Determination of Dopamine in the Presence of Ascorbic Acid using Poly (Acridine red) Modified Glassy Carbon Electrode
Abstract
:Introduction
Experimental
Reagents
Apparatus
Procedures
Results and Discussion
Electropolymerization of Acridine Red at the GCE Surface

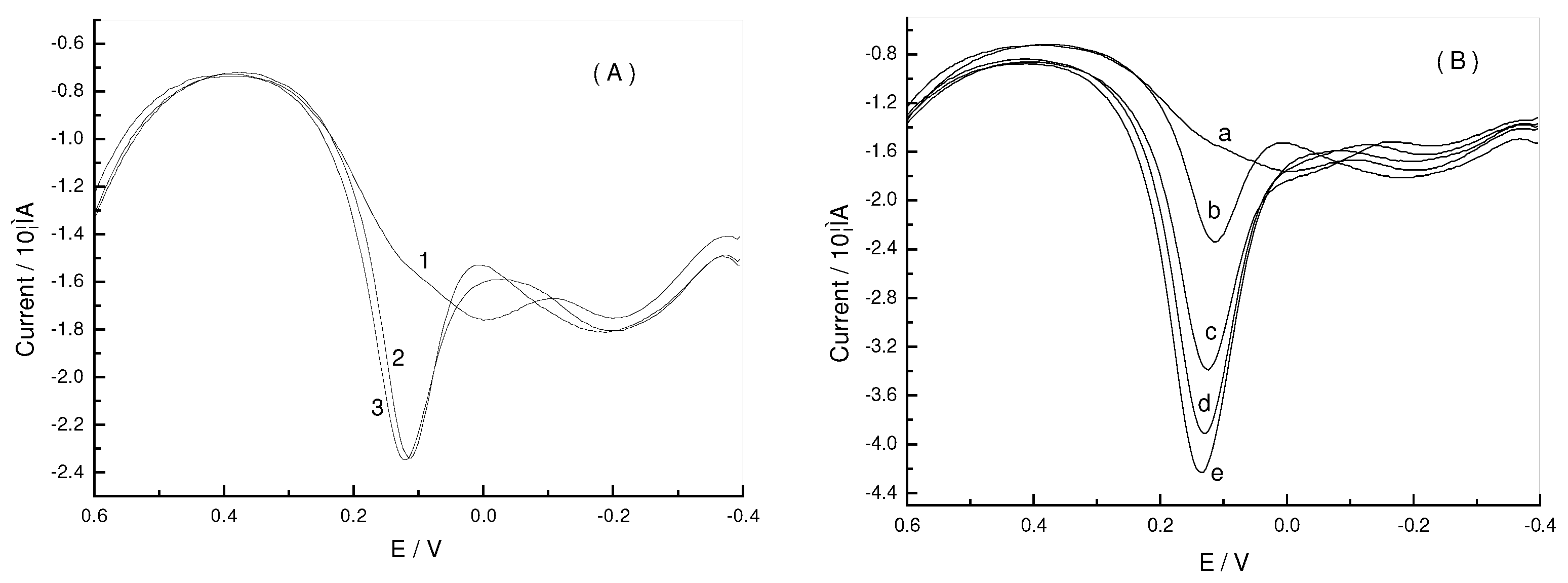
Cyclic Voltammograms of DA at Bare and Modified Electrodes


Effect of Solution pH

Determination of DA
Interference Study

Analytical Applications
| Sample | Content 10-5 mol dm-3 | Found 10-5 mol dm-3 | RSD % | Recovery % | Pharmacopeia Method 10-5 mol dm-3 |
| 1 | 1.0 | 0.97 | 2.9 | 97 | 1.01 |
| 2 | 1.0 | 1.01 | 2.0 | 101 | 1.04 |
| 3 | 1.0 | 1.03 | 2.7 | 103 | 1.05 |
| 4 | 1.0 | 0.99 | 3.2 | 99 | 1.02 |
| 5 | 1.0 | 0.98 | 2.2 | 98 | 1.02 |
4. Conclusions
References
- Kawage, T. K.; Wightman, R. M. Talanta 1994, 41, 865.
- Gerhardt, G. A.; Oke, A. F.; Nagy, G.; Moghaddam, B.; Adams, R. N. Brain Research 1984, 290, 390. [PubMed]
- Nagy, G.; Gerhardt, G. A.; Oke, A. F.; Rice, M. E.; Adams, R. N. J.Electroanal. Chem 1985, 188, 85.
- Wang, J.; Peng, T. Z. Anal. Chem 1986, 58, 3257.
- Guadalupe, A. R.; Abruna, H. D. Anal. Chem 1985, 57, 142.
- Zen, J. M.; Chen, I. L. Electroanalysis 1997, 9, 537.
- Kang, T. F.; Shen, G. L.; Yu, R. Q. Anal. Chim. Acta 1997, 354, 343.
- Ju, H. X.; Mi, J. A.; Gong, Y.; Chen, H. Y.; Leech, D. Anal.Lett 1999, 32, 2951.
- Zhou, D. M.; Ju, H. X.; Chen, H. Y. J. Electroanal.Chem 1996, 408, 219. [CrossRef]
- Sun, Y. X.; Ye, B. X.; Wang, Y.; Tang, X. R.; Zhou, X. Y. J. Microchemical 1998, 58, 182.
- Brett, C. M. A.; Inzelt, G.; Kertesz, V. Anal. Chim. Acta 1999, 385(1—3), 119.
- Zhao, H.; Zhang, Y. Z.; Yuan, Z. B. Electroanalysis 2002, 14(14), 1031.
- Zhao, H.; Zhang, Y. Z.; Yuan, Z. B. Analyst 2001, 126, 358. [PubMed]
- Zhao, H.; Zhang, Y. Z.; Yuan, Z. B. Electroanalysis 2002, 6, 446.
- Hawley, M. D.; Tatawawadi, S. V.; Piekarski, S.; Adams, R. N. J. Am. Chem. Soc 1967, 89, 447. [CrossRef]
- Zhu, M.; Huang, X. M.; Li, J.; Shen, H. X. Anal. Chim. Acta 1997, 357, 261. [CrossRef]
- Editorial Committee of Pharmacopoeia of People’s Republic of China. People’s Republic of China Pharmacopoeia 2000; Beijing, 2000; Vol.2, p. 592. [Google Scholar]
- Sample Availability: Available from the authors.
© 2003 by MDPI (http://www.mdpi.org). Reproduction is permitted for noncommercial purposes.
Share and Cite
Zhang, Y.; Jin, G.; Wang, Y.; Yang, Z. Determination of Dopamine in the Presence of Ascorbic Acid using Poly (Acridine red) Modified Glassy Carbon Electrode. Sensors 2003, 3, 443-450. https://doi.org/10.3390/s31000443
Zhang Y, Jin G, Wang Y, Yang Z. Determination of Dopamine in the Presence of Ascorbic Acid using Poly (Acridine red) Modified Glassy Carbon Electrode. Sensors. 2003; 3(10):443-450. https://doi.org/10.3390/s31000443
Chicago/Turabian StyleZhang, Yuzhong, Guiying Jin, Yanling Wang, and Zhousheng Yang. 2003. "Determination of Dopamine in the Presence of Ascorbic Acid using Poly (Acridine red) Modified Glassy Carbon Electrode" Sensors 3, no. 10: 443-450. https://doi.org/10.3390/s31000443
APA StyleZhang, Y., Jin, G., Wang, Y., & Yang, Z. (2003). Determination of Dopamine in the Presence of Ascorbic Acid using Poly (Acridine red) Modified Glassy Carbon Electrode. Sensors, 3(10), 443-450. https://doi.org/10.3390/s31000443
