Ultrasound for Drug Synthesis: A Green Approach
Abstract
1. Introduction
2. Ultrasound and Green Solvents: A Smart Combination
2.1. Drug Synthesis in Water
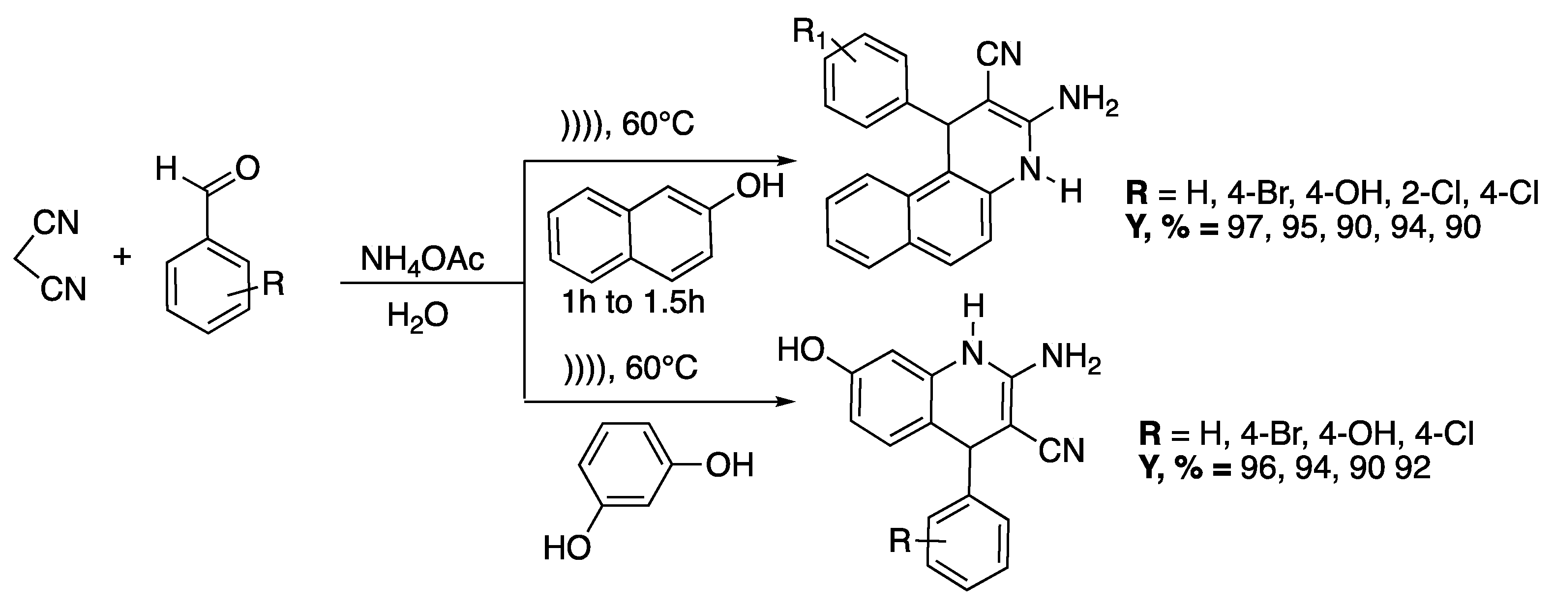
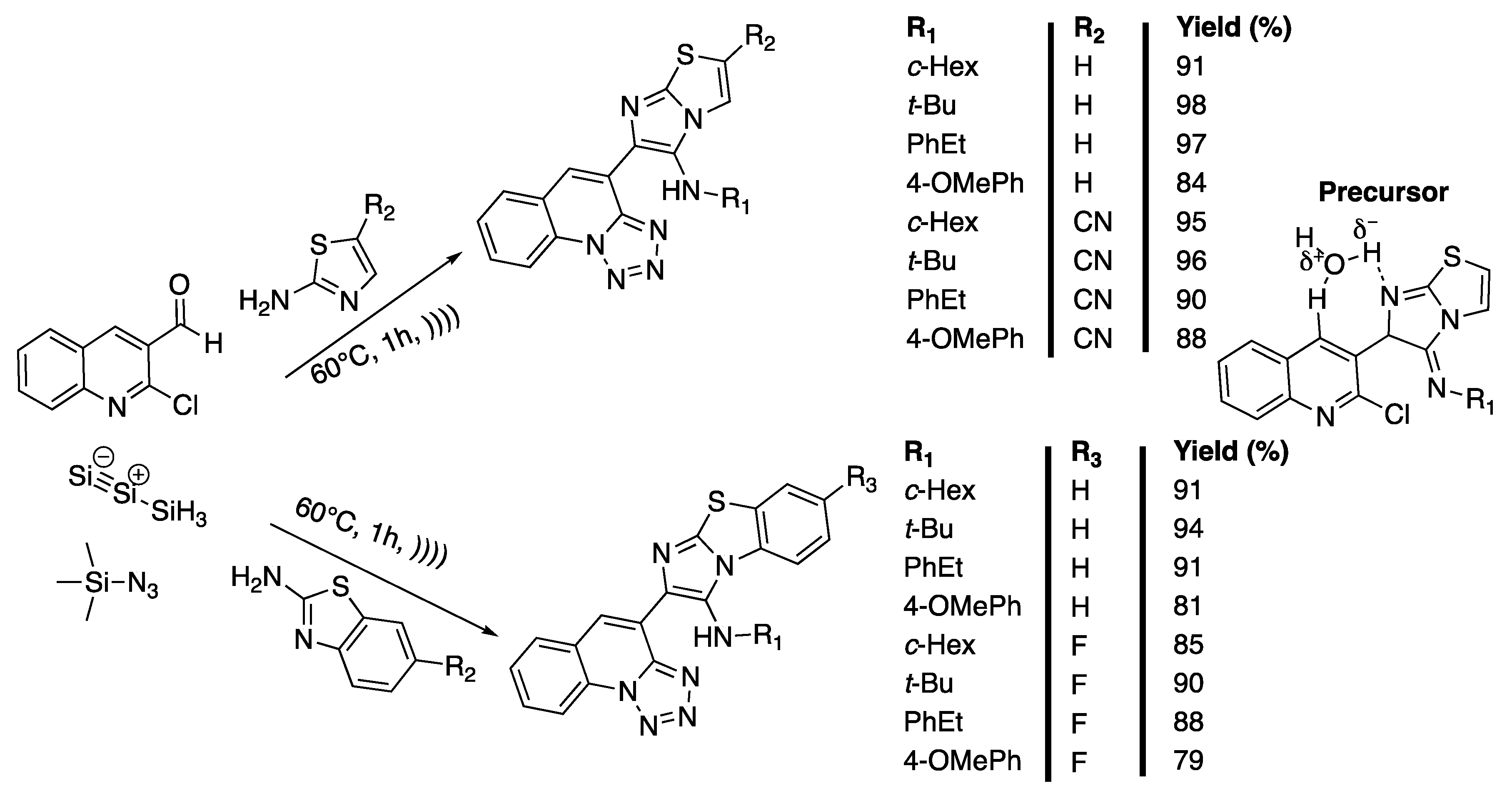
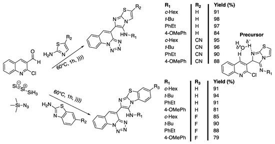
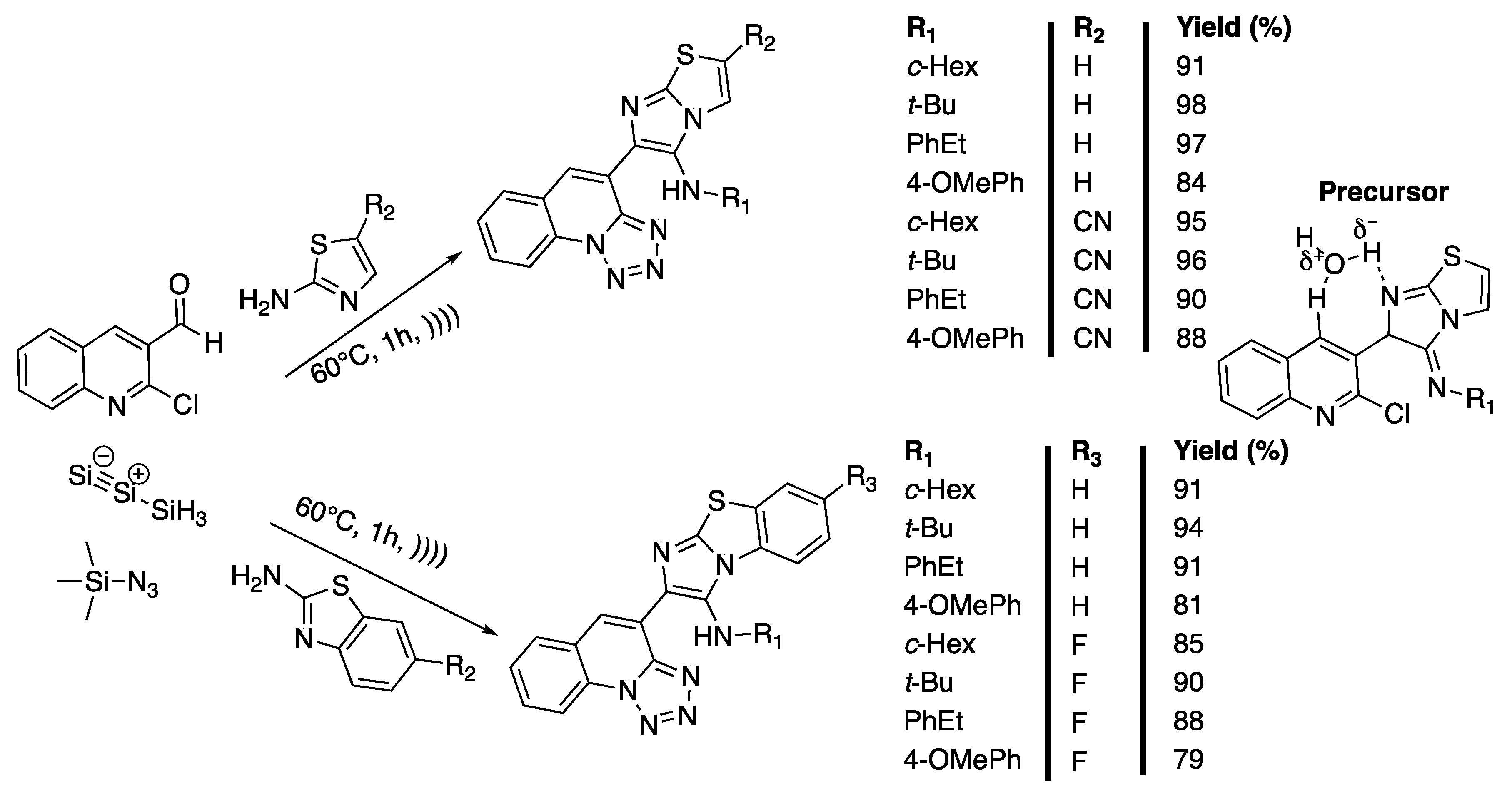
Ultrasound-Assisted Synthesis of Biologically Active Heterocycles in Water Under Catalyst-Free Conditions
2.2. Drug Synthesis in Ionic Liquids
2.3. Drug Synthesis in Biosourced Solvents
2.4. Solventless Drug Synthesis
2.4.1. Ultrasound-Assisted Synthesis of Biologically Active Heterocycles Under Solventless Conditions and with Organocatalysts
2.4.2. Ultrasound-Assisted Synthesis of Biologically Active Heterocycles Under Solventless and Catalyst-Free Conditions
3. Sustainable Catalytic Transformations
3.1. Green Oxidations
3.2. Epoxidation of Alkenes
3.3. Enzymatic Transformations
3.4. Green Reductions
4. Conclusions
Author Contributions
Funding
Acknowledgments
Conflicts of Interest
References
- Talaviya, S.; Falguni, M. Green Chemistry: A tool in Pharmaceutical Chemistry. NHL J. Med. Sci. 2012, 1, 8–13. [Google Scholar]
- Tucker, J.L.; Faul, M.M. Industrial research: Drug companies must adopt green chemistry. Nature 2016, 534, 27–29. [Google Scholar] [CrossRef] [PubMed]
- Chatel, G.; Leclerc, L.; Naffrechoux, E.; Bas, C.; Kardos, N.; Goux-Henry, C.; Andrioletti, B.; Draye, M. Ultrasonic Properties of Hydrophobic Bis(trifluoromethylsulfonyl)imide-Based Ionic Liquids. J. Chem. Eng. Data 2012, 57, 3385−3390. [Google Scholar] [CrossRef]
- Draye, M.; Estager, J.; Naffrechoux, E.; Lévêque, J.M. Organic sonochemistry. In Ultrasound and Microwaves: Recent Advances in Organic Chemistry. In Transworld Research Network; Bazureau, J.P., Draye, M., Eds.; Transworld Research Network: Kerala, India, 2011; pp. 1–34. ISBN 978-81-7895-532-2. [Google Scholar]
- Stefani, H.A.; Cella, R. Reactions under ultrasound. In Encyclopedia of Physical Organic Chemistry; Wang, Z., Wille, U., Juaristi, E., Eds.; John Wiley & Sons, Inc.: New York, NY, USA, 2017; pp. 1–25. [Google Scholar] [CrossRef]
- Tagliapietra, S.; Calcio Gaudino, E.; Cravotto, G. The use of power ultrasound for organic synthesis in green chemistry. In Power Ultrasonics. Applications of High intensity ultrasound; Gallego-Juárez, J.A., Graff, K.F., Eds.; Elsevier: Amsterdam, The Netherlands, 2015; pp. 997–1022. [Google Scholar] [CrossRef]
- Cintas, P. Ultrasound and green chemistry-Further comments. Ultrason. Sonochem. 2016, 28, 257–258. [Google Scholar] [CrossRef] [PubMed]
- Clark, J.H.; Farmer, T.J.; Hunt, A.J.; Sherwood, J. Opportunities for bio- based solvents created as petrochemical and fuel products transition towards renewable resources. Int. J. Mol. Sci. 2015, 16, 17101–17159. [Google Scholar] [CrossRef]
- Curzons, A.D.; Jimenez-Gonzalez, C.; Duncan, A.L.; Constable, D.J.-C.; Cunningham, V.L. Fast life cycle assessment of synthetic chemistry (FLASC™) tool. Int. J. LCA 2007, 12, 272–280. [Google Scholar] [CrossRef]
- Cue, B.W.; Zhang, J. Green process chemistry in the pharmaceutical industry. Green Chem. Lett. Rev. 2009, 2, 193–211. [Google Scholar] [CrossRef]
- Kralisch, D.; Ott, D.; Gericke, D. Rules and benefits of Life Cycle Assessment in green chemical process and synthesis design: A tutorial review. Green. Chem. 2015, 17, 123–145. [Google Scholar] [CrossRef]
- Regulation (EU) 2019/1020 of the European Parliament and of the Council of 20 June 2019 on Market Surveillance and Compliance of Products and Amending Directive 2004/42/EC and Regulations (EC) No 765/2008 and (EU) No 305/2011 (Text with EEA relevance). PE/45/2019/REV/1. Available online: https://eur-lex.europa.eu/legal-content/EN/TXT/?qid=1579600117644&uri=CELEX:32019R1020 (accessed on 21 January 2020).
- Byrne, F.P.; Saimeng, J.; Paggiola, G.; Petchey, T.H.M.; Clark, J.H.; Farmer, T.J.; Hunt, A.J.; McElroy, C.R.; Sherwood, J. Sustain. Chem. Process. 2016, 4, 1–24. [Google Scholar] [CrossRef]
- Sheldon, R.A. Green solvents for sustainable organic synthesis: State of the art. Green Chem. 2005, 7, 267–278. [Google Scholar] [CrossRef]
- Draye, M.; Kardos, N. Advances in Green Organic Sonochemistry. In Sonochemistry form basic principles to innovative applications. Top. Curr. Chem. 2016, 374, 1–20. [Google Scholar] [CrossRef]
- Sheldon, R.A. Selective catalytic synthesis of fine chemicals: Opportunities and trends. J. Mol. Catal. A Chem. 1996, 107, 75–83. [Google Scholar] [CrossRef]
- Chanda, A.; Fokin, V.V. Organic Synthesis “On Water”. Chem. Rev. 2009, 109, 725–748. [Google Scholar] [CrossRef] [PubMed]
- Butler, R.N.; Coyne, A.G. Organic synthesis reactions on-water at the organic–liquid water interface. Org. Biomol. Chem. 2016, 14, 9945–9960. [Google Scholar] [CrossRef]
- Severa, J.; Bár, J. Handbook of Radioactive Contamination and Decontamination; Elsevier: Oxford, UK, 1991; p. 126. [Google Scholar]
- Richards, T.; Loomis, A. The chemical effects of high frequency sound waves I. A preliminary survey. J. Am. Chem. Soc. 1927, 49, 3086–3091. [Google Scholar] [CrossRef]
- Arora, P.; Arora, V.; Lamba, H.S.; Wadhwa, D. Importance of Heterocyclic Chemistry: A Review. Int. J. Pharm. Res. Sci. 2017, 3, 2947–2955. [Google Scholar]
- Penning, T.D.; Talley, J.J.; Bertenshaw, S.R.; Carter, J.S.; Collins, P.W.; Docter, S.; Graneto, M.J.; Lee, L.F.; Malecha, J.W.; Miyashiro, J.M.; et al. Synthesis and biological evaluation of the 1,5-diarylpyrazole class of cyclooxygenase-2 inhibitors: Identification of 4-[5-(4-methylphenyl)-3-(trifluoromethyl)-1H-pyrazol-1-yl]benze nesulfonamide (SC-58635, celecoxib). J. Med. Chem. 1997, 40, 1347–1365. [Google Scholar] [CrossRef]
- Terrett, N.K.; Bell, A.S.; Brown, D.; Ellis, P. Sildenafil (VIAGRATM), a potent and selective inhibitor of type 5 cGMP phosphodiesterase with utility for the treatment of male erectile dysfunction. Bioorg. Med. Chem. Lett. 1996, 6, 1819–1824. [Google Scholar] [CrossRef]
- Shabalala, N.G.; Pagadala, R.; Jonnalagadda, S.B. Ultrasonic-accelarated rapid protocol for the improved synthesis of pyrazoles. Ultrason. Sonochem. 2015, 27, 423–429. [Google Scholar] [CrossRef]
- Pantsar, T.; Singha, P.; Nevalainen, T.J.; Koshevoy, I.; Leppänen, J.; Poso, A.; Niskanen, J.M.A.; Pasonen-Seppänen, S.; Savinainen, J.R.; Laitinen, T.; et al. Design, synthesis, and biological evaluation of 2,4-dihydropyrano[2,3-c]pyrazole derivatives as autotaxin inhibitors. Eur. J. Pharm. Sci. 2017, 107, 97–111. [Google Scholar] [CrossRef]
- Zhou, Y.; Wu, H.; Hu, Y.; Liu, H.; Zhao, X.; Ji, H.; Shi, D. A novel and environment-friendly method for preparing dihydropyrano[2,3-c]pyrazoles in water under ultrasound irradiation. Ultrason. Sonochem. 2011, 18, 708–712. [Google Scholar] [CrossRef]
- Fürstner, A.; Weintritt, H. Total Synthesis of Roseophilin. J. Am. Chem. Soc. 1998, 120, 2817–2825. [Google Scholar] [CrossRef]
- Wermuth, C.-G. Serch for new lead compounds: The example of the chemical and pharmacological dissection of aminopyridazines. J. Heterocycl. Chem. 1998, 35, 1091–1100. [Google Scholar] [CrossRef]
- Eftekhari-Sis, B.; Vahdati-Khajeh, S. Ultrasound-assisted green synthesis of pyrroles and pyridazines in water via three-component condensation reactions of arylglyoxals. Curr. Chem. Lett. 2013, 2, 85–92. [Google Scholar] [CrossRef]
- Pagadala, R.; Anugu, S. Synthesis of Polyfunctionalized Pyrroles via Green Chemical Methods. J. Heterocycl. Chem. 2018, 55, 181–186. [Google Scholar] [CrossRef]
- Pagadala, R.; Maddila, S.; Jonnalagadda, S.B. Ultrasonic-mediated catalyst-free rapid protocol for the multicomponent synthesis of dihydroquinoline derivatives in aqueous media. Green Chem. Lett. Rev. 2014, 7, 131–136. [Google Scholar] [CrossRef]
- Rouffet, M.; de Oliveira, C.A.F.; Udi, Y.; Agrawal, A.; Sagi, I.; McCammon, J.I.; Cohen, S.M. From Sensors to Silencers: Quinoline- and Benzimidazole-Sulfonamides as Inhibitors for Zinc Proteases. J. Am. Chem. Soc. 2010, 132, 8232–8234. [Google Scholar] [CrossRef]
- Kemnitzer, W.; Drewe, J.; Jiang, S.; Zhang, H.; Crogan-Grundy, C.; Labreque, D.; Bubenick, M.; Attardo, G.; Denis, R.; Lamothe, S.; et al. Discovery of 4-Aryl-4H-chromenes as a New Series of Apoptosis Inducers Using a Cell- and Caspase-Based High Throughput Screening Assay. 4. Structure–Activity Relationships of N-Alkyl Substituted Pyrrole Fused at the 7,8-Positions. J. Med. Chem. 2008, 51, 417–423. [Google Scholar] [CrossRef]
- Banitaba, S.H.; Safari, J.; Khalili, S.D. Ultrasound promoted one-pot synthesis of 2-amino-4,8-dihydropyrano [3,2-b]pyran-3-carbonitrile scaffolds in aqueous media: A complementary ‘green chemistry’ tool to organic synthesis. Ultrason. Sonochem. 2013, 20, 401–407. [Google Scholar] [CrossRef]
- Guo, K.; Mutter, R.; Heal, W.; Reddy, T.P.K.; Cope, H.; Pratt, S.; Thompson, M.J.; Chen, B. Synthesis and evaluation of a focused library of pyridine dicarbonitriles against prion disease. Eur. J. Med. Chem. 2008, 43, 93–106. [Google Scholar] [CrossRef]
- Safari, J.; Banitaba, S.H.; Khalili, S.D. Ultraosund-promoted an efficient method for one-pot synthesis of 2-amino-4,6-diphenylnicotinonitriles in water: A rapid procedure without catalyst. Ultrason. Sonochem. 2012, 19, 1061–1069. [Google Scholar] [CrossRef] [PubMed]
- Chunxia, C.; Minghui, L.; Zhihui, L.; Junting, W.; Zhengchao, T.; Tianyu, Z.; Ming, Y. Synthesis and Evaluation of 2-Amino-4H-Pyran-3-Carbonitrile Derivatives as Antitubercular Agents. Open J. Med. Chem. 2013, 3, 128–135. [Google Scholar] [CrossRef]
- Altundas, A.; Gül, B.; Çankaya, M.; Atasever, A.; Gülçin, I. Synthesis of 2-amino-3-cyanopyridine derivatives and investigation of their carbonic anhydrase inhibition effects. J. Biochem. Mol. Toxicol. 2017, 31, 1–8. [Google Scholar] [CrossRef] [PubMed]
- Salimon, J.; Salih, N.; Yousif, E.; Hameed, A.; Ibraheem, H. Synthesis, characterization and biological activity of schiff bases of 2, 5-dimercapto-1,3,4-thiadiazole. Aust. J. Basic Appl. Sci. 2010, 4, 2016–2021. [Google Scholar]
- De Monte, C.; Bizzarri, B.; Concetta Gidaro, M.; Carradori, S.; Mollica, A.; Luisi, G.; Granese, A.; Alcaro, S.; Costa, G.; Basilico, N.; et al. Bioactive compounds of Crocus sativus L. and their semi-synthetic derivatives as promising anti-Helicobacter pylori, anti-malarial and anti-leishmanial agents. J. Enzyme Inhib. Med. Chem. 2015, 309, 1027–1033. [Google Scholar] [CrossRef]
- Song, Y.-L.; Liu, X.-M.; Yang, M.; Yang, G.-L. Synthesis and Antifungal Activity of Some Thiazole Derivatives. Asian J. Chem. 2013, 25, 1849–1852. [Google Scholar] [CrossRef]
- Zhang, D.-N.; Li, J.-T.; Song, Y.-L.; Liu, H.-M.; Li, H.-Y. Efficient one-pot three-component synthesis of N-(4-arylthiazol-2-yl) hydrazones in water under ultrasound irradiation. Ultrason. Sonochem. 2012, 19, 475–478. [Google Scholar] [CrossRef]
- Tejchman, W.; Korona-Glowniak, I.; Malm, A.; Zylewski, M.; Suder, P. Antibacterial properties of 5-substituted derivatives of rhodanine-3-carboxyalkyl acids. Med. Chem. Res. 2017, 26, 1316–1324. [Google Scholar] [CrossRef]
- Rostamnia, S.; Lamei, K. A Rapid, Catalyst-Free, Three-Component Synthesis of Rhodanines in Water Using Ultrasound. Synthesis 2011, 19, 2030–2032. [Google Scholar] [CrossRef]
- Alizadeh, A.; Rostamnia, S.; Zohreh, N.; Hosseinpour, R. A simple and effective approach to the synthesis of rhodanine derivatives via three-component reactions in water. Tetrahedron Lett. 2009, 50, 1533–1535. [Google Scholar] [CrossRef]
- Singh, R.; Bhasin, G.; Srivastava, R.; Geetanjali. β-Aminocarbonyl Compounds: Chemistry and Biological Activities. Mini-Rev. Org. Chem. 2016, 13, 143–153. [Google Scholar] [CrossRef]
- Bandyopadhyay, D.; Mukherjee, S.; Turrubiartes, L.C. Ultrasound-assisted aza-Michael reaction in water: A green procedure. Ultrasonics Sonochem. 2012, 19, 969–973. [Google Scholar] [CrossRef] [PubMed]
- Grossman, E.; Messerli, F.H. Calcium antoagonits. Prog. Cardiovasc. Dis. 2004, 47, 34–57. [Google Scholar] [CrossRef] [PubMed]
- Müller, C.; Reuter, H.; Dohmen, C. Intoxication after Extreme Oral Overdose of Quetiapine to Attempt Suicide: Pharmacological Concerns of Side Effects. Case Rep. Med. 2009, 1–5. [Google Scholar] [CrossRef]
- Carpenter, S.; Berk, M. Clotiapine for acute psychotic illnesses. Cochrane Database Syst. Rev. 2004, 4, 1–4. [Google Scholar] [CrossRef]
- Xiang, J.; Zhang, Z.; Mu, Y.; Xu, X.; Guo, S.; Liu, Y.; Russo, D.P.; Zhu, H.; Yan, B.; Bai, X. Discovery of Novel Tricyclic Thiazepine Derivatives as Anti-Drug-Resistant Cancer Agents by Combining Diversity-Oriented Synthesis and Converging Screening Approach. ACS Comb. Sci. [CrossRef]
- Chate, A.V.; Joshi, R.S.; Badadhe, P.V.; Dabhade, S.K.; Gill, C.H. Efficient Ultrasound Enhance Novel Series of 2-((E)-2,3-Dihydro-2-(4-(phenylthio)phenyl)benzo[b][1,4]thiazepin-4-yl)phenol as an Antimicrobial Agent. Bull. Korean Chem. Soc. 2011, 32, 3887–3892. [Google Scholar] [CrossRef]
- Dandia, A.; Singh, R.; Joshi, J.; Maheshwarib, S.; Soni, P. Ultrasound promoted catalyst-free and selective synthesis of spiro[indole-3,4′-pyrazolo[3,4-e][1,4]thiazepines] in aqueous media and evaluation of their anti-hyperglycemic activity. RSC Adv. 2013, 3, 18992–19001. [Google Scholar] [CrossRef]
- Jessop, P.G. Searching for green solvents. Green Chem. 2011, 13, 1391–1398. [Google Scholar] [CrossRef]
- Angell, C.A.; Ansari, Y.; Zhao, Z. Ionic liquids: Past, present and future. Faraday Discuss. 2012, 154, 9–27. [Google Scholar] [CrossRef]
- Hallett, J.P.; Welton, T. Room-Temperature Ionic Liquids: Solvents for Synthesis and Catalysis. 2. Chem. Rev. 2011, 111, 3508–3576. [Google Scholar] [CrossRef] [PubMed]
- Vekariya, R.L. A review of ionic liquids: Applications towards catalytic organic transformations. J. Mol. Liq. 2017, 227, 44–60. [Google Scholar] [CrossRef]
- Wasserscheid, P.; Welton, T. Ionic Liquids in Synthesis, 2nd ed.; Wiley-VCH Verlag GmbH & Co. KGaA: Weinheim, Germany, 2008. [Google Scholar]
- Plechkova, N.V.; Rogers, R.D.; Seddon, K.R. Ionic Liquids: From Knowledge to Application; ACS Symposium Series: Washington, DC, USA, 2010. [Google Scholar]
- Chiappe, C.; Pieraccini, D. Ionic liquids: Solvent properties and organic reactivity. J. Phys. Org. Chem. 2005, 18, 275–297. [Google Scholar] [CrossRef]
- Kokorin, A. Ionic Liquids: Theory, Properties, New Approaches; InTech: Vienna, Austria, 2011. [Google Scholar]
- Ghandi, K. A Review of Ionic Liquids, Their Limits and Applications. Green Sustain. Chem. 2014, 4, 43349. [Google Scholar] [CrossRef]
- Ho, T.D.; Zhang, C.; Hantao, L.W.; Anderson, J.L. Ionic Liquids in Analytical Chemistry: Fundamentals, Advances, and Perspectives. Anal. Chem. 2014, 86, 262−285. [Google Scholar] [CrossRef]
- MacFarlane, D.R.; Tachikawa, N.; Forsyth, M.; Pringle, J.M.; Howlett, P.C.; Elliott, G.D.; Davis, J.H., Jr.; Watanabe, M.; Simon, P.; Angell, C.A. Energy applications of ionic liquids. Energy Environ. Sci. 2014, 7, 232–250. [Google Scholar] [CrossRef]
- Watanabe, M.; Thomas, M.L.; Zhang, S.; Ueno, K.; Yasuda, T.; Dokko, K. Application of Ionic Liquids to Energy Storage and Conversion Materials and Devices. Chem. Rev. 2018, 117, 7190–7239. [Google Scholar] [CrossRef]
- Chatel, G.; Rogers, R.D. Review: Oxidation of lignin using ionic liquids—An innovative strategy to produce renewable chemicals. ACS Sustain. Chem. Eng. 2014, 2, 322–339. [Google Scholar] [CrossRef]
- Zhang, Z.; Song, J.; Han, B. Catalytic Transformation of Lignocellulose into Chemicals and Fuel Products in Ionic Liquids. Chem. Rev. 2017, 117, 6834–6880. [Google Scholar] [CrossRef]
- Halder, P.; Kundu, S.; Pater, S.; Setiawan, A.; Parthasarthy, R.; Paz-Ferreiro, J.; Surapaneni, A.; Shah, K. Progress on the pre-treatment of lignocellulosic biomass employing ionic liquids. Renew. Sustain. Energy Rev. 2019, 105, 268–292. [Google Scholar] [CrossRef]
- Janiak, C.Z. Ionic Liquids for the Synthesis and Stabilization of Metal Nanoparticles. Naturforsch 2013, 68b, 1059–1089. [Google Scholar] [CrossRef]
- Peng, R.; Wang, Y.; Tang, W.; Yang, Y.; Xie, X. Progress in Imidazolium Ionic Liquids Assisted Fabrication of Carbon Nanotube and Graphene Polymer Composites. Polymers 2013, 5, 847–872. [Google Scholar] [CrossRef]
- Manjunath, K.; Yadav, L.S.R.; Jayalakshmi, T.; Reddy, V.; Rajanaika, H.; Nagaraju, G. Ionic liquid assisted hydrothermal synthesis of TiO2 nanoparticles: Photocatalytic and antibacterial activity. J. Mater. Res. Technol. 2018, 7, 7–13. [Google Scholar] [CrossRef]
- Trujillo-Rodríguez, M.J.; Rocío-Bautista, P.; Pino, V.; Afonso, A.M. Ionic liquids in dispersive liquid-liquid microextraction. TrAC Trends Anal. Chem. 2013, 51, 87–106. [Google Scholar] [CrossRef]
- Martinis, E.M.; Berton, P.; Wuilloud, R.G. Ionic liquid-based microextraction techniques for trace-element analysis. TrAC Trends Anal. Chem. 2014, 60, 54–70. [Google Scholar] [CrossRef]
- Rykowska, I.; Ziemblinska, J.; Nowak, I. Modern approaches in dispersive liquid-liquid microextraction (DLLME) based on ionic liquids: A review. J. Mol. Liq. 2018, 259, 319–339. [Google Scholar] [CrossRef]
- Traoré, Y.; Legeai, S.; Diliberto, S.; Arrachart, G.; Pellet-Rostaing, S.; Draye, M. New Insight into Indium electrochemistry in a Tf2N-based Room-Temperature Ionic Liquid. Electrochim. Acta 2011, 58, 532–540. [Google Scholar] [CrossRef]
- Legeai, S.; Diliberto, S.; Stein, N.; Boulanger, C.; Estager, J.; Papaiconomou, N.; Draye, M. Room temperature ionic liquid for lanthanum electrodeposition. Electrochem. Commun. 2008, 10, 1161–1164. [Google Scholar] [CrossRef]
- Passerini, S.; Montanino, M.; Appetecchi, G.B. Lithium Polymer Batteries Based on Ionic Liquids. In Polymers for Energy Storage and Conversion; Mittal, V., Ed.; John Wiley & Sons, Inc.: Hoboken, NJ, USA, 2013. [Google Scholar]
- Endres, F.; Abbott, A.; MacFarlane, D. Electrodeposition from Ionic Liquids; Wiley-VCH: Weinheim, Germany, 2017. [Google Scholar]
- Hawker, R.R.; Harper, J.B. Chapter two-organic reaction outcomes in ionic liquids. Adv. Phys. Org. Chem. 2018, 52, 49–85. [Google Scholar] [CrossRef]
- Chatel, G.; Macfarlane, D. Ionic liquids and ultrasound in combination: Synergies and challenges. Chem. Soc. Rev. 2014, 43, 8132–8149. [Google Scholar] [CrossRef]
- Chatel, G. Ultrasound in combination with ionic liquids: Studied applications and perspectives. Sonochemistry: From basic principles to innovative applications. Top. Curr. Chem. 2016, 374, 51. [Google Scholar] [CrossRef]
- Messali, M.; Aouad, M.R.; El-Sayed, W.S.; Ali, A.A.; Hadda, T.B.; Hammouti, B. New Eco-Friendly 1-Alkyl-3-(4-phenoxybutyl) Imidazolium-Based Ionic Liquids Derivatives: A Green Ultrasound-Assisted Synthesis, Characterization, Antibacterial Activity and POM Analyses. Molecules 2014, 19, 11741–11759; [Google Scholar] [CrossRef] [PubMed]
- Messali, M.; Almitiri, M.B.; Abderrahman, B.; Salghi, R.; Aouad, M.R.; Alshahateet, S.F.; Ali, A.A.-S. New Pyridazinium-based Ionic Liquids: An Eco-friendly Ultrasound-assisted Synthesis, Characterization and Biological Activity. S. Afr. J. Chem. 2015, 68, 219–225. [Google Scholar] [CrossRef][Green Version]
- Rezki, N.; Al6Sodies, S.A.; Shreaz, S.; Shiekh, R.A.; Messali, M.; Raja, V.; Aouad, M.R. Green Ultrasound versus Conventional Synthesis and Characterization of Specific Task Pyridinium Ionic Liquid Hydrazones Tethering Fluorinated Counter Anions: Novel Inhibitors of Fungal Ergosterol Biosynthesis. Molecules 2017, 22, 1532. [Google Scholar] [CrossRef]
- Sing, H.; Sindhu, J.; Khurana, J.M.; Sharma, C.; Aneja, K.R. Ultrasound promoted one pot synthesis of novel fluorescent triazolyl spirocyclic oxindoles using DBU based task specific ionic liquids and their antimicrobial activity. Eur. J. Med. Chem. 2014, 77, 145–154. [Google Scholar] [CrossRef]
- Reddy, B.P.; Rajes, K.; Vijayakumar, V. Ionic liquid[tbmim]Cl2/AlCl3 under ultrasonic irradiation towards synthesis of 1,4-DHP’s. Arabian J. Chem. 2015, 8, 138–141. [Google Scholar] [CrossRef]
- Wang, J.; Zong, Y.; Fu, R.; Niu, Y.; Yue, G.; Quan, Z.; Wang, X.; Pan, Y. Poly(4-vinylpyridine) supported acidic ionic liquid: A novel solid catalyst for the efficient synthesis of 2,3-dihydroquinazolin-4(1H)-ones under ultrasonic irradiation. Ultrason. Sonochem. 2014, 21, 29–34. [Google Scholar] [CrossRef]
- Inaloo, I.D.; Majnooni, S. Eco-Efficient Ultrasonic-Responsive Synthesis of Primary O-Alkyl and O-Aryl Thiocarbamates Using Brønsted Acid Ionic Liquid [H-NMP][HSO4] in Aqueous Media at Room Temperature. Chem. Sel. 2018, 3, 4095–4100. [Google Scholar] [CrossRef]
- Cravotto, G.; Orio, L.; Gaudino, E.C.; Martina, K.; Tavor, D.; Wolfson, A. Efficient Synthetic Protocols in Glycerol under Heterogeneous Catalysis. ChemSusChem 2011, 4, 1130–1134. [Google Scholar] [CrossRef]
- Paiva, A.; Craveiro, R.; Aroso, I.; Martins, M.; Reis, R.L.; Duarte, A.R.C. Natural Deep Eutectic Solvents—Solvents for the 21st Century. ACS Sustain. Chem. Eng. 2014, 2, 1063–1071. [Google Scholar] [CrossRef]
- Medina-Gonzalez, Y.; Camy, S.; Condoret, J.-S. ScCO2/Green Solvents: Biphasic Promising Systems for Cleaner Chemicals Manufacturing. ACS Sustain. Chem. Eng. 2014, 2, 2623–2636. [Google Scholar] [CrossRef]
- Tortora, M.; Cavalieri, F.; Mosesso, P.; Ciaffardini, F.; Melone, F.; Crestini, C. Ultrasound Driven Assembly of Lignin into Microcapsules for Storage and Delivery of Hydrophobic Molecules. Biomacromolecules 2014, 15, 1634–1643. [Google Scholar] [CrossRef] [PubMed]
- Philippi, K.; Tsamandouras, N.; Grigorakis, S.; Makris, D.P. Ultrasound-Assisted Green Extraction of Eggplant Peel (Solanum melongena) Polyphenols Using Aqueous Mixtures of Glycerol and Ethanol: Optimisation and Kinetics. Environ. Process. 2016, 3, 369–386. [Google Scholar] [CrossRef]
- Cintas, P.; Tagliapietra, S.; Palmisano, G.; Cravotto, G. Glycerol: A solvent and a building block of choice for microwave and ultrasound irradiation procedures. Green Chem. 2014, 16, 1056–1065. [Google Scholar] [CrossRef]
- Batlle, E.; Lizano, E.; Viñas, M.; Pujol, M.D. 1,4-Benzodiazepines and New Derivatives: Description, Analysis and organic synthesis. In Medicinal Chemistry; Janka, V., Ladislav, V., Eds.; IntechOpen: Rijeka, Croatia, 2019; pp. 63–90. [Google Scholar] [CrossRef]
- Shinde, P.V.; Shingate, B.B.; Shingare, M.S. An Organocatalyzed and Ultrasound Accelerated Expeditious Synthetic Route to 1,5-Benzodiazepines under Solvent-Free Conditions. Bull. Korean Chem. Soc. 2011, 32, 1179–1182. [Google Scholar] [CrossRef]
- Mirjalili, B.B.F.; Bamoniri, A.; Akbari, A. BF3·SiO2: An efficient alternative for the synthesis of 14-aryl or alkyl-14H-dibenzo[a,j]xanthenes. Tetrahedron Lett. 2008, 49, 6454–6456. [Google Scholar] [CrossRef]
- Shelke, K.F.; Badar, A.D.; Devhade, J.B. Untrasound assited an expeditious synthesis of 1,5-benzodiazepine Catalysed by cellulose sulphuric acid. Chem. Biol. Interface 2018, 8, 22–25. [Google Scholar]
- Sarhandi, S.; Fekri, L.Z.; Vessaly, I. Ultrasound assisted 1,4-diazabicyclo[2.2.2]octaniumdiacetate multicomponent synthesis of benzodiazepines: A novel, highly efficient and green protocol. Acta Chim. Slov. 2018, 65, 246–252. [Google Scholar] [CrossRef]
- Milne, J.C.; Lambert, P.D.; Schenk, S.; Carney, D.P.; Smith, J.J.; Gagne, G.J.; Jin, L.; Boss, O.; Perni, R.B.; Vu, C.B.; et al. Small molecules activators of SRT1 as therapeutics for the treatment of type 2 diabetes. Nature 2007, 450, 712–716. [Google Scholar] [CrossRef]
- Syed, M.A.; Yiragamreddy, P.R.; Chandrasekhar, K.B. Synthesis and Biological Evaluation New Imidazo[2,1-b]thiazoles. Indian J. Heterocycl. Chem. 2017, 27, 329–338. [Google Scholar]
- Morigi, R.; Vitali, B.; Prata, C.; Palomino, R.A.N.; Graziadio, A.; Locatelli, A.; Rambaldi, M.; Leoni, A. Investigation on the Effects of Antimicrobial imidazo[2,1-b]thiazole Derivatives on the Genitourinary Microflora. Med. Chem. 2018, 14, 311–319. [Google Scholar] [CrossRef] [PubMed]
- Hubbard, B.P.; Sinclair, D.A. Small molecule SIRT1 activators for the treatment of aging and age-related diseases. Trends Pharmacol. Sci. 2014, 35, 146–154. [Google Scholar] [CrossRef] [PubMed]
- Bekhit, A.A.; El-Sayed, O.A.; Aboulmagd, E.; Park, J.Y. Tetrazolo[1,5-a]quinoline as a potential promising new scaffold for the synthesis of novel anti-inflammatory and antibacterial agents. Eur. J. Med. Chem. 2004, 39, 249–255. [Google Scholar] [CrossRef] [PubMed]
- Abdel-Wahab, B.F.; Mohamed, H.A. Synthetic access to imidazo[2,1-b]thiazoles. J. Sulfur Chem. 2012, 33, 589–604. [Google Scholar] [CrossRef]
- Claudio-Catalán, M.A.; Pharande, S.G.; Quezada-Soto, A.; Kishore, K.G.; Rentería-Gómez, A.; Padilla-Vaca, F.; Gamáez-Montaño, R. Solvent- and Catalyst-Free One-Pot Green Bound-Type Fused Bis-Heterocycles Synthesis via Groebke−Blackburn−Bienaymé Reaction/SNAr/Ring-Chain Azido-Tautomerization Strategy. ACS Omega 2018, 3, 5177−5186. [Google Scholar] [CrossRef]
- Asif, M. Chemical Characteristics, Synthetic Methods, and Biological Potential of Quinazoline and Quinazolinone Derivatives. Int. J. Med. Chem. 2014, 1–27. [Google Scholar] [CrossRef]
- Tiwary, B.K.; Pradhan, K.; Nanda, A.K.; Chakraborty, R. Implication of Quinazoline-4(3H)-ones in Medicinal Chemistry: A Brief Review. J. Chem. Biol. Ther. 2015, 1, 1–7. [Google Scholar] [CrossRef]
- Purkhosrowa, A.; Khalilib, A.; Chih Hod, A.; Haghighie, S.M.; Fakhera, S.; Khalafi-Nezhade, A. Highly Efficient, One Pot, Solvent and Catalyst, Free Synthesis of Novel Quinazoline Derivatives under Ultrasonic Irradiation and Their Vasorelaxant Activity Isolated Thoracic Aorta of Rat. Iran. J. Pharm. Res. 2019, 18, 607–619. [Google Scholar] [CrossRef]
- Kaboudin, B.; Alavi, S.; Kazemi, F.; Aoyama, H.; Yokomatsu, T. Resolution of Racemic α-Hydroxyphosphonates: Bi(OTf)3-Catalyzed Stereoselective Esterification of α-Hydroxyphosphonates with (+)-Dibenzoyl-L-tartaric Anhydride. ACS Omega 2019, 4, 15471−15478. [Google Scholar] [CrossRef]
- Pokalwar, R.U.; Hangarge, R.V.; Maske, P.V.; Shingare, M.S. Synthesis and antibacterial activities of α-hydroxyphosphonates and α-acetyloxyphosphonates derived from 2-chloroquinoline-3-carbaldehyde. Arkivoc 2006, 11, 196–204. [Google Scholar] [CrossRef]
- Kategaonkar, A.H.; Pokalwar, R.U.; Sonar, S.S.; Gawali, V.U.; Shingate, B.B.; Shingare, M.S. Synthesis, in vitro antibacterial and antifungal evaluations of new α-hydroxyphosphonate and new α-acetoxyphosphonate derivatives of tetrazolo [1,5-a] quinolone. Eur. J. Med. Chem. 2010, 45, 1128–1132. [Google Scholar] [CrossRef] [PubMed]
- Wu, Q.; Zhou, J.; Yao, Z.; Xu, F.; Shen, Q. Lanthanide amides [(Me3Si)2N]3Ln(μ-Cl)Li(THF)3 catalyzed hydrophosphonylation of aryl aldehydes. J. Org. Chem. 2010, 75, 7498–7501. [Google Scholar] [CrossRef] [PubMed]
- Suresh Kumar, K.; Bhupendra Reddy, C.; Veera Narayana Reddy, M.; Radha Rani, C.; Suresh Reddy, C. Green chemical synthesis of α-hydroxyphosphonates. Org. Commun. 2012, 5, 50–57. [Google Scholar]
- Bouzina, A.; Aouf, N.-E.; Berredjem, M. Ultrasound assisted green synthesis of α-hydroxyphosphonates under solvent free conditions. Res. Chem. Intermed. 2016, 42, 5993–6002. [Google Scholar] [CrossRef]
- Swaminathan, S.; Rajasekaran, A.; Manna, P. DihydroPyrimidinones-A Versatile Scaffold with Diverse Biological Activity. J. Pharm. Sci. Res. 2016, 8, 741–746. [Google Scholar]
- Memarian, H.R.; Farhadi, A. Sono-thermal oxidation of dihydropyrimidinones. Ultrason. Sonochem. 2008, 15, 1015–1018. [Google Scholar] [CrossRef]
- Chen, G.-F.; Jia, H.-M.; Zhang, L.-Y.; Chen, B.-H.; Li, J.-T. An efficient synthesis of 2-substituted benzothiazoles in the presence of FeCl3/Montmorillonite K-10 under ultrasound irradiation. Ultrason. Sonochem. 2013, 20, 627–632. [Google Scholar] [CrossRef]
- Zhang, H.-p.; Kamano, Y.; Ichihara, Y.; Kizu, H.; Komiyama, K.; Itokawa, H.; Pettit, G.R. Isolation and structure of convolutamydines B ∼ D from marine bryozoan Amathia convoluta. Tetrahedron 1995, 51, 5523–5528. [Google Scholar] [CrossRef]
- Satyamaheshwar, P. 3-Substituted-3-hydroxy-2-oxindole, an Emerging New Scaffold for Drug Discovery with Potential Anti-Cancer and other Biological Activities. Curr. Bioact. Compd. 2009, 5, 20–38. [Google Scholar] [CrossRef]
- Kamano, Y.; Zhang, H.-p.; Ichihara, Y.; Kizu, H.; Komiyama, K.; Pettit, G.R. Convolutamydine A, a novel bioactive hydroxyoxindole alkaloid from marine bryozoan Amathia convoluta. Tetrahedron Lett. 1995, 36, 2783–2784. [Google Scholar] [CrossRef]
- Dandia, A.; Singh, R.; Bhaskaran, S. Facile stereoslective synthesis of spiro[indole-oxiranes] by combination of phase transfer catalyst and ultrasound irradiation and their bioassay. Ultrason. Sonochem. 2011, 18, 1113–1117. [Google Scholar] [CrossRef] [PubMed]
- Le Maréchal, A.M.; Robert, A.; Leban, I. Reaction of dicyano epoxides with thiocyanate ion: Route to α-thiocyanato derivatives or to 2-acetylimino-1,3-oxathioles and X-ray crystal structure of 2-acetylimino-4-(4-tolyl)-1,3-oxathiole-5-carbonitrile. J. Chem. Soc. Perk. Trans. 1993, 1, 351–356. [Google Scholar] [CrossRef]
- Robert, A.; Le Marechal, A. Preparation of derivatives of a new heterocyclic system: 2-N-acylimino-1,3-oxaselenoles. J. Chem. Soc. Chem. Commun. 1978, 447–448. [Google Scholar] [CrossRef]
- Guillemet, M.; Robert, A.; Baudy-Floc’h, M. A simple synthesis of New Push-Pull substituted imidazoles by chemoselective nucleophilic attack of α-cyano epoxides. Tetrahedron Lett. 1995, 36, 547–548. [Google Scholar] [CrossRef]
- Singh, F.V.; Mangaonkar, S.R.; Kole, P.B. Ultrasound-assisted rapid synthesis of β-cyanoepoxides using hypervalent iodine reagents. Synth. Commun. 2018, 48, 2169–2176. [Google Scholar] [CrossRef]
- Rautio, J.; Kumpulainen, H.; Heimbach, T.; Oliyai, R.; Oh, D.; Järvinen, T.; Savolainen, J. Prodrugs: Design and clinical applications. Nat. Rev. Drug Discov. 2008, 7, 255. [Google Scholar] [CrossRef]
- Noro, J.; Reis, R.L.; Cavaco-Paulo, A.; Silva, C. Ultrasound-assisted biosynthesis of novel methotrexate-conjugates. Ultrason. Sonochem. 2018, 48, 51–56. [Google Scholar] [CrossRef]
- Gumel, A.M.; Annuar, M.S.M.; Chisti, Y.; Heidelberg, T. Ultrasound assisted lipase catalyzed synthesis of poly-6-hydroxyhexanoate. Ultrason. Sonochem. 2012, 19, 659–667. [Google Scholar] [CrossRef]
- Salvador, J.A.R.; e Melo, M.L.S.; Neves, A.S.C. Ultrasound assisted zinc reactions in synthesis 2. A new clemmensen-type reduction. Tetrahedron Lett. 1993, 34, 361–362. [Google Scholar] [CrossRef]
- Yamamura, S. Modified Clemmensen Reduction: Cholestane. Org. Synth. 1973, 53. [Google Scholar] [CrossRef]
- Török, B.; Szöllösi, G.; Balázsik, K.; Felföldi, K.; Kun, I.; Bartók, M. Ultrasonics in heterogeneous metal catalysis: Sonochemical chemo- and enantioselective hydrogenations over supported platinum catalysts. Ultrason. Sonochem. 1999, 6, 97–103. [Google Scholar] [CrossRef]
- Blay, G.; Bargues, V.; Cardona, L.; García, B.; Pedro, J.R. Ultrasound assisted reductive cleavage of eudesmane and guaiane γ-enonelactones. Synthesis of 1α,7α,10αH-guaian-4,11-dien-3-one and hydrocolorenone from santonin. Tetrahedron 2001, 57, 9719–9725. [Google Scholar] [CrossRef]
- Hernández, A.; López, M.L.; Chamorro, G.; Mendoza-Figueroa, T. Inhibition of Lipid Synthesis and Secretion in Long-Term Cultures of Adult Rat Hepatocytes by α-Asarone. Planta Med. 1993, 59, 121–124. [Google Scholar] [CrossRef]
- Nugroho, B.W.; Schwarz, B.; Wray, V.; Proksch, P. Insecticidal constituents from rhizomes of Zingiber cassumunar and Kaempferia rotunda. Phytochemistry 1996, 41, 129–132. [Google Scholar] [CrossRef]
- Zacchino, S.A.; López, S.N.; Pezzenati, G.D.; Furlán, R.L.; Santecchia, C.B.; Muñoz, L.; Giannini, F.A.; Rodríguez, A.M.; Enriz, R.D. In Vitro Evaluation of Antifungal Properties of Phenylpropanoids and Related Compounds Acting Against Dermatophytes. J. Nat. Prod. 1999, 62, 1353–1357. [Google Scholar] [CrossRef]
- Joshi, B.P.; Sharma, A.; Sinha, A.K. Ultrasound-assisted convenient synthesis of hypolipidemic active natural methoxylated (E)-arylalkenes and arylalkanones. Tetrahedron 2005, 61, 3075–3080. [Google Scholar] [CrossRef]
- Bertram, A.K.; Liu, M.T.H. Cycloaddition of arylchlorocarbenes using ultrasound. J. Chem. Soc. Chem. Commun. 1993, 467–468. [Google Scholar] [CrossRef]
- Eshuis, J.J.W. Ultrasound-mediated rearrangement of β-ionone to 1,1,6-trimethyl-1,2,3,4,-tetrahydronaphthalene. Tetrahedron Lett. 1994, 35, 7833–7836. [Google Scholar] [CrossRef]
- Lee, A.S.-Y.; Yeh, H.-C.; Tsai, M.-H. A simple and highly chemoselective desilylation of tert-butyldimethylsilyl ethers. Tetrahedron Lett. 1995, 36, 6891–6894. [Google Scholar] [CrossRef]
- L., K. Ultrasound. Its Chemical, Physical, and Biological Effects. Kenneth S. Suslick, Ed. VCH, New York, 1988 xiv, 336 pp., illus. $65. Science 1989, 243, 1499. [Google Scholar] [CrossRef]
- Bonrath, W. Industrial applications of sonochemistry in the syntheses of vitamin-building blocks. Ultrason. Sonochem. 2003, 10, 55–59. [Google Scholar] [CrossRef]
- Bonrath, W. Ultrasound supported catalysis. Ultrason. Sonochem. 2005, 12, 103–106. [Google Scholar] [CrossRef] [PubMed]
- Aquino, F.; Bonrath, W.; Paz Schmidt, R.A.; Schiefer, G. Dehydration reaction of hydroxenin monoacetate in carbon tetrachloride and an aliphatic alcohol under ultrasound irradiation. Ultrason. Sonochem. 2005, 12, 107–114. [Google Scholar] [CrossRef] [PubMed]
- Luche, J.-L. Synthetic Organic Sonochemistry; Springer: New York, NY, USA, 1998. [Google Scholar] [CrossRef]
- Corkery, J.M.; Durkin, E.; Elliot, S.; Schifan, F.; Ghodse, A.H. The recreational tryptamine 5-MeO-DALT (N,N-diallyl-5-methoxytryptamine): A brief review. Prog. Neuro Psychopharmacol. Biol. Psychiatry 2012, 39, 259–262. [Google Scholar] [CrossRef] [PubMed]
- Buckholtz, N.S. Neurobiology of tetrahydro-carbolines. Life Sci. 1980, 27, 893–903. [Google Scholar] [CrossRef]
- Kousara, S.; Anjuma, S.N.; Jaleela, F.; Khana, J.; Naseema, S. Biomedical Significance of Tryptamine: A Review. J. Pharm. 2017, 5, 1–6. [Google Scholar] [CrossRef]
- Hamel, E.; Bouchard, D. Contractile 5-HT1 receptors in human isolated pial arterioles: Correlation with 5-HTlD binding sites. Br. J. Pharm. 1991, 102, 227–233. [Google Scholar] [CrossRef]
- Kaushik, N.K.; Kaushik, N.; Attri, P.; Kumar, N.; Kim, C.H.; Verma, A.K.; Choi, E.H. Biomedical Importance of Indoles. Molecules 2013, 18, 6620–6662. [Google Scholar] [CrossRef]
- Letort, S.; Lejeune, M.; Kardos, N.; Métay, E.; Popowycz, F.; Lemaire, M.; Draye, M. New insights into the catalytic reduction of aliphatic nitro compounds with hypophosphites under ultrasonic irradiation. Green Chem. 2017, 19, 4583–4590. [Google Scholar] [CrossRef]


































| Solvent | Activation Method | Yield (%) |
|---|---|---|
| H2O | Ultrasound | 94 |
| H2O | Silent | <10 |
| EtOH | Ultrasound | 90 |
| EtOH | Silent | <10 |
| EtOH-H2O (1:1) | Ultrasound | 93 |
| EtOH-H2O (1:1) | Silent | <10 |
| THF | Ultrasound | 91 |
| THF | Silent | <10 |
| MeCN | Ultrasound | 92 |
| MeCN | Silent | <10 |
© 2020 by the authors. Licensee MDPI, Basel, Switzerland. This article is an open access article distributed under the terms and conditions of the Creative Commons Attribution (CC BY) license (http://creativecommons.org/licenses/by/4.0/).
Share and Cite
Draye, M.; Chatel, G.; Duwald, R. Ultrasound for Drug Synthesis: A Green Approach. Pharmaceuticals 2020, 13, 23. https://doi.org/10.3390/ph13020023
Draye M, Chatel G, Duwald R. Ultrasound for Drug Synthesis: A Green Approach. Pharmaceuticals. 2020; 13(2):23. https://doi.org/10.3390/ph13020023
Chicago/Turabian StyleDraye, Micheline, Gregory Chatel, and Romain Duwald. 2020. "Ultrasound for Drug Synthesis: A Green Approach" Pharmaceuticals 13, no. 2: 23. https://doi.org/10.3390/ph13020023
APA StyleDraye, M., Chatel, G., & Duwald, R. (2020). Ultrasound for Drug Synthesis: A Green Approach. Pharmaceuticals, 13(2), 23. https://doi.org/10.3390/ph13020023

