Abstract
Dysregulated expression or activation of matrix metalloproteinases (MMPs) is observed in many kinds of live-threatening diseases. Therefore, MMP imaging for example with radiolabelled MMP inhibitors (MMPIs) potentially represents a valuable tool for clinical diagnostics using non-invasive single photon emission computed tomography (SPECT) or positron emission tomography (PET) imaging. This work includes the organic chemical syntheses and in vitro evaluation of five iodinated barbiturate based MMPIs and the selection of derivative 9 for radiosyntheses of isotopologues [123I]9 potentially useful for MMP SPECT imaging and [124I]9 for MMP PET imaging.
1. Introduction
The in vivo molecular imaging of locally upregulated and activated matrix metalloproteinases (MMPs) that are observed in pathologies such as cardiovascular diseases, inflammation or cancer remains a substantive clinical issue [1]. Current targeting strategies for noninvasive imaging of MMPs should not only account for high binding affinity and specificity towards the enzyme but also for drug-target residence time [2], subgroup selectivity, sensitivity, target-to-background ratio as well as in vivo stability [3]. Maybe insufficient consideration of these parameters caused that most of the preclinical studies of the past 20 years with radiolabeled MMPIs were either disappointing or remained at a preliminary stage [4,5]. In addition an inadequate validation of the animal models regarding their level of MMP expression leads to challenging data [6].
Our own approaches towards the development of radiolabelled and fluorescent-dye conjugated MMP tracers focused on two different classes of non-peptidic MMPIs, on the one hand hydroxamate-based inhibitors (i.e., derivatives of CGS 27023A and CGS 25966 [7] with a broad-spectrum inhibitory profile) and, on the other hand, pyrimidine-2,4,6-trione-based inhibitors (i.e., barbiturates, derivatives of RO-2653 [8,9,10,11] with sub-group selectivity for the gelatinases A (MMP-2) and B (MMP-9), neutrophil collagenase (MMP-8) and the membrane-bound MMPs MT-1-MMP (MMP-14) and MT-3-MMP (MMP-16)). Initially, in 2005 we suggested in the latter project a first radiolabelled barbiturate-based MMPI, compound 12 (see Table 2) labelled with the radionuclide iodine-125 (125I), for first in vitro and ex vivo applications [12]. In 2008 we developed for the first time the barbiturate-based near-infrared fluorescent photo probe Cy5.5-AF443 that was suitable for in vitro and in vivo imaging of the gelatinases MMP-2 and MMP-9 [13,14]. In 2010 we published the radiosynthesis and evaluation of the first fluorine-18 (18F) labelled barbiturate-based MMPI [15] and two years later, of several more hydrophilic radiofluorinated analogues with improved biodistribution behavior [16]. Moreover, a gallium-68 (68Ga) labelled version was introduced by our group in 2012 [17]. Favorable MMP binding affinities for our barbiturate-based tracers were indeed measured by in vitro assays and in vivo biodistribution studies using wt-mice. However, in animal models with increased MMP expression mentioned barbiturate-based tracers did not meet the expectations. Anyhow in vivo MMP imaging was feasible and specific with our hitherto most encouraging optical imaging probe Cy5.5-AF443 suggesting the assumption that improved imaging performance of the photoprobe Cy5.5-AF443 compared to the barbiturate radiotracers is caused by the cyanine dye substituent with the four hydrophilic sulfonic acid moieties. Actually, these structural characteristics change the physicochemical properties and accordingly the essential biodistribution pattern influenced i.a. by the excretion routes (renal or hepatobiliary), plasma-protein binding, binding to non-target-organs and/or off-target interactions with other proteins. In summary, adopting or transferring features from optical tracers to radiotracers could support their development, an aspect that was recently reviewed by Faust et al. [18]. Therefore, the aim of this work was the synthesis of radioiodinated barbiturate-based MMPI tracers with increased hydrophilicity for potential SPECT/PET imaging. Radionuclides iodine-123 and iodine-124 were used for the radiosyntheses and applied on our target molecule 9, which is ca. 3 log units more hydrophilic as compared to our initial preclinical research tracer [125I]12 (see Table 2) [12]. To achieve increased hydrophilicity two different chemical modifications of the C5 phenoxyphenyl moiety in 12 that occupies the S1’ enzyme pocket were realized. Moreover the commercially available radionuclides iodine-123 (for SPECT) and iodine-124 (for PET) exhibit prolonged half-lives t½ compared to the most common γ-emitter for SPECT technetium-99m (t½ 13.2 h vs. 6.0 h) and β+-emitter for PET fluorine-18 (t½ 4.2 d vs. 110 min) allowing long-term studies with the corresponding 123/124I-labelled barbiturate-based tracer in the next steps.
2. Results and Discussion
2.1. Chemistry
Phenyl barbiturates 5a–d and 6 were prepared as outlined in Scheme 1 by four- (compounds 5a–c), five- (compound 5d) or six-step (compound 6) sequences, respectively.
Scheme 1.
Syntheses of phenyl barbiturates 5a–d and 6. Reagents and yields: (a) NaH, dimethyl carbonate, dioxane, 82% (2a), 73% (2b); (b) urea, NaOEt, EtOH, 29% (3a), 91% (3b); (c) NBS, dibenzoyl peroxide, CCl4, 51% (4a); Br2, HBr, H2O, 89% (4b); (d) N-(2-hydroxyethyl)-piperazine or 3-(piperazin-1-yl)-propionic acid, MeOH, 53% (5a), 18% (5b), 28% (5c); (e) H2, Pd/C, MeOH, 82% (5d); (f) NaI, NaOCl, NaOH, MeOH, 12% (6).
In detail, 4-iodophenyl acetic acid methylester (1a), synthesized by the esterification of commercial 4-iodophenyl acetic acid using MeOH/H2SO4 was methoxycarbonylated to give the corresponding malonic ester 2a. 4-Benzyloxyphenyl malonic acid dimethyl ester (2b) [19] was obtained from methyl 2-((4-benzyloxy)phenyl)acetate (1b) [20] analogous to 2a by the literature procedure. Malonic esters 2a and 2b were cyclized with urea using sodium ethoxide as a base to yield the 5-phenylbarbituric acid derivatives 3a and 3b, which subsequently were brominated with N-bromosuccinimide (NBS) (compound 3a) or bromine/HBr (compound 3b), resulting in the 5-bromo-5-phenyl barbituric acids 4a and 4b. These were reacted with either of the commercially available piperazines N-(2-hydroxyethyl)-piperazine or 3-(piperazin-1-yl)-propionic acid in MeOH to yield the barbituric acid derivatives 5a–c in overall yields of 6% (5a), 2% (5b) and 17% (5c). Cleavage of the benzyloxy group in 5c was achieved by catalytic hydrogenation (H2, Pd/C, MeOH) resulting in the hydroxyl compound 5d in 14% overall yield. Iodination of 5d using sodium iodide, sodium hypochlorite and sodium hydroxide in methanol yielded the ortho iodination product 6 in 2% overall yield.
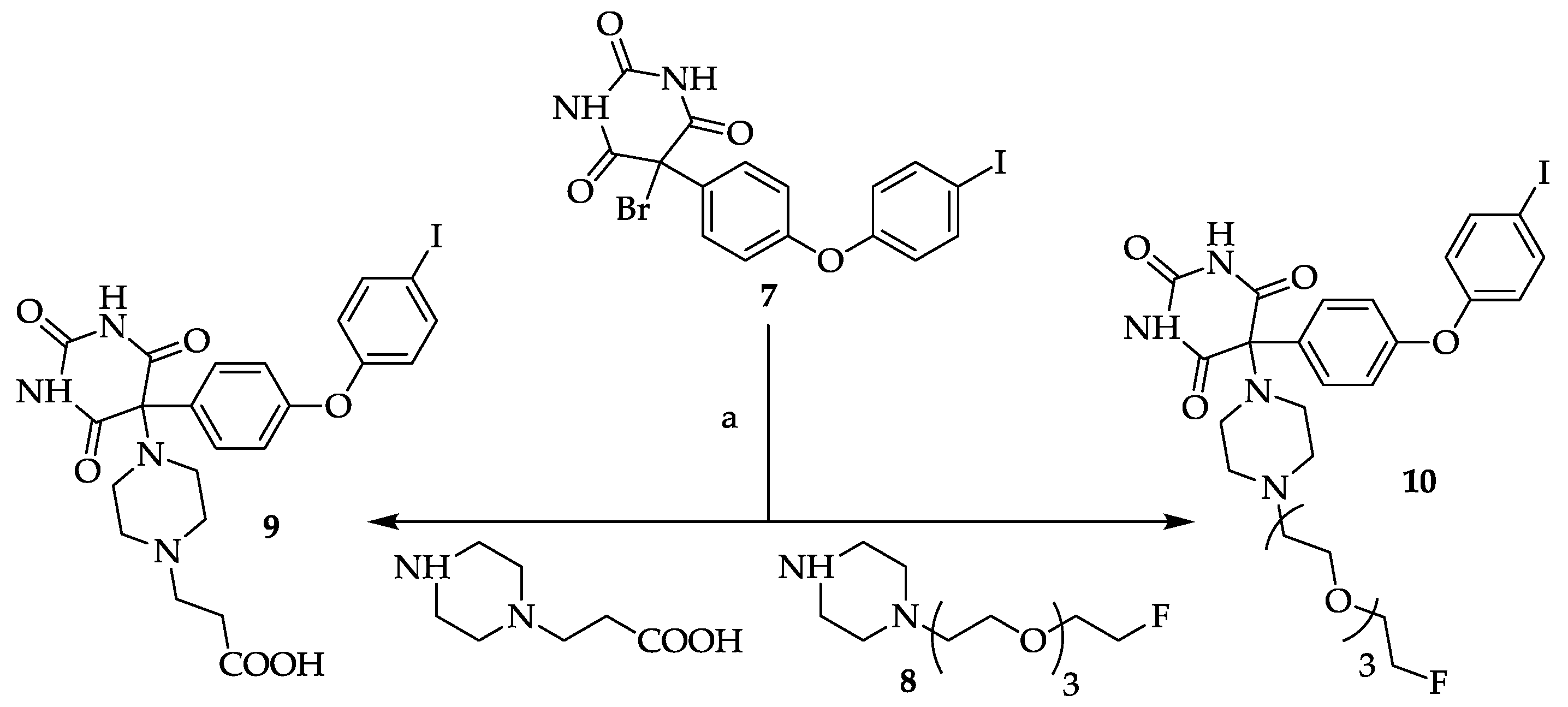
To obtain carboxy derivative 9 and fluoro derivative 10 (Scheme 2) the bromo intermediate 7, whose synthesis was described previously [12], was reacted either with commercially available 3-(piperazin-1-yl)-propionic acid or piperazine 8 [15]. The yields were 83% for 9 and 8% for 10 (Scheme 2).
Scheme 2.
Syntheses of compounds 9 and 10. Reagents and yields: (a) MeOH, 83% (9), 8% (10).
2.2. Enzyme Assays and clogD Values
The MMP inhibition potencies of the barbituric acid derivatives 5a, 5b, 6, 9 and 10 were measured in fluorometric in vitro inhibition assays as described previously [21]. The IC50-values of 5a, 5b and 6 were determined for gelatinases MMP-2 and MMP-9 (Table 1), the IC50-values of 9 and 10 for MMP-2, MMP-8, MMP-9, MMP-13 and MMP-14 (only 9) (Table 2). The results are depicted in Table 1 and Table 2. The tables also contain the calculated logP/logD values (clogP/clogD) of the synthesized barbituric acids derivatives to indicate the changes of lipophilicities caused by the structural modifications.
Table 1.
IC50 values of phenyl barbiturates 5a, 5b and 6.
Table 2.
Structures and IC50 values of phenoxyphenyl barbiturates 9–12.
Replacement of the phenoxyphenyl moiety in 12 (see Table 1) by a phenyl group resulted in compounds 5a–d and 6. As expected the lipophilicities of iodinated 5a–b and 6 are significantly reduced, with clogD values ranging between −1.34 and 1.26 compared to 12 with a clogD value of 3.53. On the other hand the IC50 values for MMP-2 and -9 of these compounds are generally increased compared to the derivatives with a phenoxyphenyl residue (Table 2). This is also expected because the phenoxyphenyl core is optimized for the deep and narrow S1’ pocket of the target MMPs [8]. While 5b and 6 possess IC50 values for MMP-2 and -9 in the micromolar range (0.67–1.6 µM, Table 1), 5a is at least a potent MMP-2 inhibitor with an IC50 value of 10 nM.
The second hydrophilic modification included the substitution of the hydroxy group with a carboxy group in the piperazine residue of 12 to yield carboxylic acid 9 resulting in a clogD shift of 2.6 units (approximately 400 fold increased water solubility, Table 2) from 3.53 towards 0.92. Despite this modification the high MMP-2- and -9-inhibition potency of 12 was only marginally influenced (Table 2, 12: IC50 (MMP-2) = 7 nM, IC50 (MMP-9) = 2 nM. 9: IC50 (MMP-2) = 29 nM, IC50 (MMP-9) = 1.3 nM). Moreover, in vitro data showed, that 9 was also a nanomolar inhibitor of collagenase 3 (MMP-13) and MMP-14 (MT-1 MMP), but only a micromolar inhibitor of neutrophil collagenase (MMP-8) (9: (IC50 (MMP-14) = 49 nM (Table 2, footnote b), IC50 (MMP-8) = 1170 nM, IC50 (MMP-13) = 362 nM). In summary, compound 9 confirms the results from Grams et al. [8] that 5,5-disubstituted barbiturates with a para-substituted phenoxyphenyl unit represent potent inhibitors for MMP-2, -9 and -14. Additionally, as shown by comparison of the IC50 values of 9 and 13 with 10 the elongation of the substituent of the piperazine residue with fluorinated tri-ethylenglycol resulted in a decrease of selectivity for unknown reasons. From this selection of iodinated barbiturate derivatives carboxylic acid 9 was chosen for radiochemical synthesis of the radioiodinated isotopologues [123/124I]9 (see Section 2.3) because this compound possesses the most favourable characteristics indicated by clogD and IC50-values.
2.3 Radiochemistry
Palladium-catalyzed cross-coupling reaction (Stille coupling) of non-radioactive reference compound 9 with tributyltin hydride (or hexabutylditin) (yield: 28%) [20] provided the stannyl precursor 11 (Scheme 3).
Scheme 3.
Precursor synthesis of 11 and radiosynthesis of the barbituric acid-based MMP-targeted model tracer [123/124I]9. Reagents and yields: (a) Bu3SnH or Bu6Sn2 (2.0 eq.), PdCl2(PMePh2)2 or PdCl2 (3 mol%), KOAc (3.0 eq.), N-methyl-pyrrolidone, 28%; (b) [123/124I]NaI, chloroamine-T hydrate, 0.1 M K2HPO4.
Subsequent radioiododestannylation of 11 with no-carrier-added (n. c. a.) [123/124I]NaI and chloroamine-T led to the radioligands [123/124I]9. The decay-corrected radiochemical yields were 28 ± 7% (n = 6) for [123I]9 and 44 ± 6% (n = 3) for [124I]9 at the end of synthesis (EOS) and the radiochemical purities were 95 ± 3% for [123I]9 and 93 ± 5% for [124I]9 (as determined by radio-HPLC). The molar activities are 0.2–6.3 GBq/μmol and 0.4–14.0 GBq/μmol, respectively. The identities of [123/124I]9 were proven by HPLC (coinjection and coelution with reference compound 9).
3. Materials and Methods
3.1. General Methods. Chemistry
All chemicals, reagents and solvents for the synthesis of the compounds were of analytical grade, purchased from commercial sources and used without further purification, unless otherwise specified. Melting points were determined in capillary tubes on a SMP3 capillary melting point apparatus (Stuart Scientific, Staffordshire, UK) and are uncorrected. 1H-NMR, 13C-NMR and 19F-NMR spectra were recorded on ARX 300 and/or AMX 400 spectrometers (Bruker, Karlsruhe, Germany). CDCl3 contained tetramethylsilane (TMS) as an internal standard. Mass spectra were obtained on a MAT 212 (EI = 70 eV) spectrometer (Varian Medical Systems, Palo Alto, CA, USA) and a Bruker MALDI-TOF-MS Reflex IV instrument (matrix: DHB). Exact mass analyses were conducted on a Quattro LC (Waters, Milford, MA, USA) and a Bruker MicroTof apparatus. Elemental analyses were realized by a Vario EL III analyzer (Elementar Analysensysteme Comp., Hanau, Germany). All aforementioned spectroscopic and analytical investigations were done by staff members of the Institute of Organic Chemistry, University of Münster, Germany. All purifications of compounds and determinations of purity by HPLC were performed by using a gradient RP-HPLC system (Knauer, Berlin, Germany) equipped with two K-1800 pumps, an S-2500 UV detector and RP-HPLC Nucleosil Eurosphere 100-10 C-18 columns for analytical (250 mm × 4.6 mm) purposes. The following eluents were used (unless specified otherwise): eluent A: water (0.1% TFA), eluent B: acetonitrile (0.1% TFA). The following conditions were used (unless specified otherwise): Gradient from 90% A to 20% A over 30 min, constant 20% A over 5 min and from 20% A to 90% A over 5 min, at a flow rate of 1.5 mL/min, detection at λ = 254 nm.
3.2. General Procedure for 4-Iodophenyl Malonic Acid Dimethyl Ester (2a) and 4-Benzyloxyphenyl Malonic Acid Dimethyl Ester (2b)
A suspension of 4.00 g NaH (166 mmol, 6.66 g of a 60% suspension in paraffin; the paraffin was removed by repeated washings with petroleum benzene) and 48.0 g (533 mmol) dimethyl carbonate in 80 mL absolute dioxane was heated to 100–120 °C and a solution of 23.00 g (83.3 mmol) 4-Iodophenyl acetic acid methylester (1a, prepared by the esterification of 4-iodophenyl acetic acid using MeOH/H2SO4) in absolute dioxane (125 mL) was added dropwise over a period of 1 h. Refluxing was continued for 3 h and the reaction mixture was allowed to come to room temperature overnight. The mixture was poured onto ice water and subsequently extracted with methylene chloride (3 ×). The combined organic layers were washed with water (1 ×), brine (1 ×), dried (Na2SO4) and concentrated. The crude 2a was used in the next step without further purification. Yield: 22.8 g (68.2 mmol, 82%). 1H-NMR (300 MHz, DMSO-d6): δ [ppm]: 7.90 (d, 3J = 8.3 Hz, 2 H, HAryl), 7.35 (d, 3J = 8.3 Hz, 2 H, HAryl), 5.18 (s, 1 H, CH), 3.83 (s, 6 H, CH3). 13C-NMR (75.5 MHz, DMSO-d6): δ [ppm]: 168.46, 138.14, 133.10, 131.88, 94.86, 55.99, 53.11. 4-Benzyloxyphenyl malonic acid dimethyl ester (2b) [19] was prepared from methyl 2-((4-benzyloxy)phenyl)acetate 1b [20] analogous to 2a.
3.3. General Procedure for 5-(4-Iodophenyl)-pyrimidine-2,4,6-trione (3a) and 5-(4-Benzyloxyphenyl)-pyrimidine-2,4,6-trione (3b)
Under an argon atmosphere 2 eq. of sodium were dissolved in ethanol (0.35 mL/mmol Na) and 1.7 eq. of urea were added. A solution of malonic ester 2a or 2b in ethanol (2.2 mL/mmol) was added dropwise and the reaction mixture was heated to reflux for 6 h. After cooling to room temperature, the mixture was poured onto ice water and adjusted to pH 2 using dilute hydrochloric acid. The precipitate was collected by suction and dried in vacuo. 3a: Yield: 29%. 1H-NMR (300 MHz, DMSO-d6): δ [ppm]: 11.34 (broad, s), 7.68 (broad, d, 2 H, HAryl), 7.09 (broad, d, 2 H, HAryl), 4.92 (s, 1 H, CH). 13C-NMR (75.5 MHz, DMSO-d6): δ [ppm]: 187.77 (C-4/6 enol form), 169.73 (C-4/6 keto form), 151.31 (C-2), 137.41, 132.46, 128 .89, 93.48, 92.09 (C-5 enol form), 54.60 (C-5 keto form). Anal. Calcd for C10H7IN2O4: C 36.39, H 2.14, N 8.49. Found: C 36.61, H 2.29, N 8.23. 3b: Yield: 91%. Mp 233–236 °C. 1H-NMR (300 MHz, DMSO-d6): δ [ppm]: 11.34 (broad, s, OH), 7.4–6.94 (m, 9 H, HAryl), 5.10 (s, 1 H, CH). 13C-NMR (75.5 MHz, DMSO-d6): δ [ppm]: 187.75 (C-4/6 enol form), 169.71 (C-4/6 keto form), 158.25, 151.29 (C-2), 137.39, 132.44, 130.64, 128.14, 115.31, 114.36, 92.06 (C-5 enol form), 69.58, 54.59 (C-5 keto form). Anal. Calcd for C10H14IN2O4·H2O: C 62.19, H 4.91, N 8.53. Found: C 62.38, H 4.56, N 8.14.
3.4. 5-Bromo-5-(4-iodophenyl)-pryrimidine-2,4,6-trione (4a)
A suspension of 3a (6.51 g, 19.7 mmol), N-bromosuccinimide (4.20 g, 23.6 mmol, 1.2 eq.) and a catalytic amount of dibenzoylperoxide in carbon tetrachloride (400 mL) was heated to reflux for a period of 3 h. After cooling to room temperature the mixture was concentrated, the residue was treated with water and extracted with ethyl acetate (3×). The combined extracts were washed with brine, dried (Na2SO4) and the solvent was evaporated. The residue was stirred in CHCl3 for 2 h to give a colorless solid. Yield: 4.10 g (10.0 mmol, 51%). Mp 183–186 °C. 1H-NMR (300 MHz, DMSO-d6): δ [ppm]: 11.47 (broad, s), 10.94 (broad, s), 8.64 (broad, s), 7.71 (d, 2 H, HAryl), 7.15 (d, 2 H, HAryl). 13C-NMR (75.5 MHz, DMSO-d6): δ [ppm]: 179.66, 170.80, 137.81, 133.18, 127.65, 95.76, 75.99. MS (EI): m/e (intensity %): 410 (M+, 15), 408 (M+, 15), 329 (100), 282 (45), 244 (45), 196 (62), 129 (29), 89 (38), 43 (39). Anal. Calcd for C10H6BrIN2O3: C 29.37, H 1.48, N 6.85. Found: C 29.96, H 1.48, N 6.80.
3.5. 5-(4-Benzyloxyphenyl)-5-bromo-pryrimidine-2,4,6-trione (4b)
A suspension of the 3b (5.00 g, 16.1 mmol) in water (48 mL) was cooled to 0–5 °C and 48% HBr (3.25 mL, 28.4 mmol) and bromine (1.32 mL, 25.8 mmol) were added dropwise. After stirring for 4–5 h at 0–10 °C the precipitate was collected by filtration and dried in vacuo. Yield: 5.59 g (14.4 mmol, 89%). Mp 145–147 °C. 1H-NMR (300 MHz, DMSO-d6): δ [ppm]: 11.44 (broad, s), 7.43–7.01 (m, 9 H, HAryl), 5.08 (s, 2 H, CH2). 13C-NMR (75.5 MHz, DMSO-d6): δ [ppm]: 171.34, 159.00, 150.21, 137.18, 130.86, 128.79, 128.03, 127.99, 126.88, 115.30, 76.28, 69.70. MS (ESI-EM) m/e: 410.9951 (M + Na)+ calcd for C17H13BrN2O4Na 410.9956. Anal. Calcd for C17H13BrN2O4·0.3 H2O: C 52.10, H 3.42, N 7.15. Found: C 51.79, H 3.12, N 6.96.
3.6. General Procedure for Compounds 5a–5c
A solution of 4a or 4b in methanol (2–4 mL/mmol) was treated with 2 eq. of N-(2-hydroxyethyl)-piperazine (in case of 5a and 5c) or 3-(piperazin-1-yl)-propionic acid (in case of 5b) and stirred for 2 d at room temperature. The colorless precipitate was collected by suction and dried in vacuo.
3.6.1. 5-[4-(2-Hydroxyethyl)piperazin-1-yl]-5-(4-iodophenyl)pryrimidine-2,4,6-trione (5a)
Yield: 53%. Mp 168–172 °C. 1H-NMR (400 MHz, DMSO-d6): δ [ppm]: 7.72 (d, 3J = 8.7 Hz, 2 H, HAryl), 7.16 (d, 3J = 8.7 Hz, 2 H, HAryl), 3.43–2.31 (m, 12 H, CH2). 13C-NMR (75.5 MHz, DMSO-d6): δ [ppm]: 169.36, 151.07, 138.72, 131.17, 130.13, 95.72, 85.71, 59.68, 58.20, 53.59, 47.24. MS (ESI-EM) m/e: 459.0518 (M + H)+ calcd for C16H20IN4O4 459.0524. Anal. Calcd for C16H19IN4O4·H2O: C 40.35, H 4.23, N 11.76. Found: C 40.93, H 4.54, N 11.47.
3.6.2. 5-[4-(2-Carboxyethyl)piperazin-1-yl]-5-(4-iodophenyl)pyrimidine-2,4,6-trione (5b)
Yield: 18%. Mp 139–142 °C. 1H-NMR (300 MHz, DMSO-d6): δ [ppm]: 9.42 (broad, s), 8.00 (d, 3J = 8.7 Hz, 2 H, HAryl), 7.61 (d, 3J = 8.7 Hz, 2 H, HAryl), 3.30–3.21 (m, 4 H, CH2), 2.85–2.59 (m, 8 H, CH2). 13C-NMR (75.5 MHz, DMSO-d6): δ [ppm]: 173.74, 164.25, 151.49, 138.89, 135.07, 131.70, 86.35, 85.64, 53.23, 49.47, 43.38, 32.01. MS (ESI-EM) m/e: 487.0453 (M + H)+ calcd for C17H20IN4O5 487.0473. Anal. Calcd for C17H19IN4O5·1.8 H2O: C 39.88, H 4.04, N 10.80. Found: C 39.59, H 4.23, N 10.48.
3.6.3. 5-[4-(2-Hydroxyethyl)piperazin-1-yl]-5-(4-benzyloxyphenyl)pryrimidine-2,4,6-trione (5c)
Yield: 28%. Mp 211–213 °C. 1H-NMR (400 MHz, DMSO-d6): δ [ppm]: 7.48–7.02 (m, 9 H, HAryl), 5.09 (s, 2 H, CH2), 3.48–3.44 (m, 2 H, CH2OH), 2.57–2.38 (m, 10 H, CH2). 13C-NMR (100 MHz, DMSO-d6): δ [ppm]: 171.08, 159.63, 150.35, 137.67, 130.00, 129.32, 128.78, 128.28, 128.08, 115.76, 74.99, 70.26, 61.07, 59.28, 48.10, 44.91. MS (MALDI-TOF) m/e: 461 (M + Na)+, 439 (M + H)+. Anal. Calcd for C23H26N4O5·1 H2O: C 60.52, H 6.18, N 12.27. Found: C 60.35, H 5.71, N 12.27.
3.7. 5-[4-(2-Hydroxyethyl)piperazin-1-yl]-5-(4-hydroxyphenyl)pryrimidine-2,4,6-trione (5d)
Compound 5c (1.66 g, 3.79 mmol) was dissolved in absolute methanol (150 mL), treated with Pd/C (10%, 250 mg) and heated to reflux for 12 h under an H2 atmosphere. After cooling to room temperature, the mixture was stirred overnight. The catalyst was filtered off and washed with methanol (80 mL). The solvent was evaporated and the solid residue was dried in vacuo. The crude product was taken up in a CHCl3/ethylacetate mixture (1/1, v/v) and stirred at room temperature for 2–3 h and finally re-isolated by suction filtration. Yield: 1.08 g (3.11 mmol, 82%). Mp 185 °C. 1H-NMR (300 MHz, DMSO-d6): δ [ppm]: 7.45 (d, 3J = 8.6 Hz, 2 H, HAryl), 7.03 (d, 3J = 8.6 Hz, 2 H, HAryl), 3.79 (m, 2 H, CH2OH), 2.99–2.69 (m, 10 H, CH2). 13C-NMR (75.5 MHz, DMSO-d6): δ [ppm]: 170.66, 158.47, 149.82, 131.22, 129.29, 115.94, 74.63, 59.74, 57.66, 53.73, 46.67. MS (ESI-EM) m/e: 349.1521 (M + H)+ calcd for C16H21N4O5 349.1506. Anal. Calcd for C16H20N4O5·2.2 H2O: C 49.56, H 5.77, N 14.44. Found: C 49.08, H 5.54, N 14.02.
3.8. 5-(4-Hydroxy-3-iodophenyl)-5-[4-(2-hydroxyethyl)piperazin-1-yl]pryrimidine-2,4,6-trione (6)
Compound 5d (500 mg, 1.44 mmol) was dissolved in methanol (10 mL) and treated with 58 mg (1.44 mmol) sodium hydroxide and 216 mg (1.44 mmol) sodium iodide. The solution was cooled in an ice bath and 824 mg (687 µL, 1.44 mmol) sodium hypochlorite (13% active chlorine) were added dropwise over a period of 60 min. The orange suspension was stirred in the ice bath for further 2 h until a nearly colorless solution had formed. The ice bath was removed and 2–3 crystals sodium thiosulfate were added at room temperature. The solution was acidified to pH 6.8 by adding 1 M HCl and extracted with ethylacetate (3 × 30 mL). The combined extracts were washed with brine (1 × 30 mL), dried (MgSO4) and evaporated to dryness. Yield: 80 mg (0.17 mmol; 12%). Mp 168–170 °C (decomposition). 1H-NMR (300 MHz, DMSO-d6): δ [ppm]: 11.50 (s, broad, 2 H), 7.60–6.69 (m, 3 H, HAryl), 4.34 (s, 1 H, OH) 3.40–2.28 (m, 12 H, CH2). 13C-NMR (75.5 MHz, DMSO-d6): δ [ppm]: 169.87, 157.32, 149.35, 137.99, 129.10, 127.04, 115.37, 84.56, 73.25, 59.71, 58.27, 53.70, 47.11. MS (ESI-EM) m/e: 475.0467 (M + H)+ calcd for C16H20IN4O5 475.0473. Anal. Calcd for C16H19IN4O5·H2O: C 39.04, H 4.30, N 11.28. Found: C 39.47, H 4.23, N 11.21.
3.9. General Procedure for Compounds 9 and 10
A solution of 5-bromo-5-[4-(4-iodo-phenoxy)-phenyl]pyrimidine-2,4,6-trione 7 [8,12] in methanol (ca. 5–10 mL/mmol) was treated with 2.0 eq. of the appropriate piperazine (8 or 3-(piperazin-1-yl)-propionic acid) and stirred at room temperature overnight. The colorless solids which precipitated after ca. 1 h were collected by suction and dried in vacuo. Compound 10 was further purified by silica gel column chromatography (EtOAc/MeOH (4/1, v/v) + 1% NEt3).
3.9.1. 5-[4-(2-Carboxyethyl)piperazin-1-yl]-5-[4-(4-iodophenoxy)phenyl]pyrimidine-2,4,6-trione (9)
Yield: 83%. Mp: 236–242 °C (decomposition). 1H-NMR (400 MHz, DMSO-d6): δ [ppm]: 9.31 (s, broad, 2 H), 7.95 (d, 3J = 8.6 Hz, 2 H, HAryl), 7.72 (d, 3J = 9.0 Hz, 2 H, HAryl), 6.92 (d, 2J = 9.0 Hz, 2 H, HAryl), 6.87 (d, 3J = 8.6 Hz, 2 H, HAryl), 3.16–3.09 (m, 2 H, CH2), 2.73–2.58 (m, 8 H, CH2), 2.51–2.44 (m, 2 H, CH2). 13C-NMR (100 MHz, DMSO-d6): δ [ppm]: 173.80, 164.31, 158.77, 151.62, 150.29, 138.66, 135.36, 131.05, 120.00, 118.05, 86.65, 85.42, 53.24, 49.46, 43.32, 40.53. MS (ESI-EM) m/e: 420.9687 (M − C7H13N2O2)+ calcd for C16H10IN2O4 420.9685. Anal. Calcd for C23H23IN4O6·2 H2O: C 44.96, H 4.43, N 9.12. Found: C 45.16, H 4.70, N 9.52.
3.9.2. 5-(4-(2-(2-(2-(2-Fluoroethoxy)ethoxy)ethoxy)ethyl)piperazin-1-yl)-5-(4-(4-iodophenoxy)phenyl)-pyrimidine-2,4,6-trione (10)
Yield: 8%. Mp 176-177 °C. 1H-NMR (300 MHz, DMSO-d6) δ [ppm]: 9.28 (s, 2 H), 7.84 (d, 3J = 7.8 Hz, 2 H, HAryl), 7.64 (d, 3J = 7.8 Hz, 2 H, HAryl), 6.81 (d, 3J = 6.8 Hz, 2 H, HAryl), 6.76 (d, 3J = 6.8 Hz, 2 H, HAryl), 4.51 (dt, 2JH,F = 48.1 Hz, 2 H, CH2F), 3.56–2.50 (m, 22 H, CH2). 13C-NMR (75.5 MHz, DMSO-d6): δ [ppm]: 169.93, 158.40, 151.31, 149.89, 138.31, 135.00, 130.71, 119.61 117.75, 86.35, 85.13, 83.11 (d,|1JC,F| = 165.7 Hz), 70.54, 70.39, 70.12, 69.76, 69.57, 68.15, 56.71, 49.62, 42.98. 19F-NMR (282 MHz, CDCl3): δ [ppm]: −216.61. MS (ESI-EM) m/e: 685.1518 (M + H)+ calcd for C28H35FIN4O7 685.1529. The purity of 10 was determined by analytical gradient HPLC to be > 95% (system and conditions see Section 3.1), tR = 25.92 ± 0.36 min (n = 3).
3.10. 5-[4-(2-Carboxyethyl)piperazin-1-yl]-5-[4-(4-(tributylstannyl)phenoxy)phenyl]pyrimidine-2,4,6- trione (11)
PdCl2 (PMePh2)2 (18 mg, 30 µmol, 3 mol%) or PdCl2 (18 mg, 100 µmol, 10 mol%), KOAc (294 mg, 3.00 mmol, previously dried for several hours at 100 °C in vacuo before use) and N-methyl-pyrrolidinone (NMP, 15 mL) were mixed under an argon atmosphere [20]. Compound 9 (578 mg, 1.00 mmol) and tributyltin hydride (582 mg, 2.00 mmol) or hexabutylditin (870 mg, 1.50 mmol) were added and the mixture was heated to 110 °C for 10–15 h. The progress of the reaction was monitored by HPLC (system and conditions see Section 3.1). The retention times tR were: tR (9): 34.15 ± 1.38 min (n = 10), tR (11): 40.83 ± 1.17 min (n = 6). When the conversion was complete, the hot black reaction mixture was filtered through a pad of Celite by suction and the filter cake was washed with a small amount of NMP. The orange filtrate was stored at −30 °C overnight. The beige solid which precipitated upon cooling was isolated by suction. When there was no precipitation, the volatile components of the filtrate were removed by short-path distillation. The solid residue was taken up in hot methanol and insoluble components were filtered off. The solvent was removed in vacuo and the residue was treated with acetone. Yield: 208 mg (0.28 mmol, 28%). The purity of the product was >95% as determined by analytical gradient HPLC. Mp: 285–286 °C (decomposition). 1H-NMR (400 MHz, DMSO-d6): δ [ppm]: 7.89–7.12 (m, 8 H, HAryl), 3.56–1.94 (m, 12 H, CH2), 1.77–1.67 (m, 6 H, CH2), 1.56–1.44 (m, 6 H, CH2), 1.25–1.20 (m, 6 H, CH2), 1.06 (t, 3J = 8.3 Hz, 9 H, CH3). MS (ESI-EM) m/e: 585.1847 (M − C7H13N2O2)+ calcd for C28H37N2O4Sn 585.1775.
3.11. General Methods. Radiochemistry
N. c. a [124I]NaI was provided by Department of Nuclear Medicine, University Hospital Essen, University Duisburg-Essen, Germany. Typical radioactivities used for the radioiodination were 134 ± 48 MBq [124I]NaI in 50 ± 18 μL in 0.01 N NaOH. N. c. a. [123I]NaI was purchased from GE Healthcare Buchler GmbH & Co KG (Braunschweig, Germany). Typical radioactivities used for the radioiodination were 136 ± 63 MBq [123I]NaI in 10 ± 3 μL in 0.05 N NaOH. Separation, purification and analyses of the radiochemical yields and the radiochemical purities of all radioiodinated compounds were performed by a gradient radio-HPLC chromatograph system (HPLC A) using a Knauer K-500 and a Latek P 402 pump, a Knauer K-2000 UV-detector (λ = 254 nm) a Crismatec NaI(Tl) Scintibloc 51 SP51 γ-detector and a RP-HPLC Nucleosil column 100-5 C-18 (250 mm × 4.6 mm), a corresponding precolumn (20 mm × 4.0 mm). Sample injection was carried out using a Rheodyne injector block (type 7125 incl. 200 µL loop). The recorded data were processed by the NINA version 4.9 software (GE Medical Systems-Functional Imaging GmbH, Münster, Germany). Separation and purification of the radiosynthesized compounds were—unless specified otherwise—performed by radio-HPLC (HPLC A, see above) using a Nucleosil 100-10 C18 column (250 mm × 8 mm). The recorded data were processed by the NINA version 4.9 software . The radiochemical purities and the specific activities were determined using a radio-HPLC system (HPLC B) composed of a Sykam S1021 pump, a Knauer K-2501 UV-detector (λ = 254 nm), a Crismatec NaI(Tl) Scintibloc 51 SP51 γ-detector, a Nucleosil 100-3 C18 column (200 mm × 3 mm), a VICI injector block (type C1 incl. 20 μL loop) and the GINA Star version 4.07 radiochromatography software (raytest Isotopenmeßgeräte GmbH, Straubenhardt, Germany). Radio-TLC was analyzed using a miniGITA TLC-Scanner (raytest Isotopenmeßgeräte GmbH, Straubenhardt, Germany).
3.12. 5-[4-(2-Carboxyethyl)piperazin-1-yl]-5-[4-(4-[123/124I]-iodophenoxy)phenyl]pyrimidine-2,4,6-trione ([123/124I]9)
In a conical glass vial 89 µg (0.12 μmol) stannyl precursor 11 in 39 μL MeOH was added to n. c. a. [123I]NaI or [124I]NaI. The radiosynthesis was started by addition of 34 mg (0.14 μmol) chloroamine-T hydrate in 39 μL 0.1 M K2HPO4 buffer (pH 7.34). The mixture was vortexed for 10 s and allowed to stand for 5 min at room temperature. To quench the reaction 50 μL of a 10% Na2S2O5 solution (in water for injection) was added and the mixture was vortexed again for 10 s. After 10 min the quenched reaction solution was injected onto the HPLC column (see Section 3.11. HPLC A) to isolate the fraction of the radiolabelled product [124I]9 (HPLC conditions: eluent A: CH3CN/H2O/TFA 950/50/1, v/v/v, eluent B: CH3CN/H2O/TFA 50/950/1, v/v/v; gradient: from 92% B to 40% B within 45 min, 5 min constant at 40% B, and from 40% B to 92% B within 5 min at a flow rate of 2.0 mL/min, λ = 254 nm; tR (stannyl precursor 11) = 40.80 ± 0.81 min (n = 3), tR ([124I]9) = 32.75 ± 2.13 min (n = 3)). The product fraction was evaporated to dryness and redissolved in 0.9% NaCl (200 μL). The decay-corrected radiochemical yield (after evaporation) was 28 ± 7% (n = 6) for [123I]9 and 44 ± 6% (n = 3) for [124I]9, respectively. An aliquot (50 μL) was taken for analytical radio-HPLC. The radiochemical purities were 95 ± 3% and 93 ± 5% for [123I]9 and [124I]9, and the molar activities were 0.2–6.3 GBq/μmol and 0.4–14.0 GBq/μmol, respectively. The identity of [123I]9 and [124I]9 was proven by HPLC using the non-radioactive analog 9.
3.13. In Vitro Enzyme Inhibition Assays
The synthetic fluorometric substrate (7-methoxycoumarin-4-yl) acetyl pro-Leu-Gly-Leu-(3-(2,4-dinitrophenyl)-l-2,3-diamino-propionyl)-Ala-Arg-NH2 (R & D Systems, Minneapolis, MN, USA) was used to assay activated MMP-2, MMP-8, MMP-9 and MMP-13 as described previously [21]. The inhibitions of human active MMP-2, MMP-8, MMP-9 MMP-13 and MMP-14 (only 9) by the barbituric acid derivatives 9 and 10, of human active MMP-2 and MMP-9 by 5a, 5b and 6 were assayed by preincubating MMP-2, MMP-3, MMP-8, MMP-9, MMP-13 or MMP-14 (each at 2 nM) and inhibitor compounds at varying concentrations (10 pM–1 mM) in 50 mM Tris·HCl, pH 7.5, containing 0.2 M NaCl, 5 mM CaCl2, 20 μM ZnSO4 and 0.05% Brij 35 at 37 °C for 30 min. An aliquot of substrate (10 μL of a 50 μM solution) was then added to 90 μL of the preincubated MMP/inhibitor mixture, and the fluorescence was determined at 37 °C by following product release with time. The fluorescence changes were monitored using a Fusion Universal Microplate Analyzer (Packard Bioscience, Boston, MA, USA) with excitation and emission wavelengths set to 330 and 390 nm, respectively. Reaction rates were measured from the initial 10 min of the reaction profile where product release was linear with time and plotted as a function of inhibitor dose. From the resulting inhibition curves, the IC50 values for each inhibitor were calculated by non-linear regression analysis, performed using the Grace 5.1.8 software (Linux).
4. Conclusions
Starting from the lipophilic preclincal research tracer [125I]12 (clogD 3.53, Table 2), that was already developed by our group [12], we intended to develop a more hydrophilic radioiodinated barbiturate-based MMP-targeted tracer for the potential non-invasive visualization of activated MMPs in vivo. This was achieved by the substitution of the hydroxy group of 12 by a carboxy group yielding derivative 9 with a hydrophilic shift compared to 12 (clogD 0.92 vs. 3.53). Similar to 12 carboxylic acid 9 represents a very potent inhibitor of MMP-2 and -9 (IC50 (MMP-2) = 29 nM, IC50 (MMP-9) = 1.3 nM). Therefore radioiodinated analogues [123/124I]9 were successfully synthesized for further in vivo evaluations with SPECT and PET.
Acknowledgments
This work was supported by grants from the German Research Foundation (Deutsche Forschungsgemeinschaft (DFG)), Collaborative Research Centre CRC 656, Münster, Germany (CRC 656 projects A02, B01 and Z05). We thank Prof. Wolfgang Brandau, Department of Nuclear Medicine, University Hospital Essen, Essen, Germany, for providing [124I]NaI. We thank Sandra Höppner and Sven Fatum for excellent technical assistance, Heinrich Luftmann and Klaus Bergander, Organic Chemistry Institute, WWU Münster for performing mass spectrometry and NMR spectroscopy, respectively. Many thanks also to Werner Henkel for his temporarily work in our laboratories.
Author Contributions
H.J.B., K.K. and S.W. conceived and designed the experiments; H.J.B., K.K. and S.W. performed the experiments; H.J.B., K.K., M.S. and S.W. analyzed the data; H.J.B. and S.W. wrote the paper.
Conflicts of Interest
The authors declare no conflict of interest.
References
- Schäfers, M.; Schober, O.; Hermann, S. Matrix-metalloproteinases as imaging targets for inflammatory activity in atherosclerotic plaques. J. Nucl. Med. 2010, 51, 663–666. [Google Scholar] [CrossRef] [PubMed]
- Dahl, G.; Akerud, T. Pharmacokinetics and the drug-target residence time concept. Drug. Discov. Today 2013, 18, 697–707. [Google Scholar] [CrossRef] [PubMed]
- Chen, K.; Chen, X. Design and development of molecular imaging probes. Curr. Top. Med. Chem. 2010, 10, 1227–1236. [Google Scholar] [CrossRef] [PubMed]
- Wagner, S.; Breyholz, H.J.; Faust, A.; Höltke, C.; Levkau, B.; Schober, O.; Schäfers, M.; Kopka, K. Molecular imaging of matrix metalloproteinases in vivo using small molecule inhibitors for SPECT and PET. Curr. Med. Chem. 2006, 13, 2819–2838. [Google Scholar] [CrossRef] [PubMed]
- Matusiak, N.; Van Waarde, A.; Bischoff, R.; Oltenfreiter, R.; Van de Wiele, C.; Dierckx, R.A.; Elsinga, P.H. Probes for non-invasive matrix metalloproteinase-targeted imaging with PET and SPECT. Curr. Pharm. Des. 2013, 19, 4647–4672. [Google Scholar] [CrossRef] [PubMed]
- Van der Wiele, C.; Oltenfreiter, R. Imaging probes targeting matrix metalloproteinases. Cancer Biother. Radiopharm. 2006, 21, 409–417. [Google Scholar] [CrossRef] [PubMed]
- MacPherson, L.J.; Bayburt, E.K.; Capparelli, M.P.; Carroll, B.J.; Goldstein, R.; Justice, M.R.; Zhu, L.; Hu, S.I.; Melton, R.A.; Fryer, L.; et al. Discovery of CGS 27023A, a non-peptidic, potent, and orally active stromelysin inhibitor that blocks cartilage degradation in rabbits. J. Med. Chem. 1997, 40, 2525–2532. [Google Scholar] [CrossRef] [PubMed]
- Grams, F.; Brandstetter, H.; D’Alo, S.; Geppert, D.; Krell, H.W.; Leinert, H.; Livi, V.; Menta, E.; Oliva, A.; Zimmermann, G. Pyrimidine-2,4,6-Triones: A new effective and selective class of matrix metalloproteinase inhibitors. Biol. Chem. 2001, 382, 1277–1285. [Google Scholar] [CrossRef] [PubMed]
- Brandstetter, H.; Grams, F.; Glitz, D.; Lang, A.; Huber, R.; Bode, W.; Krell, H.W.; Engh, R.A. The 1.8-A crystal structure of a matrix metalloproteinase 8-barbiturate inhibitor complex reveals a previously unobserved mechanism for collagenase substrate recognition. J. Biol. Chem. 2001, 276, 17405–17412. [Google Scholar] [CrossRef] [PubMed]
- Foley, L.H.; Palermo, R.; Dunten, P.; Wang, P. Novel 5,5-disubstituted-pyrimidine-2,4,6-triones as selective MMP inhibitors. Bioorg. Med. Chem. Lett. 2001, 23, 969–972. [Google Scholar] [CrossRef]
- Maquoi, E.; Sounni, N.E.; Devy, L.; Olivier, F.; Frankenne, F.; Krell, H.W.; Grams, F.; Foidart, J.M.; Noël, A. Anti-invasive, antitumoral, and antiangiogenic efficacy of a pyrimidine-2,4,6-trione derivative, an orally active and selective matrix metalloproteinases inhibitor. Clin. Cancer Res. 2004, 10, 4038–4047. [Google Scholar] [CrossRef] [PubMed]
- Breyholz, H.J.; Schäfers, M.; Wagner, S.; Höltke, C.; Faust, A.; Rabeneck, H.; Levkau, B.; Schober, O.; Kopka, K. C-5-disubstituted barbiturates as potential molecular probes for noninvasive matrix metalloproteinase imaging. J. Med. Chem. 2005, 48, 3400–3409. [Google Scholar] [CrossRef] [PubMed]
- Faust, A.; Waschkau, B.; Waldeck, J.; Höltke, C.; Breyholz, H.J.; Wagner, S.; Kopka, K.; Heindel, W.; Schäfers, M.; Bremer, C. Synthesis and evaluation of a novel fluorescent photoprobe for imaging matrix metalloproteinases. Bioconjug. Chem. 2008, 19, 1001–1008. [Google Scholar] [CrossRef] [PubMed]
- Breyholz, H.J.; Faust, A.; Waschkau, B.; Wagner, S.; Höltke, C.; Waldeck, J.; Brandau, W.; Bremer, C.; Schober, O.; Schäfers, M.; et al. Pyrimidine-2,4,6-triones as Model Probes for the in vivo Molecular Imaging of Activated MMPs—A Dual Approach for Radiotracer and Optical Imaging. Eur. J. Nucl. Med. Mol. Imaging 2008, 35 (Suppl. 2), S316. [Google Scholar]
- Breyholz, H.J.; Wagner, S.; Faust, A.; Riemann, B.; Höltke, C.; Hermann, S.; Schober, O.; Schäfers, M.; Kopka, K. Radiofluorinated pyrimidine-2,4,6-triones as molecular probes for noninvasive MMP-targeted imaging. ChemMedChem 2010, 5, 777–789. [Google Scholar] [CrossRef] [PubMed]
- Schrigten, D.; Breyholz, H.J.; Wagner, S.; Hermann, S.; Schober, O.; Schäfers, M.; Haufe, G.; Kopka, K. A new generation of radiofluorinated pyrimidine-2,4,6-triones as MMP-targeted radiotracers for positron emission tomography. J. Med. Chem. 2012, 55, 223–232. [Google Scholar] [CrossRef] [PubMed]
- Claesener, M.; Schober, O.; Wagner, S.; Kopka, K. Radiosynthesis of a 68Ga labeled matrix metalloproteinase inhibitor as a potential probe for PET imaging. Appl. Radiat. Isot. 2012, 70, 1723–1728. [Google Scholar] [CrossRef] [PubMed]
- Faust, A.; Hermann, S.; Schäfers, M.; Höltke, C. Optical imaging probes and their potential contribution to radiotracer development. Nuklearmedizin 2016, 55, 51–62. [Google Scholar] [PubMed]
- Wasserman, H.H.; Hlasta, D.J.; Tremper, A.W.; Wu, J.S. Application of new β-lactam syntheses to the preparation of (±)-3-aminonocardicinic acid. J. Org. Chem. 1981, 46, 2999–3011. [Google Scholar] [CrossRef]
- Wasikiewicz, W.; Rokicki, G.; Kielkiewicz, J.; Paulus, E.F.; Boehmer, V. Head-to-tail connected double calix[4]arenes. Mon. Chem. 1997, 128, 863–879. [Google Scholar] [CrossRef]
- Schäfers, M.; Riemann, B.; Kopka, K.; Breyholz, H.J.; Wagner, S.; Schäfers, K.P.; Law, M.P.; Schober, O.; Levkau, B. Scintigraphic Imaging of Matrix Metalloproteinase Activity in the Arterial Wall In Vivo. Circulation 2004, 109, 2554–2559. [Google Scholar] [CrossRef] [PubMed]
© 2017 by the authors. Licensee MDPI, Basel, Switzerland. This article is an open access article distributed under the terms and conditions of the Creative Commons Attribution (CC BY) license (http://creativecommons.org/licenses/by/4.0/).











