Heterocycles as a Peptidomimetic Scaffold: Solid-Phase Synthesis Strategies
Abstract
1. Introduction
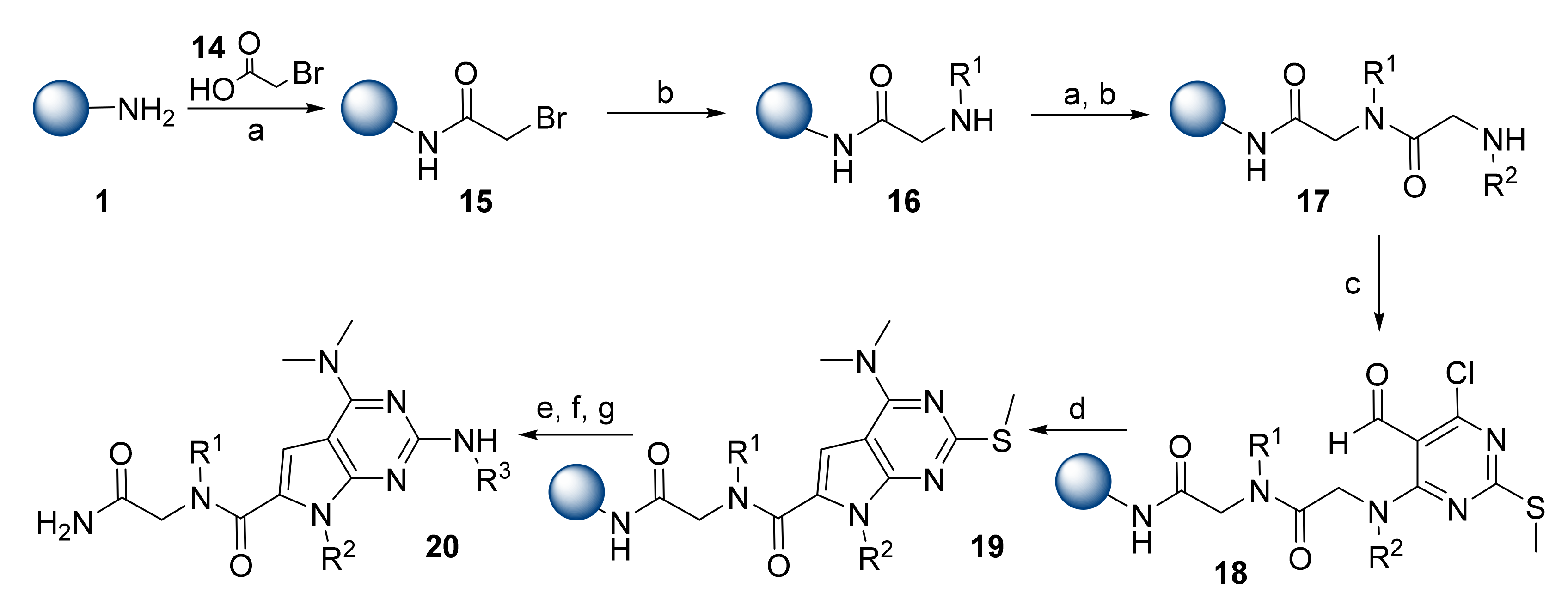
2. Solid-Phase Synthesis of α-Helix Mimetics
3. Solid-Phase Synthesis of Turn Mimetics
4. β-Strand, β-Sheet, and β-Hairpin Mimetics
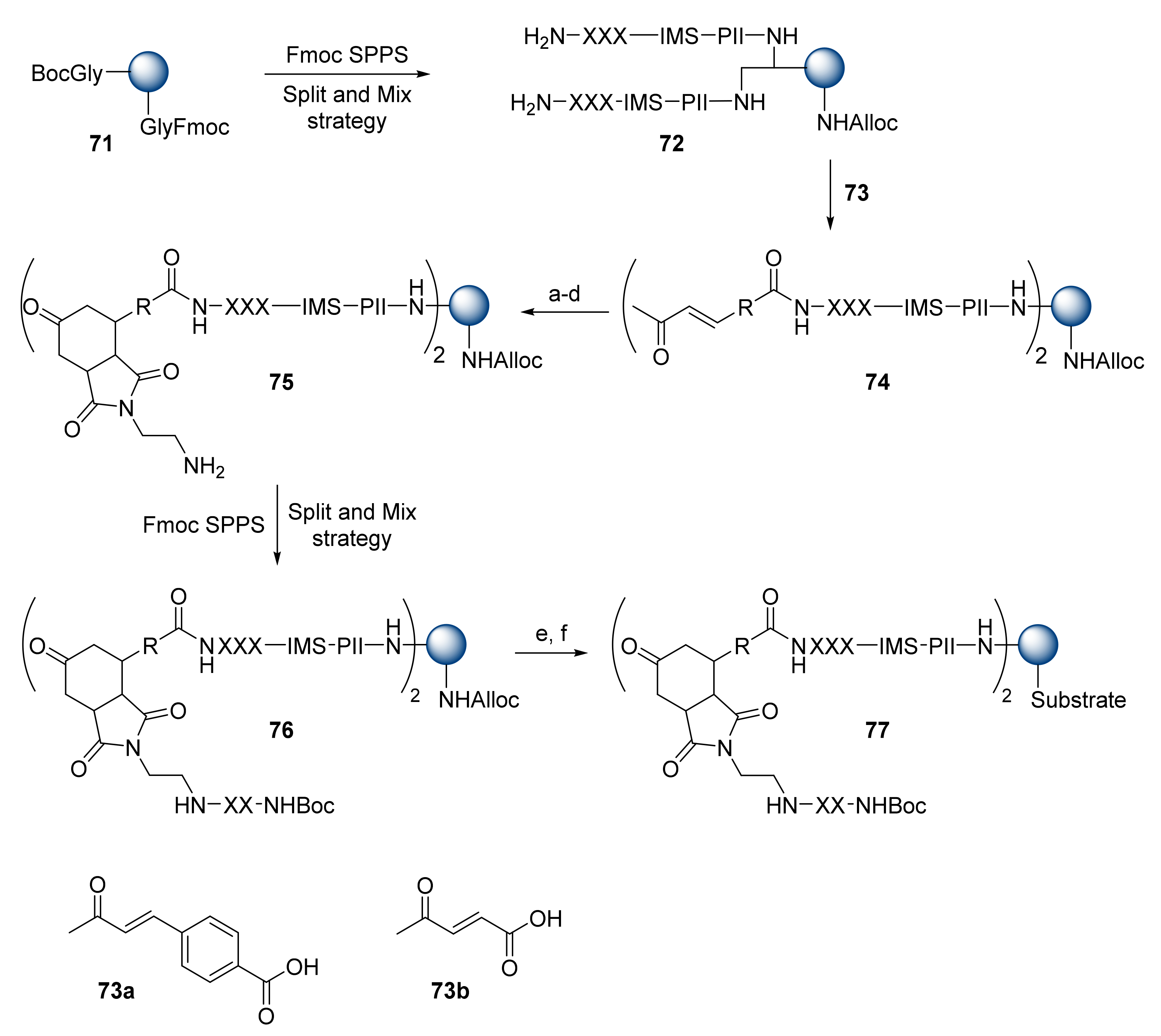
5. Miscellaneous
6. Conclusions
Author Contributions
Funding
Institutional Review Board Statement
Informed Consent Statement
Data Availability Statement
Conflicts of Interest
References
- Mabonga, L.; Kappo, A.P. Peptidomimetics: A Synthetic Tool for Inhibiting Protein–Protein Interactions in Cancer. Int. J. Pept. Res. Ther. 2019, 26, 225–241. [Google Scholar] [CrossRef]
- Ivanov, A.A.; Khuri, F.R.; Fu, H. Targeting protein-protein interactions as an anticancer strategy. Trends Pharmacol. Sci. 2013, 34, 393–400. [Google Scholar] [CrossRef]
- Gokhale, A.S.; Satyanarayanajois, S. Peptides and peptidomimetics as immunomodulators. Immunotherapy 2014, 8, 755–774. [Google Scholar] [CrossRef]
- Kumar, M.S. Peptides and Peptidomimetics as Potential Antiobesity Agents: Overview of Current Status. Front. Nutr. 2019, 6, 11. [Google Scholar] [CrossRef] [PubMed]
- Gurwitz, D. Peptide Mimetics: Fast-Forward Look. Drug. Dev. Res. 2017, 78, 231–235. [Google Scholar] [CrossRef][Green Version]
- Qvit, N.; Rubin, S.J.S.; Urban, T.J.; Mochly-Rosen, D.; Gross, E.R. Peptidomimetic therapeutics: Scientific approaches and opportunities. Drug Discov. Today 2017, 22, 454–462. [Google Scholar] [CrossRef] [PubMed]
- Marshall, G.R.; Ballante, F. Limiting Assumptions in the Design of Peptidomimetics. Drug Dev. Res. 2017, 78, 245–267. [Google Scholar] [CrossRef] [PubMed]
- Akram, O.N.; DeGraff, D.J.; Sheehan, J.H.; Tilley, W.D.; Matusik, R.J.; Ahn, J.M.; Raj, G.V. Tailoring peptidomimetics for targeting protein-protein interactions. Mol. Cancer. Res. 2014, 12, 967–978. [Google Scholar] [CrossRef]
- Palomo, J.M. Solid-phase peptide synthesis: An overview focused on the preparation of biologically relevant peptides. RSC Adv. 2014, 4, 32658–32672. [Google Scholar] [CrossRef]
- Made, V.; Els-Heindl, S.; Beck-Sickinger, A.G. Automated solid-phase peptide synthesis to obtain therapeutic peptides. Beilstein J. Org. Chem. 2014, 10, 1197–1212. [Google Scholar] [CrossRef]
- Garner, J.; Harding, M.M. Design and synthesis of alpha-helical peptides and mimetics. Org. Biomol. Chem. 2007, 5, 3577–3585. [Google Scholar] [CrossRef] [PubMed]
- Wilson, A.J. α-Helix mimetics: Recent developments. Prog. Biophys. Mol. Biol. 2015, 119, 33–40. [Google Scholar] [CrossRef] [PubMed]
- Azzarito, V.; Long, K.; Murphy, N.S.; Wilson, A.J. Inhibition of alpha-helix-mediated protein-protein interactions using designed molecules. Nat. Chem. 2013, 5, 161–173. [Google Scholar] [CrossRef] [PubMed]
- Jayatunga, M.K.; Thompson, S.; Hamilton, A.D. alpha-Helix mimetics: Outwards and upwards. Bioorg. Med. Chem. Lett. 2014, 24, 717–724. [Google Scholar] [CrossRef]
- Yin, H.; Lee, G.I.; Hamilton, A.D. Alpha-Helix Mimetics in Drug Discovery. In Drug Discovery Research: New Frontiers in the Post-Genomic Era; Huang, Z., Ed.; John Wiley & Sons, Inc.: Hoboken, NJ, USA, 2007; Volume 2, pp. 280–298. [Google Scholar]
- Che, Y.; Marshal, G.R. Privileged scaffolds targeting reverse-turn and helix recognition. Expert Opin. Ther. Targets 2008, 12, 1–14. [Google Scholar] [CrossRef] [PubMed]
- Moon, H.; Lim, H.S. Synthesis and screening of small-molecule alpha-helix mimetic libraries targeting protein-protein interactions. Curr. Opin. Chem. Biol. 2015, 24, 38–47. [Google Scholar] [CrossRef]
- Pinto Gomes, C.; Metz, A.; Bats, J.W.; Gohlke, H.; Göbel, M.W. Modular Solid-Phase Synthesis of Teroxazoles as a Class of α-Helix Mimetics. Eur. J. Org. Chem. 2012, 2012, 3270–3277. [Google Scholar] [CrossRef]
- Lee, J.H.; Zhang, Q.; Jo, S.; Chai, S.C.; Oh, M.; Im, W.; Lu, H.; Lim, H.S. Novel pyrrolopyrimidine-based alpha-helix mimetics: Cell-permeable inhibitors of protein-protein interactions. J. Am. Chem. Soc. 2011, 133, 676–679. [Google Scholar] [CrossRef] [PubMed]
- Yin, H.; Lee, G.-i.; Sedey, K.A.; Rodriguez, J.M.; Wang, H.-G.; Sebti, S.M.; Hamilton, A.D. Terephthalamide Derivatives as Mimetics of Helical Peptides: Disruption of the Bcl-xL/Bak Interaction. J. Am. Chem. Soc. 2005, 127, 5463–5468. [Google Scholar] [CrossRef] [PubMed]
- Wrobel, M.; Aube, J.; Konig, B. Parallel solid-phase synthesis of diaryltriazoles. Beilstein J. Org. Chem. 2012, 8, 1027–1036. [Google Scholar] [CrossRef] [PubMed]
- Ross, N.T.; Katt, W.P.; Hamilton, A.D. Synthetic mimetics of protein secondary structure domains. Philos. Trans. A Math. Phys. Eng. Sci. 2010, 368, 989–1008. [Google Scholar] [CrossRef]
- Yin, H.; Hamilton, A.D. Protein Secondary Structure Mimetics as Modulators of Protein Protein and Protein–Ligand Interactions. In Chemical Biology: From Small Molecules to Systems Biology and Drug Design, 1–3; Stuart, L., Schreiber, T.M.K., Günther, W., Eds.; WILEY-VCH Verlag GmbH & Co. KGaA: Weinheim, Germany, 2007; Volume 2, pp. 250–269. [Google Scholar]
- Pelay-Gimeno, M.; Glas, A.; Koch, O.; Grossmann, T.N. Structure-Based Design of Inhibitors of Protein-Protein Interactions: Mimicking Peptide Binding Epitopes. Angew. Chem. Int. Ed. Engl. 2015, 54, 8896–8927. [Google Scholar] [CrossRef] [PubMed]
- Hirschmann, R.F.; Nicolaou, K.C.; Angeles, A.R.; Chen, J.S.; Smith III, A.B. The β-d-Glucose Scaffold as a β-Turn Mimetic. Acc. Chem. Res. 2009, 42, 1511–1520. [Google Scholar] [CrossRef]
- Metrano, A.J.; Abascal, N.C.; Mercado, B.Q.; Paulson, E.K.; Hurtley, A.E.; Miller, S.J. Diversity of Secondary Structure in Catalytic Peptides with beta-Turn-Biased Sequences. J. Am. Chem. Soc. 2017, 139, 492–516. [Google Scholar] [CrossRef] [PubMed]
- Feng, Y.; Wang, Z.; Jin, S.; Burgess, B. SNAr Cyclizations to Form Cyclic Peptidomimetics of β-Turns. J. Am. Chem. Soc. 1998, 120, 10768–10769. [Google Scholar] [CrossRef]
- Park, C.; Burgess, K. Facile Macrocyclizations to β-Turn Mimics with Diverse Structural, Physical, and Conformational Properties. J. Comb. Chem. 2001, 3, 257–266. [Google Scholar] [CrossRef]
- Li, W.; Burgess, K. A new solid-phase linker for Suzuki coupling with concomitant macrocyclization synthesis of β-turn mimics. Tetrahedron Lett. 1999, 40, 6527–6530. [Google Scholar] [CrossRef]
- Lee, H.B.; Zaccaro, M.C.; Pattarawarapan, M.; Roy, S.; Saragovi, H.U.; Burgess, K. Syntheses and Activities of New C10 β-Turn Peptidomimetics. J. Org. Chem. 2004, 69, 701–713. [Google Scholar] [CrossRef]
- Lee, H.B.; Pattarawarapan, M.; Roy, S.; Burgess, K. Syntheses of second generation, 14-membered ring beta-turn mimics. Chem. Commun. 2003, 1674–1675. [Google Scholar] [CrossRef]
- Li, Y.; Yu, Y.; Giulianotti, M.; Houghten, R.A. One-Pot High-Throughput Synthesis of β-Turn Cyclic Peptidomimetics via “Volatilizable” Supports. J. Org. Chem. 2009, 74, 2183–2185. [Google Scholar] [CrossRef]
- Golebiowski, A.; Klopfenstein, S.R.; Chen, J.J.; Shao, X. Solid supported high-throughput organic synthesis of peptide β-turn mimetics via tandem Petasis reaction/diketopiperazine formation. Tetrahedron Lett. 2000, 41, 4841–4844. [Google Scholar] [CrossRef]
- Golebiowski, A.; Klopfenstein, S.R.; Shao, X.; Chen, J.J.; Colson, A.-O.; Grieb, A.L.; Russell, A.F. Solid-Supported Synthesis of a Peptide β-Turn Mimetic. Org. Lett. 2000, 2, 2615–2617. [Google Scholar] [CrossRef] [PubMed]
- Golebiowski, A.; Jozwik, J.; Klopfenstein, S.R.; Colson, A.O.; Grieb, A.L.; Russell, A.F.; Rastogi, V.L.; Diven, C.F.; Portlock, D.E.; Chen, J.J. Solid-Supported Synthesis of Putative Peptide β-Turn Mimetics via Ugi Reaction for Diketopiperazine Formation. J. Comb. Chem. 2002, 4, 584–590. [Google Scholar] [CrossRef] [PubMed]
- Kim, C.; Jung, J.; Tung, T.T.; Park, S.B. beta-Turn mimetic-based stabilizers of protein-protein interactions for the study of the non-canonical roles of leucyl-tRNA synthetase. Chem. Sci. 2016, 7, 2753–2761. [Google Scholar] [CrossRef] [PubMed]
- Kang, C.W.; Ranatunga, S.; Sarnowski, M.P.; Del Valle, J.R. Solid-phase synthesis of tetrahydropyridazinedione-constrained peptides. Org. Lett. 2014, 16, 5434–5437. [Google Scholar] [CrossRef]
- De Marco, R.; Zhao, J.; Greco, A.; Ioannone, S.; Gentilucci, L. In-Peptide Synthesis of Imidazolidin-2-one Scaffolds, Equippable with Proteinogenic or Taggable/Linkable Side Chains, General Promoters of Unusual Secondary Structures. J. Org. Chem. 2019, 84, 4992–5004. [Google Scholar] [CrossRef]
- Sicherl, F.; Cupido, T.; Albericio, F. A novel dipeptidomimetic containing a cyclic threonine. Chem. Commun. 2010, 46, 1266–1268. [Google Scholar] [CrossRef]
- Greco, A.; Tani, S.; De Marco, R.; Gentilucci, L. Synthesis and Analysis of the Conformational Preferences of 5-Aminomethyloxazolidine-2,4-dione Scaffolds: First Examples of β2- and β2, 2-Homo-Freidinger Lactam Analogues. Chem. Eur. J. 2014, 20, 13390–13404. [Google Scholar] [CrossRef]
- Bondebjerg, J.; Xiang, Z.; Bauzo, R.M.; Haskell-Luevano, C.; Meldal, M. A Solid-Phase Approach to Mouse Melanocortin Receptor Agonists Derived from a Novel Thioether Cyclized Peptidomimetic Scaffold. J. Am. Chem. Soc. 2002, 124, 11046–11055. [Google Scholar] [CrossRef]
- Smith, A.B.; Liu, H.; Okumura, H.; Favor, D.A.; Hirschmann, R. Synthesis of Polypyrrolinones on Solid Support. Org. Lett. 2000, 2, 2041–2044. [Google Scholar] [CrossRef]
- Phillips, S.T.; Rezac, M.; Abel, U.; Kossenjans, M.; Bartlett, P.A. “@-Tides”: The 1,2-Dihydro-3(6H)-pyridinone Unit as a β-Strand Mimic. J. Am. Chem. Soc. 2002, 124, 58–66. [Google Scholar] [CrossRef]
- Phillips, S.T.; Piersanti, G.; Ruth, M.; Gubernator, N.; Lengerich, B.; Bartlett, P.A. Facile Synthesis of @-Tide β-Strand Peptidomimetics: Improved Assembly in Solution and on Solid Phase. Org. Lett. 2004, 6, 4483–4485. [Google Scholar] [CrossRef]
- Phillips, S.T.; Blasdel, L.K.; Bartlett, P.A. @-Tide-Stabilized β-Hairpins. J. Org. Chem. 2005, 70, 1865–1871. [Google Scholar] [CrossRef] [PubMed]
- Kang, C.W.; Sarnowski, M.P.; Ranatunga, S.; Wojtas, L.; Metcalf, R.S.; Guida, W.C.; Del Valle, J.R. beta-Strand mimics based on tetrahydropyridazinedione (tpd) peptide stitching. Chem. Commun. 2015, 51, 16259–16262. [Google Scholar] [CrossRef]
- Sarnowski, M.P.; Pedretty, K.P.; Giddings, N.; Woodcock, H.L.; Del Valle, J.R. Synthesis and beta-sheet propensity of constrained N-amino peptides. Bioorg. Med. Chem. 2018, 26, 1162–1166. [Google Scholar] [CrossRef] [PubMed]
- Graven, A.; St. Hilaire, P.M.; Sanderson, S.J.; Mottram, J.C.; Coombs, G.H.; Meldal, M. Combinatorial Library of Peptide Isosters Based on Diels-Alder Reactions: Identification of Novel Inhibitors against a Recombinant Cysteine Protease from Leishmania mexicana. J. Comb. Chem. 2001, 3, 441–452. [Google Scholar] [CrossRef] [PubMed]
- Rinnova, M.; Nefzi, A.; Houghten, R.A. An efficient approach for solid-phase synthesis of peptidomimetics based on 4-imidazolidinones. Tetrahedron Lett. 2002, 43, 2343–2346. [Google Scholar] [CrossRef]
- Gavrilyuk, J.I.; Evindar, G.; Batey, R.A. Peptide−Heterocycle Hybrid Molecules: Solid-Phase Synthesis of a 400-Member Library of N-Terminal 2-Iminohydantoin Peptides. J. Comb. Chem. 2006, 8, 237–246. [Google Scholar] [CrossRef]
- Gavrilyuk, J.I.; Evindar, G.; Batey, R.A. Peptide-Heterocycle Hybrid Molecules : Solid-Phase-Supported Synthesis of Substituted N-Terminal 5-Aminotetrazole Peptides via Electrocyclization of Peptidic Imidoylazides. J. Comb. Chem. 2007, 9, 644–651. [Google Scholar] [CrossRef] [PubMed]
- Biron, E.; Chatterjee, J.; Kessler, H. Solid-Phase Synthesis of 1,3-Azole-Based Peptides and Peptidomimetics. Org. Lett. 2006, 8, 2417–2420. [Google Scholar] [CrossRef]
- Abdildinova, A.; Yang, S.J.; Gong, Y.D. Solid-phase parallel synthesis of 1,3,4-oxadiazole based peptidomimetic library as a potential modulator of protein-protein interactions. Tetrahedron 2018, 74, 684–691. [Google Scholar] [CrossRef]
- Cha, M.-J.; Abdildinova, A.; Gong, Y.-D. Solid-phase parallel synthesis of 1,3-thiazole library adorned with dipeptidyl chains. Tetrahedron 2020, 131702. [Google Scholar] [CrossRef]
- Abdildinova, A.; Gong, Y.D. Traceless solid-phase synthesis and β-turn propensity of 1,3-thiazole-based peptidomimetics. RSC Adv. 2021, 11, 1050–1056. [Google Scholar] [CrossRef]
- Boeglin, D.; Cantel, S.; Heitz, A.; Martinez, J.; Fehrentz, J.A. Solution and Solid-Supported Synthesis of 3,4,5-Trisubstituted 1,2,4-Triazole-Based Peptidomimetics. Org. Lett. 2003, 5, 4465–4468. [Google Scholar] [CrossRef] [PubMed]
- Mendez, Y.; De Armas, G.; Perez, I.; Rojas, T.; Valdes-Tresanco, M.E.; Izquierdo, M.; Alonso Del Rivero, M.; Alvarez-Ginarte, Y.M.; Valiente, P.A.; Soto, C.; et al. Discovery of potent and selective inhibitors of the Escherichia coli M1-aminopeptidase via multicomponent solid-phase synthesis of tetrazole-peptidomimetics. Eur. J. Med. Chem. 2019, 163, 481–499. [Google Scholar] [CrossRef] [PubMed]
- Teixido, M.; Prokai-Tatrai, K.; Wang, X.; Nguyen, V.; Prokai, L. Exploratory neuropharmacological evaluation of a conformationally constrained thyrotropin-releasing hormone analogue. Brain Res. Bull. 2007, 73, 103–107. [Google Scholar] [CrossRef]
- Lee, S.C.; Park, S.B. Practical Solid-Phase Parallel Synthesis of Δ5-2-Oxopiperazines via N-Acyliminium Ion Cyclization. J. Comb. Chem. 2007, 9, 828–835. [Google Scholar] [CrossRef]
- Torres-García, C.; Díaz, M.; Blasi, D.; Farràs, I.; Fernández, I.; Ariza, X.; Farràs, J.; Lloyd-Williams, P.; Royo, M.; Nicolás, E. Side Chain Anchoring of Tryptophan to Solid Supports Using a Dihydropyranyl Handle: Synthesis of Brevianamide F. Int. J. Pept. Res. Ther. 2012, 18, 7–19. [Google Scholar] [CrossRef]
- Boeglin, J.; Venin, C.; Guichard, G. Development of a practical solid-phase synthesis approach to 1,3,5-triazepan-2,6-diones. Tetrahedron 2012, 68, 7472–7478. [Google Scholar] [CrossRef]
- Lena, G.; Lallemand, E.; Gruner, A.C.; Boeglin, J.; Roussel, S.; Schaffner, A.-P.; Aubry, A.; Franetich, J.-F.; Mazier, D.; Landau, I.; et al. 1,3,5-Triazepan-2,6-diones as Structurally Diverse and Conformationally Constrained Dipeptide Mimetics: Identification of Malaria Liver Stage Inhibitors from a Small Pilot Library. Chem. Eur. J. 2006, 12, 8498–8512. [Google Scholar] [CrossRef] [PubMed]
- Calcaterra, A.; Mangiardi, L.; Delle Monache, G.; Quaglio, D.; Balducci, S.; Berardozzi, S.; Iazzetti, A.; Franzini, R.; Botta, B.; Ghirga, F. The Pictet-Spengler Reaction Updates Its Habits. Molecules 2020, 25, 414. [Google Scholar] [CrossRef] [PubMed]
- Ingallina, C.; D’Acquarica, I.; Delle Monache, G.; Ghirga, F.; Quaglio, D.; Ghirga, P.; Berardozzia, S.; Markovic, V.; Botta, B. The Pictet-Spengler Reaction Still on Stage. Curr. Pharm. Des. 2016, 22, 1808–1850. [Google Scholar] [CrossRef] [PubMed]
- Stöckigt, J.; Antonchick, A.P.; Wu, F.; Waldmann, H. The Pictet–Spengler Reaction in Nature and in Organic Chemistry. Angew. Chem. Int. Ed. 2011, 50, 8538–8564. [Google Scholar] [CrossRef] [PubMed]
- Lawrenson, S.B.; Arav, R.; North, M. The greening of peptide synthesis. Green Chem. 2017, 19, 1685–1691. [Google Scholar] [CrossRef]
- Lawrenson, S.; North, M.; Peigneguy, F.; Routledge, A. Greener solvents for solid-phase synthesis. Green Chem. 2017, 19, 952–962. [Google Scholar] [CrossRef]
- Jad, Y.E.; Kumar, A.; El-Faham, A.; de la Torre, B.G.; Albericio, F. Green Transformation of Solid-Phase Peptide Synthesis. ACS Sustain. Chem. Eng. 2019, 7, 3671–3683. [Google Scholar] [CrossRef]
- Varnava, K.G.; Sarojini, V. Making Solid-Phase Peptide Synthesis Greener: A Review of the Literature. Chem. Asian J. 2019, 14, 1088–1097. [Google Scholar] [CrossRef] [PubMed]
- Kober, L.; Zehe, C.; Bode, J. Optimized signal peptides for the development of high expressing CHO cell lines. Biotechnol. Bioeng. 2013, 110, 1164–1173. [Google Scholar] [CrossRef]
- Gaglione, R.; Pane, K.; Dell’Olmo, E.; Cafaro, V.; Pizzo, E.; Olivieri, G.; Notomista, E.; Arciello, A. Cost-effective production of recombinant peptides in Escherichia coli. New Biotechnol. 2019, 51, 39–48. [Google Scholar] [CrossRef] [PubMed]
- Gopal, G.J.; Kumar, A. Strategies for the Production of Recombinant Protein in Escherichia coli. Protein J. 2013, 32, 419–425. [Google Scholar] [CrossRef]
- Hug, J.J.; Krug, D.; Müller, R. Bacteria as genetically programmable producers of bioactive natural products. Nat. Rev. Chem. 2020, 4, 172–193. [Google Scholar] [CrossRef]

















| No | Intermediate Resin | Cyclized Product | Key Strategies |
|---|---|---|---|
| 1 | ![]() | ![]() | 1. Formation of key intermediate 78 from resin-bound dipeptide, aldehyde, and benzotriazole; 2. Cyclization achieved via BF3∙Et2O treatment [49]. |
| 2 | ![]() | ![]() | 1. Formation of thiourea intermediate 80 at the N-terminal of the peptide; 2. Dehydrothiolation of 80 via Mukaiyama’s reagent [50]. |
| 3 | ![]() | ![]() | 1. Incorporation of secondary amino acid into the peptide sequence; 2. Cyclization via HgCl2, or DIC, or Mukaiyama’s reagent [51]. |
| 4 | ![]() | ![]() | 1. Oxidation and dehydrative cyclization of the Thr, Cys, Ser, diaminopropionic acid-containing dipeptides [52]. |
| 5 | ![]() | ![]() | 1. Backbone amide linker (BAL) strategy; 2. Thiosemicarbazide resin coupled with an amino acid to give thiourea intermediate 86; 3. Desulfurative cyclization of 86 with p-TsCl and pyridine; 4. Incorporation of 3-nitrobenzoyl functionality [53]. |
| 6 | ![]() | ![]() | 1. BAL strategy; 2. N-Bn-protected thiourea resin intermediate 88 was used to prevent undesired byproduct; 3. Dehydrative cyclization of 88 with 2-bromo-(3-nitrophenyl)ethenone [54]. |
| 7 | ![]() | ![]() | 1. Traceless linker strategy; 2. Cyclization of 90 with ethyl bromoacetate to yield 1,3-thiazole [55]. |
| 8 | ![]() | ![]() | 1. Cyclization of 92 with hydrazides in the presence of Hg(Ac)2 [56]. |
| 9 | ![]() | ![]() | 1. One-pot Ugi-azide-4CR strategy [57]. |
Publisher’s Note: MDPI stays neutral with regard to jurisdictional claims in published maps and institutional affiliations. |
© 2021 by the authors. Licensee MDPI, Basel, Switzerland. This article is an open access article distributed under the terms and conditions of the Creative Commons Attribution (CC BY) license (https://creativecommons.org/licenses/by/4.0/).
Share and Cite
Abdildinova, A.; Kurth, M.J.; Gong, Y.-D. Heterocycles as a Peptidomimetic Scaffold: Solid-Phase Synthesis Strategies. Pharmaceuticals 2021, 14, 449. https://doi.org/10.3390/ph14050449
Abdildinova A, Kurth MJ, Gong Y-D. Heterocycles as a Peptidomimetic Scaffold: Solid-Phase Synthesis Strategies. Pharmaceuticals. 2021; 14(5):449. https://doi.org/10.3390/ph14050449
Chicago/Turabian StyleAbdildinova, Aizhan, Mark J. Kurth, and Young-Dae Gong. 2021. "Heterocycles as a Peptidomimetic Scaffold: Solid-Phase Synthesis Strategies" Pharmaceuticals 14, no. 5: 449. https://doi.org/10.3390/ph14050449
APA StyleAbdildinova, A., Kurth, M. J., & Gong, Y.-D. (2021). Heterocycles as a Peptidomimetic Scaffold: Solid-Phase Synthesis Strategies. Pharmaceuticals, 14(5), 449. https://doi.org/10.3390/ph14050449



















