Cooper, W.O.; Hernandez-Diaz, S.; Arbogast, P.G.; Dudley, J.A.; Dyer, S.; Gideon, P.S.; Hall, K.; Ray, W.A. Major congenital malformations after first-trimester exposure to ACE inhibitors. N. Engl. J. Med. 2006, 354, 2443–2451. [Google Scholar] [CrossRef]
- Seremak-Mrozikiewicz, A.; Drews, K. Methyldopa in therapy of hypertension in pregnant women. Ginekol. Pol. 2004, 75, 160–165. [Google Scholar] [PubMed]
- Mah, G.T.; Tejani, A.M.; Musini, V.M. Methyldopa for primary hypertension. Cochrane Database Syst. Rev. 2009, 2009, CD003893. [Google Scholar] [CrossRef]
- Rismiati, H.; Lee, H.-Y. Blood pressure control in hypertensive disorders of pregnancy. CPP 2022, 4, 99–105. [Google Scholar] [CrossRef]
- Nijkamp, F.P.; Ezer, J.; De Jong, W. Central inhibitory effect of alpha-methyldopa on blood pressure, heart rate and body temperature of renal hypertensive rats. Eur. J. Pharmacol. 1975, 31, 243–249. [Google Scholar] [CrossRef][Green Version]
- Adrover, R. Hepatotoxicity from Alpha-Methyldopa During Pregnancy: Two Case Reports. J. Clin. Gastroenterol. Treat. 2016, 2, 1–3. [Google Scholar] [CrossRef]
- Cunha, J. Aldomet Side Effects Center. Available online: https://www.rxlist.com/aldomet-side-effects-drug-center.htm (accessed on 13 September 2022).
- Smith, D.K.; Lennon, R.P.; Carlsgaard, P.B. Managing hypertension using combination therapy. Am. Fam. Physician 2020, 101, 341–349. [Google Scholar]
- Singh, P.; Mishra, A.; Singh, P.; Goswami, S.; Singh, A.; Tiwari, K. Hypertension and herbal plant for its treatment: A review. IJRPB 2015, 3, 358–366. [Google Scholar]
- Fu, Q.; Gao, L.; Fu, X.; Meng, Q.; Lu, Z. Scutellaria baicalensis Inhibits Coxsackievirus B3-Induced Myocarditis Via AKT and p38 Pathways. J. Microbiol. Biotechnol. 2019, 29, 1230–1239. [Google Scholar] [CrossRef]
- Dong, Q.; Chu, F.; Wu, C.; Huo, Q.; Gan, H.; Li, X.; Liu, H. Scutellaria baicalensis Georgi extract protects against alcohol-induced acute liver injury in mice and affects the mechanism of ER stress. Mol. Med. Rep. 2016, 13, 3052–3062. [Google Scholar] [CrossRef] [PubMed]
- Liu, H.; Cheng, Y.; Chu, J.; Wu, M.; Yan, M.; Wang, D.; Xie, Q.; Ali, F.; Fang, Y.; Wei, L.; et al. Baicalin attenuates angiotensin II-induced blood pressure elevation and modulates MLCK/p-MLC signaling pathway. Biomed. Pharmacother. 2021, 143, 112124. [Google Scholar] [CrossRef] [PubMed]
- Sharifi-Rad, J.; Herrera-Bravo, J.; Salazar, L.A.; Shaheen, S.; Abdulmajid Ayatollahi, S.; Kobarfard, F.; Imran, M.; Imran, A.; Custódio, L.; Dolores López, M.; et al. The therapeutic potential of wogonin observed in preclinical studies. Evid. Based Complement. Alternat. Med. 2021, 2021, 9935451. [Google Scholar] [CrossRef]
- Liu, H.; Ye, F.; Sun, Q.; Liang, H.; Li, C.; Li, S.; Lu, R.; Huang, B.; Tan, W.; Lai, L. Scutellaria baicalensis extract and baicalein inhibit replication of SARS-CoV-2 and its 3C-like protease in vitro. J. Enzyme Inhib. Med. Chem. 2021, 36, 497–503. [Google Scholar] [CrossRef] [PubMed]
- Wen, S.-H.; Chang, W.-C.; Shen, H.-S.; Wu, H.-C. Prescription patterns and factors influencing the use of Chinese herbal medicine among pregnant women in Taiwan: A population-based retrospective study. BMC Complement. Med. Ther. 2020, 20, 240. [Google Scholar] [CrossRef]
- Ding, L.; Jia, C.; Zhang, Y.; Wang, W.; Zhu, W.; Chen, Y.; Zhang, T. Baicalin relaxes vascular smooth muscle and lowers blood pressure in spontaneously hypertensive rats. Biomed. Pharmacother. 2019, 111, 325–330. [Google Scholar] [CrossRef]
- Han, Y.K.; Kim, H.; Shin, H.; Song, J.; Lee, M.K.; Park, B.; Lee, K.Y. Characterization of Anti-Inflammatory and Antioxidant Constituents from Scutellaria baicalensis Using LC-MS Coupled with a Bioassay Method. Molecules 2020, 25, 3617. [Google Scholar] [CrossRef]
- Liao, H.; Ye, J.; Gao, L.; Liu, Y. The main bioactive compounds of Scutellaria baicalensis Georgi. for alleviation of inflammatory cytokines: A comprehensive review. Biomed. Pharmacother. 2021, 133, 110917. [Google Scholar] [CrossRef]
- Ożarowski, M.; Mikołajczak, P.Ł.; Kujawski, R.; Wielgus, K.; Klejewski, A.; Wolski, H.; Seremak-Mrozikiewicz, A. Pharmacological Effect of Quercetin in Hypertension and Its Potential Application in Pregnancy-Induced Hypertension: Review of In Vitro, In Vivo, and Clinical Studies. Evid. Based Complement. Alternat. Med. 2018, 2018, 7421489. [Google Scholar] [CrossRef] [PubMed]
- Salehi, B.; Venditti, A.; Sharifi-Rad, M.; Kręgiel, D.; Sharifi-Rad, J.; Durazzo, A.; Lucarini, M.; Santini, A.; Souto, E.B.; Novellino, E.; et al. The therapeutic potential of apigenin. Int. J. Mol. Sci. 2019, 20, 1305. [Google Scholar] [CrossRef] [PubMed]
- Mani, R.; Natesan, V. Chrysin: Sources, beneficial pharmacological activities, and molecular mechanism of action. Phytochemistry 2018, 145, 187–196. [Google Scholar] [CrossRef] [PubMed]
- Fang, P.; Yu, M.; Shi, M.; Bo, P.; Gu, X.; Zhang, Z. Baicalin and its aglycone: A novel approach for treatment of metabolic disorders. Pharmacol. Rep. 2020, 72, 13–23. [Google Scholar] [CrossRef]
- Li, Y.; Song, K.; Zhang, H.; Yuan, M.; An, N.; Wei, Y.; Wang, L.; Sun, Y.; Xing, Y.; Gao, Y. Anti-inflammatory and immunomodulatory effects of baicalin in cerebrovascular and neurological disorders. Brain Res. Bull. 2020, 164, 314–324. [Google Scholar] [CrossRef] [PubMed]
- Chledzik, S.; Strawa, J.; Matuszek, K.; Nazaruk, J. Pharmacological effects of scutellarin, an active component of genus scutellaria and erigeron: A systematic review. Am. J. Chin. Med. 2018, 46, 319–337. [Google Scholar] [CrossRef] [PubMed]
- Ożarowski, M.; Kujawski, R.; Mikołajczak, P.Ł.; Wielgus, K.; Klejewski, A.; Wolski, H.; Seremak-Mrozikiewicz, A. In vitro and in vivo activities of flavonoids—Apigenin, baicalin, chrysin, scutellarin—In regulation of hypertension—A review for their possible effects in pregnancy-induced hypertension. Herba Polonica 2019, 65, 55–70. [Google Scholar] [CrossRef]
- Kennedy, D.A.; Lupattelli, A.; Koren, G.; Nordeng, H. Herbal medicine use in pregnancy: Results of a multinational study. BMC Complement. Altern. Med. 2013, 13, 355. [Google Scholar] [CrossRef] [PubMed]
- John, L.J.; Shantakumari, N. Herbal Medicines Use During Pregnancy: A Review from the Middle East. Oman Med. J. 2015, 30, 229–236. [Google Scholar] [CrossRef] [PubMed]
- Dharmashankar, K.; Widlansky, M.E. Vascular endothelial function and hypertension: Insights and directions. Curr. Hypertens. Rep. 2010, 12, 448–455. [Google Scholar] [CrossRef]
- Liu, Y.; Xiong, M.; Zhou, F.; Shi, N.; Jia, Y. Effect of baicalin on gestational hypertension-induced vascular endothelial cell damage. J. Int. Med. Res. 2020, 48, 300060520934288. [Google Scholar] [CrossRef]
- Wang, Y.; Jia, Y.; Yang, X.; Liang, B.; Gao, H.; Yang, T. A potential role of Baicalin to inhibit apoptosis and protect against acute liver and kidney injury in rat preeclampsia model. Biomed. Pharmacother. 2018, 108, 1546–1552. [Google Scholar] [CrossRef]
- Bogacz, A.; Mikołajczak, P.Ł.; Wolek, M.; Górska, A.; Szulc, M.; Ożarowski, M.; Kujawski, R.; Czerny, B.; Wolski, H.; Karpiński, T.M.; et al. Combined Effects of Methyldopa and Flavonoids on the Expression of Selected Factors Related to Inflammatory Processes and Vascular Diseases in Human Placenta Cells-An In Vitro Study. Molecules 2021, 26, 1259. [Google Scholar] [CrossRef]
- Cai, Y.; Li, S.; Li, T.; Zhou, R.; Wai, A.T.-S.; Yan, R. Oral pharmacokinetics of baicalin, wogonoside, oroxylin A 7-O-β-d-glucuronide and their aglycones from an aqueous extract of Scutellariae Radix in the rat. J. Chromatogr. B Analyt. Technol. Biomed. Life Sci. 2016, 1026, 124–133. [Google Scholar] [CrossRef]
- Doggrell, S.A.; Brown, L. Rat models of hypertension, cardiac hypertrophy and failure. Cardiovasc. Res. 1998, 39, 89–105. [Google Scholar] [CrossRef]
- Natali, L.H.; Troiano, J.A.; Potje, S.R.; Dias, D.P.M.; Antoniali, C. Pregnancy restores altered sympathetic vasomotor modulation and parasympathetic cardiac modulation in hypertensive rats. Pregnancy Hypertens. 2022, 28, 180–188. [Google Scholar] [CrossRef]
- McCarthy, F.P.; Kingdom, J.C.; Kenny, L.C.; Walsh, S.K. Animal models of preeclampsia; uses and limitations. Placenta 2011, 32, 413–419. [Google Scholar] [CrossRef]
- Benny, P.A.; Alakwaa, F.M.; Schlueter, R.J.; Lassiter, C.B.; Garmire, L.X. A review of omics approaches to study preeclampsia. Placenta 2020, 92, 17–27. [Google Scholar] [CrossRef]
- Ożarowski, M.; Karpiński, T.M.; Szulc, M.; Wielgus, K.; Kujawski, R.; Wolski, H.; Seremak-Mrozikiewicz, A. Plant Phenolics and Extracts in Animal Models of Preeclampsia and Clinical Trials-Review of Perspectives for Novel Therapies. Pharmaceuticals 2021, 14, 269. [Google Scholar] [CrossRef]
- Dickhout, J.G.; Lee, R.M. Blood pressure and heart rate development in young spontaneously hypertensive rats. Am. J. Physiol. 1998, 274, H794–H800. [Google Scholar] [CrossRef] [PubMed]
- Podjarny, E.; Benchetrit, S.; Katz, B.; Green, J.; Bernheim, J. Effect of methyldopa on renal function in rats with L-NAME-induced hypertension in pregnancy. Nephron 2001, 88, 354–359. [Google Scholar] [CrossRef] [PubMed]
- El-Bassossy, H.M.; Hassan, N.A.; Mahmoud, M.F.; Fahmy, A. Baicalein protects against hypertension associated with diabetes: Effect on vascular reactivity and stiffness. Phytomedicine 2014, 21, 1742–1745. [Google Scholar] [CrossRef] [PubMed]
- Andrade, N.; Andrade, S.; Silva, C.; Rodrigues, I.; Guardão, L.; Guimarães, J.T.; Keating, E.; Martel, F. Chronic consumption of the dietary polyphenol chrysin attenuates metabolic disease in fructose-fed rats. Eur. J. Nutr. 2020, 59, 151–165. [Google Scholar] [CrossRef]
- Zhao, T.; Tang, H.; Xie, L.; Zheng, Y.; Ma, Z.; Sun, Q.; Li, X. Scutellaria baicalensis Georgi. (Lamiaceae): A review of its traditional uses, botany, phytochemistry, pharmacology and toxicology. J. Pharm. Pharmacol. 2019, 71, 1353–1369. [Google Scholar] [CrossRef] [PubMed]
- Hayashi, T.; Nakamura, K. Cerebral acting maps of hydralazine, clonidine, and alpha-methyldopa in spontaneously hypertensive rats as demonstrated by the 14C-deoxy-D-glucose method. Jpn J Pharmacol 1982, 32, 855–865. [Google Scholar] [CrossRef]
- Tomanek, R.J. Selective effects of alpha-methyldopa on myocardial cell components independent of cell size in normotensive and genetically hypertensive rats. Hypertension 1982, 4, 499–506. [Google Scholar] [CrossRef]
- Wang, Y.; Liu, C.; He, X.; Li, Y.; Zou, Y. Effects of metoprolol, methyldopa, and nifedipine on endothelial progenitor cells in patients with gestational hypertension and preeclampsia. Clin. Exp. Pharmacol. Physiol. 2019, 46, 302–312. [Google Scholar] [CrossRef]
- Day, A.J.; DuPont, M.S.; Ridley, S.; Rhodes, M.; Rhodes, M.J.; Morgan, M.R.; Williamson, G. Deglycosylation of flavonoid and isoflavonoid glycosides by human small intestine and liver beta-glucosidase activity. FEBS Lett. 1998, 436, 71–75. [Google Scholar] [CrossRef]
- Hollman, P.C.; de Vries, J.H.; van Leeuwen, S.D.; Mengelers, M.J.; Katan, M.B. Absorption of dietary quercetin glycosides and quercetin in healthy ileostomy volunteers. Am. J. Clin. Nutr. 1995, 62, 1276–1282. [Google Scholar] [CrossRef]
- Sheng, X.; Wang, J.; Guo, J.; Xu, Y.; Jiang, H.; Zheng, C.; Xu, Z.; Zhang, Y.; Che, H.; Liang, S.; et al. Effects of baicalin on diabetic cardiac autonomic neuropathy mediated by the P2Y12 receptor in rat stellate ganglia. Cell. Physiol. Biochem. 2018, 46, 986–998. [Google Scholar] [CrossRef] [PubMed]
- Jena, M.K.; Sharma, N.R.; Petitt, M.; Maulik, D.; Nayak, N.R. Pathogenesis of preeclampsia and therapeutic approaches targeting the placenta. Biomolecules 2020, 10, 953. [Google Scholar] [CrossRef] [PubMed]
- Rana, S.; Burke, S.D.; Karumanchi, S.A. Imbalances in circulating angiogenic factors in the pathophysiology of preeclampsia and related disorders. Am. J. Obstet. Gynecol. 2022, 226, S1019–S1034. [Google Scholar] [CrossRef] [PubMed]
- Maynard, S.E.; Min, J.-Y.; Merchan, J.; Lim, K.-H.; Li, J.; Mondal, S.; Libermann, T.A.; Morgan, J.P.; Sellke, F.W.; Stillman, I.E.; et al. Excess placental soluble fms-like tyrosine kinase 1 (sFlt1) may contribute to endothelial dysfunction, hypertension, and proteinuria in preeclampsia. J. Clin. Investig. 2003, 111, 649–658. [Google Scholar] [CrossRef] [PubMed]
- Hurwitz, H.; Fehrenbacher, L.; Novotny, W.; Cartwright, T.; Hainsworth, J.; Heim, W.; Berlin, J.; Baron, A.; Griffing, S.; Holmgren, E.; et al. Bevacizumab plus irinotecan, fluorouracil, and leucovorin for metastatic colorectal cancer. N. Engl. J. Med. 2004, 350, 2335–2342. [Google Scholar] [CrossRef]
- Michalczyk, M.; Celewicz, A.; Celewicz, M.; Woźniakowska-Gondek, P.; Rzepka, R. The role of inflammation in the pathogenesis of preeclampsia. Mediators Inflamm. 2020, 2020, 3864941. [Google Scholar] [CrossRef]
- Juwita, D.R.; Yulistiani, Y. Effects of methyldopa on vegf levels as proangiogenic factor in severe pre-eclampsia at haji hospital, surabaya. FMI 2017, 53, 267. [Google Scholar] [CrossRef]
- Ren, Y.; Wang, H.; Qin, H.; Yang, J.; Wang, Y.; Jiang, S.; Pan, Y. Vascular Endothelial Growth Factor expression in peripheral blood of patients with pregnancy induced hypertension syndrome and its clinical significance. Pak. J. Med. Sci. Q. 2014, 30, 634–637. [Google Scholar] [CrossRef]
- Khalil, A.; Muttukrishna, S.; Harrington, K.; Jauniaux, E. Effect of antihypertensive therapy with alpha methyldopa on levels of angiogenic factors in pregnancies with hypertensive disorders. PLoS ONE 2008, 3, e2766. [Google Scholar] [CrossRef]
- Tal, R. The role of hypoxia and hypoxia-inducible factor-1alpha in preeclampsia pathogenesis. Biol. Reprod. 2012, 87, 134. [Google Scholar] [CrossRef]
- Keelan, J.A.; Mitchell, M.D. Placental cytokines and preeclampsia. Front. Biosci. 2007, 12, 2706–2727. [Google Scholar] [CrossRef]
- Iriyama, T.; Wang, W.; Parchim, N.F.; Song, A.; Blackwell, S.C.; Sibai, B.M.; Kellems, R.E.; Xia, Y. Hypoxia-independent upregulation of placental hypoxia inducible factor-1α gene expression contributes to the pathogenesis of preeclampsia. Hypertension 2015, 65, 1307–1315. [Google Scholar] [CrossRef] [PubMed]
- Caniggia, I.; Grisaru-Gravnosky, S.; Kuliszewsky, M.; Post, M.; Lye, S.J. Inhibition of TGF-beta 3 restores the invasive capability of extravillous trophoblasts in preeclamptic pregnancies. J. Clin. Investig. 1999, 103, 1641–1650. [Google Scholar] [CrossRef] [PubMed]
- Kim, S.Y.; Park, S.Y.; Lim, J.H.; Lee, B.Y.; Yang, J.H.; Ryu, H.M. Hypoxia inducible factor-1α gene polymorphisms in Korean patients with pre-eclampsia. J. Endocrinol. Investig. 2012, 35, 670–675. [Google Scholar] [CrossRef]
- Wang, S.; Zhang, S.; Wang, S.; Gao, P.; Dai, L. A comprehensive review on Pueraria: Insights on its chemistry and medicinal value. Biomed. Pharmacother. 2020, 131, 110734. [Google Scholar] [CrossRef]
- Tirado-Rodriguez, B.; Ortega, E.; Segura-Medina, P.; Huerta-Yepez, S. TGF- β: An important mediator of allergic disease and a molecule with dual activity in cancer development. J. Immunol. Res. 2014, 2014, 318481. [Google Scholar] [CrossRef]
- Muy-Rivera, M.; Sanchez, S.E.; Vadachkoria, S.; Qiu, C.; Bazul, V.; Williams, M.A. Transforming growth factor-beta1 (TGF-beta1) in plasma is associated with preeclampsia risk in Peruvian women with systemic inflammation. Am. J. Hypertens. 2004, 17, 334–338. [Google Scholar] [CrossRef]
- Xiang, W.; Xu, X.; Chen, H. Expression of TGF-betal in placenta of the patients with pregnancy-induced hypertension and its relationship with serum VCAM-1. J. Huazhong Univ. Sci. Technol. Med. Sci. 2005, 25, 82–84. [Google Scholar] [CrossRef]
- Duhig, K.E.; Seed, P.T.; Myers, J.E.; Bahl, R.; Bambridge, G.; Barnfield, S.; Ficquet, J.; Girling, J.C.; Khalil, A.; Shennan, A.H.; et al. Placental growth factor testing for suspected pre-eclampsia: A cost-effectiveness analysis. BJOG 2019, 126, 1390–1398. [Google Scholar] [CrossRef]
- Krauss, T.; Pauer, H.-U.; Augustin, H.G. Prospective analysis of placenta growth factor (PlGF) concentrations in the plasma of women with normal pregnancy and pregnancies complicated by preeclampsia. Hypertens. Pregnancy 2004, 23, 101–111. [Google Scholar] [CrossRef]
- Harmon, A.C.; Cornelius, D.C.; Amaral, L.M.; Faulkner, J.L.; Cunningham, M.W.; Wallace, K.; LaMarca, B. The role of inflammation in the pathology of preeclampsia. Clin. Sci. 2016, 130, 409–419. [Google Scholar] [CrossRef] [PubMed]
- Alijotas-Reig, J.; Esteve-Valverde, E.; Ferrer-Oliveras, R.; Llurba, E.; Gris, J.M. Tumor Necrosis Factor-Alpha and Pregnancy: Focus on Biologics. An Updated and Comprehensive Review. Clin. Rev. Allergy Immunol. 2017, 53, 40–53. [Google Scholar] [CrossRef] [PubMed]
- Rinehart, B.K.; Terrone, D.A.; Lagoo-Deenadayalan, S.; Barber, W.H.; Hale, E.A.; Martin, J.N.; Bennett, W.A. Expression of the placental cytokines tumor necrosis factor alpha, interleukin 1beta, and interleukin 10 is increased in preeclampsia. Am. J. Obstet. Gynecol. 1999, 181, 915–920. [Google Scholar] [CrossRef]
- Small, H.Y.; Nosalski, R.; Morgan, H.; Beattie, E.; Guzik, T.J.; Graham, D.; Delles, C. Role of Tumor Necrosis Factor-α and Natural Killer Cells in Uterine Artery Function and Pregnancy Outcome in the Stroke-Prone Spontaneously Hypertensive Rat. Hypertension 2016, 68, 1298–1307. [Google Scholar] [CrossRef] [PubMed]
- Amash, A.; Holcberg, G.; Sapir, O.; Huleihel, M. Placental secretion of interleukin-1 and interleukin-1 receptor antagonist in preeclampsia: Effect of magnesium sulfate. J. Interferon Cytokine Res. 2012, 32, 432–441. [Google Scholar] [CrossRef]
- Romero, R.; Gotsch, F.; Pineles, B.; Kusanovic, J.P. Inflammation in pregnancy: Its roles in reproductive physiology, obstetrical complications, and fetal injury. Nutr. Rev. 2007, 65, S194–S202. [Google Scholar] [CrossRef]
- Southcombe, J.H.; Redman, C.W.G.; Sargent, I.L.; Granne, I. Interleukin-1 family cytokines and their regulatory proteins in normal pregnancy and pre-eclampsia. Clin. Exp. Immunol. 2015, 181, 480–490. [Google Scholar] [CrossRef]
- Opsjøn, S.L.; Austgulen, R.; Waage, A. Interleukin-1, interleukin-6 and tumor necrosis factor at delivery in preeclamptic disorders. Acta Obstet. Gynecol. Scand. 1995, 74, 19–26. [Google Scholar] [CrossRef] [PubMed]
- Stallmach, T.; Hebisch, G.; Joller, H.; Kolditz, P.; Engelmann, M. Expression pattern of cytokines in the different compartments of the feto-maternal unit under various conditions. Reprod. Fertil. Dev. 1995, 7, 1573–1580. [Google Scholar] [CrossRef] [PubMed]
- Lockwood, C.J.; Yen, C.-F.; Basar, M.; Kayisli, U.A.; Martel, M.; Buhimschi, I.; Buhimschi, C.; Huang, S.J.; Krikun, G.; Schatz, F. Preeclampsia-related inflammatory cytokines regulate interleukin-6 expression in human decidual cells. Am. J. Pathol. 2008, 172, 1571–1579. [Google Scholar] [CrossRef] [PubMed]
- Omere, C.; Richardson, L.; Saade, G.R.; Bonney, E.A.; Kechichian, T.; Menon, R. Interleukin (IL)-6: A Friend or Foe of Pregnancy and Parturition? Evidence from Functional Studies in Fetal Membrane Cells. Front. Physiol. 2020, 11, 891. [Google Scholar] [CrossRef] [PubMed]
- Picariello, C.; Lazzeri, C.; Attanà, P.; Chiostri, M.; Gensini, G.F.; Valente, S. The impact of hypertension on patients with acute coronary syndromes. Int. J. Hypertens. 2011, 2011, 563657. [Google Scholar] [CrossRef]
- Stuart, J.J.; Tanz, L.J.; Rimm, E.B.; Spiegelman, D.; Missmer, S.A.; Mukamal, K.J.; Rexrode, K.M.; Rich-Edwards, J.W. Cardiovascular Risk Factors Mediate the Long-Term Maternal Risk Associated with Hypertensive Disorders of Pregnancy. J. Am. Coll. Cardiol. 2022, 79, 1901–1913. [Google Scholar] [CrossRef] [PubMed]
- Bodor, G.S. Biochemical markers of myocardial damage. EJIFCC 2016, 27, 95–111. [Google Scholar] [PubMed]
- McConnell, B.K.; Moravec, C.S.; Morano, I.; Bond, M. Troponin I phosphorylation in spontaneously hypertensive rat heart: Effect of beta-adrenergic stimulation. Am. J. Physiol. 1997, 273, H1440-51. [Google Scholar] [CrossRef] [PubMed]
- Golden, A.L.; Bright, J.M.; Lawler, J.E. Changes in creatine kinase expression induced by exercise in borderline hypertensive rat hearts. Clin. Exp. Hypertens. 1994, 16, 577–593. [Google Scholar] [CrossRef]
- Zhao, J.; Xie, Y.; Qian, X.; Jiang, R.; Song, W. Acute effects of fine particles on cardiovascular system: Differences between the spontaneously hypertensive rats and wistar kyoto rats. Toxicol. Lett. 2010, 193, 50–60. [Google Scholar] [CrossRef]
- Owoicho Orgah, J.; Wang, M.; Yang, X.; Wang, Z.; Wang, D.; Zhang, Q.; Fan, G.; Han, J.; Qin, G.; Gao, X.; et al. Danhong Injection Protects Against Hypertension-Induced Renal Injury Via Down-Regulation of Myoglobin Expression in Spontaneously Hypertensive Rats. Kidney Blood Press. Res. 2018, 43, 12–24. [Google Scholar] [CrossRef] [PubMed]
- Sinha, N.; Dabla, P.K. Oxidative stress and antioxidants in hypertension-a current review. Curr. Hypertens. Rev. 2015, 11, 132–142. [Google Scholar] [CrossRef] [PubMed]
- Agarwal, A.; Aponte-Mellado, A.; Premkumar, B.J.; Shaman, A.; Gupta, S. The effects of oxidative stress on female reproduction: A review. Reprod. Biol. Endocrinol. 2012, 10, 49. [Google Scholar] [CrossRef] [PubMed]
- Draganovic, D.; Lucic, N.; Jojic, D.; Milicevic, S. Correlation of Oxidative Stress Markers with Ultrasound and Cardiotocography Parameters with Hypertension Induced Pregnancy. Acta Inform. Med. 2017, 25, 19–23. [Google Scholar] [CrossRef] [PubMed]
- Bharadwaj, S.; Bhat, V.B.; Vickneswaran, V.; Adhisivam, B.; Zachariah, B.; Habeebullah, S. Oxidative stress in preeclamptic mother—Newborn dyads and its correlation with early neonatal outcome—A case control study. J. Matern. Fetal Neonatal Med. 2018, 31, 1548–1553. [Google Scholar] [CrossRef] [PubMed]
- Leung, S.B.; Zhang, H.; Lau, C.W.; Lin, Z.-X. Attenuation of blood pressure in spontaneously hypertensive rats by acupuncture was associated with reduction oxidative stress and improvement from endothelial dysfunction. Chin. Med. 2016, 11, 38. [Google Scholar] [CrossRef] [PubMed]
- Kozłowska, A.; Wojtacha, P.; Majewski, M.; Równiak, M. The cytokine alterations/abnormalities and oxidative damage in the pancreas during hypertension development. Pflugers Arch. 2019, 471, 1331–1340. [Google Scholar] [CrossRef] [PubMed]
- Remiszewski, P.; Jarocka-Karpowicz, I.; Biernacki, M.; Jastrząb, A.; Schlicker, E.; Toczek, M.; Harasim-Symbor, E.; Pędzińska-Betiuk, A.; Malinowska, B. Chronic Cannabidiol Administration Fails to Diminish Blood Pressure in Rats with Primary and Secondary Hypertension Despite Its Effects on Cardiac and Plasma Endocannabinoid System, Oxidative Stress and Lipid Metabolism. Int. J. Mol. Sci. 2020, 21, 1295. [Google Scholar] [CrossRef]
- Cholewińska, E.; Juśkiewicz, J.; Majewski, M.; Smagieł, R.; Listos, P.; Fotschki, B.; Godycka-Kłos, I.; Ognik, K. Effect of copper nanoparticles in the diet of WKY and SHR rats on the redox profile and histology of the heart, liver, kidney, and small intestine. Antioxidants 2022, 11, 910. [Google Scholar] [CrossRef] [PubMed]
- Senthilkumar, R.; Veerappan, R. Chrysin enhances antioxidants and oxidative stress in L-NAME-induced hypertensive rats. Int. J. Nutr. Pharmacol. Neurol. Dis. 2015, 5, 20. [Google Scholar] [CrossRef]
- Buchwald, W.; Szulc, M.; Baraniak, J.; Derebecka, N.; Kania-Dobrowolska, M.; Piasecka, A.; Bogacz, A.; Karasiewicz, M.; Bartkowiak-Wieczorek, J.; Kujawski, R.; et al. The Effect of Different Water Extracts from Platycodon grandiflorum on Selected Factors Associated with Pathogenesis of Chronic Bronchitis in Rats. Molecules 2020, 25, 5020. [Google Scholar] [CrossRef]














| Group | VEGF | HIF-1α | TGF-β | PlGF | TNF-α | IL-1β | IL-6 |
|---|---|---|---|---|---|---|---|
| Heart | |||||||
| WKY control | 1.00 ± 0.02 | 1.00 ± 0.02 | 1.00 ± 0.01 | 1.00 ± 0.03 | 1.00 ± 0.02 | 1.00 ± 0.02 | 1.00 ± 0.02 |
| SHR control | 0.93 ± 0.02 * | 0.91 ± 0.03 * | 0.88 ± 0.02 * | 1.10 ± 0.03 * | 0.97 ± 0.01 | 0.92 ± 0.02 * | 1.05 ± 0.02 |
| SHR-methyldopa | 0.89 ± 0.03 | 0.88 ± 0.03 | 0.86 ± 0.02 | 0.99 ± 0.02 # | 0.95 ± 0.02 | 0.83 ± 0.02 # | 1.11 ± 0.03 |
| SHR-methyldopa + baicalein | 0.99 ± 0.01 & | 0.86 ± 0.02 | 0.83 ± 0.02 | 1.11 ± 0.03 & | 0.96 ± 0.03 | 0.89 ± 0.03 & | 1.08 ± 0.03 |
| SHR-methyldopa + extract | 0.84 ± 0.02 # | 0.85 ± 0.05 | 0.87 ± 0.02 | 1.11 ± 0.03 & | 0.98 ± 0.03 | 0.87 ± 0.01 | 1.04 ± 0.02 |
| Placenta | |||||||
| WKY control | 0.57 ± 0.01 | 0.58 ± 0.03 | 0.69 ± 0.02 | 1.04 ± 0.03 | 0.82 ± 0.02 | 0.79 ± 0.02 | 1.03 ± 0.03 |
| SHR control | 0.77 ± 0.03 * | 0.78 ± 0.04 * | 0.82 ± 0.04 * | 1.08 ± 0.03 | 0.88 ± 0.03 | 0.80 ± 0.04 | 1.07 ± 0.02 |
| SHR-methyldopa | 0.64 ± 0.01 # | 0.60 ± 0.01 # | 0.71 ± 0.01 # | 1.06 ± 0.03 | 0.84 ± 0.01 | 0.75 ± 0.01 | 1.04 ± 0.04 |
| SHR-methyldopa + baicalein | 0.75 ± 0.02 & | 0.69 ± 0.01 & | 0.85 ± 0.01 & | 1.02 ± 0.02 | 0.89 ± 0.05 | 0.77 ± 0.06 | 1.05 ± 0.08 |
| SHR-methyldopa + extract | 0.65 ± 0.04 # | 0.64 ± 0.03 # | 0.70 ± 0.01 # | 1.16 ± 0.06 | 0.83 ± 0.01 | 0.72 ± 0.03 | 0.98 ± 0.05 |
| Group | CKB [ng/mL] | CKM [U/mL] | Myoglobin [mg/mL] | cTnT [ng/mL] | cTnI [mg/mL] | LDH-A [U/L] |
|---|---|---|---|---|---|---|
| Heart | ||||||
| WKY control | 352 ± 32 | 4070 ± 574 | 268 ± 74 | 26.6 ± 3.3 | 8.20 ± 0.82 | 32,420 ± 3203 |
| SHR control | 323 ± 57 | 3413 ± 580 | 427 ± 114 * | 25.4 ± 3.4 | 8.31 ± 1.03 | 38,323 ± 5006 |
| SHR-methyldopa | 245 ± 29 # | 2701 ± 374 | 97 ± 30 # | 16.9 ± 2.0 # | 5.25 ± 0.70 # | 21,124 ± 3243 # |
| SHR-methyldopa + baicalein | 187 ± 19 # & | 2321 ± 347 | 134 ± 39 # | 19.0 ± 1.9 | 6.25 ± 0.56 # | 28,826 ± 5669 |
| SHR-methyldopa + extract | 445 ± 57 * # & | 4932 ± 496 # & | 299 ± 63 # & | 21.9 ± 2.4 | 6.28 ± 0.48 # | 27,746 ± 2917 |
| Group | MDA [μM] | SOD [U/mL] |
|---|---|---|
| Placenta | ||
| WKY control | 3.55 ± 0.16 | 1.79 ± 0.14 |
| SHR control | 4.43 ± 0.23 * | 2.71 ± 0.22 * |
| SHR-methyldopa | 2.27 ± 0.39 # | 2.08 ± 0.13 # |
| SHR-methyldopa + baicalein | 6.27 ± 0.84 # & | 2.93 ± 0.15 & |
| SHR-methyldopa + extract | 3.36 ± 0.74 # & | 2.06 ± 0.01 # |
| Gene | Primer Sequence Forward (5′→3′) | Primer Sequence Reverse (5′→3′) | bp |
|---|---|---|---|
| TNF-α | TGC TTG TTC CTC AGC CTC TT | TGA GGT ACA GGC CCT CTG AT | 218 |
| IL-1β | CGA TGC ACC TGT ACG ATC AC | TCT TTC AAC ACG CAG GAC AG | 226 |
| HIF-1α | TTG CCT TTC CTT CTC TTC TCC | CAA TCC AAG GTT GCC AAG TT | 164 |
| VEGF | CCT TGC TGC TCT ACC TCC AC | ATC CAC CCC AAA ACT TTT CC | 236 |
| TGF-β | ACA TTG ACT TCC GCA AGG AC | CCG GGT TAT GCT GGT TGT A | 150 |
| PlGF | GTT CAG CCC ATC CTG TGT CT | AGC AGG GAA ACA GTT GGC TA | 244 |
| IL-6 | TGC GTC CGT AGT TTC CTT CT | GGA ATC TTC TCC TGG GG GTA | 211 |
| GAPDH | GAT GGT GAA GGT CGG TGT G | ATG AAG GGG TCG TTG ATG G | 108 |
Publisher’s Note: MDPI stays neutral with regard to jurisdictional claims in published maps and institutional affiliations. |
© 2022 by the authors. Licensee MDPI, Basel, Switzerland. This article is an open access article distributed under the terms and conditions of the Creative Commons Attribution (CC BY) license (https://creativecommons.org/licenses/by/4.0/).
Share and Cite
Szulc, M.; Kujawski, R.; Mikołajczak, P.Ł.; Bogacz, A.; Wolek, M.; Górska, A.; Czora-Poczwardowska, K.; Ożarowski, M.; Gryszczyńska, A.; Baraniak, J.; et al. Combined Effects of Methyldopa and Baicalein or Scutellaria baicalensis Roots Extract on Blood Pressure, Heart Rate, and Expression of Inflammatory and Vascular Disease-Related Factors in Spontaneously Hypertensive Pregnant Rats. Pharmaceuticals 2022, 15, 1342. https://doi.org/10.3390/ph15111342
Szulc M, Kujawski R, Mikołajczak PŁ, Bogacz A, Wolek M, Górska A, Czora-Poczwardowska K, Ożarowski M, Gryszczyńska A, Baraniak J, et al. Combined Effects of Methyldopa and Baicalein or Scutellaria baicalensis Roots Extract on Blood Pressure, Heart Rate, and Expression of Inflammatory and Vascular Disease-Related Factors in Spontaneously Hypertensive Pregnant Rats. Pharmaceuticals. 2022; 15(11):1342. https://doi.org/10.3390/ph15111342
Chicago/Turabian StyleSzulc, Michał, Radosław Kujawski, Przemysław Ł. Mikołajczak, Anna Bogacz, Marlena Wolek, Aleksandra Górska, Kamila Czora-Poczwardowska, Marcin Ożarowski, Agnieszka Gryszczyńska, Justyna Baraniak, and et al. 2022. "Combined Effects of Methyldopa and Baicalein or Scutellaria baicalensis Roots Extract on Blood Pressure, Heart Rate, and Expression of Inflammatory and Vascular Disease-Related Factors in Spontaneously Hypertensive Pregnant Rats" Pharmaceuticals 15, no. 11: 1342. https://doi.org/10.3390/ph15111342
APA StyleSzulc, M., Kujawski, R., Mikołajczak, P. Ł., Bogacz, A., Wolek, M., Górska, A., Czora-Poczwardowska, K., Ożarowski, M., Gryszczyńska, A., Baraniak, J., Kania-Dobrowolska, M., Adamczak, A., Iwańczyk-Skalska, E., Jagodziński, P. P., Czerny, B., Kamiński, A., Uzar, I., & Seremak-Mrozikiewicz, A. (2022). Combined Effects of Methyldopa and Baicalein or Scutellaria baicalensis Roots Extract on Blood Pressure, Heart Rate, and Expression of Inflammatory and Vascular Disease-Related Factors in Spontaneously Hypertensive Pregnant Rats. Pharmaceuticals, 15(11), 1342. https://doi.org/10.3390/ph15111342

