Electrochemical Sensing and Assessment of Parabens in Hydro- Alcoholic Solutions and Water Using a Boron-Doped Diamond Electrode
Abstract
:1. Introduction

2. Experimental Section
3. Results and Discussion
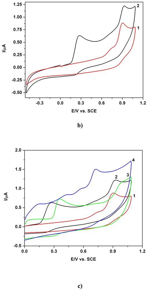
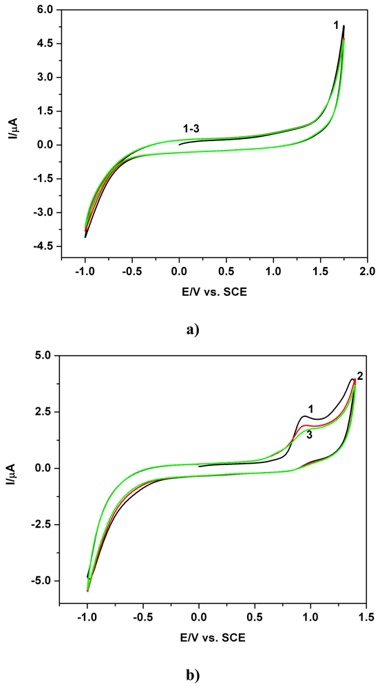
3.1. Cyclic voltammetry and chroanoamperometry data in hydro-alcoholic solutions
3.3. Amperometric sensing in various water matrix
3.4. Solubility in water evaluated from electrochemical data
3.4. Related aspects
4. Conclusions
Acknowledgments
References and Notes
- Korotkova, E.I.; Avramchik, O.A.; Angelov, T.M.; Karabainov, Y.A. Investigation of antioxidant activity and lipophilicity parameters of some preservatives. Electrochim. Acta. 2005, 51, 324–332. [Google Scholar]
- Kang, S.H.; Kim, H. Simultaneous determination of methylparaben, propylparaben and thimerosal by high-performance liquid chromatography and electrochemical detection. J. Pharm. Biomed. Anal. 1997, 15, 1359–1364. [Google Scholar]
- Gunckel, S.; Santander, P.; Cordano, G.; Ferreira, J.; Munoz, S.; Nunez-Vergara, L.J.; Squella, J.A. Antioxidant activity of gallates: an electrochemical study in aqueous media. Chem. -Bio. Interact. 1998, 114, 45–49. [Google Scholar]
- Saad, B.; Bari, Md. F.; Saleh, M. I.; Ahmad, K.; Tolib, M.K.M. Simultaneous determination of preservatives (benzoic acid, sorbic acid, methylparaben and propylparaben) in foodstuffs using high-performance liquid chromatography. J. Chromaogr. A. 2005, 1073, 393–397. [Google Scholar]
- Zhang, Q.; Lian, M.; Liu, L.; Cui, H. High-performance liquid chromatographic assay of parabens in wash-off cosmetic products and foods using chemiluminescence detection. Anal. Chim. Acta. 2005, 537, 31–39. [Google Scholar]
- de Croo, F.; de Schutter, J.; Van den Bossche, W.; de Moerloose, P. Gas chromatographic determination of parabens in various pharmaceutical dosage forms. Chromatographia. 1984, 18, 260–264. [Google Scholar]
- Diaz, T.G.; Cabanillas, A.G.; Franco, M.F.A.; Salinas, F.; Vire, J.-C. Voltammetric Behavior and Simultaneous Determination of the Antioxidants Propyl Gallate, Butylated Hydroxyanisole, and Butylated Hydroxytoluene in Acidic Acetonitrile-Water Medium Using PLS Calibration. Electroanalysis. 1998, 10, 497–505. [Google Scholar]
- Szymula, M.; Narkeviccz-Michalek, J. The Effect of Surfactant Adsorption at a Glassy Carbon Electrode on Electrochemical Oxidation of Propyl Gallate. J. Appl. Electrochem. 2006, 36, 455–462. [Google Scholar]
- Diego, E.; Agui, L.; Gonzales-Cortes, A.; Yanez-Sedeno, P.; Pingarron, J.M.; Kauffmann, J.-M. Critical Comparison of Paraffin Carbon Paste and Graphite-Poly (tetrafluorethylene) Composite Electrodes Concerning the Electroanalytical Behavior of Various Antioxidants of Different Hydrophobicity. Electroanalysis. 1998, 10, 33–38. [Google Scholar]
- Morales, M.D.; Gonzales, M.C.; Revejo, A.J.; Pingarron, J.M. A composite amperometric tyrosinase biosensor for the determination of the additive propyl gallate in foodstuffs. Microchem. J. 2005, 80, 71–78. [Google Scholar]
- Ceballos, C.; Fernandez, H. The Electroanalytical Determination of Antioxidants in Corn Oil Using Ultramicroelectrodes. J. Braz. Chem. Soc. 1995, 6, 1–5. [Google Scholar]
- Litescu, S.-C.; Radu, G.-L. Estimation of the antioxidative properties of tocopherols–an electrochemical approach. Eur. Food Res. Tecnol. 2000, 211, 218–221. [Google Scholar]
- Litescu, S.-C.; Cioffi, N.; Sabbani, L.; Radu, G.-L. Study of Phenol-Like Compounds Antioxidative Behavior on Low-Density Lipoprotein Gold Modified Electrode. Electroanalysis. 2002, 14, 858–865. [Google Scholar]
- Castro-Gamboa, I.; Cardoso, C.L.; Silva, D.H.S.; Cabalheiro, A.J.; Furlan, M.; da Silva Bolzani, V. HPLC-EICD: An Useful Tool for the Pursuit of Novel Analytical Strategies for the Detection of Antioxidant secondary Metabolites. J. Braz. Chem. Soc. 2003, 14, 771–776. [Google Scholar]
- Giacomelli, C.; Giacomelli, F.C.; Alves, L.O.; Timbola, A.K.; Spinelli, A. Electrochemistry of Vitamin E Hydro-Alcoholic Solutions. J. Braz. Chem. Soc. 2004, 15, 748–755. [Google Scholar]
- Timbola, A.K.; de Souza, C.D.; Giacomelli, C.; Spinelli, A. Electrochemical Oxidation of Quercitin in Hydro-Alcoholic Solutions. J. Braz. Chem. Soc. 2006, 17, 139–148. [Google Scholar]
- Morrow, G.W. Organic Electrochemistry, 3rd Edition ed; Publisher: Marcel Dekker Inc.: New York, USA, 1991; pp. 589–611. [Google Scholar]
- Sopchak, D.; Miller, B.; Avygal, Y.; Kalish, R. Rotating ring–disk electrode studies of the oxidation of p-methoxyphenol and hydroquinone at boron-doped diamond electrodes. J. Electroanal. Chem. 2002, 538-539, 39–45. [Google Scholar]
- Ramesham, R.; Rose, M.F. Kinetic studies of hydroquinone_quinone at the boron-doped diamond electrode by cyclic voltammetry. J. Mat. Sci. Lett. 1997, 16, 799–805. [Google Scholar]
- Wang, J.; Deo, R.P.; Musameh, M. Stable and Sensitive Electrochemical Detection of Phenolic Compounds at Carbon Nanotube Modified Glassy Carbon Electrodes. Electroanalysis. 2003, 15, 1830–1834. [Google Scholar]
- Lemini, C.; Jaimez, R.; Avila, M.E.; Franco, Y.; Larrea, F.; Lemus, A. E. In vivo and in vitro estrogen bioactivities of alkyl parabens. Toxicol. Ind. Health. 2003, 19, 69–79. [Google Scholar]
- Lemini, C.; Hernandez, A.; Jaimez, R.; Franco, Y.; Avila, M.E.; Castell, A. Morphometric analysis of mice uteri treated with the preservatives methyl, ethyl, propyl, and butylparaben. Toxicol. Ind. Health. 2004, 20, 123–132. [Google Scholar]
- Oishi, S. Effects of propyl paraben on the male reproductive system. Food Chem. Toxicol. 2002, 40, 1807–1813. [Google Scholar]
- Routledge, E.J.; Parker, J.; Odum, J.; Ashby, J.; Sumper, J.P. Some alkyl benzoate presrvatives(parabens) are estrogenic. Tox. Appl. Pharm. 1998, 153, 12–19. [Google Scholar]
- Harvey, P.W. Parabens, oestrogenity, underarm cosmetics and breast cancer: a perspective on a hypothesis. J. Appl. Toxicol. 2003, 23, 285–288. [Google Scholar]
- Radovan, C.; Manea, F. Determination of sodium diethyldithiocarbamate in water by anodic voltammetry using a boron-doped diamond electrode. Electroanalysis. 2007, 19, 91–95. [Google Scholar]
- Radovan, C.; Cofan, C.; Cinghita, D. Simultaneous determination of acetaminophen and ascorbic acid at an unmodified boron-doped diamond electrode by differential pulse voltammetry in unbuffered media. Electroanalysis 2008, 20, 1346–1353. [Google Scholar]
- Cofan, C.; Radovan, C. Simultaneous chronoamperometric sensing of ascorbic acid at a boron-doped diamond electrode. Sensors 2008, 8, 3952–3969. [Google Scholar]
- Hansch, C.; Fujita, T.J. ρ-σ- π Analysis. A method for correlation of biological activity and chemical structure. J. Am. Chem. Soc. 1964, 86, 1616–1626. [Google Scholar]
- Petrauskas, A.A.; Kolovanov, E. A. ACD/Log P Method desription. Perspect. Drug. Discover. Des. 2000, 19, 99–116. [Google Scholar]
- Livingstone, D.J.; Ford, M.G.; Huuskonen, J.J.; Salt, D.W. Simultaneous prediction solubility and octanol/water partition coefficient based on descriptors derived from molecular structure. J. Comp. - Aid. Molec. Des. 2001, 15, 741–752. [Google Scholar]
- Psotova, J.; Zahalkova, J.; Hrbac, J.; Simanek, V.; Bartek, J. Determination of Total Antioxidant Capacity in Plasma by Cyclic Voltammetry. Two Case Reports. Biomed. Papers 2001, 145, 81–83. [Google Scholar]
- Mannino, S.; Brenna, O.; Buratti, S.; Cosio, M.S. A new method for the evaluation of the “antioxidant power” of wines. Electroanalysis 1998, 10, 908–912. [Google Scholar]












| Analyte | Explored concentration range (mM) | Regression equation of linear calibration plot | R2 | Sensitivity (μA·mM-1) | LOD (μM) | Method |
|---|---|---|---|---|---|---|
| MB | 0.002-0.104 | I = 15.211C + 0.270 | 0.9941 | 15.211 | 1.50 | CV |
| EB | 0.02-0.18 | I = 20.645C + 0.248 | 0.9960 | 20.645 | 1.97 | CV |
| PB | 0.02-0.14 | I = 14.890C + 0.321 | 0.9982 | 14.890 | 3.60 | CV |
| MB | 0.01 -0.08 | I = 3.073C + 0.0185 | 0.9992 | 3.073 | 0.70 | CA* |
| EB | 0.002-0.112 | I = 2.697C + 0.027 | 0.9907 | 2.697 | 1.03 | CA* |
| PB | 0.01 -0.08 | I = 2.903C + 0.027 | 0.9943 | 2.903 | 0.97 | CA* |
| Example (PB) | 0.02 -0.07 | I = 23.392C- 0.190 | 0.9991 | 23.392 | - | CA** |
| Example (EB) | 0.02-0.05 | I = 13.180C+0.358 | 0.9977 | 13.180 | - | CA*** |
| MB + EB + PB **** | 0.02 -0.12 | I = 3.235C | 0.9970 | 3.235 | 1.2 | CA* |
| Compound | O/W-LogP* | Cscw(mM) | Method |
|---|---|---|---|
| MB | 1.67 | 13.04 | CV |
| 13.25 | CA | ||
| EB | 2.11 | 3.79 | CV |
| 3.90 | CA | ||
| PB | 2.60 | 1.35 | CV |
| 1.32 | CA |
© 2008 by the authors; licensee Molecular Diversity Preservation International, Basel, Switzerland. This article is an open-access article distributed under the terms and conditions of the Creative Commons Attribution license (http://creativecommons.org/licenses/by/3.0/).
Share and Cite
Radovan, C.; Cinghită, D.; Manea, F.; Mincea, M.; Cofan, C.; Ostafe, V. Electrochemical Sensing and Assessment of Parabens in Hydro- Alcoholic Solutions and Water Using a Boron-Doped Diamond Electrode. Sensors 2008, 8, 4330-4349. https://doi.org/10.3390/s8074330
Radovan C, Cinghită D, Manea F, Mincea M, Cofan C, Ostafe V. Electrochemical Sensing and Assessment of Parabens in Hydro- Alcoholic Solutions and Water Using a Boron-Doped Diamond Electrode. Sensors. 2008; 8(7):4330-4349. https://doi.org/10.3390/s8074330
Chicago/Turabian StyleRadovan, Ciprian, Dan Cinghită, Florica Manea, Manuela Mincea, Codruta Cofan, and Vasile Ostafe. 2008. "Electrochemical Sensing and Assessment of Parabens in Hydro- Alcoholic Solutions and Water Using a Boron-Doped Diamond Electrode" Sensors 8, no. 7: 4330-4349. https://doi.org/10.3390/s8074330
APA StyleRadovan, C., Cinghită, D., Manea, F., Mincea, M., Cofan, C., & Ostafe, V. (2008). Electrochemical Sensing and Assessment of Parabens in Hydro- Alcoholic Solutions and Water Using a Boron-Doped Diamond Electrode. Sensors, 8(7), 4330-4349. https://doi.org/10.3390/s8074330
