Interactions of Some Chemotherapeutic Agents as Epirubicin, Gemcitabine and Paclitaxel in Multicomponent Systems Based on Orange Essential Oil
Abstract
1. Introduction
2. Results and Discussion
2.1. Experimental Results
2.1.1. Spectrophotometric Study
2.1.2. Electrochemical Study
2.1.3. Kinetic Approach
2.2. Theoretical Study
2.2.1. Analysis of HOMO-LUMO Frontier Orbitals
2.2.2. Global Chemical Reactivity
2.2.3. Limonene-Chemotherapeutic Agent Interactions
2.3. Decomposition Mechanism of Drugs
2.3.1. Epirubicin Decomposition Mechanism
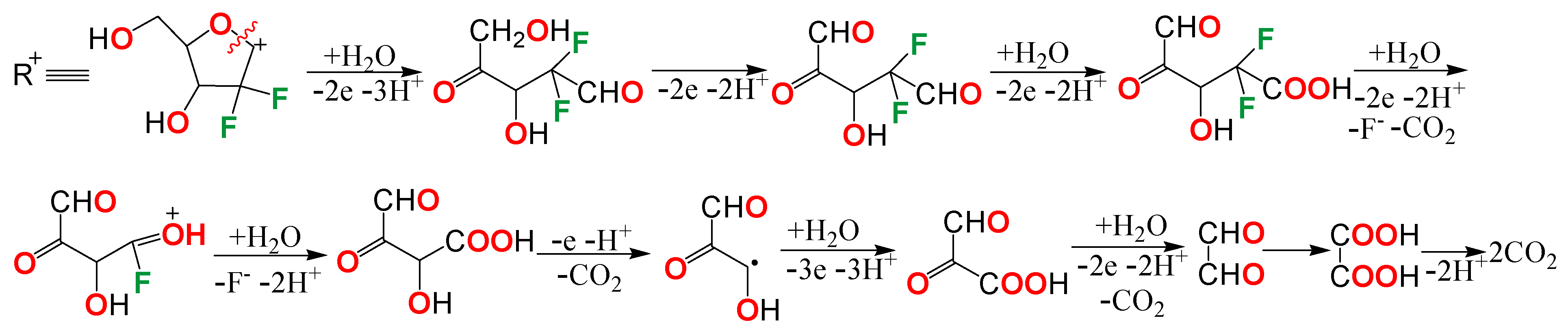
2.3.2. Gemcitabine Decomposition Mechanism
2.3.3. Paclitaxel Decomposition Mechanism
3. Materials and Methods
3.1. Materials
3.2. Preparation of Work Environments
3.3. Investigation Methods
3.3.1. UV-Vis Spectrophotometry
3.3.2. Electrochemical Measurements
3.4. Theoretical Study
3.4.1. Molecular Modelling
3.4.2. Docking Protocol
4. Conclusions
Author Contributions
Funding
Institutional Review Board Statement
Informed Consent Statement
Data Availability Statement
Acknowledgments
Conflicts of Interest
References
- Edris, A.E. Pharmaceutical and therapeutic Potentials of essential oils and their individual volatile constituents: A review. Phytother. Res. 2007, 21, 308–323. [Google Scholar] [CrossRef] [PubMed]
- Rajesh, D.; Howard, P. Perillyl alcohol mediated radiosensitization via augmentation of the Fas pathway in prostate cancer cells. Prostate 2003, 57, 14–23. [Google Scholar] [CrossRef]
- Elson, C.E. Suppression of mevalonate pathway activities by dietary isoprenoids: Protective roles in cancer and cardiovascular disease. J. Nutr. 1995, 125, 1666–1672. [Google Scholar]
- Edris, A.E.; Shalaby, A.S.; Fadel, H.M.; Abdel-Wahab, M.A. Evaluation of a chemotype of spearmint (Mentha spicata L.) grown in Siwa Oasis, Egypt. Eur. Food Res. Technol. 2003, 218, 74–78. [Google Scholar] [CrossRef]
- Guedes, D.N.; Silva, D.; Filho, J.M.B.; de Medeiros, I.A. Endothelium-dependent hypotensive and vasorelaxant effects of the essential oil from aerial parts of Mentha x villosa in rats. Phytomedicine 2004, 11, 490–497. [Google Scholar] [CrossRef]
- Naderi, G.A.; Asgary, S.; Ani, M.; Sarraf-Zadegan, N.; Safari, M.R. Effect of some volatile oils on the affinity of intact and oxidized low-density lipoproteins for adrenal cell surface receptors. Mol. Cell. Biochem. 2004, 267, 59–66. [Google Scholar] [CrossRef]
- Isac-García, J.; Dobado, J.A.; Calvo-Flores, F.G.; Martínez-García, H. Chapter 7—Basic Operation Experiments. In Experimental Organic Chemistry, 1st ed.; Academic Press: Cambridge, MA, USA, 2016; pp. 207–238. Available online: https://www.sciencedirect.com/topics/chemistry/limonene (accessed on 26 June 2021).
- Nikfar, S.; Behboudi, A.F. Limonene. In Encyclopedia of Toxicology, 3rd ed.; Wexler, P., Ed.; Academic Press: Cambridge, MA, USA, 2014; pp. 78–82. Available online: https://www.sciencedirect.com/topics/chemistry/limonene (accessed on 26 June 2021).
- Crowell, P.L.; Lin, S.; Vedejs, E.; Gould, M.N. Identification of metabolites of the antitumor agent d-limonene capable of inhibiting protein isoprenylation and cell growth. Cancer Chemother. Pharmacol. 1992, 31, 205–212. [Google Scholar] [CrossRef]
- Schmidt, L.; Göen, T. R-Limonene metabolism in humans and metabolite kinetics after oral administration. Arch. Toxicol. 2017, 91, 1175–1185. [Google Scholar] [CrossRef]
- Sobral, M.V.; Xavier, A.L.; Lima, T.C.; De Sousa, D.P. Antitumor Activity of Monoterpenes Found in Essential Oils. Sci. World J. 2014, 2014, 953451. [Google Scholar] [CrossRef]
- Miller, J.A.; Thompson, P.A.; Hakim, I.A.; Thomson, C.A. d-Limonene: A bioactive food component from citrus and evidence for a potential role in breast cancer prevention and treatment. Oncol. Rev. 2011, 5, 31–42. [Google Scholar] [CrossRef]
- Kurowski, V.; Wagner, T. Comparative pharmacokinetics of ifosfamide, 4-hydroxyifosfamide, chloroacetaldehyde, and 2- and 3-dechloroethylifosfamide in patients on fractionated intravenous ifosfamide therapy. Cancer Chemother. Pharmacol. 1993, 33, 36–42. [Google Scholar] [CrossRef] [PubMed]
- Donald, H.L.; Kirk, M.C.; Struk, R.F. Isolation and identification of 4-ketocyclophosphamide, a possible active form of the an-titumor agent cyclophosphamide. J. Am. Chem. Soc. 1970, 92, 3207–3208. [Google Scholar]
- Connors, T.A.; Farmer, P.J.; Foster, P.B.; Jarman, A.B. Some studies of the active intermediates formed in the microsomal metabolism of cyclophosphamide and isophosphamide. Biochem. Pharmacol. 1974, 23, 115–129. [Google Scholar] [CrossRef]
- Cheeseman, S.L.; Joel, S.P.; Chester, J.D.; Wilson, G.; Dent, J.T.; Richards, F.J.; Seymour, M.T. A ‘modified de Gramont’ regimen of fluorouracil, alone and with oxaliplatin, for advanced colorectal cancer. Br. J. Cancer 2002, 87, 393–399. [Google Scholar] [CrossRef]
- Rothenberg, M.L.; Meropol, N.J.; Poplin, E.A.; Van Cutsem, E.; Wadler, S. Mortality Associated With Irinotecan Plus Bolus Fluorouracil/Leucovorin: Summary Findings of an Independent Panel. J. Clin. Oncol. 2001, 19, 3801–3807. [Google Scholar] [CrossRef]
- André, T.; Louvet, C.; Maindrault-Goebel, F.; Couteau, C.; Mabro, M.; Lotz, J.P.; Gilles-Amar, V.; Krulik, M.; Carola, E.; Izrael, V.; et al. CPT-11 (Irinotecan) addition to bimonthly, high-dose leucovorin and bolus and continuous-infusion 5-fluorouracil (FOLFIRI) for pretreated metastatic colorectal cancer. Eur. J. Cancer 1999, 35, 1343–1347. [Google Scholar] [CrossRef]
- Bonfante, V.; Bonadonna, G.; Villani, F.; Martini, A. Preliminary Clinical Experience with 4′-Epidoxorubicin in Advanced Human Neoplasia. In Cancer Chemo- and Immunopharmacology; Recent Results in Cancer Research; Springer: Berlin/Heidelberg, Germany, 1980; Volume 74, pp. 192–199. [Google Scholar]
- Ciccolini, J.; Serdjebi, C.; Peters, G.J.; Giovannetti, E. Pharmacokinetics and pharmacogenetics of Gemcitabine as a mainstay in adult and pediatric oncology: An EORTC-PAMM perspective. Cancer Chemother. Pharmacol. 2016, 78, 1–12. [Google Scholar] [CrossRef]
- Hilmi, M.; Ederhy, S.; Waintraub, X.; Funck-Brentano, C.; Cohen, A.; Vozy, A.; Lebrun-Vignes, B.; Moslehi, J.; Nguyen, L.S.; Salem, J.-E. Cardiotoxicity Associated with Gemcitabine: Literature Review and a Pharmacovigilance Study. Pharmaceuticals 2020, 13, 325. [Google Scholar] [CrossRef]
- Berveiller, P.; Mir, O. Taxanes during Pregnancy: Probably Safe, but Still to Be Optimized. Oncology 2012, 83, 239–240. [Google Scholar] [CrossRef]
- Saghatelyan, T.; Tananyan, A.; Janoyan, N.; Tadevosyan, A.; Petrosyan, H.; Hovhannisyan, A.; Hayrapetyan, L.; Arustamyan, M.; Arnhold, J.; Rotmann, A.-R.; et al. Efficacy and safety of curcumin in combination with paclitaxel in patients with advanced, metastatic breast cancer: A comparative, randomized, double-blind, placebo-controlled clinical trial. Phytomedicine 2020, 70, 153218. [Google Scholar] [CrossRef]
- Kang, H.J.; Lee, S.H.; Price, J.E.; Kim, L.S. Curcumin suppresses the paclitaxel-induced nuclear factor-kappaB in breast cancer cells and potentiates the growth inhibitory effect of paclitaxel in a breast cancer nude mice model. Breast J. 2009, 15, 223–229. [Google Scholar] [CrossRef]
- Roy, M.; Mukherjee, S.; Sarkar, R.; Biswas, J. Curcumin sensitizes chemotherapeutic drugs via modulation of PKC, telomerase, NF-κB and HDAC in breast cancer. Ther. Deliv. 2011, 2, 1275–1293. [Google Scholar] [CrossRef] [PubMed]
- Zhan, Y.; Chen, Y.; Liu, R.; Zhang, H.; Zhang, Y. Potentiation of paclitaxel activity by curcumin in human breast cancer cell by modulating apoptosis and inhibiting EGFR signaling. Arch. Pharmacal Res. 2014, 37, 1086–1095. [Google Scholar] [CrossRef]
- Rabi, T.; Bishayee, A. d-Limonene sensitizes docetaxel-induced cytotoxicity in human prostate cancer cells: Generation of reactive oxygen species and induction of apoptosis. J. Carcinog. 2009, 8, 9. [Google Scholar] [CrossRef] [PubMed]
- Ferreira Farias, A.L.; Lobato Rodrigues, A.B.; Martins, R.L.; de Menezes Rabelo, E.; Ferreira Farias, C.W.; da Silva de Almeida, S.S.M. Chemical characterization, antioxidant, cytotoxic amd microbiological activities of the essential oil of leaf of Tithonia Diversifolia (Hemsl) A. Gray (Asteraceae). Pharmaceuticals 2019, 12, 34. [Google Scholar] [CrossRef]
- Chen, Y.; Zhu, Z.; Chen, J.; Zheng, Y.; Limsila, B.; Lu, M.; Gao, T.; Yang, Q.; Fu, C.; Liao, W. Terpenoids from Curcumae Rhizoma: Their anticancer effects and clinical uses on combination and versus drug therapies. Biomed. Pharmacother. 2021, 138, 111350. [Google Scholar] [CrossRef] [PubMed]
- Zhou, X.; Fu, L.; Wang, P.; Yang, L.; Zhu, X.; Li, C.G. Drug-herb interactions between Scutellaria baicalensis and pharmaceutical drugs: Insights from experimental studies, mechanistic actions to clinical applications. Biomed. Pharmacother. 2021, 138, 111445. [Google Scholar] [CrossRef]
- Gougis, P.; Hilmi, M.; Geraud, A.; Mir, O.; Funck-Brentano, C. Potential Cytochrome P450-mediated pharmaco-kinetic interactions between herbs, food, and dietary supplements and cancer treatments. Crit. Rev. Oncol. Hemat. 2021, 103342. [Google Scholar] [CrossRef] [PubMed]
- Farahani, M.A.; Afsargharehbagh, R.; Marandi, F.; Moradi, M.; Hashemi, S.-M.; Moghadam, M.P.; Balouchi, A. Effect of aromatherapy on cancer complications: A systematic review. Complement. Ther. Med. 2019, 47, 102169. [Google Scholar] [CrossRef]
- Cevik, A.B.; Akinci, A.C.; Baglama, S.S. The use of complementary and alternative medicine among lymphoma and cancer patients with a solid tumor: Oncology clinics at Northern and Southern Turkey. Complement. Ther. Med. 2019, 47, 102173. [Google Scholar] [CrossRef]
- Śmiałek, M.A.; Hubin-Franskin, M.J.; Delwiche, J.; Duflot, D.; Mason, N.J.; Vrønning-Hoffmann, S.; de Souza, G.G.B.; Ferreira Rodrigues, A.M.; Rodrigues, F.N.; Limão-Vieira, P. Limonene: Electronic state spectroscopy by high-resolution vacuum ultraviolet photoabsorption, electron scattering, He(I) photoelectron spectroscopy and ab initio calculations. Phys. Chem. Chem. Phys. 2012, 14, 2056–2064. [Google Scholar] [CrossRef] [PubMed]
- The MPI-Mainz UV/VIS Spectral Atlas of Gaseous Molecules of Atmospheric Interest. Available online: http://satellite.mpic.de/spectral_atlas/cross_sections/Terpenes/Limonene%28C10H16%29.spc (accessed on 6 May 2021).
- Bonon, A.J.; Kozlov, Y.N.; Bahú, J.O.; Filho, R.M.; Mandelli, D.; Shul’Pin, G.B. Limonene epoxidation with H2O2 promoted by Al2O3: Kinetic study, experimental design. J. Catal. 2014, 319, 71–86. [Google Scholar] [CrossRef]
- Glonek, K.; Wróblewska, A.; Makuch, E.; Ulejczyk, B.; Krawczyk, K.; Wróbel, R.J.; Koren, Z.C.; Michalkiewicz, B. Oxidation of limonene using activated carbon modified in dielectric barrier discharge plasma. Appl. Surf. Sci. 2017, 420, 873–881. [Google Scholar] [CrossRef]
- Alexander, P.; Jainamboo, M.; Praseetha, P.K.; Gopukumar, S.T. Silica coated liposomes for drug delivery towards breast cancer cells. Rasayan J. Chem. 2016, 9, 300–308. [Google Scholar]
- Hajian, R.; Ekhlasi, E.; Daneshvar, R. Spectroscopic and Electrochemical Studies on the Interaction of Epirubicin with Fish Sperm DNA. E-J. Chem. 2012, 9, 1587–1598. [Google Scholar] [CrossRef]
- Kaur, T.; Kaur, S.; Kaur, P. Development and validation of UV-spectrometric methods for determination of gemcitabine hydrochloride in bulk and polymeric nanoparticles. Int. J. Appl. Pharm. 2017, 9, 60–65. [Google Scholar] [CrossRef]
- Mishra, S.; Narenderan, S.T.; Babu, B.; Mukherjee, K.; Meyyanathan, S.N. Validated Analytical Method for the Estimation of Gemcitabine from its Pharmaceutical Formulation by RP-HPLC. Res. J. Pharm. Technol. 2019, 12, 5407. [Google Scholar] [CrossRef]
- Ismaiel, A.A.; Ahmed, A.S.; Hassan, I.A.; El-Sayed, E.-S.R.; El-Din, A.-Z.A.K. Production of paclitaxel with anti-cancer activity by two local fungal endophytes, Aspergillus fumigatus and Alternaria tenuissima. Appl. Microbiol. Biotechnol. 2017, 101, 5831–5846. [Google Scholar] [CrossRef]
- Tutunaru, B.; Samide, A.; Iordache, S.; Tigae, C.; Simionescu, A.; Popescu, A. Ceftriaxone Degradation in the Presence of Sodium Halides Investigated by Electrochemical Methods Assisted by UV-Vis Spectrophotometry. Appl. Sci. 2021, 11, 1376. [Google Scholar] [CrossRef]
- Samide, A.; Tutunaru, B. Interactions between Vitamin C and Nanocolloidal Silver Particles Studied by Cyclic Voltammetry and UV-Vis Spectrophotometry. Electroanalysis 2017, 29, 2498–2506. [Google Scholar] [CrossRef]
- Samide, A.; Tutunaru, B.; Tigae, C.; Efrem, R.; Moanta, A.; Dragoi, M. Removal of Methylene Blue and Methyl Blue dyes from wastewater by electrochemical degradation. Environ. Prot. Eng. 2014, 40, 93–104. [Google Scholar]
- Kumar, A.; Baccoli, R.; Fais, A.; Cincotti, A.; Pilia, L.; Gatto, G. Substitution Effects on the Optoelectronic Properties of Coumarin Derivatives. Appl. Sci. 2020, 10, 144. [Google Scholar] [CrossRef]
- Ghiasi, R.; Nemati, M.; Hakimioun, A.H. Solvent effect on the structural, electronic, spectra properties and first hyperpolarizability of W(CO)5L, L=(4-pyridylmethylene)malononitrile. J. Chil. Chem. Soc. 2016, 61, 2921–2928. [Google Scholar] [CrossRef][Green Version]
- Chattaraj, P.K.; Sarkar, A.U.; Roy, D.R. Electrophilicity Index. Chem. Rev. 2006, 106, 2065–2091. [Google Scholar] [CrossRef] [PubMed]
- Saranya, M.; Ayyappan, S.; Nithya, R.; Sangeetha, R.K.; Gokila, A. Molecular structure, NBO and HOMO-LUMO analysis of quercetin on single layer graphene by density functional theory. Dig. J. Nanomater. Biostruct. 2018, 13, 97–105. [Google Scholar]
- Morris, G.M.; Goodsell, D.S.; Halliday, R.S.; Huey, R.; Hart, W.E. Automated docking using a Lamarckian Genetic Algorithm and empirical binding free energy function. J. Comput. Chem. 1998, 19, 1639–1662. [Google Scholar] [CrossRef]
- Wall, R.; McMahon, G.; Crown, J.; Clynes, M.; O’Connor, R. Rapid and sensitive liquid chromatography–tandem mass spec-trometry for the quantitation of epirubicin and identification of metabolites in biological samples. Talanta 2007, 72, 145–154. [Google Scholar] [CrossRef]
- Maudens, K.; Stove, C.; Cocquyt, V.F.; Denys, H.; Lambert, W.E. Development and validation of a liquid chromatographic method for the simultaneous determination of four anthracyclines and their respective 13-S-dihydro metabolites in plasma and saliva. J. Chromatogr. B 2009, 877, 3907–3915. [Google Scholar] [CrossRef]
- Chagas, C.M.; Moss, S.; Alisaraie, L. Drug metabolites and their effects on the development of adverse reactions: Revisiting Lipinski’s Rule of Five. Int. J. Pharm. 2018, 549, 133–149. [Google Scholar] [CrossRef]
- Le Bot, M.A.; Bégué, J.M.; Kernaleguen, D.; Robert, J.; Ratanasavanh, D.; Airiau, J.; Riché, C.; Guillouzo, A. Different cytotoxicity and metabolism of doxorubicin, daunorubicin, epirubicin, esorubicin and idarubicin in cultured human and rat hepatocytes. Biochem. Pharmacol. 1988, 37, 3877–3887. [Google Scholar] [CrossRef]
- Sun, Y.; Zhen, L.; Peng, Y.; Wang, J.; Fei, F.; Aa, L.; Jiang, W.; Pei, X.; Lu, L.; Liu, J.; et al. Simultaneous determination of gemcitabine prodrug, gemcitabine and its major metabolite 2′,2′-difluorodeoxyuridine in rat plasma by UFLC-MS/MS. J. Chromatogr. B 2018, 1084, 4–13. [Google Scholar] [CrossRef]
- Sun, Y.; Tang, D.; Chen, H.; Zhang, F.; Fan, B.; Zhang, B.; Fang, S.; Lu, Q.; Wei, Y.; Yin, J.; et al. Determination of gemcitabine and its metabolite in extracellular fluid of rat brain tumor by ultra performance liquid chromatography–tandem mass spectrometry using microdialysis sampling after intralesional chemotherapy. J. Chromatogr. B 2013, 919–920, 10–19. [Google Scholar] [CrossRef] [PubMed]
- Wickremsinhe, E.R.; Lee, L.B.; Schmalz, C.A.; Torchia, J.; Ruterbories, K.J. High sensitive assay employing column switching chromatography to enable simultaneous quantification of an amide prodrug of gemcitabine (LY2334737), gemcitabine, and its metabolite dFdU in human plasma by LC–MS/MS. J. Chromatogr. B 2013, 932, 117–122. [Google Scholar] [CrossRef] [PubMed]
- van Nuland, M.; Hillebrand, M.J.X.; Rosing, H.; Burgers, J.A.; Schellens, J.H.M.; Beijnen, J.H. Ultra-sensitive LC–MS/MS method for the quantification of gemcitabine and its metabolite 2,2-difluorodeoxyuridine in humanplasma for a microdose clinical trial. J. Pharm. Biomed. Anal. 2018, 151, 25–31. [Google Scholar] [CrossRef]
- Fernández-Peralbo, M.A.; Priego-Capote, F.; Luque de Castro, M.D.; Casado-Adam, A.; Arjona-Sánchez, A.; Munoz-Casares, F.C. LC–MS/MS quantitative analysis of paclitaxel and its majormetabolites in serum, plasma and tissue from women with ovariancancer after intraperitoneal chemotherapy. J. Pharm. Biomed. Anal. 2014, 91, 131–137. [Google Scholar] [CrossRef] [PubMed]
- Christner, S.M.; Parise, R.A.; Ivy, P.S.; Tawbi, H.; Chu, E.; Beumer, J.H. Quantitation of paclitaxel, and its 6-alpha-OH and 3-para-OHmetabolites in human plasma by LC–MS/MS. J. Pharm. Biomed. Anal. 2019, 172, 26–32. [Google Scholar] [CrossRef] [PubMed]
- Huizing, M.T.; Vermorken, J.B.; Rosing, H.; Huinink, W.W.T.B.; Mandjes, I.; Pinedo, H.M.; Beijnen, J.H. Pharmacokinetics of paclitaxel and three major metabolites in patients with advanced breast carcinoma refractory to anthracycline therapy treated with a 3-h paclitaxel infusion: A European Cancer Centre (ECC) trial. Ann. Oncol. 1995, 6, 699–704. [Google Scholar] [CrossRef]
- Xie, F.; De Thaye, E.; Vermeulen, A.; Van Bocxlaer, J.; Colin, P. A dried blood spot assay for paclitaxel and its metabolites. J. Pharm. Biomed. Anal. 2018, 148, 307–315. [Google Scholar] [CrossRef]
- Iordache, S.; Tutunaru, B.; Samide, A.; Tigae, C.; Simionescu, A.; Popescu, A. Electrochemical degradation and thermal deac-tivation of valproic acid drug. Int. J. Electrochem. Sci. 2021, 16, 210346. [Google Scholar] [CrossRef]
- Samide, A.; Tutunaru, B.; Bratulescu, G.; Ionescu, C. Electrochemical synthesis and characterization of new electrodes based on poly-hematoxylin films. J. Appl. Polym. Sci. 2013, 130, 687–697. [Google Scholar] [CrossRef]
- Tutunaru, B.; Samide, A.; Neamțu, C.; Tigae, C. Spectroelectrochemical studies of interactions between vitamin A and nanocolloidal silver. Int. J. Electrochem. Sci. 2018, 13, 5850–5859. [Google Scholar] [CrossRef]














| Molecular Structures of Drugs | UV-Vis Spectra of Compounds in Studied Media | λmax/nm |
|---|---|---|
![]() Limonene (LIM); C10H16; M = 136.23 g mol−1 | ![]() | LIM 274 nm 252 nm |
![]() Epirubicin (EPR); C27H29NO11 × HCl; M = 543.174 g mol−1 | ![]() | EPR 500 nm |
![]() Gemcitabine (GCT); C9H11F2N3O4; M = 263.2 g mol−1 | ![]() | GCT 278 nm |
![]() Paclitaxel (PTX); C47H51NO14; M = 853.331 g mol−1 | ![]() | PTX 230 nm |
| CYT/Environment | First-Order Reaction Kinetics | Zero-Order Reaction Kinetics | ||||
|---|---|---|---|---|---|---|
| Ao/Experimental | Ao/Computed from Ao= Ae−kt | R2 | Ao/Experimental | Ao/Computed from Ao = A − kt | R2 | |
| EPR_HCl | 2.01 | 2.07 | 0.996 | - | - | - |
| EPR_SE | 2.54 | 2.38 | 0.988 | - | - | - |
| EPR_ESO | 2.86 | 2.35 | 0.967 | - | - | - |
| GCT_HCl | - | - | - | 2.62 | 2.64 | 0.997 |
| GCT_SE | - | - | - | 2.6 | 2.55 | 0.994 |
| GCT_ESO | 4.12 | 4.16 | 0.994 | 4.16 | 3.93 | 0.960 |
| PTX_HCl | - | - | - | 2.21 | 2.16 | 0.998 |
| PTX_SE | - | - | - | 2.34 | 2.28 | 0.994 |
| PTX_ESO | - | - | - | 2.11 | 2.12 | 0.995 |
| CYT/Environment | First Order Reaction Kinetics | Zero Order Reaction Kinetics | |||
|---|---|---|---|---|---|
| ln(Ao/A) = kt | A = Aoe−kt | t1/2 = (ln2)/k | A = Ao − kt | t1/2 = Ao/2k | |
| k (min−1) | t1/2 (min) | k (uA min−1) | t1/2 (min) | ||
| EPR_HCl | 0.062 | 0.0621 | 11.2 | - | - |
| EPR_SE | 0.015 | 0.0152 | 46.2 | - | - |
| EPR_ESO | 0.011 | 0.0109 | 63.0 | - | - |
| GCT_HCl | - | - | - | 0.3114 | 4.2 |
| GCT_SE | - | - | - | 0.2065 | 6.2 |
| GCT_ESO | 0.081 | 0.081 | 8.6 | - | - |
| PTX_HCl | - | - | - | 0.069 | 15.7 |
| PTX_SE | - | - | - | 0.0317 | 35.9 |
| PTX_ESO | - | - | - | 0.0412 | 25.8 |
| Descriptors | Chemical Compound | |||
|---|---|---|---|---|
| EPR | GCT | PTX | LIM | |
| EHOMO | −9.049 | −9.673 | −8.863 | −9.181 |
| ELUMO | −1.657 | −0.559 | −0.387 | 1.345 |
| I/eV | 9.049 | 9.673 | 8.863 | 9.181 |
| A/eV | 1.657 | 0.559 | 0.387 | −1.345 |
| ΔE/eV | 7.392 | 9.114 | 8.476 | 10.256 |
| χ/eV | 5.353 | 5.116 | 4.625 | 3.918 |
| η/eV | 3.696 | 4.557 | 4.238 | 5.263 |
| S/eV−1 | 0.271 | 0.219 | 0.236 | 0.19 |
| ε/eV | −5.353 | −5.116 | −4.625 | −3.918 |
| ω/eV | 3.87 | 2.87 | 2.52 | 1.45 |
| Dipole moment/D | 1.77 | 6.598 | 3.67 | 0.904 |
| Binding Energy (Kcal mol−1) | Chemotherapeutic Agent-Limonene | ||
|---|---|---|---|
| EPR-LIM | GCT-LIM | PTX-LIM | |
| Final intermolecular energy | −3.58 | −1.86 | −3.93 |
| Final total internal energy | −4.59 | −1.99 | −10.06 |
| Torsion free energy | +3.28 | +1.49 | +5.07 |
| Free binding energy of chemotherapeutic agent-limonene (ΔG) | −0.30 | −0.37 | +1.14 |
| Drug | λmax/nm | A | C/g L−1 | C/mol L−1 | Volume of Drug Solution |
|---|---|---|---|---|---|
| Epirubicin | 500 | 2.01 | 0.14 | 2.57 × 10−4 | 70 |
| Gemcitabine | 278 | 2.62 | 0.04 | 1.52 × 10−4 | 1 |
| Paclitaxel | 230 | 2.21 | 0.01 | 1.17 × 10−5 | 1.7 |
| Solution | Volume from Basic Drug Solution/mL | 5 × 10−2 mol L−1 HCl Solution/mL | DESSO/mL | Water/mL | Ethanol/mL |
|---|---|---|---|---|---|
| EPR_HCl | 70 | 50 | - | 880 | - |
| EPR_SE | 70 | 50 | - | 480 | 400 |
| EPR_ESO | 70 | 50 | 1 | 481 | 399 |
| GCT_HCl | 1 | 50 | - | 880 | - |
| GCT_SE | 1 | 50 | - | 480 | 400 |
| GCT_ESO | 1 | 50 | 1 | 481 | 399 |
| PTX_HCl | 1.7 | 50 | - | 880 | - |
| PTX_SE | 1.7 | 50 | - | 480 | 400 |
| PTX_ESO | 1.7 | 50 | 1 | 481 | 399 |
Publisher’s Note: MDPI stays neutral with regard to jurisdictional claims in published maps and institutional affiliations. |
© 2021 by the authors. Licensee MDPI, Basel, Switzerland. This article is an open access article distributed under the terms and conditions of the Creative Commons Attribution (CC BY) license (https://creativecommons.org/licenses/by/4.0/).
Share and Cite
Samide, A.; Tutunaru, B.; Varut, R.-M.; Oprea, B.; Iordache, S. Interactions of Some Chemotherapeutic Agents as Epirubicin, Gemcitabine and Paclitaxel in Multicomponent Systems Based on Orange Essential Oil. Pharmaceuticals 2021, 14, 619. https://doi.org/10.3390/ph14070619
Samide A, Tutunaru B, Varut R-M, Oprea B, Iordache S. Interactions of Some Chemotherapeutic Agents as Epirubicin, Gemcitabine and Paclitaxel in Multicomponent Systems Based on Orange Essential Oil. Pharmaceuticals. 2021; 14(7):619. https://doi.org/10.3390/ph14070619
Chicago/Turabian StyleSamide, Adriana, Bogdan Tutunaru, Renata-Maria Varut, Bogdan Oprea, and Simona Iordache. 2021. "Interactions of Some Chemotherapeutic Agents as Epirubicin, Gemcitabine and Paclitaxel in Multicomponent Systems Based on Orange Essential Oil" Pharmaceuticals 14, no. 7: 619. https://doi.org/10.3390/ph14070619
APA StyleSamide, A., Tutunaru, B., Varut, R.-M., Oprea, B., & Iordache, S. (2021). Interactions of Some Chemotherapeutic Agents as Epirubicin, Gemcitabine and Paclitaxel in Multicomponent Systems Based on Orange Essential Oil. Pharmaceuticals, 14(7), 619. https://doi.org/10.3390/ph14070619









