Ion-Pair Compounds of Strychnine for Enhancing Skin Permeability: Influencing the Transdermal Processes In Vitro Based on Molecular Simulation
Abstract
:1. Introduction

2. Results
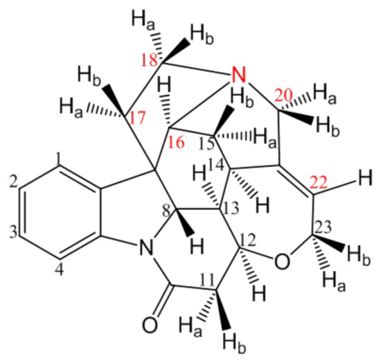
2.1. 1H-NMR Spectra
2.2. FTIR Spectra
2.3. Solubility and Apparent Partition Coefficient
2.4. The Skin Permeation of Str and Str Ion-Pair Compounds
2.5. Molecular Simulation
3. Discussion
4. Materials and Methods
4.1. Materials
4.2. Preparation of Str Ion-Pair Compounds
4.3. 1H-NMR Spectroscopy Studies
4.4. FTIR Spectroscopy Studies
4.5. Solubility Experiments
4.6. Apparent Partition Coefficient Experiments
4.7. In Vitro Permeation Experiments
4.8. HPLC Analysis
4.9. Molecular Simulation
4.10. Data Analysis
5. Conclusions
Author Contributions
Funding
Institutional Review Board Statement
Informed Consent Statement
Data Availability Statement
Conflicts of Interest
References
- Chinese Pharmacopoeia Commission. Pharmacopoeia of the People’s Republic of China; The Medicine Science and Technology Press of China: Beijing, China, 2005; Volume 2, p. 706. [Google Scholar]
- Li, X. New Clinical Medication Manual; Light Industry Press of China: Beijing, China, 1999; pp. 200–201. [Google Scholar]
- Qu, Y.G.; Chen, J.; Cai, B.C. Advances on Studies of Strychnine. Chin. J. Exp. Trad. Med. Formulae 2011, 17, 247–251. [Google Scholar]
- Lin, A.H.; Su, X.C.; She, D.; Qiu, K.C.; He, Q.M.; Liu, Y.M. LC–MS/MS determination and comparative pharmacokinetics of strychnine, brucine and their metabolites in rat plasma after intragastric administration of each monomer and the total alkaloids from Semen Strychni. J. Chromatogr. B 2016, 1008, 65–73. [Google Scholar] [CrossRef] [PubMed]
- Gratieri, T.; Alberti, I.; Lapteva, M.; Kalia, Y.N. Next generation intra- and transdermal therapeutic systems: Using non- and minimally-invasive technologies to increase drug delivery into and across the skin. Eur. J. Pharm. Sci. 2013, 50, 609–622. [Google Scholar] [CrossRef] [PubMed]
- Wiedersberg, S.; Guy, R.H. Transdermal drug delivery: 30+ years of war and still fighting! J. Control. Release 2014, 190, 150–156. [Google Scholar] [CrossRef] [Green Version]
- Delgado-Charro, M.B.; Guy, R.H. Effective use of transdermal drug delivery in children. Adv. Drug Deliv. Rev. 2014, 73, 63–82. [Google Scholar] [CrossRef] [Green Version]
- Ogiso, T.; Shintani, M. Mechanism for the enhancement effect of fatty acids on the percutaneous absorption of propranolol. J. Pharm. Sci. 1990, 79, 1065–1071. [Google Scholar]
- Xi, H.; Wang, Z.; Chen, Y.; Li, W.; Sun, L.; Fang, L. The relationship between hydrogen-bonded ion-pair stability and transdermal penetration of lornoxicam with organic amines. Eur. J. Pharm. Sci. 2012, 47, 325–330. [Google Scholar] [CrossRef]
- Song, W.; Cun, D.; Xi, H.; Fang, L. The control of skin-permeating rate of bisoprolol by ion-pair strategy for long-acting transdermal patches. AAPS PharmSciTech 2012, 13, 811–815. [Google Scholar] [CrossRef] [Green Version]
- Song, T.; Quan, P.; Xiang, R.; Fang, L. Regulating the skin permeation rate of escitalopram by ion-pair formation with organic acids. AAPS PharmSciTech 2016, 17, 1267–1273. [Google Scholar] [CrossRef] [Green Version]
- Xi, H.; Cun, D.; Wang, Z.; Shang, L.; Song, W.; Mu, L. Effect of the stability of hydrogen-bonded ion pairs with organic amines on transdermal penetration of teriflunomide. Int. J. Pharm. 2012, 436, 857–861. [Google Scholar] [CrossRef]
- Zhao, H.; Liu, C.; Quan, P. Mechanism Study on Ion-pair Complexes Controlling Skin Permeability: Effect of Ion-pair Dissociation in the Viable Epidermis on Transdermal Permeation of Bisoprolol. Int. J. Pharm. 2017, 532, 29–36. [Google Scholar] [CrossRef]
- Cui, H.; Quan, P.; Zhao, H.; Wen, X.; Song, W.; Xiao, Y.; Zhao, Y.; Fang, L. Mechanism of ion-Pair strategy in modulating skin permeability of zaltoprofen: Insight from molecular-level resolution based on molecular modeling and confocal laser scanning microscopy. J. Pharm. Sci. 2015, 104, 3395–3403. [Google Scholar] [CrossRef]
- Wang, Y.; Ren, J.W.; Zhang, C.Y.; He, M.C.; Wu, Z.M.; Guo, X.D. Compatibility studies between amphiphilic pH-sensitive polymer and hydrophobic drug using multiscale simulations. RSC Adv. 2016, 6, 101323–101333. [Google Scholar] [CrossRef]
- Xu, L.; Yang, Z.; Tang, H.; Wu, P.; Li, C.; Yin, X. Effect of chemical enhancers on the ermeation of strychnine across pig skin in vitro. Central South Pharm. 2011, 9, 761–763. [Google Scholar]
- Zheng, J.; Ding, P.; Fang, L. New Dosage Form of Transdermal Administration; People’s Medical Publishing House: Beijing, China, 2006; Volume 17. [Google Scholar]
- Barrow, G.M. The nature of hydrogen bonded ion-pairs: The reaction of pyridine and carboxylic acids in chloroform. J. Am. Chem. Soc. 1956, 78, 5802–5806. [Google Scholar] [CrossRef]
- Ratajczak, H. Charge-transfer properties of the hydrogen bond. I. Theory of the enhancement of dipole moment of hydrogen-bonded systems. J. Phys. Chem. 1972, 76, 3000–3004. [Google Scholar] [CrossRef]
- Simon, J.D.; Peters, K.S. Picosecond dynamics of ion pairs: The effect of hydrogen bonding on ion-pair intermediates. J. Am. Chem. Soc. 1972, 104, 6542–6547. [Google Scholar] [CrossRef]
- Roberts, M.; Pugh, W.; Hadgraft, J. Epidermal permeability: Penetrant structure relationships. 2. The effect of H-bonding groups in penetrants on their diffusion through the stratum corneum. Int. J. Pharm. 1996, 132, 23–32. [Google Scholar] [CrossRef]
- Cristofoli, M.; Kung, C.P.; Hadgraf, J.; Lane, M.E.; Sil, B.C. Ion Pairs for Transdermal and Dermal Drug Delivery: A Review. Pharmaceutics 2021, 13, 909. [Google Scholar] [CrossRef]
- Fini, A.; Bassini, G.; Monastero, A.; Cavallari, C. Diclofenac salts, VIII. Effect of the counterions on the permeation through porcine membrane from aqueous saturated solutions. Pharmaceutics 2012, 4, 413–429. [Google Scholar] [CrossRef]
- Jiang, Q.; Wang, J.; Ma, P. Ion-pair formation combined with a penetration enhancer as a dual strategy to improve the transdermal delivery of meloxicam. J. Drug Deliv. Transl. Res. 2017, 8, 64–72. [Google Scholar] [CrossRef]
- Hadgraft, J. Skin, the final frontier. Int. J. Pharm. 2001, 224, 1–18. [Google Scholar] [CrossRef]
- Mitragotri, S.; Anissimov, Y.G.; Bunge, A.L.; Frasch, H.F.; Guy, R.H.; Hadgraft, J. Mathematical models of skin permeability: An overview. Int. J. Pharm. 2011, 418, 29–115. [Google Scholar] [CrossRef] [Green Version]
- Tang, H.; Zhang, L.; Li, X. Method of Extracting Strchnine from Strychnos Nux-Vomica LP. Chinese Patent CN201010174373.2, 17 May 2010. [Google Scholar]
- Chinmay, D.; Noro, M.G.; Olmsted, P.D. Simulation Studies of Stratum Corneum Lipid Mixtures. Biophys. J. 2009, 97, 1941–1951. [Google Scholar]
- Owen, G.; Yuri, D.; Yuri, G.; Michael, S. Modeling the human skin barrier—Towards a better understanding of dermal absorption. Adv. Drug Deliv. Rev. 2013, 65, 152–168. [Google Scholar]







| Str | Str-C4 Δδ | Str-C6 Δδ | Str-C10 Δδ | Str-C12 Δδ | Str-C14 Δδ | Str-C16 Δδ | Str-C18 Δδ | |
|---|---|---|---|---|---|---|---|---|
| 22H | 5.92 | 0.2 | 0.21 | 0.14 | 0.15 | 0.14 | 0.14 | 0.13 |
| 16H | 3.97 | 0.31 | 0.32 | 0.2 | 0.21 | 0.21 | 0.21 | 0.21 |
| 20bH | 3.73 | 0.17 | 0.18 | 0.13 | 0.14 | 0.13 | 0.13 | 0.12 |
| 18aH | 3.23 | 0.30 | 0.31 | 0.19 | 0.22 | 0.2 | 0.25 | 0.18 |
| 18bH | 2.89 | 0.09 | 0.11 | 0.04 | 0.03 | 0.04 | 0.03 | 0.05 |
| 20aH | 2.76 | 0.17 | 0.18 | 0.13 | 0.13 | 0.13 | 0.13 | 0.12 |
| 17a/bH | 1.90/1.89 | 0.44/0.42 | 0.45/0.42 | 0.40/0.39 | 0.40/0.39 | 0.41/0.40 | 0.41/0.40 | 0.41/0.40 |
| Samples | Q24 (µg/cm2) | J (µg/cm2/h) | Tlag (h) | Sa (μg/mL) | Sb (μg/mL) | Log KO/W |
|---|---|---|---|---|---|---|
| Str | 101.24 ± 50.95 | 5.08 ± 2.39 | 6.02 ± 0.64 | 6579.5 ± 426.6 | 439.8 ± 53.4 | 1.18 ± 0.01 |
| Str–C4 | 143.69 ± 34.18 | 8.18 ± 3.79 | 6.68 ± 0.34 | 8435.9 ± 30.4 | 422.5 ± 51.7 | 0.17 ± 0.02 |
| Str–C6 | 475.17 ± 104.73 | 21.94 ± 10.84 | 6.76 ± 0.43 | 8996.4 ± 92.5 | 605.0 ± 131.2 | 0.61 ± 0.03 |
| Str–C10 | 857.54 ± 157.84 | 42.79 ± 19.86 | 7.05 ± 0.17 | 4262.6 ± 173.5 | 556.6 ± 62.1 | 1.07 ± 0.01 |
| Str–C12 | 789.88 ± 130.72 | 37.78 ± 13.72 | 6.88 ± 0.36 | 3090.1 ± 274.4 | 498.3 ± 34.1 | 1.16 ± 0.04 |
| Str–C14 | 568.48 ± 112.79 | 27.51 ± 5.85 | 7.00 ± 0.12 | 1908.8 ± 123.5 | 420.1 ± 10.5 | 1.11 ± 0.02 |
| Str–C16 | 521.09 ± 38.65 | 26.17 ± 10.2 | 5.85 ± 0.60 | 1701.9 ± 116.8 | 422.6 ± 8.3 | 1.07 ± 0.01 |
| Str–C18 | 247.40 ± 82.73 | 10.93 ± 5.75 | 6.51 ± 0.58 | 1668.5 ± 261.8 | 433.2 ± 16.3 | 1.17 ± 0.02 |
Publisher’s Note: MDPI stays neutral with regard to jurisdictional claims in published maps and institutional affiliations. |
© 2021 by the authors. Licensee MDPI, Basel, Switzerland. This article is an open access article distributed under the terms and conditions of the Creative Commons Attribution (CC BY) license (https://creativecommons.org/licenses/by/4.0/).
Share and Cite
He, L.; Xiong, D.; Ma, L.; Liang, Y.; Zhang, T.; Wu, Z.; Tang, H.; Wu, X. Ion-Pair Compounds of Strychnine for Enhancing Skin Permeability: Influencing the Transdermal Processes In Vitro Based on Molecular Simulation. Pharmaceuticals 2022, 15, 34. https://doi.org/10.3390/ph15010034
He L, Xiong D, Ma L, Liang Y, Zhang T, Wu Z, Tang H, Wu X. Ion-Pair Compounds of Strychnine for Enhancing Skin Permeability: Influencing the Transdermal Processes In Vitro Based on Molecular Simulation. Pharmaceuticals. 2022; 15(1):34. https://doi.org/10.3390/ph15010034
Chicago/Turabian StyleHe, Lili, Di Xiong, Lan Ma, Yan Liang, Teng Zhang, Zhiming Wu, Huaibo Tang, and Xuewen Wu. 2022. "Ion-Pair Compounds of Strychnine for Enhancing Skin Permeability: Influencing the Transdermal Processes In Vitro Based on Molecular Simulation" Pharmaceuticals 15, no. 1: 34. https://doi.org/10.3390/ph15010034
APA StyleHe, L., Xiong, D., Ma, L., Liang, Y., Zhang, T., Wu, Z., Tang, H., & Wu, X. (2022). Ion-Pair Compounds of Strychnine for Enhancing Skin Permeability: Influencing the Transdermal Processes In Vitro Based on Molecular Simulation. Pharmaceuticals, 15(1), 34. https://doi.org/10.3390/ph15010034

