A Novel Hydrogen Peroxide Sensor via the Direct Electrochemistry of Horseradish Peroxidase Immobilized on Colloidal Gold Modified Screen-printed Electrode
Abstract
Introduction
Experimental
Reagents and Materials
Configuration of hydrogen peroxide sensor
Electrochemical measurements
Results and Discussion
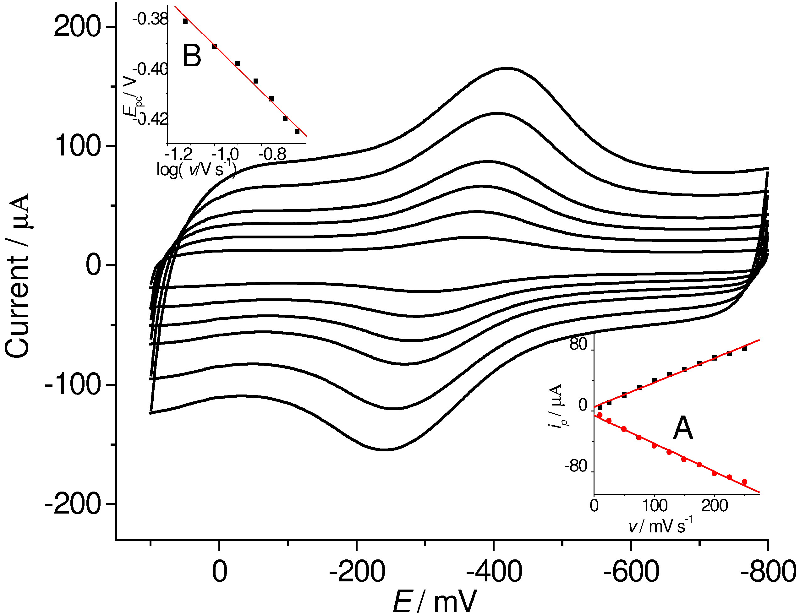
Electrochemical properties of HRP immobilized on colloidal gold modified screen-printed electrode


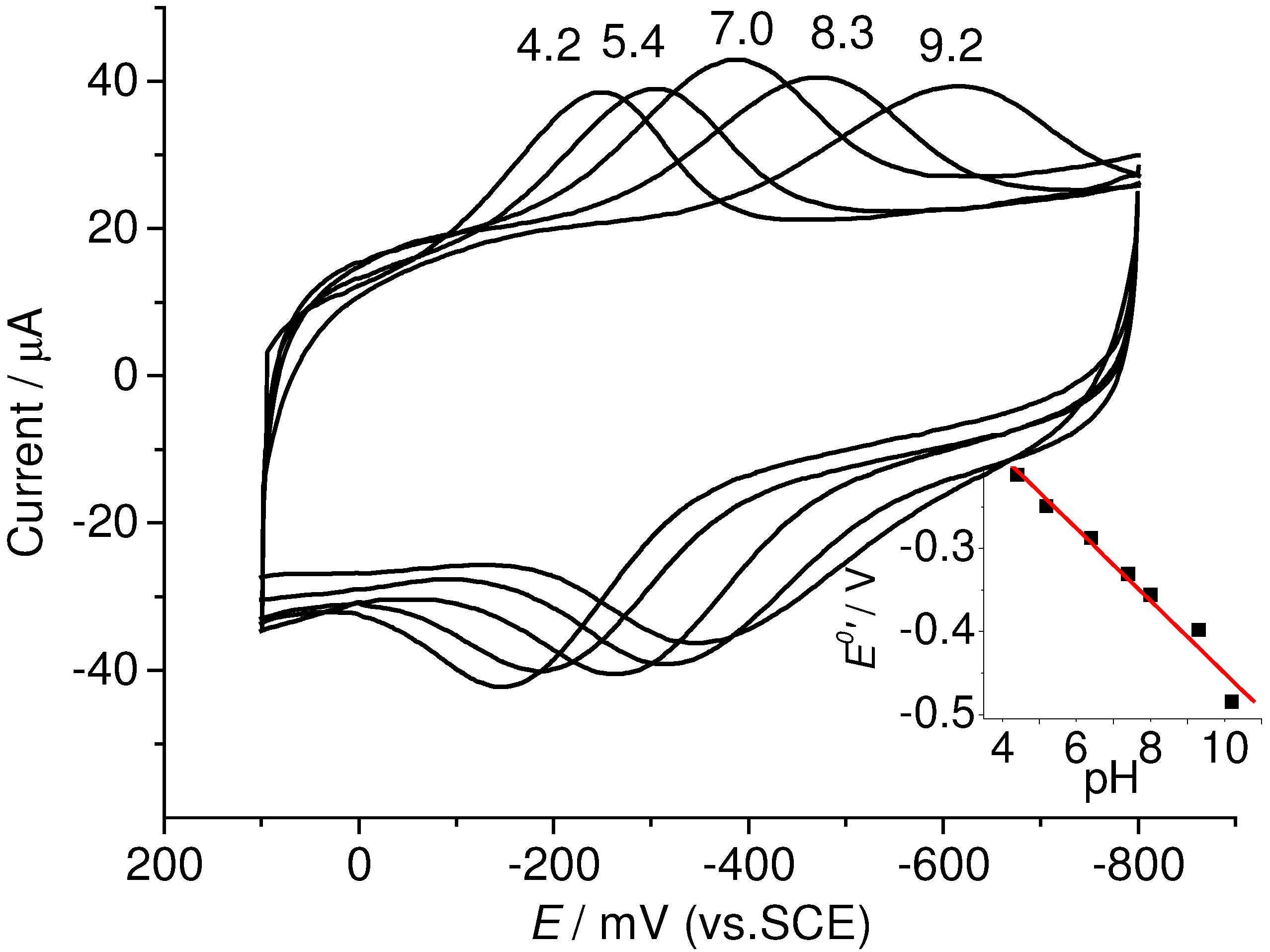
Effect of solution pH and temperature on direct electron transfer of immobilized HRP


Amperometric response of the HRP-Au-SPCE to H2O2




Analytical performance of H2O2 Sensor
| Added | Found | Recovery |
| (μM) | (μM) | (%) |
| 4.0 | 3.93 | 98.3 |
| 8.0 | 7.89 | 98.6 |
| 12.0 | 12.14 | 101.2 |
| 20.0 | 20.07 | 100.4 |
| 40.0 | 39.92. | 99.8 |
| 80.0 | 80.16 | 100.2 |
Real Sample Analysis
Conclusions
Acknowledgments
References
- Vogel, A.I. Textbook of Quantitative chemical Analysis; Longman: U.K., 1989; p. p372. [Google Scholar]
- Matsubara, C.; Kawamoto, N; Takamala, K. Analyst 1992, 117, 1781. [CrossRef]
- Wollenberger, U.; Wang, J.; Ozsoz, M.; Gonzalez Romero, E.; Scheller, F. Bioelectrochem. Bioenerg. 1991, 26, 287. [CrossRef]
- Wang, B.; Li, B.; Wang, Z.; Xu, G.; Wang, G.; Dong, S. Anal. Chem. 1999, 71, 1935.
- Wang, J.; Ciszewski, A.; Naser, N. Electroanalysis 1992, 4, 777.
- Kim, E.J.; Haruyama, T.; Yanagida, Y.; Kobatake, E.; Aizawa, M. Anal. Chim. Acta 1999, 394, 225. [CrossRef]
- Wang, B.; Zhang, J.; Cheng, G.; Dong, S. Anal. Chim. Acta 2000, 407, 111. [CrossRef]
- El-Essi, F.A.; Abu Zuhri, A.Z.; Al-Khalil, S.I.; Abdel-Latif, M.S. Talanta 1997, 44, 2051.
- Razola, S.S.; Aktas, E.; Virê, J.-C.; Kauffmann, J.-M. Analyst 2000, 125, 79.
- Mondal, M.S.; Fuller, H.; Hirst, J.; Armstrong, F.A. J. Inorg Biochem. 1995, 59, 454.
- Xiao, Y.; Ju, H.X.; Chen, H.Y. Anal. Chim. Acta 1999, 391, 73. [CrossRef]
- Xiao, Y.; Ju, H.X.; Chen, H.Y. Anal. Biochem. 2000, 278, 22.
- Ju, H.X.; Liu, S.Q.; Ge, B.; Lisdat, F.; Scheller, F.W. Electroanalysis 2002, 14, 141.
- Liu, S.Q.; Ju, H.X. Anal. Biochem. 2002, 307, 110.
- Gu, H.Y.; Yu, A.M.; Chen, H.Y. J. Electroanal. Chem. 2001, 516, 119.
- Fan, C.; Wang, H.; Sun, S.; Zhu, D.; Wagner, G.; Li, G. Anal. Chem. 2001, 73, 2850.
- Ruan, C.; Feng, Y.; deng, C.J. Anal. Chem. 1998, 70, 1721.
- Cass, A.E.G.; Davis, G.; Francis, G.D.; Hill, H.A.O.; Aston, W.J.; Higgins, I.J.; Plotkin, E.V.; Scott, L.D.L.; Turner, A.P.F. Anal, Chem. 1984, 56, 667.
- Gilmartin, M.A.T.; Ewen, R.J.; Hart, J.P. J. Electroanal. Chem. 1996, 401, 127.
- Abass, A.K.; Hart, J.P.; Cowell, D. Sens. Actuators B 2000, 62, 148. [CrossRef]
- Wang, J.; Chen, Q.; Pedrero, M.; Pingarrón, J.M. Anal. Chim. Acta 1995, 300, 111. [CrossRef]
- Brown, K.R.; Fox, A.P.; Natan, M.J. J. Am. Chem. Soc. 1996, 118, 1154.
- Chen, X.; Ruan, C.; Kong, J.; Deng, J. Anal. Chim. Acta 2000, 412, 89–98. [CrossRef]
- Liu, S.Q.; Leech, D.; Ju, H.X. Anal. Lett. 2003, 36, 1–19.
- Zhao, J.; Stonchuerner, R. W.; O’Daly, J. P.; Crumbliss, A. L. J. Electroanal. Chem. 1992, 327, 109–119.
- Harbury, H. A. J. Biol. Chem. 1957, 225, 1009–1024.
- Ferri, T.; Poscia, A.; Santucci, R. Bioelectrochem. Bioenerg. 1998, 44, 177–181: 45. 221–226. [CrossRef]
- Laviron, E. J. Electroanal. Chem. 1979, 101, 19–28.
- Wang, J.; Liu, J.; Cepra, G. Anal. Chem. 1997, 69, 3124–3127.
- Li, J.; Tan, S.N.; Ge, H. Anal. Chim. Acta 1996, 335, 137–145. [CrossRef]
- Cosgrove, M.; Moody, G.J.; Thomas, D.R. Analyst 1988, 113, 1811–1815.
- Mulhandanl, A.; Wang, C.H.L.; Weetall, H.H. Anal. Chem. 1995, 67, 94–100.
- O'Halloran, M.P.; Pravda, M.; Guilbault, G.G. Talanta 2001, 55, 605–611. [PubMed]
- Mattos, I.L.; Gorton, L.; Ruzgas, T. Biosens. Bioelectron. 2003, 18, 193–200.
- Kamin, R. A.; Willson, G. S. Anal. Chem. 1980, 52, 1198–1205.
- Gaspar, S.; Zimmermann, H.; Gazaryan, I.; Csoregi, E.; Schuhmann, W. Electroanalysis 2001, 13, 284–288.
- Sample Availability: Available from the authors.
© 2003 by MDPI (http://www.mdpi.net). Reproduction is permitted for noncommercial purposes.
Share and Cite
Xu, X.; Liu, S.; Ju, H. A Novel Hydrogen Peroxide Sensor via the Direct Electrochemistry of Horseradish Peroxidase Immobilized on Colloidal Gold Modified Screen-printed Electrode. Sensors 2003, 3, 350-360. https://doi.org/10.3390/s30900350
Xu X, Liu S, Ju H. A Novel Hydrogen Peroxide Sensor via the Direct Electrochemistry of Horseradish Peroxidase Immobilized on Colloidal Gold Modified Screen-printed Electrode. Sensors. 2003; 3(9):350-360. https://doi.org/10.3390/s30900350
Chicago/Turabian StyleXu, Xiaoxing, Songqin Liu, and Huangxian Ju. 2003. "A Novel Hydrogen Peroxide Sensor via the Direct Electrochemistry of Horseradish Peroxidase Immobilized on Colloidal Gold Modified Screen-printed Electrode" Sensors 3, no. 9: 350-360. https://doi.org/10.3390/s30900350
APA StyleXu, X., Liu, S., & Ju, H. (2003). A Novel Hydrogen Peroxide Sensor via the Direct Electrochemistry of Horseradish Peroxidase Immobilized on Colloidal Gold Modified Screen-printed Electrode. Sensors, 3(9), 350-360. https://doi.org/10.3390/s30900350