A First Comparison of Simultaneous Sea Level Measurements from Envisat, GFO, Jason-1, and TOPEX/Poseidon
Abstract
:1. Introduction
2. Altimeter data
3. Results
3.1 Geographical patterns
3.2 Spatial dependence
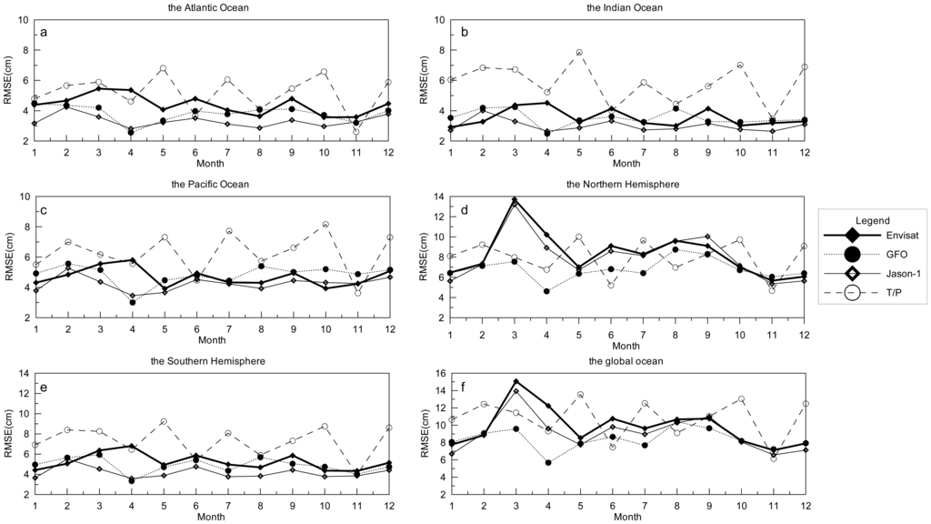
3.3 Temporal evolution
3.4 Zonal and meridional distribution
3.5 Dependence on sea level variation
4. Conclusion
- (1)
- Being designed as an optimal measurement for large scale ocean variation, Jason-1 is the best single-satellite mission to produce MSLA data, which can be nicely verified by its much more homogeneous low RMSE in geographical distribution, stable in time evolution, as well as its signal retrieval of sea level variation.
- (2)
- With orbit cycle configured between Jason-1 and Envisat, GFO also enjoys good capability to map the large scale ocean variation and only has a difference of 0.2cm RMSE compared with Jason-1 both in regional and global spatial mean. Furthermore, its time evolution of RMSE and bias is the most stable mission among four missions.
- (3)
- Envisat, being thought to be more suitable to measure the mesoscale ocean variation, indeed has a lower capability to map the large scale sea level variation, which is proved by its large area with higher RMSE, its variable evolution in time, and its larger cumulation for larger RMSE expressed as the percentage of RMS of reference MSLA field (Figure 10c).
- (4)
- Even though RMSE of T/P MSLA product has a similar pattern to the other three missions in time evolution, zonal and meridional variation, and dependence on RMS of reference of MSLA, it still seems that it has the poorest mapping result in its new orbit, which is mainly caused by the inconsistent mean profile of T/P with other three missions.
- (5)
- Because of the homogenous processing of MSLA data, Envisat, GFO, and Jason-1 share much consistency, such as the poor measurement over high variability areas, better (worse) mapping in MAM (DJF) for most oceanic regions, and similar evolution along latitude and longitude, as well as dependence on signal variance.
- (6)
- An interesting feature is that the MSLA estimation is closely connected with seasonal variation. Most oceanic regions are best (worst) estimated in MAM (DJF), although this is based on only one year's MSLA statistics.
Acknowledgments
References
- Fu, L. L.; Chelton, D. Large-scale Ocean Circulation. In Satellite Altimetry and Earth Sciences. A Handbook of Techniques and Application; Fu, L-L., Cazenave, A., Eds.; Academic Press, 2001; pp. 133–169. [Google Scholar]
- Picaut, J.; Busalacchi, A.J. Tropical Ocean Variability. In Satellite Altimetry and Earth Sciences. A Handbook of Techniques and Application; Fu, L-L., Cazenave, A., Eds.; Academic Press, 2001; pp. 217–236. [Google Scholar]
- Evans, D.L.; Alpers, W.; Cazenave, A.; Elachi, C.; Farr, T.; Glackin, D.; Holt, B.; Jones, L.; Liu, W.T.; McCandless, W.; Menard, Y.; Moore, R.; Njoku, E. Seasat - A 25-year Legacy of Success. Remote Sensing Environment 2005, 94, 384–404. [Google Scholar]
- Douglas, B.C.; Cheney, R. E. Geosat: Beginning a New Era in Satellite Oceanography. J. Geophys. Res. 1990, 95, 2833–2836. [Google Scholar]
- Fu, L.L.; Christensen, E. J.; Yamarone, C. A., Jr; Lefevre, M.; Ménard, Y.; Dorrer, M.; Escudier, P. TOPEX/Poseidon Mission Overview. J. Geophys. Res. 1994, 99, 24369–24381. [Google Scholar]
- Leuliette, E.W.; Nerem, R. S.; Mitchum, G. T. Calibration of TOPEX/Poseidon and Jason Altimeter Data to Construct a Continuous Record of Mean Sea Level Change. Marine Geodesy 2004, 27, 79–94. [Google Scholar]
- Hernandez, F.; Le Traon, P.Y.; Morrow, R. Mapping Mesoscale Variability of the Azores Current Using TOPEX/Poseidon and ERS 1 Altimetry, Together with Hydrographic and Lagrangian Measurements. J. Geophys. Res. 1995, 100, 24995–25006. [Google Scholar]
- Le Traon, P.Y.; Nadal, F.; Ducet, N. An Improved Mapping Method of Multisatellite Altimeter Data. J. Atmos. Oceanic Technol. 1998, 15, 522–534. [Google Scholar]
- Ducet, N.; Le Traon, P.Y.; Reverdin, G. Global High-resolution Mapping of Ocean Circulation from TOPEX/Poseidon and ERS-1 and –2. J. Geophys. Res. 2000, 105, 19477–19498. [Google Scholar]
- Le Traon, P.Y.; Dibarboure, G. Mesoscale Mapping Capabilities of Multi-satellite Altimeter Missions. J. Atmos. Oceanic Technol. 1999, 16, 1208–1223. [Google Scholar]
- Le Traon, P.Y.; Dibarboure, G.; Ducet, N. Use of High-resolution Model to Analyze the Mapping Capabilities of Multiple-altimeter Missions. J. Atmos. Oceanic Technol. 2001, 18, 1277–1288. [Google Scholar]
- Le Traon, P.Y.; Dibarboure, G. An Illustration of the Contribution of the TOPEX/Poseidon—Jason-1 Tandem Mission to Mesoscale Variability Studies. Marine Geodesy 2004, 27, 3–13. [Google Scholar]
- Chen, G.; Quartly, G.D. Annual Amphidromes: A Common Feature in the Ocean? IEEE Geoscience and Remote Sensing Letters 2005, 2, 423–427. [Google Scholar]
- AVISO. SSALTO/DUACS User Handbook: (M)SLA and (M)ADT Near-real Time and Delayed Time Products. In SALP-MU-P-EA-21065-CLS; 2004; CLS. [Google Scholar]
- Le Traon, P.Y.; Faugère, Y.; Hernandez, F.; Dorandeu, J.; Mertz, F.; Ablain, M. Can We Merge GEOSAT Follow-On with TOPEX/Poseidon and ERS-2 for an Improved Description of the Ocean Circulation? J. Atmos. Oceanic Technol. 2003, 20, 889–895. [Google Scholar]










© 2006 by MDPI ( http://www.mdpi.org). Reproduction is permitted for noncommercial purposes.
Share and Cite
Zhang, C.; Chen, G. A First Comparison of Simultaneous Sea Level Measurements from Envisat, GFO, Jason-1, and TOPEX/Poseidon. Sensors 2006, 6, 235-248. https://doi.org/10.3390/s6030235
Zhang C, Chen G. A First Comparison of Simultaneous Sea Level Measurements from Envisat, GFO, Jason-1, and TOPEX/Poseidon. Sensors. 2006; 6(3):235-248. https://doi.org/10.3390/s6030235
Chicago/Turabian StyleZhang, Caiyun, and Ge Chen. 2006. "A First Comparison of Simultaneous Sea Level Measurements from Envisat, GFO, Jason-1, and TOPEX/Poseidon" Sensors 6, no. 3: 235-248. https://doi.org/10.3390/s6030235
APA StyleZhang, C., & Chen, G. (2006). A First Comparison of Simultaneous Sea Level Measurements from Envisat, GFO, Jason-1, and TOPEX/Poseidon. Sensors, 6(3), 235-248. https://doi.org/10.3390/s6030235
