Validity, Reliability and Interpretability of an IMU-Based System to Measure 3D Lower Limb Kinematics of Patients with Heterogeneous Gait Disorders
Abstract
1. Introduction
2. Materials and Methods
2.1. Design of Experiment
2.2. Participants
2.3. Equipment
2.4. Protocol
2.5. Data Processing

2.6. Outcomes
2.7. Data Analysis
2.7.1. A-Concurrent Validity
2.7.2. B-Reliability
2.7.3. C-Interpretability
3. Results
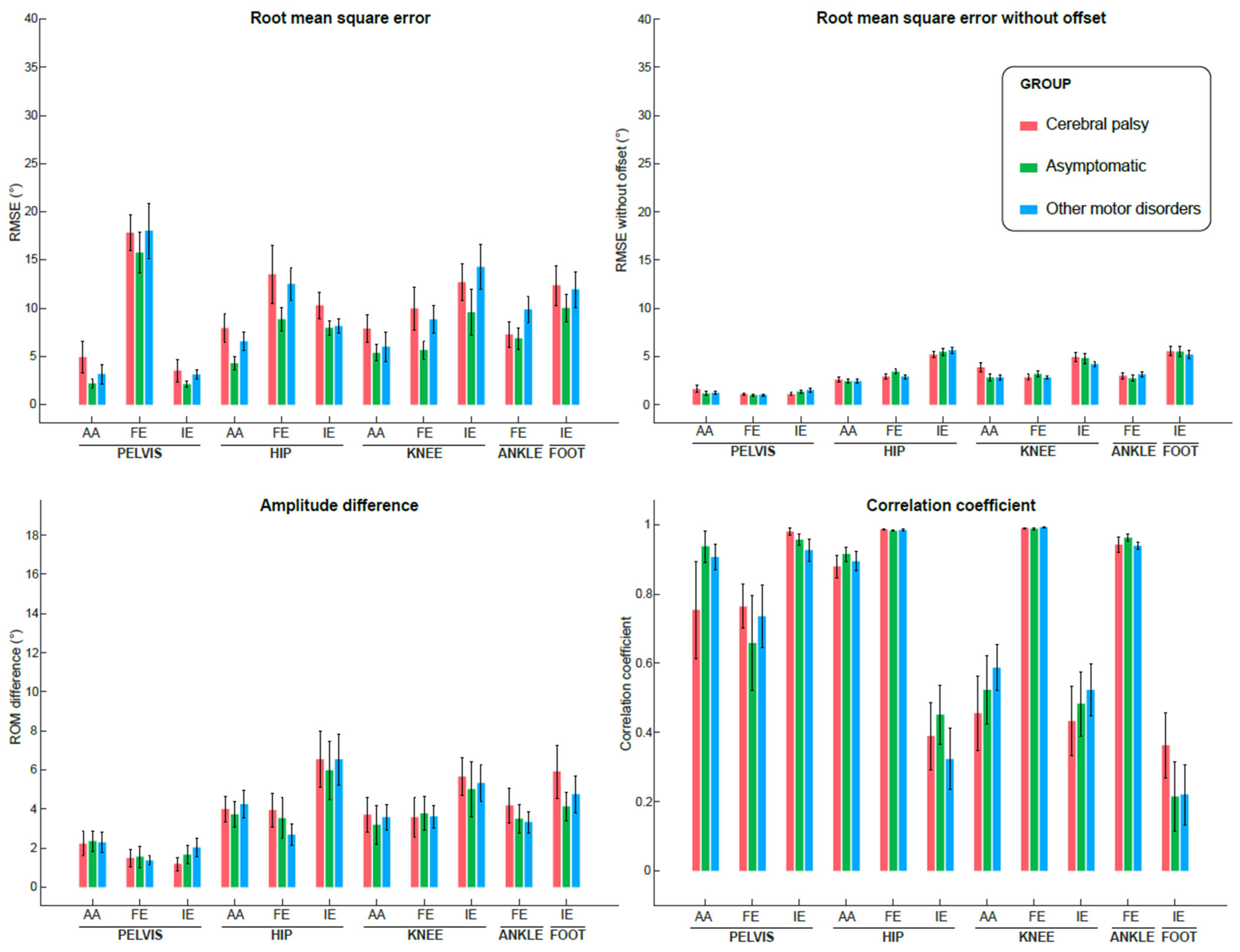
3.1. A-Concurrent Validity
3.2. B-Reliability
3.3. C-Interpretability
4. Discussion
4.1. A-Concurrent Validity
4.2. B-Reliability
4.3. C-Interpretability
4.4. Limitations
4.5. Perspectives
5. Conclusions
Supplementary Materials
Author Contributions
Funding
Institutional Review Board Statement
Informed Consent Statement
Data Availability Statement
Acknowledgments
Conflicts of Interest
Abbreviations
| AS | Asymptomatic |
| CC | Correlation coefficient |
| CGA | Clinical gait analysis |
| CGM | Conventional Gait Model |
| CP | Cerebral palsy |
| GMFCS | Gross motor function classification system |
| GPS | Gait Profile Score |
| HR-PRO | Health related-patient reported outcomes |
| ICC | Intraclass correlation coefficient |
| IMU | Inertial measurement unit |
| OMD | Other motor disorders |
| OPTO | Optoelectronic |
| RMSE | Root mean square error |
| ROM | Range of motion |
References
- Kirtley, C. Clinical Gait Analysis—Theory and Practice; Churchill Livingstone-Elsevier, Ed.; Elsevier: Philadelphia, PA, USA, 2006. [Google Scholar]
- Baker, R.; Esquenazi, A.; Benedetti, M.G.; Desloovere, K. Gait analysis: Clinical facts. Eur. J. Phys. Rehabil. Med. 2016, 52, 560–574. [Google Scholar]
- Leineweber, M.J.; Orozco, M.D.G.; Andrysek, J.; Gomez Orozco, M.D.; Andrysek, J. Evaluating the feasibility of two post-hoc correction techniques for mitigating posture-induced measurement errors associated with wearable motion capture. Med. Eng. Phys. 2019, 71, 38–44. [Google Scholar] [CrossRef]
- Weygers, I.; Kok, M.; Konings, M.; Hallez, H.; De Vroey, H.; Claeys, K. Inertial sensor-based lower limb joint kinematics: A methodological systematic review. Sensors 2020, 20, 673. [Google Scholar] [CrossRef]
- Kataoka, Y.; Ishida, T.; Osuka, S.; Takeda, R.; Tadano, S.; Yamada, S.; Tohyama, H. Validity of Wearable Gait Analysis System for Measuring Lower-Limb Kinematics during Timed Up and Go Test. Sensors 2024, 24, 6296. [Google Scholar] [CrossRef]
- Hindle, B.R.; Keogh, J.W.L.; Lorimer, A.V. Inertial-based human motion capture: A technical summary of current processing methodologies for spatiotemporal and kinematic measures. Appl. Bionics Biomech. 2021, 2021, 6628320. [Google Scholar] [CrossRef] [PubMed]
- Scalera, G.M.; Ferrarin, M.; Marzegan, A.; Rabuffetti, M. Assessment of Stability of MIMU Probes to Skin-Marker-Based Anatomical Reference Frames During Locomotion Tasks: Effect of Different Locations on the Lower Limb. Front. Bioeng. Biotechnol. 2021, 9, 721900. [Google Scholar] [CrossRef] [PubMed]
- Nazarahari, M.; Rouhani, H. 40 Years of Sensor Fusion for Orientation Tracking via Magnetic and Inertial Measurement Units: Methods, Lessons Learned, and Future Challenges. Inf. Fusion 2020, 68, 67–84. [Google Scholar] [CrossRef]
- Vitali, R.V.; Perkins, N.C. Determining anatomical frames via inertial motion capture: A survey of methods. J. Biomech. 2020, 106, 109832. [Google Scholar] [CrossRef]
- Pacher, L.; Chatellier, C.; Vauzelle, R.; Fradet, L. Sensor-to-Segment Calibration Methodologies for Lower—Body Kinematic Analysis with Inertial Sensors: A Systematic Review. Sensors 2020, 20, 3322. [Google Scholar] [CrossRef]
- Poitras, I.; Dupuis, F.; Bielmann, M.; Campeau-Lecours, A.; Mercier, C.; Bouyer, L.J.; Roy, J.S. Validity and reliability ofwearable sensors for joint angle estimation: A systematic review. Sensors 2019, 19, 1555. [Google Scholar] [CrossRef]
- Mokkink, L.B.; Terwee, C.B.; Patrick, D.L.; Alonso, J.; Stratford, P.W.; Knol, D.L.; Bouter, L.M.; de Vet, H.C.W. The COSMIN study reached international consensus on taxonomy, terminology, and definitions of measurement properties for health-related patient-reported outcomes. J. Clin. Epidemiol. 2010, 63, 737–745. [Google Scholar] [CrossRef] [PubMed]
- Cloete, T.; Scheffer, C. Benchmarking of a full-body inertial motion capture system for clinical gait analysis. In Proceedings of the 2008 30th Annual International Conference of the IEEE Engineering in Medicine and Biology Society, Vancouver, BC, Canada, 20–25 August 2008; pp. 4579–4582. [Google Scholar] [CrossRef]
- Zhang, J.T.; Novak, A.C.; Brouwer, B.; Li, Q. Concurrent validation of Xsens MVN measurement of lower limb joint angular kinematics. Physiol. Meas. 2013, 34, N63–N69. [Google Scholar] [CrossRef]
- Van Den Noort, J.C.; Ferrari, A.; Cutti, A.G.; Becher, J.G.; Harlaar, J. Gait analysis in children with cerebral palsy via inertial and magnetic sensors. Med. Biol. Eng. Comput. 2013, 51, 377–386. [Google Scholar] [CrossRef] [PubMed]
- Leboeuf, F.; Baker, R.; Barré, A.; Reay, J.; Jones, R.; Sangeux, M. The conventional gait model, an open-source implementation that reproduces the past but prepares for the future. Gait Posture 2019, 69, 235–241. [Google Scholar] [CrossRef]
- Gløersen, Ø.; Federolf, P. Predicting missing marker trajectories in human motion data using marker intercorrelations. PLoS ONE 2016, 11, e0152616. [Google Scholar] [CrossRef]
- Zeni, J.A.; Richards, J.G.; Higginson, J.S. Two simple methods for determining gait events during treadmill and overground walking using kinematic data. Gait Posture 2008, 27, 710–714. [Google Scholar] [CrossRef] [PubMed]
- Carcreff, L.; Payen, G.; Grouvel, G.; Massé, F.; Armand, S. Three-dimensional lower limb kinematics from accelerometers and gyroscopes with simple and minimal functional calibration tasks: Validation on asymptomatic participants. Sensors 2022, 22, 5657. [Google Scholar] [CrossRef]
- Mariani, B.; Rochat, S.; Christophe, J.B.; Aminian, K. Heel and Toe Clearance Estimation for Gait Analysis Using Wireless Inertial Sensors. IEEE Trans. Biomed. Eng. 2012, 59, 3162–3168. [Google Scholar] [CrossRef]
- Baker, R. Measuring Walking: A Handbook of Clinical Gait Analysis; Mac Keith Press: London, UK, 2013. [Google Scholar]
- Baker, R.; McGinley, J.L.; Schwartz, M.H.; Beynon, S.; Rozumalski, A.; Graham, H.K.; Tirosh, O. The gait profile score and movement analysis profile. Gait Posture 2009, 30, 265–269. [Google Scholar] [CrossRef]
- Nuesch, C.; Roos, E.; Pagenstert, G.; Mundermann, A.; Nüesch, C.; Roos, E.; Pagenstert, G.; Mündermann, A. Measuring joint kinematics of treadmill walking and running: Comparison between an inertial sensor based system and a camera-based system. J. Biomech. 2017, 57, 32–38. [Google Scholar] [CrossRef] [PubMed]
- McGinley, J.L.; Baker, R.; Wolfe, R.; Morris, M.E. The reliability of three-dimensional kinematic gait measurements: A systematic review. Gait Posture 2009, 29, 360–369. [Google Scholar] [CrossRef] [PubMed]
- Altman, D.G.; Altman, E. Practical Statistics for Medical Research; Chapman: Boca Raton, FL, USA, 1999. [Google Scholar]
- Chia, K.; Sangeux, M. Quantifying sources of variability in gait analysis. Gait Posture 2017, 56, 68–75. [Google Scholar] [CrossRef] [PubMed]
- McGraw, K.O.; Wong, S.P. Forming Inferences about Some Intraclass Correlation Coefficients. Psychol. Methods 1996, 1, 30–46. [Google Scholar] [CrossRef]
- Bates, D.; Mächler, M.; Bolker, B.M.; Walker, S.C. Fitting linear mixed-effects models using lme4. J. Stat. Softw. 2015, 67, 1–48. [Google Scholar] [CrossRef]
- Al-Amri, M.; Nicholas, K.; Button, K.; Sparkes, V.; Sheeran, L.; Davies, J.L. Inertial Measurement Units for Clinical Movement Analysis: Reliability and Concurrent Validity. Sensors 2018, 18, 719. [Google Scholar] [CrossRef]
- Koo, T.K.; Li, M.Y. A Guideline of Selecting and Reporting Intraclass Correlation Coefficients for Reliability Research. J. Chiropr. Med. 2016, 15, 155–163. [Google Scholar] [CrossRef]
- Rasmussen, H.M.; Nielsen, D.B.; Pedersen, N.W.; Overgaard, S.; Holsgaard-Larsen, A. Gait Deviation Index, Gait Profile Score and Gait Variable Score in children with spastic cerebral palsy: Intra-rater reliability and agreement across two repeated sessions. Gait Posture 2015, 42, 133–137. [Google Scholar] [CrossRef]
- Devetak, G.F.; Martello, S.K.; de Almeida, J.C.; Correa, K.P.; Iucksch, D.D.; Manffra, E.F. Reliability and minimum detectable change of the gait profile score for post-stroke patients. Gait Posture 2016, 49, 382–387. [Google Scholar] [CrossRef]
- Santos Bueno, G.A.; Ribeiro, D.M.; Gervásio, F.M.; Correia, A.M.; de Menezes, R.L. Gait profile score identifies changes in gait kinematics in nonfaller, faller and recurrent faller older adults women. Gait Posture 2019, 72, 76–81. [Google Scholar] [CrossRef]
- Carcreff, L. KINEMAGICS Dataset: 3D Gait Kinematics of Asymptomatic Individuals and Patients with Heterogenous Gait Disorders from IMU and Optoelectronic Systems. 2025. Available online: https://zenodo.org/records/18068953 (accessed on 3 March 2026). [CrossRef]
- Kobsar, D.; Charlton, J.; Tse, C.; Esculier, J.F.; Graffos, A.; Krowchuk, N.M.; Thatcher, D.; Hunt, M.A. Validity and reliability of wearable inertial sensors in healthy adult walking: A systematic review and meta-analysis. J. Neuroeng. Rehabil. 2020, 17, 62. [Google Scholar]
- Prisco, G.; Pirozzi, M.A.; Santone, A.; Esposito, F.; Cesarelli, M.; Amato, F.; Donisi, L. Validity of Wearable Inertial Sensors for Gait Analysis: A Systematic Review. Diagnostics 2025, 15, 36. [Google Scholar] [CrossRef]
- Berner, K.; Cockcroft, J.; Morris, L.D.; Louw, Q. Concurrent validity and within-session reliability of gait kinematics measured using an inertial motion capture system with repeated calibration. J. Bodyw. Mov. Ther. 2020, 24, 251–260. [Google Scholar] [CrossRef] [PubMed]
- Shuai, Z.; Dong, A.; Liu, H.; Cui, Y. Reliability and Validity of an Inertial Measurement System to Quantify Lower Extremity Joint Angle in Functional Movements. Sensors 2022, 22, 863. [Google Scholar] [CrossRef] [PubMed]
- Buganè, F.; Benedetti, M.G.; D’Angeli, V.; Leardini, A. Estimation of pelvis kinematics in level walking based on a single inertial sensor positioned close to the sacrum: Validation on healthy subjects with stereophotogrammetric system. Biomed. Eng. Online 2014, 13, 146. [Google Scholar] [CrossRef] [PubMed]
- Ortigas Vásquez, A.; Maas, A.; List, R.; Schütz, P.; Taylor, W.R.; Grupp, T.M. A Framework for Analytical Validation of Inertial-Sensor-Based Knee Kinematics Using a Six-Degrees-of-Freedom Joint Simulator. Sensors 2023, 23, 348. [Google Scholar] [CrossRef]
- Teufl, W.; Miezal, M.; Taetz, B.; Fröhlich, M.; Bleser, G. Validity, test-retest reliability and long-term stability of magnetometer free inertial sensor based 3D joint kinematics. Sensors 2018, 18, 1980. [Google Scholar] [CrossRef]
- Chau, T.; Young, S.; Redekop, S. Managing variability in the summary and comparison of gait data. J. Neuroeng. Rehabil. 2005, 2, 22. [Google Scholar] [CrossRef]
- Hossain, S.B.; Dranetz, J.; Choi, H.; Guo, Z. DeepBBWAE-Net: A CNN-RNN Based Deep SuperLearner for Estimating Lower Extremity Sagittal Plane Joint Kinematics Using Shoe-Mounted IMU Sensors in Daily Living. IEEE J. Biomed. Health Inform. 2022, 26, 3906–3917. [Google Scholar] [CrossRef]
- Sung, J.; Han, S.; Park, H.; Cho, H.; Hwang, S.; Park, J.W.; Youn, I. Prediction of Lower Extremity Multi-Joint Angles during Overground Walking by Using a Single IMU with a Low Frequency Based on an LSTM Recurrent Neural Network. Sensors 2022, 22, 53. [Google Scholar] [CrossRef]
- Patel, G.; Mullerpatan, R.; Agarwal, B.; Shetty, T.; Ojha, R.; Shaikh-Mohammed, J.; Sujatha, S. Validation of wearable inertial sensor-based gait analysis system for measurement of spatiotemporal parameters and lower extremity joint kinematics in sagittal plane. Proc. Inst. Mech. Eng. Part H J. Eng. Med. 2022, 236, 686–696. [Google Scholar] [CrossRef]
- Bonato, P.; Feipel, V.; Corniani, G.; Arin-Bal, G.; Leardini, A. Position paper on how technology for human motion analysis and relevant clinical applications have evolved over the past decades: Striking a balance between accuracy and convenience. Gait Posture 2024, 113, 191–203. [Google Scholar] [CrossRef] [PubMed]




| Group | Asymptomatic (n = 15) | Cerebral Palsy (n = 15) | Other Motor Disorders (n = 25) | |||||||
|---|---|---|---|---|---|---|---|---|---|---|
| Age Group | Children (n = 4) | Teenagers (n = 5) | Adults (n = 6) | Children (n = 8) | Teenagers (n = 5) | Adults (n = 2) | Children (n = 13) | Teenagers (n = 3) | Adults (n = 9) | |
| Age (years) | mean | 9.0 | 16.0 | 32.4 | 10.1 | 15.0 | 18.5 | 9.2 | 15.3 | 42.2 |
| SD | 1.4 | 1.0 | 5.7 | 1.5 | 0.9 | 0.5 | 2.2 | 0.5 | 20.2 | |
| Height (cm) | mean | 135.1 | 169.9 | 165.3 | 141.8 | 166.8 | 167.8 | 140.3 | 163.7 | 166.3 |
| SD | 10.4 | 8.6 | 10.6 | 7.2 | 8.4 | 0.8 | 14.8 | 7.6 | 11.3 | |
| Weight (kg) | mean | 30.4 | 58.7 | 65.6 | 36.1 | 56.1 | 68.3 | 39.0 | 55.5 | 71.1 |
| SD | 7.1 | 13.8 | 17.4 | 5.7 | 16.2 | 10.3 | 14.7 | 4.8 | 12.7 | |
| BMI (kg/m2) | mean | 16.4 | 20.1 | 23.5 | 17.9 | 19.8 | 24.2 | 19.0 | 20.8 | 25.6 |
| SD | 2.0 | 3.4 | 3.2 | 2.2 | 3.8 | 3.4 | 4.0 | 1.5 | 2.7 | |
| GMFCS | n | I—5 II—2 III—1 | I—4 III—1 | I—2 | ||||||
| GPS (°) | mean | 5.0 | 4.0 | 4.4 | 8.1 | 8.0 | 7.4 | 6.6 | 8.6 | 6.6 |
| SD | 0.4 | 0.8 | 0.5 | 2.4 | 1.7 | 1.8 | 0.6 | 2.6 | 1.2 | |
| Kinematic Outcomes | Pearson’s Correlation Coefficient | p-Value |
|---|---|---|
| Pelvis ante/retroversion | 0.26 | 0.053 |
| Pelvis obliquity | 0.17 | 0.204 |
| Pelvis rotation | 0.51 | <0.001 |
| Hip flexion/extension | 0.38 | <0.001 |
| Hip ab/adduction | 0.32 | 0.001 |
| Hip rotation | 0.21 | 0.025 |
| Knee flexion/extension | 0.46 | <0.001 |
| Knee ab/adduction | 0.15 | 0.108 |
| Knee rotation | 0.23 | 0.014 |
| Ankle flexion/extension | 0.19 | 0.047 |
| Foot progression angle | 0.23 | 0.014 |
| Plane | Segment/Joint | Parameter | Intra-Operator ICC | Inter-Operator ICC | ||
|---|---|---|---|---|---|---|
| IMU | OPTO | IMU | OPTO | |||
| Sagittal | Pelvis | Max | 0.40 | 0.82 | 0.57 | 0.85 |
| Min | 0.49 | 0.67 | 0.56 | 0.77 | ||
| ROM | 0.76 | 0.78 | 0.84 | 0.80 | ||
| Mean | 0.39 | 0.77 | 0.50 | 0.82 | ||
| Hip | Max | 0.63 | 0.71 | 0.59 | 0.81 | |
| Min | 0.37 | 0.78 | 0.53 | 0.85 | ||
| ROM | 0.71 | 0.77 | 0.68 | 0.79 | ||
| Mean | 0.56 | 0.69 | 0.57 | 0.82 | ||
| Knee | Max | 0.82 | 0.62 | 0.85 | 0.62 | |
| Min | 0.67 | 0.49 | 0.72 | 0.39 | ||
| ROM | 0.60 | 0.75 | 0.74 | 0.76 | ||
| Mean | 0.69 | 0.49 | 0.77 | 0.44 | ||
| Ankle | Max | 0.51 | 0.73 | 0.61 | 0.75 | |
| Min | 0.50 | 0.65 | 0.66 | 0.76 | ||
| ROM | 0.68 | 0.73 | 0.72 | 0.76 | ||
| Mean | 0.45 | 0.71 | 0.57 | 0.75 | ||
| Frontal | Pelvis | Max | 0.81 | 0.68 | 0.77 | 0.65 |
| Min | 0.72 | 0.63 | 0.70 | 0.65 | ||
| ROM | 0.69 | 0.79 | 0.70 | 0.82 | ||
| Mean | 0.82 | 0.49 | 0.80 | 0.51 | ||
| Hip | Max | 0.63 | 0.70 | 0.69 | 0.74 | |
| Min | 0.69 | 0.55 | 0.70 | 0.72 | ||
| ROM | 0.63 | 0.67 | 0.66 | 0.76 | ||
| Mean | 0.69 | 0.63 | 0.75 | 0.69 | ||
| Knee | Max | 0.58 | 0.28 | 0.73 | 0.60 | |
| Min | 0.70 | 0.48 | 0.71 | 0.58 | ||
| ROM | 0.24 | 0.32 | 0.55 | 0.46 | ||
| Mean | 0.68 | 0.50 | 0.71 | 0.78 | ||
| Transverse | Pelvis | Max | 0.35 | 0.68 | 0.39 | 0.68 |
| Min | 0.40 | 0.46 | 0.08 | 0.49 | ||
| ROM | 0.50 | 0.56 | 0.17 | 0.50 | ||
| Mean | 0.13 | 0.59 | 0.06 | 0.60 | ||
| Hip | Max | 0.22 | 0.35 | 0.44 | 0.64 | |
| Min | 0.49 | 0.30 | 0.70 | 0.59 | ||
| ROM | 0.47 | 0.37 | 0.68 | 0.63 | ||
| Mean | 0.36 | 0.31 | 0.54 | 0.55 | ||
| Knee | Max | 0.51 | 0.49 | 0.60 | 0.58 | |
| Min | 0.39 | 0.50 | 0.42 | 0.66 | ||
| ROM | 0.50 | 0.39 | 0.56 | 0.65 | ||
| Mean | 0.42 | 0.48 | 0.58 | 0.58 | ||
| Foot Progression Angle | Max | 0.52 | 0.81 | 0.60 | 0.84 | |
| Min | 0.29 | 0.73 | 0.28 | 0.83 | ||
| ROM | 0.53 | 0.67 | 0.57 | 0.69 | ||
| Mean | 0.29 | 0.82 | 0.37 | 0.88 | ||
| GPSOPTO | GPSIMU | Systems Comparisons c | |
|---|---|---|---|
| Asymptomatic (n = 15) | 4.4 (0.7) | 4.9 (0.7) | p = 0.015 |
| Cerebral palsy (n = 15) | 8.0 (1.9) | 7.7 (1.7) | p = 0.720 |
| Other motor disorders (n = 25) | 6.8 (1.4) | 7.0 (1.5) | p = 0.491 |
| Groups comparisons a | p < 0.001 | p < 0.001 | |
| Pairwise comparisons with asymptomatic group b | CP vs. TD: p < 0.001 OMD vs. TD: p < 0.001 | CP vs. TD: p < 0.001 OMD vs. TD: p < 0.001 |
Disclaimer/Publisher’s Note: The statements, opinions and data contained in all publications are solely those of the individual author(s) and contributor(s) and not of MDPI and/or the editor(s). MDPI and/or the editor(s) disclaim responsibility for any injury to people or property resulting from any ideas, methods, instructions or products referred to in the content. |
© 2026 by the authors. Licensee MDPI, Basel, Switzerland. This article is an open access article distributed under the terms and conditions of the Creative Commons Attribution (CC BY) license.
Share and Cite
Carcreff, L.; Payen, G.; Grouvel, G.; Cardoso-Fonseca, M.; Massé, F.; Armand, S. Validity, Reliability and Interpretability of an IMU-Based System to Measure 3D Lower Limb Kinematics of Patients with Heterogeneous Gait Disorders. Sensors 2026, 26, 1746. https://doi.org/10.3390/s26061746
Carcreff L, Payen G, Grouvel G, Cardoso-Fonseca M, Massé F, Armand S. Validity, Reliability and Interpretability of an IMU-Based System to Measure 3D Lower Limb Kinematics of Patients with Heterogeneous Gait Disorders. Sensors. 2026; 26(6):1746. https://doi.org/10.3390/s26061746
Chicago/Turabian StyleCarcreff, Lena, Gabriel Payen, Gautier Grouvel, Mickael Cardoso-Fonseca, Fabien Massé, and Stéphane Armand. 2026. "Validity, Reliability and Interpretability of an IMU-Based System to Measure 3D Lower Limb Kinematics of Patients with Heterogeneous Gait Disorders" Sensors 26, no. 6: 1746. https://doi.org/10.3390/s26061746
APA StyleCarcreff, L., Payen, G., Grouvel, G., Cardoso-Fonseca, M., Massé, F., & Armand, S. (2026). Validity, Reliability and Interpretability of an IMU-Based System to Measure 3D Lower Limb Kinematics of Patients with Heterogeneous Gait Disorders. Sensors, 26(6), 1746. https://doi.org/10.3390/s26061746

