A DTW-Based Spatio-Temporal Synchronization Method for Radar and Camera Fusion
Abstract
1. Introduction
2. Related Work
2.1. Target-Based Calibration
2.2. Target-Less Calibration
2.3. Dynamic Time Warping
3. Methodology
3.1. System Framework
3.2. Preprocessing
3.2.1. Data Acquisition and Processing
3.2.2. Multi-Target Tracking
3.3. DTW-Based Spatio-Temporal Parameter Estimation
3.3.1. DTW-Based Trajectory Matching
3.3.2. Spatio-Temporal Parameter Estimation
3.4. Spatio-Temporal Synchronization Optimization Model
4. Experiments and Analysis
4.1. Experimental Setup and Environment
4.2. Data Preprocessing
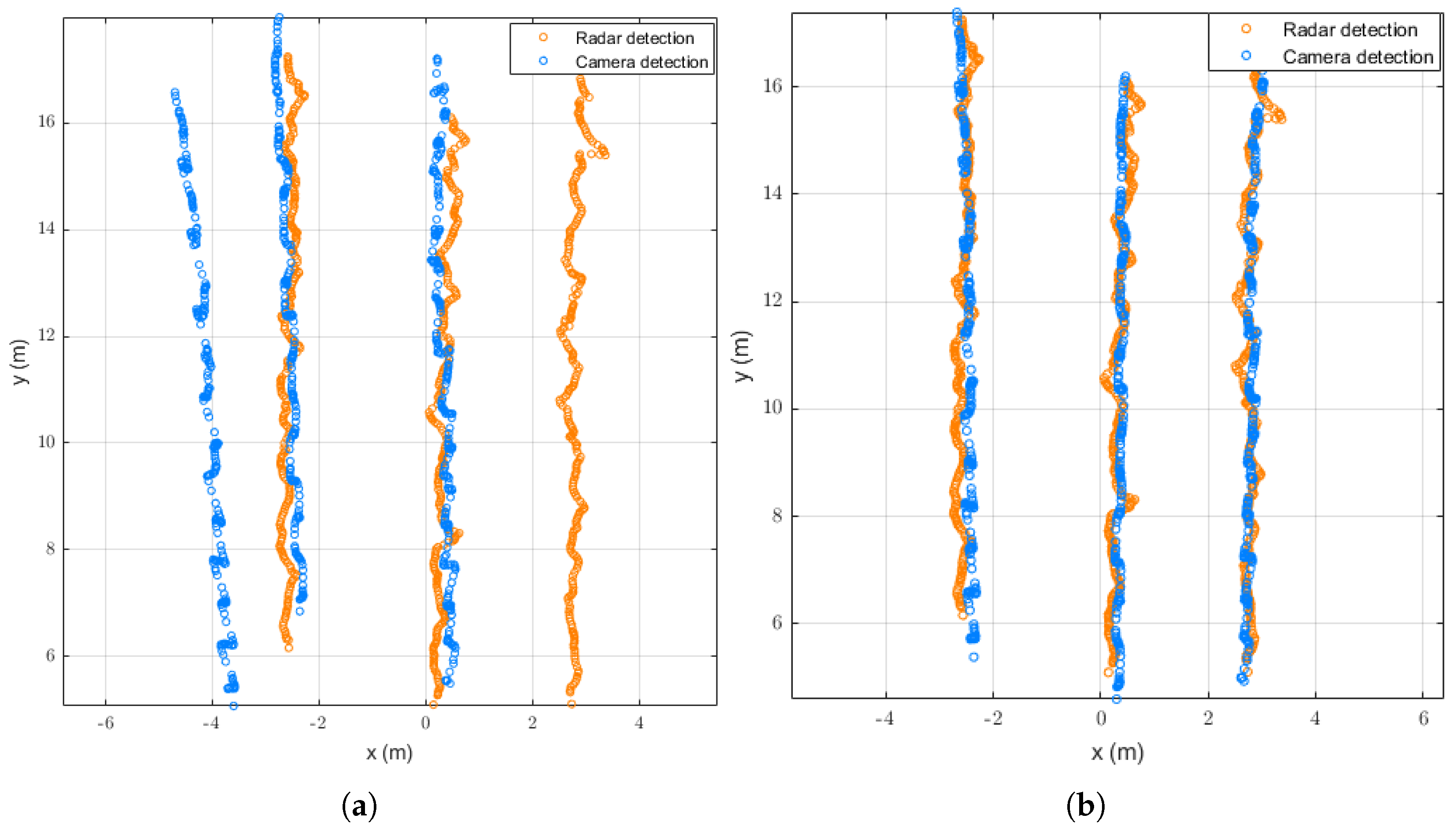
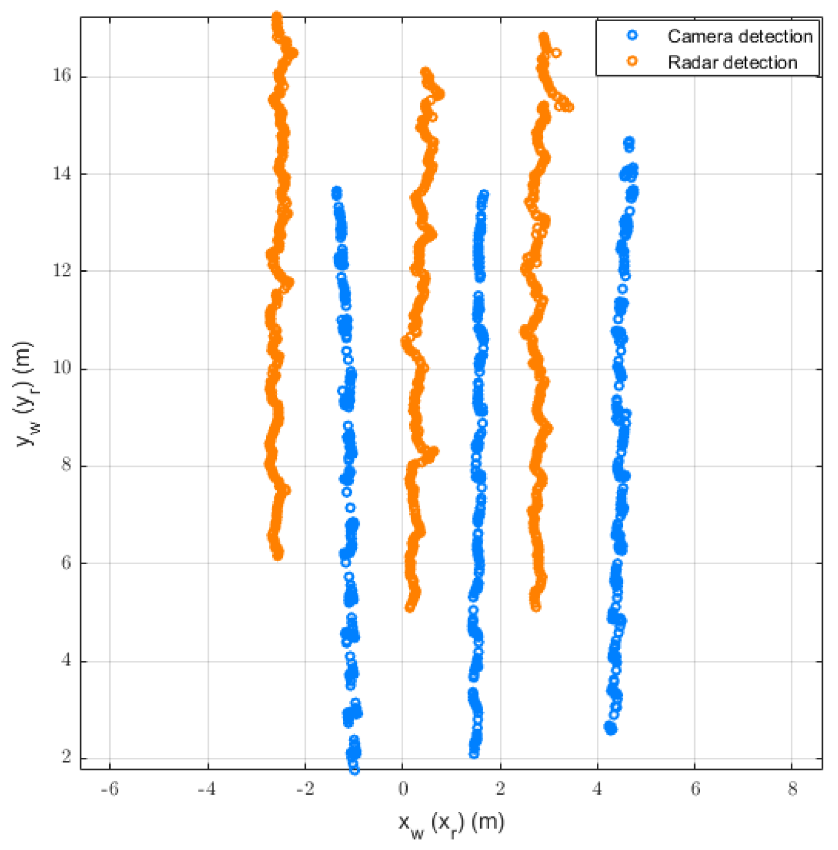
4.3. Analysis of Spatio-Temporal Synchronization Results
4.4. Quantitative Evaluation of Matching Accuracy
4.5. Computational Efficiency Analysis
5. Conclusions
Author Contributions
Funding
Institutional Review Board Statement
Informed Consent Statement
Data Availability Statement
Conflicts of Interest
References
- Zhang, J.; Wang, F.Y.; Wang, K.; Lin, W.H.; Xu, X.; Chen, C. Data-driven intelligent transportation systems: A survey. IEEE Trans. Intell. Transp. Syst. 2011, 12, 1624–1639. [Google Scholar] [CrossRef]
- Mo, Y.; Vijay, R.; Rufus, R.; Boer, N.d.; Kim, J.; Yu, M. Enhanced perception for autonomous vehicles at obstructed intersections: An implementation of vehicle to infrastructure (v2i) collaboration. Sensors 2024, 24, 936. [Google Scholar] [CrossRef] [PubMed]
- Shi, K.; He, S.; Shi, Z.; Chen, A.; Xiong, Z.; Chen, J.; Luo, J. Radar and camera fusion for object detection and tracking: A comprehensive survey. IEEE Commun. Surv. Tutorials 2026, 28, 3478–3520. [Google Scholar] [CrossRef]
- Chavez-Garcia, R.O.; Aycard, O. Multiple sensor fusion and classification for moving object detection and tracking. IEEE Trans. Intell. Transp. Syst. 2015, 17, 525–534. [Google Scholar] [CrossRef]
- Wang, S.; Mei, L.; Liu, R.; Jiang, W.; Yin, Z.; Deng, X.; He, T. Multi-modal fusion sensing: A comprehensive review of millimeter-wave radar and its integration with other modalities. IEEE Commun. Surv. Tutorials 2024, 27, 322–352. [Google Scholar] [CrossRef]
- Wei, Z.; Zhang, F.; Chang, S.; Liu, Y.; Wu, H.; Feng, Z. Mmwave radar and vision fusion for object detection in autonomous driving: A review. Sensors 2022, 22, 2542. [Google Scholar] [CrossRef]
- Zhang, Z. A flexible new technique for camera calibration. IEEE Trans. Pattern Anal. Mach. Intell. 2002, 22, 1330–1334. [Google Scholar] [CrossRef]
- Wang, W.; Sakurada, K.; Kawaguchi, N. Reflectance intensity assisted automatic and accurate extrinsic calibration of 3D LiDAR and panoramic camera using a printed chessboard. Remote Sens. 2017, 9, 851. [Google Scholar] [CrossRef]
- Kim, E.S.; Park, S.Y. Extrinsic calibration of a camera-LIDAR multi sensor system using a planar chessboard. In Proceedings of the 2019 Eleventh International Conference on Ubiquitous and Future Networks (ICUFN), Zagreb, Croatia, 2–5 July 2019; pp. 89–91. [Google Scholar]
- Kim, D.; Kim, S. Extrinsic parameter calibration of 2D radar-camera using point matching and generative optimization. In Proceedings of the 2019 19th International Conference on Control, Automation and Systems (ICCAS), Jeju, Republic of Korea, 15–18 October 2019; pp. 99–103. [Google Scholar]
- Agrawal, S.; Bhanderi, S.; Doycheva, K.; Elger, G. Static multitarget-based autocalibration of rgb cameras, 3-d radar, and 3-d lidar sensors. IEEE Sens. J. 2023, 23, 21493–21505. [Google Scholar] [CrossRef]
- Yuan, C.; Liu, X.; Hong, X.; Zhang, F. Pixel-level extrinsic self calibration of high resolution lidar and camera in targetless environments. IEEE Robot. Autom. Lett. 2021, 6, 7517–7524. [Google Scholar] [CrossRef]
- Cheng, L.; Cao, S. Online targetless radar-camera extrinsic calibration based on the common features of radar and camera. In Proceedings of the NAECON 2023-IEEE National Aerospace and Electronics Conference, Dayton, OH, USA, 28–31 August 2023; pp. 294–299. [Google Scholar]
- Ou, N.; Cai, H.; Wang, J. Targetless LiDAR-camera calibration via cross-modality structure consistency. IEEE Trans. Intell. Veh. 2023, 9, 2636–2648. [Google Scholar] [CrossRef]
- Du, Y.; Qin, B.; Zhao, C.; Zhu, Y.; Cao, J.; Ji, Y. A novel spatio-temporal synchronization method of roadside asynchronous MMW radar-camera for sensor fusion. IEEE Trans. Intell. Transp. Syst. 2021, 23, 22278–22289. [Google Scholar] [CrossRef]
- Cheng, L.; Sengupta, A.; Cao, S. 3d radar and camera co-calibration: A flexible and accurate method for target-based extrinsic calibration. In Proceedings of the 2023 IEEE Radar Conference (RadarConf23), San Antonio, TX, USA, 1–5 May 2023; pp. 1–6. [Google Scholar]
- Domhof, J.; Kooij, J.F.; Gavrila, D.M. An extrinsic calibration tool for radar, camera and lidar. In Proceedings of the 2019 International Conference on Robotics and Automation (ICRA), Montreal, QC, Canada, 20–24 May 2019; pp. 8107–8113. [Google Scholar]
- Song, C.; Son, G.; Kim, H.; Gu, D.; Lee, J.H.; Kim, Y. A novel method of spatial calibration for camera and 2D radar based on registration. In Proceedings of the 2017 6th IIAI International Congress on Advanced Applied Informatics (IIAI-AAI), Hamamatsu, Japan, 9–13 July 2017; pp. 1055–1056. [Google Scholar]
- He, W.; Zhang, G.; Liu, X.; Deng, Z.; Li, X.; Ye, Y. A low-cost temporal-spatial calibration method for radar and camera systems. Expert Syst. Appl. 2026, 306, 130879. [Google Scholar] [CrossRef]
- Durmaz, O.; Cevikalp, H. Targetless Radar–Camera Calibration via Trajectory Alignment. Sensors 2025, 25, 7574. [Google Scholar] [CrossRef]
- Hu, S.; Goldwurm, A.; Mujica, M.; Cadou, S.; Lerasle, F. A Universal Framework for Extrinsic Calibration of Camera, Radar, and LiDAR. IEEE Robot. Autom. Lett. 2025, 11, 1842–1849. [Google Scholar] [CrossRef]
- Liu, X.; Deng, Z.; Zhang, G. Targetless radar–camera extrinsic parameter calibration using track-to-track association. Sensors 2025, 25, 949. [Google Scholar] [CrossRef]
- Schöller, C.; Schnettler, M.; Krämmer, A.; Hinz, G.; Bakovic, M.; Güzet, M.; Knoll, A. Targetless rotational auto-calibration of radar and camera for intelligent transportation systems. In Proceedings of the 2019 IEEE Intelligent Transportation Systems Conference (ITSC), Auckland, New Zealand, 27–30 October 2019; pp. 3934–3941. [Google Scholar]
- Sakoe, H.; Chiba, S. Dynamic programming algorithm optimization for spoken word recognition. IEEE Trans. Acoust. Speech Signal Process. 2003, 26, 43–49. [Google Scholar] [CrossRef]
- Chen, Y.; Pei, B.; Zhang, J.; Xu, H.; Wang, C. Dynamic radar cross section similarity study based on dynamic time warping. J. Phys. Conf. Ser. 2024, 2882, 012077. [Google Scholar] [CrossRef]
- Mehta, R.; Sharifzadeh, S.; Palade, V.; Tan, B.; Daneshkhah, A.; Karayaneva, Y. Deep learning techniques for radar-based continuous human activity recognition. Mach. Learn. Knowl. Extr. 2023, 5, 1493–1518. [Google Scholar] [CrossRef]
- Liu, H.; Liu, Z. A multimodal dynamic hand gesture recognition based on radar–vision fusion. IEEE Trans. Instrum. Meas. 2023, 72, 1–15. [Google Scholar] [CrossRef]
- Hartley, R.; Zisserman, A. Multiple View Geometry in Computer Vision; Cambridge University Press: Cambridge, UK, 2003. [Google Scholar]
- Furgale, P.; Rehder, J.; Siegwart, R. Unified temporal and spatial calibration for multi-sensor systems. In Proceedings of the 2013 IEEE/RSJ International Conference on Intelligent Robots and Systems, Tokyo, Japan, 3–7 November 2013; pp. 1280–1286. [Google Scholar]
- Bar-Shalom, Y.; Li, X.R.; Kirubarajan, T. Estimation with Applications to Tracking and Navigation: Theory Algorithms and Software; John Wiley & Sons: Hoboken, NJ, USA, 2001. [Google Scholar]
- Kalman, R.E. A new approach to linear filtering and prediction problems. J. Basic Eng. 1960, 82, 35–45. [Google Scholar] [CrossRef]
- Liu, Q.; Yang, L.; Zheng, W.; Wang, J. A Cross-Carrier Telemetry and Lidar Time Calibration Method Based on EMD-DTW. In Proceedings of the 2025 44th Chinese Control Conference (CCC), Chongqing, China, 28–30 July 2025; pp. 3609–3614. [Google Scholar]
- Mehta, R.; Palade, V.; Sharifzadeh, S.; Tan, B.; Karayaneva, Y. Continuous Human Activity Recognition using Radar Imagery and Dynamic Time Warping. In Proceedings of the 2022 21st IEEE International Conference on Machine Learning and Applications (ICMLA), Nassau, Bahamas, 12–14 December 2022; pp. 471–476. [Google Scholar]
- Kuhn, H.W. The Hungarian method for the assignment problem. Nav. Res. Logist. Q. 1955, 2, 83–97. [Google Scholar] [CrossRef]







| MMW Radar Parameters | Value (Unit) | Camera Parameters | Value (Unit) |
|---|---|---|---|
| Maximum detection range | 56.2485 m | CMOS sensor model | IMX335 |
| Maximum speed | 7.7950 m/s | Resolution | 640 × 480 |
| Distance resolution | 0.5 m | Focal length | 2.8 mm |
| Speed resolution | 0.1247 m/s | Field of view | 95° |
| Sampling frequency | 30 Hz | Sampling frequency | 30 Hz |
| Parameter | Lower Boundary | Upper Boundary | Result |
|---|---|---|---|
| (s) | 0 | 1 | 0.116 |
| (m) | −5 | 5 | −0.842 |
| (m) | −5 | 5 | 2.719 |
| (°) | −1 | 1 | −0.007 |
| 0.5 | 1.5 | 0.811 | |
| 0.5 | 1.5 | 1.002 | |
| (m) | −1 | 1 | −0.969 |
| (m) | −1 | 1 | 0.893 |
| (m) | −1 | 1 | −0.027 |
| (m) | −1 | 1 | −0.383 |
| (m) | −1 | 1 | −0.148 |
| (m) | −1 | 1 | −0.173 |
| Number of Targets (K) | Baseline Accuracy | Proposed Accuracy |
|---|---|---|
| 1–2 | 71.4% | 100% |
| 3–4 | 61.5% | 84.6% |
| 5–6 | 36.4% | 54.5% |
Disclaimer/Publisher’s Note: The statements, opinions and data contained in all publications are solely those of the individual author(s) and contributor(s) and not of MDPI and/or the editor(s). MDPI and/or the editor(s) disclaim responsibility for any injury to people or property resulting from any ideas, methods, instructions or products referred to in the content. |
© 2026 by the authors. Licensee MDPI, Basel, Switzerland. This article is an open access article distributed under the terms and conditions of the Creative Commons Attribution (CC BY) license.
Share and Cite
Li, J.; Liu, J.; Li, X.; Zhong, C.; Sun, X. A DTW-Based Spatio-Temporal Synchronization Method for Radar and Camera Fusion. Sensors 2026, 26, 2108. https://doi.org/10.3390/s26072108
Li J, Liu J, Li X, Zhong C, Sun X. A DTW-Based Spatio-Temporal Synchronization Method for Radar and Camera Fusion. Sensors. 2026; 26(7):2108. https://doi.org/10.3390/s26072108
Chicago/Turabian StyleLi, Jingjing, Juan Liu, Xiuping Li, Chengliang Zhong, and Xiyan Sun. 2026. "A DTW-Based Spatio-Temporal Synchronization Method for Radar and Camera Fusion" Sensors 26, no. 7: 2108. https://doi.org/10.3390/s26072108
APA StyleLi, J., Liu, J., Li, X., Zhong, C., & Sun, X. (2026). A DTW-Based Spatio-Temporal Synchronization Method for Radar and Camera Fusion. Sensors, 26(7), 2108. https://doi.org/10.3390/s26072108

