Wearable Sensors Reveal Head–Sternum Dissociation as a Latent Deficit in Active Aging
Highlights
- Early Detection of Latent Deficits: The novel inertial measurement unit (IMU)-based Head–Sternum Dissociation Index (HSDI) detects subclinical postural decline before standard functional mobility tests (e.g., Timed Up and Go) show impairment.
- Identification of a 55-Year Breakpoint: Kinematic analysis reveals a critical statistical threshold at age 55, marking the generalized collapse of compensatory sensorimotor mechanisms.
- Discovery of Sex-Specific Aging Profiles: Postural control degradation is sex-dependent; males adopt a rigid “binary” stiffening strategy, whereas females rely on a wider physiological buffer before shifting into chaotic instability.
- Neuroprotective Impact of Rhythm: Middle-aged adults with recreational rhythmic training (dance) successfully neutralize age-related kinematic decay, maintaining youthful head–trunk coordination.
Abstract
1. Introduction
1.1. The Paradox of Functional Aging
1.2. The Biomechanics of Head Stability
1.3. Wearable Technology and Kinematic Biomarkers
1.4. The Current Study: The Head–Sternum Dissociation Index Approach
- The IMU-derived kinematic metrics will demonstrate high concurrent validity when compared against gold-standard force platform metrics, providing a reliable proxy for center-of-pressure (COP) stability.
- A statistical breakpoint in postural control can be identified around the age of 55, marking a significant transition in the age-related decline of head–sternum coordination.
- Recreational rhythmic training (dance) serves as a powerful protective factor, allowing middle-aged and older individuals to maintain youthful head-stabilization strategies that are distinct from those of their age-matched peers.
2. Materials and Methods
2.1. Participants
- Young Adults (N = 30): Healthy university students (Age: 18–25 years).
- Middle-Aged Civil (N = 20): Adults with a sedentary or recreationally active lifestyle (Age: 26–54 years). This group (referred to as ‘Control’ in figures) consisted of individuals leading an active lifestyle but having no prior experience in rhythmic movements or formal dance training.
- Middle-Aged Dancers (N = 10): Experienced amateur folk and salsa dancers (Age: 26–54 years), serving as an active recreational control group. This cohort was specifically age-matched to the Middle-Aged Civil group to isolate the effects of sensorimotor training from chronological aging, acting as a “neuro-biomechanical gold standard” to establish the baseline for optimal multi-segmental stabilization.
- Older Adults (N = 34): Community-dwelling adults above the identified kinematic threshold (Age: ≥55 years).
2.1.1. Inclusion and Exclusion Criteria
2.1.2. Ethics Statement
2.2. Instrumentation and Sensor Setup
- IMUs: Three wireless high-precision sensors (WitMotion WT9011DCL, WitMotion Shenzhen Co., Ltd., Shenzhen, China) were employed. Each unit contains a 9-axis motion tracking module (3-axis gyroscope, 3-axis accelerometer, 3-axis magnetometer) with an internal Kalman filter to output stable Euler angles at a sampling rate of 100 Hz via BLE 5.0, providing sufficient temporal resolution to capture high-frequency postural micro-adjustments and ‘stiffening’ behaviors.
- Sensor Placement: Sensors were secured using elastic Velcro straps (Nantong Junmao E-Commerce Co., Ltd., Nantong, China) to minimize soft-tissue artifacts at three anatomical landmarks (Figure 1):
- Reference System: A Zebris FDM-S force distribution platform (Zebris Medical GmbH, Isny im Allgäu, Germany) was used to record CoP displacement and force distribution parameters, serving as the “gold standard” for validation. The platform performed sampling at 100 Hz. The platform consists of 2560 capacitive sensors measuring vertical ground reaction forces.
- Following the placement of the IMU sensors, participants’ body height and the precise vertical distance of each sensor from the ground were measured using a Mileseey M120-B (Mileseey, City of Industry, CA, USA) high-precision laser distance meter. These measurements ensured that the Functional Reach Test (FRT) and Lateral Reach Test (LRT) values could be normalized to each participant’s height, allowing for an anatomically unbiased comparison of reach performance across the cohorts.
2.3. Measurement Protocol
2.3.1. Dynamic Zero-Position Calibration
2.3.2. Experimental Protocol
- Instrumented Functional Reach Test (iFRT): Maximal forward reach maintained for 10 s.
- Instrumented Lateral Reach Test (iLRT—Right): Maximal reach to the right side (10 s).
- Instrumented Lateral Reach Test (iLRT—Left): Maximal reach to the left side (10 s).
2.4. Data Processing
2.4.1. Two-Stage Kinematic Filtering and Hysteresis Thresholding
2.4.2. Windowed HSDI
- HSDI ≈ 0: Indicates a “Block Strategy” (head and trunk move as a rigid unit), typical of the “Stiffness” phenotype found in high-risk males.
- HSDI > 0 (Positive): Indicates “Instability” (head moves significantly more than the trunk), typical of the “Dissociation Strategy” found in aging females.
- HSDI < 0 (Negative): Indicates “Active Stabilization” (head remains stable despite trunk movement), typical of the “Statue” or “Flow” strategies observed in dancers.
2.5. Statistical Analysis
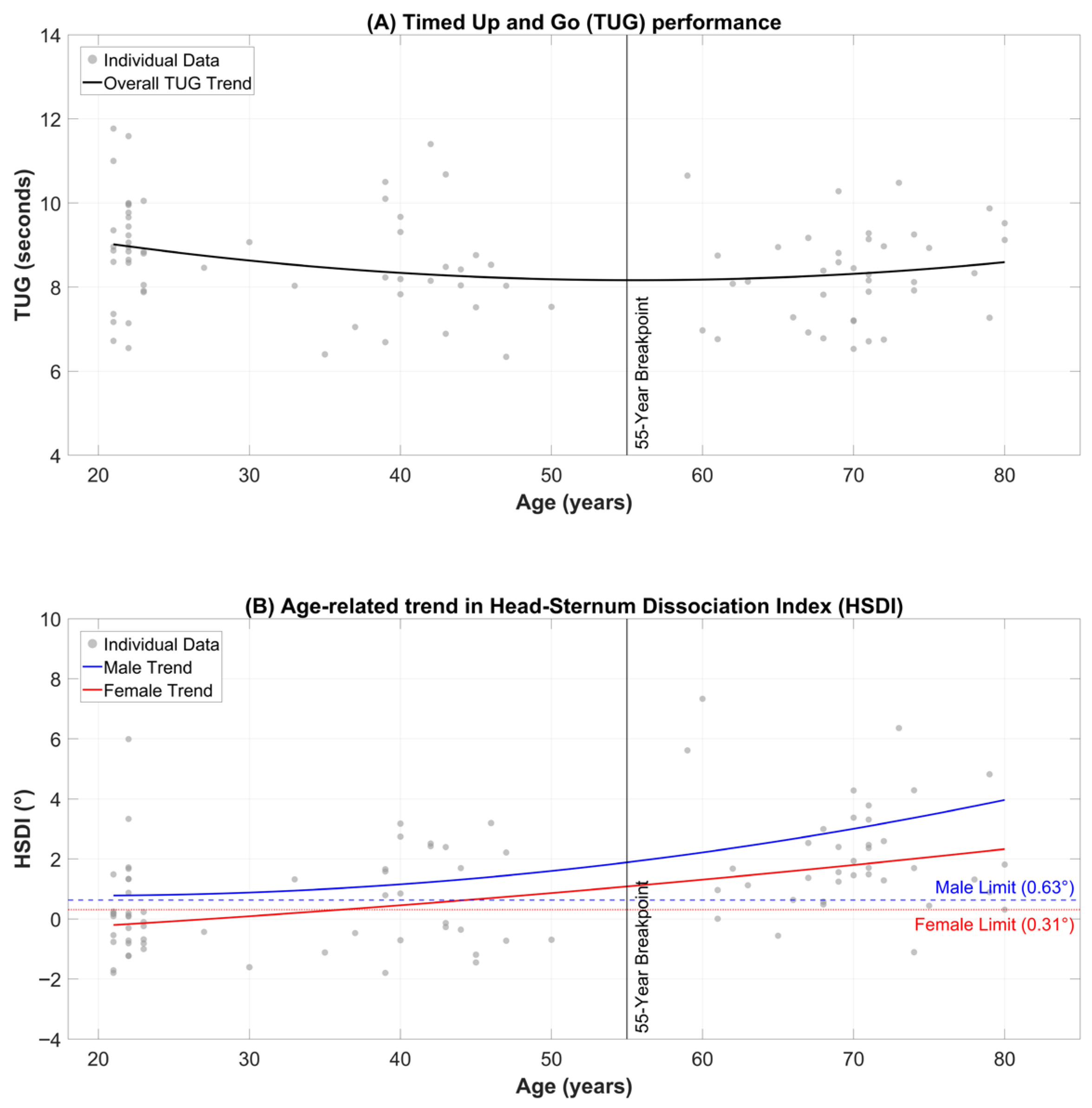
- For Males: The optimal instability threshold was established at HSDI > 0.63° (Area Under the Curve (AUC) = 0.70 **, Youden’s J = 0.30).
- For Females: A lower, more sensitive threshold was identified at HSDI > 0.31° (AUC = 0.83, Youden’s J = 0.65 **), reflecting their different biomechanical baseline.
3. Results
3.1. System Reliability and Kinematic Baseline (Nested Pilot Study)
3.2. Participant Characteristics
3.3. Validation and Multi-Axial Reliability
- Primary Validation: The lateral HSDI demonstrated a strong positive correlation with the total COP excursion area (r = 0.62, p < 0.001), confirming that higher segmental dissociation/stiffness directly reflects overall postural instability.
- Directional Consistency: Significant correlations were observed between IMU angular displacements and COP excursions in both the ML and anteroposterior (AP) axes (r > 0.60 for all tasks).
- Supplementary Data: Detailed cross-correlation matrices and the relationship between Y-axis (ML) and X-axis (AP) kinematic fluctuations are provided in Supplementary Materials (Table S1, Figures S1 and S2). This highlights that while AP movements are dominant during forward reaching, lateral HSDI serves as a more sensitive marker for the early detection of neural control degradation.
- Notably, while the Mileseey M120-B laser measurements were used to calculate absolute physical displacements (e.g., avg_angle_x and y), the HSDI’s reliance on raw kinematic streams proved to be independent of anatomical variations, supporting the feasibility of a streamlined, height-independent assessment.
3.4. Identification of the 55-Year “Kinematic Breakpoint”
- Functional Mobility: No significant difference in TUG performance was found between the Young and Middle-Aged Civil groups (p > 0.05).
- The Breakpoint: Iterative ANOVA identified a significant breakpoint at age 55 (p < 0.01), where the transition from “Dissociation” to “Stiffness” strategies becomes generalized. Crucially, a sensitivity analysis confirmed that this age-related shift remained highly significant even when the dancer subgroup was completely excluded from the analysis.
- The Latent Deficit (Early Divergence): Crucially, the Middle-Aged Civil group (ages 40–54) showed HSDI values that were already significantly higher than the Young group (p < 0.05). This “early divergence” explicitly refers to the phenomenon where underlying kinematic stabilization strategies—particularly the sex-specific transition towards rigid or chaotic patterns—begin to collapse decades before macroscopic functional performance (TUG) shows any significant impairment.

3.5. Phenotyping Movement: The Kinematic Stability Matrix
- Quadrant 1 (Stiffness—Latent Deficit): Characterized by low corrective frequency (PR ≤ 1.15) and elevated instability (HSDI > Cut-off). This zone represents a “freezing” strategy where individuals attempt to mask proprioceptive errors by rigidly locking the head–trunk segment. As seen in Table 2, this quadrant accumulates middle-aged and older individuals, confirming the presence of a “Latent Deficit”: their reduced micro-mobility reveals a brittle control strategy prone to sudden failure.Clinical Intervention: Due to the rigid co-contraction strategy, clinical management should prioritize a higher proportion of segmental mobilization, axial flexibility exercises, and sensory re-weighting therapies to break the maladaptive stiffening pattern.
- Quadrant 2 (Instability—Chaotic): Characterized by high instability amplitude (HSDI > Cut-off) and high corrective frequency (PR > 1.15). This phenotype captures the oldest demographic (mean age 65.5 years), representing the collapse of the compensatory stiffening mechanism. The sensorimotor system resorts to chaotic, high-frequency corrections that fail to stabilize the head.Clinical Intervention: As the primary deficit is uncompensated oscillation, interventions must focus on a higher proportion of segmental stabilization, core strengthening, and reactive balance training to restore controlled movement boundaries.
- Quadrants 3 & 4 (Statue & Flow—Protective Effect): These zones represent efficient stabilization. Q3 (“Statue”) represents minimal effort stability, populated almost exclusively by the youngest individuals (N = 3). Q4 (“Flow”) represents fluid, rhythmic adjustments (PR > 1.15, HSDI ≤ Cut-off). Notably, the vast majority of Young adults and 100% of the Middle-Aged Dancers clustered in Q4, maintaining youthful kinematic profiles.Clinical Intervention: For individuals in these highly efficient states, the primary recommendation is maintenance through rhythmic sensorimotor training (e.g., dance) and dynamic coordination exercises to preserve their optimal neuro-mechanical baseline.
3.6. Impact of Biological Sex on Kinematic Profiles
- Baseline Divergence: Young Males operated within a narrower physiological window, reflecting a high-stiffness “Binary” strategy, where even minor deviations trigger rigid correction. In contrast, Young Females exhibited a broader tolerance, confirming a more permissive “Continuous” control strategy due to naturally higher baseline flexibility.
- Adaptation and Failure (Aging Trajectories): This baseline difference dictated the trajectory of decline. As males age, they predominantly shift toward a “Rigid Stiffness” strategy (Q1), effectively “freezing” their movement to stay within their strict limits. Conversely, aging females, utilizing their wider physiological buffer, eventually progress directly into high-amplitude “Uncompensated Dissociation” (Q2), characterizing a distinct, chaotic failure mode.
3.7. Dynamic Adaptation in the Pilot Study
4. Discussion
4.1. The “Stiffening” Strategy: A Biomarker for Latent Deficit
4.2. Sex-Specific Trajectories: Binary vs. Continuous Control
4.3. The Neuroprotective Role of Rhythmic Expertise (Dance)
4.4. Clinical Implications: Democratizing Biomechanical Screening
4.5. Limitations and Future Directions
5. Conclusions
- The Latent Deficit: Sensorimotor erosion begins as early as the fourth decade of life. Crucially, this manifests differently between sexes: males predominantly adopt a “Stiffness” strategy (Quadrant 1) to mask instability, while females rely on a wider physiological buffer before exhibiting chaotic oscillation. This confirms that traditional time-based tests (like TUG) are “blind” to the qualitative cost of maintaining stability.
- Sex-Specific Physiological Baselines: We identified distinct control strategies defined by quantitative limits. Males operate under a higher threshold (0.63°) reflecting a rigid “Binary” control model, whereas females utilize a “Continuous” strategy marked by a lower, more sensitive threshold (0.31°) that relies on fluid micro-adjustments rather than pathological stiffness. Recognizing these distinct baselines is essential for accurate geriatric screening, necessitating sex-normative diagnostic criteria.
- Neuroprotection through Rhythm: The consistent ability of Middle-Aged Dancers in our sample to maintain youthful “Flow” kinematics demonstrates that postural decline is not inevitable. Recreational rhythmic training acts as a powerful neuroprotective intervention, effectively decoupling biological age from chronological age by preserving reflex efficiency and axial flexibility.
Supplementary Materials
Author Contributions
Funding
Institutional Review Board Statement
Informed Consent Statement
Data Availability Statement
Acknowledgments
Conflicts of Interest
Abbreviations
| ANOVA | Analysis of Variance |
| AP | Anteroposterior |
| AUC | Area Under the Curve |
| COP | Center of Pressure |
| FRT | Functional Reach Test |
| HSDI | Head–Sternum Dissociation Index |
| iFRT | Instrumented Functional Reach Test |
| iLRT | Instrumented Lateral Reach Test |
| IMU | Inertial Measurement Unit |
| iTUG | Instrumented Timed Up and Go |
| LRT | Lateral Reach Test |
| ML | Medio-Lateral |
| PR | Peak Ratio |
| ROC | Receiver Operating Characteristic |
| ROM | Range of Motion |
| SD | Standard Deviation |
| TUG | Timed Up and Go |
| VAS | Visual Analogue Scale |
| VCR | Vestibulo-Collic Reflex |
References
- Podsiadlo, D.; Richardson, S. The timed “Up & Go”: A test of basic functional mobility for frail elderly persons. J. Am. Geriatr. Soc. 1991, 39, 142–148. [Google Scholar] [CrossRef]
- Christopher, A.; Kraft, E.; Olenick, H.; Kiesling, R.; Doty, A. The reliability and validity of the Timed Up and Go as a clinical tool in individuals with and without disabilities across a lifespan: A systematic review. Disabil. Rehabil. 2021, 43, 1799–1813. [Google Scholar] [CrossRef] [PubMed]
- Barry, E.; Galvin, R.; Keogh, C.; Horgan, F.; Fahey, T. Is the Timed Up and Go test a useful predictor of risk of falls in community dwelling older adults: A systematic review and meta-analysis. BMC Geriatr. 2014, 14, 14. [Google Scholar] [CrossRef] [PubMed]
- Ortega-Bastidas, P.; Gómez, B.; Aqueveque, P.; Luarte-Martínez, S.; Cano-de-la-Cuerda, R. Instrumented Timed Up and Go Test (iTUG)—More than assessing time to predict falls: A systematic review. Sensors 2023, 23, 3426. [Google Scholar] [CrossRef]
- Alfatafta, H.; Alfatafta, M.; Onchonga, D.; Hammoud, S.; Khatatbeh, H.; Zhang, L.; Boncz, I.; Lohner, S.; Molics, B. Effect of the knee replacement surgery on activity level based on ActivPAL: A systematic review and meta-analysis study. BMC Musculoskelet. Disord. 2022, 23, 576. [Google Scholar] [CrossRef]
- Horak, F.B. Postural orientation and equilibrium: What do we need to know about neural control of balance to prevent falls? Age Ageing 2006, 35, ii7–ii11. [Google Scholar] [CrossRef] [PubMed]
- Pozzo, T.; Berthoz, A.; Lefort, L. Head stabilization during various locomotor tasks in humans. Exp. Brain Res. 1990, 82, 97–106. [Google Scholar] [CrossRef]
- Cromwell, R.L.; Newton, R.A.; Forrest, G. Head stability in older adults during walking with and without visual input. J. Vestib. Res. 2001, 11, 105–114. [Google Scholar] [CrossRef]
- Ferreira, R.N.; Ribeiro, N.F.; Santos, C.P. Fall risk assessment using wearable sensors: A narrative review. Sensors 2022, 22, 984. [Google Scholar] [CrossRef]
- Wang, B.; Liu, Y.; Lu, A.; Wang, C. Application of wearable sensors in constructing a fall risk prediction model for community-dwelling older adults: A scoping review. Arch. Gerontol. Geriatr. 2025, 129, 105689. [Google Scholar] [CrossRef]
- Paillard, T.; Noé, F. Techniques and methods for testing the postural function in healthy and pathological subjects. Biomed Res. Int. 2015, 2015, 891390. [Google Scholar] [CrossRef]
- Yudho, F.H.P.; Fachrezzy, F.; Dlis, F. Practical use and the validity of inclinometer in measuring student’s real-time body balance control through one leg standing test. Int. J. Eng. Technol. 2024, 16, 185–189. [Google Scholar] [CrossRef]
- Picerno, P.; Cereatti, A.; Cappozzo, A. Joint kinematics estimate using wearable inertial and magnetic sensing modules. Gait Posture 2008, 28, 588–595. [Google Scholar] [CrossRef]
- Flor-Unda, O.; Fuentes, M.; Dávila, D.; Rivera, M.; Llano, G.; Izurieta, C.; Acosta-Vargas, P. Innovative Technologies for Occupational Health and Safety: A Scoping Review. Safety 2023, 9, 35. [Google Scholar] [CrossRef]
- Salavati, M.; Hadian, M.R.; Mazaheri, M.; Negahban, H.; Ebrahimi, I.; Talebian, S.; Jafari, A.H.; Sanjari, M.A.; Sohani, S.M.; Parnianpour, M. Test-retest reliability of center of pressure measures of postural stability during quiet standing in a group with musculoskeletal disorders consisting of low back pain, anterior cruciate ligament injury and functional ankle instability. Gait Posture 2009, 29, 460–464. [Google Scholar] [CrossRef]
- Ruhe, A.; Fejer, R.; Walker, B.F. The test-retest reliability of centre of pressure measures in bipedal static task conditions - A systematic review of the literature. Gait Posture 2010, 32, 436–445. [Google Scholar] [CrossRef] [PubMed]
- Hodges, P.W.; Gurfinkel, V.S.; Brumagne, S.; Smith, T.C.; Cordo, P.C. Coexistence of stability and mobility in postural control: Evidence from postural compensation for respiration. Exp. Brain Res. 2002, 144, 293–302. [Google Scholar] [CrossRef]
- Kelso, J.A.S. Dynamic Patterns: The Self-Organization of Brain and Behavior; The MIT Press: Cambridge, MA, USA, 1995. [Google Scholar]
- Morikawa, T.; Mura, N.; Sato, T.; Katoh, H. Validity of the estimated angular information obtained using an inertial motion capture system during standing trunk forward and backward bending. BMC Sports Sci. Med. Rehabil. 2024, 16, 154. [Google Scholar] [CrossRef] [PubMed]
- Bernstein, N.A. The Co-Ordination and Regulation of Movements; Pergamon Press: Oxford, UK, 1967. [Google Scholar]
- Hammar, M.L.; Lindgren, R.; Berg, G.E.; Möller, C.G.; Niklasson, M.K. Effects of hormonal replacement therapy on the postural balance among postmenopausal women. Obstet. Gynecol. 1996, 88, 955–960. [Google Scholar] [CrossRef] [PubMed]
- Kattenstroth, J.C.; Kalisch, T.; Holt, S.; Tegenthoff, M.; Dinse, H.R. Six months of dance training induces wide-ranging improvements in sensorimotor and cognitive performance in the elderly. Front. Aging Neurosci. 2013, 5, 5. [Google Scholar] [CrossRef]
- Teixeira-Machado, L.; Arida, R.M.; de Jesus Mari, J. Dance for neuroplasticity: A descriptive systematic review. Neurosci. Biobehav. Rev. 2019, 96, 232–240. [Google Scholar] [CrossRef] [PubMed]
- Mancini, M.; Horak, F.B. The relevance of clinical balance assessment tools to differentiate balance deficits. Eur. J. Phys. Rehabil. Med. 2010, 46, 239–248. [Google Scholar]
- Molics, B.; Kránicz, J.; Schmidt, B.; Sebestyén, A.; Nyárády, J.; Boncz, I. A fizioterápiás jellegű tevékenységek igénybevételi mutatói a járóbeteg-szakellátásban az alsó végtag traumatológiai kórképei esetében [Utilization indicators of physiotherapy activities in outpatient care for traumatic conditions of the lower limb]. Orvosi Hetil. 2013, 154, 1165–1170. [Google Scholar]
- Peng, H.; Okamoto, S.; Watanabe, H.; Akiyama, Y. Dynamic Gait Stability Estimated Using One or Two Inertial Measurement Units Worn on the Human Body. Sensors 2026, 26, 1211. [Google Scholar] [CrossRef]
- Lee, S.; Park, C.; Ha, E.; Hong, J.; Kim, S.H.; Kim, Y. Determination of Spatiotemporal Gait Parameters Using a Smartphone’s IMU in the Pocket: Threshold-Based and Deep Learning Approaches. Sensors 2025, 25, 4395. [Google Scholar] [CrossRef] [PubMed]




| Group | N | Age (Years) | TUG (s) | HSDI (Deg) | PR |
|---|---|---|---|---|---|
| Young | 30 | 23.1 ± 0.8 | 8.96 ± 1.3 | 0.30 ± 3.0 | 1.56 ± 0.42 |
| Middle-Dancer | 10 | 42.9 ± 10.2 | 7.80 ± 1.3 * | −2.05 ± 1.8 * | 1.85 ± 0.51 * |
| Middle-Civil | 20 | 45.4 ± 7.8 | 8.73 ± 1.3 | 3.01 ± 2.9 * | 1.30 ± 0.45 |
| Older Adult | 34 | 72.1 ± 4.7 | 8.28 ± 1.1 * | 4.07 ± 3.6 * | 1.42 ± 0.55 |
| Quadrant (Phenotype) | Kinematic Profile | Total (N) | Female (n) | Male (n) | Mean Age (Female/Male) |
|---|---|---|---|---|---|
| Q1 (Stiffness/Latent Deficit) | PR ≤ 1.15, HSDI > Cut-off * | 18 | 11 | 7 | 54.2/48.4 yrs |
| Q2 (Instability/Chaotic) | PR > 1.15, HSDI > Cut-off * | 37 | 24 | 13 | 65.5/44.5 yrs |
| Q3 (Statue) | PR ≤ 1.15, HSDI ≤ Cut-off * | 3 | 1 | 2 | 22.0/24.5 yrs |
| Q4 (Flow) | PR > 1.15, HSDI ≤ Cut-off * | 36 | 27 | 9 | 33.6/34.3 yrs |
Disclaimer/Publisher’s Note: The statements, opinions and data contained in all publications are solely those of the individual author(s) and contributor(s) and not of MDPI and/or the editor(s). MDPI and/or the editor(s) disclaim responsibility for any injury to people or property resulting from any ideas, methods, instructions or products referred to in the content. |
© 2026 by the authors. Licensee MDPI, Basel, Switzerland. This article is an open access article distributed under the terms and conditions of the Creative Commons Attribution (CC BY) license.
Share and Cite
Salamon, A.; Császár, G. Wearable Sensors Reveal Head–Sternum Dissociation as a Latent Deficit in Active Aging. Sensors 2026, 26, 2125. https://doi.org/10.3390/s26072125
Salamon A, Császár G. Wearable Sensors Reveal Head–Sternum Dissociation as a Latent Deficit in Active Aging. Sensors. 2026; 26(7):2125. https://doi.org/10.3390/s26072125
Chicago/Turabian StyleSalamon, András, and Gabriella Császár. 2026. "Wearable Sensors Reveal Head–Sternum Dissociation as a Latent Deficit in Active Aging" Sensors 26, no. 7: 2125. https://doi.org/10.3390/s26072125
APA StyleSalamon, A., & Császár, G. (2026). Wearable Sensors Reveal Head–Sternum Dissociation as a Latent Deficit in Active Aging. Sensors, 26(7), 2125. https://doi.org/10.3390/s26072125

