Multi-Modal Data-Driven Bayesian-Optimized CNN-LSTM Model for Slope Displacement Prediction
Highlights
- A multimodal data-driven Bayesian optimized CNN-LSTM prediction model was constructed, which significantly improved the accuracy and stability of slope displacement time series prediction.
- The study verified that fusing multimodal data such as rainfall and earth pressure can effectively enhance the model’s ability to represent external influencing factors, thereby improving prediction stability.
- This provides a high-precision intelligent prediction method for slope safety monitoring and geological disaster early warning, supporting reliable extrapolation prediction in the case of missing or abnormal GNSS data.
- The constructed framework provides a technical approach that can be referenced for similar engineering time series prediction tasks.
Abstract
1. Introduction
2. Materials and Methods
2.1. CNN-LSTM Model
2.2. Bayesian Optimization Algorithms
2.3. CNN-LSTM Model Based on Bayes Optimization
2.4. Model Evaluation Metrics
3. Experimental Analysis
3.1. Data Sources
3.2. Correlation Analysis
3.3. Hyperparameter Optimization and Model Training
3.4. Prediction Results and Accuracy Analysis
3.5. Extrapolation Prediction Results and Analysis
4. Conclusions
- (1)
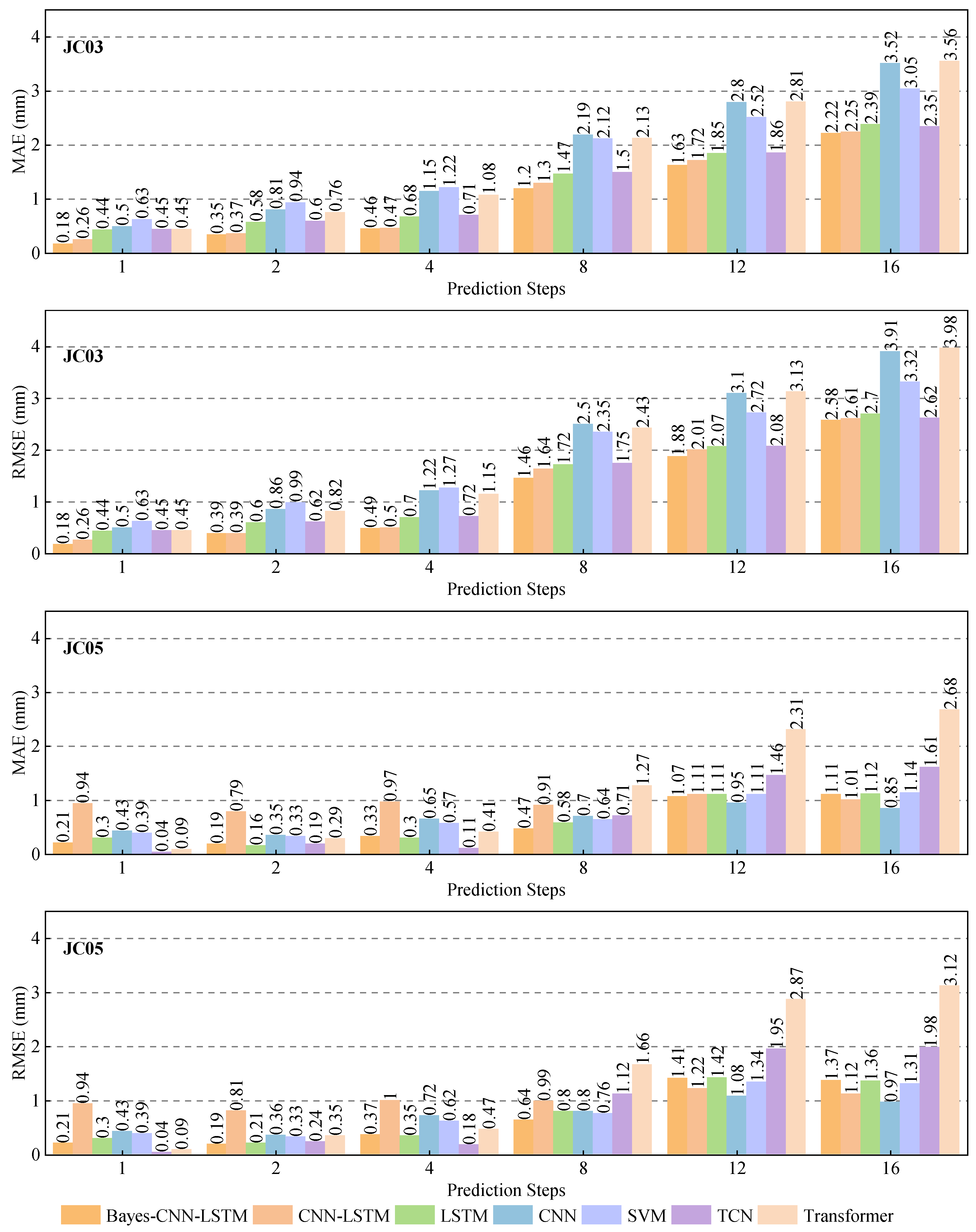
- The Bayesian-optimized CNN-LSTM model easily avoids the problem of hyperparameters becoming trapped in local optima. Experimental results show that this model performs well in terms of both prediction accuracy and fitting effect and can effectively predict slope displacement.
- (2)
- Compared with other mainstream models, the constructed Bayes-CNN-LSTM model shows higher prediction accuracy. At monitoring point JC03, the MAE and RMSE are 0.470 mm and 0.660 mm, respectively, and the average decreased by 29.0% and 23.0% compared with the comparison models. At point JC05, the MAE and RMSE are 0.417 mm and 0.576 mm, respectively, and the average decreased by 22.7% and 19.5%.
- (3)
- Regarding the influence of external factors on slope displacement prediction, experimental results show that the MAE and RMSE of the model predictions are 0.47 mm and 0.64 mm when using both rainfall and earth pressure, respectively. Therefore, the proper integration of multi-modal data can effectively improve the performance of slope displacement prediction models.
- (4)
- The Bayes-CNN-LSTM model exhibits good extrapolation capability, demonstrating better prediction accuracy and stability even at longer prediction step lengths. For example, in the prediction step length of 8 (24-h), the MAE and RMSE at monitoring points JC05 are decreased by 30.2% and 24.6%, respectively. Future work will focus on collecting data from multiple slopes for generalized validation and simultaneously explore the integration of transfer learning and physical priors to improve applicability across different scenarios.
Author Contributions
Funding
Institutional Review Board Statement
Informed Consent Statement
Data Availability Statement
Conflicts of Interest
References
- Cao, H.; Ma, G.; Liu, P.; Qin, X.; Wu, C.; Lu, J. Multi-factor analysis on the stability of high slopes in open-pit mines. Appl. Sci. 2023, 13, 5940. [Google Scholar] [CrossRef]
- Li, Z.; Li, W.; Xu, Q.; Lu, H.; Fu, H.; Guo, P.; Zhao, J.; Yu, C. Preliminary analysis of the catastrophic February 22nd 2023 Xinjing open-pit mine landslide, Inner Mongolia, China. Landslides 2024, 21, 1053–1067. [Google Scholar] [CrossRef]
- Wang, Q.; Xing, A.; Xu, X.; Zhou, Y.; Yang, Q.; Song, H.; Peng, J.; Zhai, L.; Bilal, M.; Liu, Y. Formation mechanism and dynamic process of open-pit coal mine landslides: A case study of the Xinjing landslide in Inner Mongolia, China. Landslides 2024, 21, 541–556. [Google Scholar] [CrossRef]
- Özşen, H.; Kaygusuz, B. Experimental analysis of various deep learning methods for predicting displacements in an open pit coal mine. Nat. Hazards 2025, 121, 20629–20654. [Google Scholar] [CrossRef]
- Dey, P.; Chaulya, S.K.; Kumar, S. Hybrid CNN-LSTM and IoT-based coal mine hazards monitoring and prediction system. Process Saf. Environ. Prot. 2021, 152, 249–263. [Google Scholar] [CrossRef]
- Gao, Y.; Chen, X.; Tu, R. Application of dynamic optimization time-delay GM(1,2) model in landslide displacement prediction considering the influence of rainfall. Acta Geod. Cartogr. Sin. 2022, 51, 2183–2195. [Google Scholar] [CrossRef]
- Wang, J.; Jaboyedoff, M.; Chen, G.; Luo, X.; Derron, M.-H.; Hu, Q.; Fei, L.; Prajapati, G.; Choanji, T.; Luo, S.; et al. Landslide susceptibility prediction and mapping using the LD-BiLSTM model in seismically active mountainous regions. Landslides 2024, 21, 17–34. [Google Scholar] [CrossRef]
- Wu, D.; Zhou, B.; Zimin, M. Prediction of landslide displacement based on the CA-stacked transformer model. Alex. Eng. J. 2025, 124, 389–403. [Google Scholar] [CrossRef]
- Zhu, Q.; Zeng, H.; Ding, Y.; Xie, X.; Liu, F.; Zhang, L.; Li, H.; Hu, H.; Zhang, J.; Cheng, L. A review of major potential landslide hazards analysis. Acta Geod. Cartogr. Sin. 2019, 48, 1551. Available online: http://xb.chinasmp.com/CN/10.11947/j.AGCS.2019.20190452 (accessed on 23 February 2026).
- Qing, L.; Xu, L.; Huang, J.; Fu, X.; Chen, J. Intelligent prediction and numerical simulation of landslide prediction in open-pit mines based on multi-source data fusion and machine learning. Sensors 2025, 25, 3131. [Google Scholar] [CrossRef]
- Jia, L.; Cui, Y.; Cao, L.; Chen, X.; Liu, X. Study on comprehensive landslide risk zoning method in open pit mines under multi-factor coupling effects. Sci. Rep. 2025, 15, 21651. [Google Scholar] [CrossRef]
- Ling, Q.; Zhang, Q.; Zhang, J.; Kong, L.; Zhang, W.; Zhu, L. Prediction of landslide displacement using multi-kernel extreme learning machine and maximum information coefficient based on variational mode decomposition: A case study in Shaanxi, China. Nat. Hazards 2021, 108, 925–946. [Google Scholar] [CrossRef]
- Wang, C.H.; Zhao, Y.J.; Guo, W.; Meng, Q.J.; Li, B. Displacement prediction model of landslide based on ensemble empirical mode decomposition and support vector regression. Acta Geod. Cartogr. Sin. 2022, 51, 2196–2204. [Google Scholar] [CrossRef]
- Li, L.; Qu, W.; Zhang, Q. Application of Optimized Recurrent Neural Network in Prediction of Landslide Displacement. J. Geod. Geodyn. 2022, 42, 594–600. [Google Scholar] [CrossRef]
- Xu, S.; Niu, R. Displacement prediction of Baijiabao landslide based on empirical mode decomposition and long short-term memory neural network in Three Gorges area, China. Comput. Geosci. 2018, 111, 87–96. [Google Scholar] [CrossRef]
- Li, H.; Xu, Q.; He, Y.; Deng, J. Prediction of landslide displacement with an ensemble-based extreme learning machine and copula models. Landslides 2018, 15, 2047–2059. [Google Scholar] [CrossRef]
- Wang, H.; Shao, P.; Wang, H.; Gan, F.; Li, C.; Cen, Y.; Xu, X. A VMD-DES-TSAM-LSTM-based interpretability multi-step prediction approach for landslide displacement. Environ. Earth Sci. 2024, 83, 193. [Google Scholar] [CrossRef]
- Nava, L.; Carraro, E.; Reyes-Carmona, C.; Puliero, S.; Bhuyan, K.; Rosi, A.; Monserrat, O.; Floris, M.; Meena, S.; Galve, J.; et al. Landslide displacement forecasting using deep learning and monitoring data across selected sites. Landslides. 2023, 20, 2111–2129. [Google Scholar] [CrossRef]
- Guardiani, C.; Soranzo, E.; Ottowitz, D.; Jochum, B.; Wu, W. Landslide displacement prediction with machine learning techniques. In The RE-BUILT Multiplier Event held in the form of the International Conference on Knowledge Transfer on Sustainable Rehabilitation and Risk Management in the Built Environment; Springer: Berlin/Heidelberg, Germany, 2021; pp. 15–24. [Google Scholar] [CrossRef]
- Gidon, J.S.; Borah, J.; Sahoo, S.; Majumdar, S. Neural network approaches for enhanced landslide prediction: A comparative study for Mawiongrim, Meghalaya. India. Nat. Hazards 2025, 121, 3677–3699. [Google Scholar] [CrossRef]
- Xi, N.; Yang, Q.; Sun, Y.; Mei, G. Machine learning approaches for slope deformation prediction based on monitored time-series displacement data: A comparative investigation. Appl. Sci. 2023, 13, 4677. [Google Scholar] [CrossRef]
- Wu, L.; Zhou, J.T.; Zhang, H.; Wang, S.R.; Ma, T.; Yan, H.; Li, S.H. Time series analysis and gated recurrent neural network model for predicting landslide displacements. Georisk Assess. Manag. Risk Eng. Syst. Geohazards 2024, 18, 172–185. [Google Scholar] [CrossRef]
- Yang, B.; Xiao, T.; Wang, L.; Huang, W. Using complementary ensemble empirical mode decomposition and gated recurrent unit to predict landslide displacements in dam reservoir. Sensors 2022, 22, 1320. [Google Scholar] [CrossRef] [PubMed]
- Liu, H.; Chen, W.; Li, Y. Application of integrated model based on EEMD-CNN-LSTM for landslide-displacement prediction. J. Geomech. 2024, 30, 633–646. [Google Scholar] [CrossRef]
- Wu, H.; Niu, J.; Li, Y.; Wang, Y.; Qiu, D. Landslide Susceptibility Prediction Based on a CNN–LSTM–SAM–Attention Hybrid Model. Appl. Sci. 2025, 15, 7245. [Google Scholar] [CrossRef]
- Viet, T.N.; Nguyen, D.D.; Duc, M.N.; Trong, C.C.; Hung, M.S.; Van Le, H.; Prakash, I.; Pham, B.T. Exploring deep learning models for roadside landslide prediction: Insights and implications from comparative analysis. Phys. Chem. Earth 2024, 136, 103741. [Google Scholar] [CrossRef]
- Yu, R.; Guo, R.; Jiang, L.; Shao, Y.; Zhou, Z. Susceptibility assessment of glacier-related debris flow on the southeastern Tibetan Plateau using different hybrid machine learning models. Sci. Total Environ. 2024, 954, 176400. [Google Scholar] [CrossRef]
- Zhu, X.; Ma, S.Q.; Xu, Q.; Liu, W.D. A WD-GA-LSSVM model for rainfall-triggered landslide displacement prediction. J. Mt. Sci.-Engl. 2018, 15, 156–166. [Google Scholar] [CrossRef]
- Zhang, L.; Shi, B.; Zhu, H.; Yu, X.B.; Han, H.; Fan, X. PSO-SVM-based deep displacement prediction of Majiagou landslide considering the deformation hysteresis effect. Landslides 2021, 18, 179–193. [Google Scholar] [CrossRef]
- Taorui, Z.; Hongwei, J.; Qingli, L.; Kunlong, Y. Landslide displacement prediction based on Variational mode decomposition and MIC-GWO-LSTM model. Stoch. Environ. Res. Risk A 2022, 36, 1353–1372. [Google Scholar] [CrossRef]
- Xie, H.; Zhang, L.; Lim, C.P. Evolving CNN-LSTM models for time series prediction using enhanced grey wolf optimizer. IEEE access. 2020, 8, 161519–161541. [Google Scholar] [CrossRef]
- Lu, J.; He, Y.; Zhang, L.; Zhang, Q.; Tang, J.; Huo, T.; Zhang, Y. A synergistic CNN-DF method for landslide susceptibility assessment. IEEE J. Sel. Top. Appl. Earth Obs. Remote Sens. 2025, 18, 6584–6599. [Google Scholar] [CrossRef]
- Lin, Z.; Ji, Y.; Sun, X. Landslide displacement prediction based on CEEMDAN method and CNN–BiLSTM model. Sustainability 2023, 15, 10071. [Google Scholar] [CrossRef]
- Lan, X.; Nie, W.; Gu, X.; Zheng, W.; Lu, Y.; Jian, W. Research on BOA-LSTM landslide earth pressure prediction model considering time lag: A Case Study of highway slope in Nanping City, Fujian Province. Sci. Technol. Eng. 2024, 24, 12468–12478. [Google Scholar] [CrossRef]
- Jin, A.; Yang, S.; Huang, X. Landslide displacement prediction based on time series and long short-term memory networks. Bull. Eng. Geol. Environ. 2024, 83, 264. [Google Scholar] [CrossRef]
- Yang, B.; Yin, K.; Lacasse, S.; Liu, Z. Time series analysis and long short-term memory neural network to predict landslide displacement. Landslides 2019, 16, 677–694. [Google Scholar] [CrossRef]
- Kim, D.; Kwon, K.; Pham, K.; Oh, J.-Y.; Choi, H. Surface settlement prediction for urban tunneling using machine learning algorithms with Bayesian optimization. Autom. Constr. 2022, 140, 104331. [Google Scholar] [CrossRef]
- Li, Y.; Zhang, Y.; Wang, J. Survey on Bayesian optimization methods for hyper-parameter tuning. Comput. Sci. 2022, 49, 86–92. [Google Scholar] [CrossRef]
- Sun, D.; Xu, J.; Wen, H.; Wang, D. Assessment of landslide susceptibility mapping based on Bayesian hyperparameter optimization: A comparison between logistic regression and random forest. Eng. Geol. 2021, 281, 105972. [Google Scholar] [CrossRef]
- Yang, J.; Huang, Z.; Jian, W.; Robledo, L.F. Landslide displacement prediction by using Bayesian optimization–temporal convolutional networks. Acta Geotech. 2024, 19, 4947–4965. [Google Scholar] [CrossRef]
- Pradhan, B.; Sameen, M.I.; Al-Najjar, H.A.; Sheng, D.; Alamri, A.M.; Park, H.-J. A meta-learning approach of optimisation for spatial prediction of landslides. Remote Sens. 2021, 13, 4521. [Google Scholar] [CrossRef]
- Wang, L.; Wang, L.; Zhang, W.; Meng, X.; Liu, S.; Zhu, C. Time series prediction of reservoir bank landslide failure probability considering the spatial variability of soil properties. J. Rock. Mech. Geotech. Eng. 2024, 16, 3951–3960. [Google Scholar] [CrossRef]
- Ma, Z.; Mei, G. Forecasting landslide deformation by integrating domain knowledge into interpretable deep learning considering spatiotemporal correlations. J. Rock. Mech. Geotech. Eng. 2025, 17, 960–982. [Google Scholar] [CrossRef]
- Wang, S.; Cao, B.; Bai, R.; Liu, G. Optimization of waterproofing and drainage measures for open-pit mines based on seasonal rainfall time series prediction. Environ. Model. Softw. 2024, 173, 105957. [Google Scholar] [CrossRef]
- Zhang, W.G.; Li, H.R.; Wu, C.Z.; Li, Y.Q.; Liu, Z.Q.; Liu, H.L. Soft computing approach for prediction of surface settlement induced by earth pressure balance shield tunneling. Undergr. Space 2021, 6, 353–363. [Google Scholar] [CrossRef]
- Gu, X.; See, K.; Zhou, X. Deep learning for time series prediction of strata pressure in coal mining. IEEE Access 2025, 13, 124068–124085. [Google Scholar] [CrossRef]
- Luo, H.Y.; Jiang, Y.; Xu, Q.; Liao, L.; Yan, A.X.; Liu, C.W. A spatio-temporal network for landslide displacement prediction based on deep learning. Acta Geod. Cartogr. Sin. 2022, 51, 2160–2170. [Google Scholar] [CrossRef]
- Cheng, Y.M.; Li, N. Equivalence between bearing-capacity, lateral earth-pressure, and slope-stability problems by slip-line and extremum limit equilib-rium methods. Int. J. Geomech. 2017, 17, 04017113. [Google Scholar] [CrossRef]
- Jie, T.X. Analysis of earth pressure and slope safety coefficient for finite soils. J. Tsinghua Univ. (Sci. Tech.) 2019, 59, 619–627. [Google Scholar]
- Muddineni, V.P.; Bonala, A.K.; Sandepudi, S.R. Grey relational analysis-based objective function optimization for predictive torque control of induction machine. IEEE Trans. Ind. Appl. 2020, 57, 835–844. [Google Scholar] [CrossRef]
- Li, L.W.; Wu, Y.P.; Miao, F.S. Prediction of non-equidistant landslide displacement time series based on grey wolf support vector machine. J. Zhejiang Univ. Eng. Sci. 2018, 52, 1998–2006. [Google Scholar] [CrossRef]
- Wang, L.; Yang, K.; Wu, C.; Zhou, Y.; Liu, J.; Hu, H. Novel approach to quantitative risk assessment of reservoir landslides using a hybrid CNN-LSTM model. Landslides 2025, 22, 943–956. [Google Scholar] [CrossRef]
- Xia, D.; Tang, H.; Glade, T. A novel approach to enhance landslide displacement prediction with finer monitoring data: A case study of the Baijiabao Landslide. Remote Sens. 2024, 16, 618. [Google Scholar] [CrossRef]
- Pei, H.; Meng, F.; Zhu, H. Landslide displacement prediction based on a novel hybrid model and convolutional neural network considering time-varying factors. Bull. Eng. Geol. Environ. 2021, 80, 7403–7422. [Google Scholar] [CrossRef]
- Zhang, Y.; Xu, P.; Liu, J.; He, J.; Yang, H.; Zeng, Y.; He, Y.; Yang, C. Comparison of LR, 5-CV SVM, GA SVM, and PSO SVM for landslide susceptibility assessment in Tibetan Plateau area, China. J. Mt. Sci. 2023, 20, 979–995. [Google Scholar] [CrossRef]
- Zhang, D.; Yang, J.; Li, F.; Han, S.; Qin, L.; Li, Q. Landslide risk prediction model using an attention-based temporal convolutional network connected to a recur-rent neural network. IEEE Access 2022, 10, 37635–37645. [Google Scholar] [CrossRef]
- Zhao, Z.; Chen, T.; Dou, J.; Liu, G.; Plaza, A. Landslide susceptibility mapping considering landslide local-global features based on CNN and transformer. IEEE J. Sel. Top. Appl. Earth Obs. Remote Sens. 2024, 17, 7475–7489. [Google Scholar] [CrossRef]











| Serial Number | Sensor Type | Measurement Data | Monitoring Point |
|---|---|---|---|
| 1 | GNSS receiver | surface displacement | JC01~JC08 |
| 2 | Rain gauge | quantity of rainfall | YL01 |
| 3 | Earth pressure cell | earth pressure | TYL01~TYL03 |
| Category | Parameter | Value or Search Space |
|---|---|---|
| Hyperparameter Optimization | NumOfUnits | [10, 200] |
| InitialLearnRate | [1 × 10−5, 0.1] | |
| L2Regularization | [1 × 10−10, 0.01] | |
| CNN Architecture | Convolutional kernel size | 10 |
| Convolutional layer 1 | 32 | |
| Convolutional layer 2 | 64 | |
| Pooling stride | 10 | |
| Activation function | ReLU | |
| LSTM Architecture | LSTM unit | 50 |
| Dropout Rate | 0.25 | |
| Training Configuration | Optimizer | Adam |
| Max Epochs | 500 | |
| Learn Rate Drop Period | 400 | |
| Learn Rate Drop Factor | 0.2 | |
| Bayesian Optimization | Max Evaluations | 10 |
| Iter | Eval Result | Objective | Runtime (s) | BestSoFar (Observed) | BestSoFar (Estim.) | NumOfUnits | InitialLearnRate | L2Regularization |
|---|---|---|---|---|---|---|---|---|
| 1 | Best | 0.5335 | 7.8 | 0.5335 | 0.5335 | 123 | 0.0021821 | 5.9802 × 10−9 |
| 2 | Accept | 0.54125 | 6.6 | 0.5335 | 0.53414 | 175 | 0.059871 | 2.2674 × 10−5 |
| 3 | Accept | 0.84648 | 7.0 | 0.5335 | 0.53352 | 190 | 1.6551 × 10−5 | 9.2554 × 10−8 |
| 4 | Accept | 0.58802 | 6.8 | 0.5335 | 0.53351 | 45 | 0.00022002 | 0.00016301 |
| 5 | Best | 0.415 | 6.7 | 0.415 | 0.41503 | 27 | 0.011142 | 2.383× 10−7 |
| 6 | Accept | 0.47323 | 6.7 | 0.415 | 0.41507 | 12 | 0.095701 | 1.3512 × 10−9 |
| 7 | Accept | 0.45736 | 6.7 | 0.415 | 0.43897 | 10 | 0.0048592 | 1.5851 × 10−8 |
| 8 | Accept | 0.48132 | 6.6 | 0.415 | 0.451 | 10 | 0.012249 | 1.8481 × 10−6 |
| 9 | Accept | 0.57964 | 6.6 | 0.415 | 0.41508 | 10 | 0.015724 | 0.00066291 |
| 10 | Accept | 0.44038 | 7.2 | 0.415 | 0.43268 | 66 | 0.030152 | 1.2545 × 10−8 |
| Model | MAE (mm) | RMSE (mm) | R2 |
|---|---|---|---|
| Bayes-CNN-LSTM | 0.470 | 0.660 | 0.964 |
| CNN-LSTM | 0.652 | 0.847 | 0.941 |
| LSTM | 0.699 | 0.916 | 0.931 |
| CNN | 0.714 | 0.928 | 0.928 |
| SVM | 0.671 | 0.846 | 0.941 |
| TCN | 0.629 | 0.823 | 0.944 |
| Transformer | 0.614 | 0.795 | 0.949 |
| Model | MAE (mm) | RMSE (mm) | R2 |
|---|---|---|---|
| Bayes-CNN-LSTM | 0.417 | 0.576 | 0.978 |
| CNN-LSTM | 0.536 | 0.703 | 0.968 |
| LSTM | 0.593 | 0.776 | 0.961 |
| CNN | 0.599 | 0.778 | 0.961 |
| SVM | 0.510 | 0.669 | 0.971 |
| TCN | 0.549 | 0.734 | 0.965 |
| Transformer | 0.473 | 0.625 | 0.974 |
Disclaimer/Publisher’s Note: The statements, opinions and data contained in all publications are solely those of the individual author(s) and contributor(s) and not of MDPI and/or the editor(s). MDPI and/or the editor(s) disclaim responsibility for any injury to people or property resulting from any ideas, methods, instructions or products referred to in the content. |
© 2026 by the authors. Licensee MDPI, Basel, Switzerland. This article is an open access article distributed under the terms and conditions of the Creative Commons Attribution (CC BY) license.
Share and Cite
Zhao, X.; Wan, X.; Chen, J.; Liu, C.; Chen, C. Multi-Modal Data-Driven Bayesian-Optimized CNN-LSTM Model for Slope Displacement Prediction. Sensors 2026, 26, 1452. https://doi.org/10.3390/s26051452
Zhao X, Wan X, Chen J, Liu C, Chen C. Multi-Modal Data-Driven Bayesian-Optimized CNN-LSTM Model for Slope Displacement Prediction. Sensors. 2026; 26(5):1452. https://doi.org/10.3390/s26051452
Chicago/Turabian StyleZhao, Xingwang, Xinlong Wan, Jian Chen, Chao Liu, and Chao Chen. 2026. "Multi-Modal Data-Driven Bayesian-Optimized CNN-LSTM Model for Slope Displacement Prediction" Sensors 26, no. 5: 1452. https://doi.org/10.3390/s26051452
APA StyleZhao, X., Wan, X., Chen, J., Liu, C., & Chen, C. (2026). Multi-Modal Data-Driven Bayesian-Optimized CNN-LSTM Model for Slope Displacement Prediction. Sensors, 26(5), 1452. https://doi.org/10.3390/s26051452

