Interpreting Modulation Transfer Function in Endoscopic Imaging: Spatial-Frequency Conversion Across Imaging Spaces and the Digital Image Domain with Case Studies
Abstract
1. Introduction
2. Conversion of Spatial Frequencies Across Imaging Spaces and Domains
2.1. Spatial Frequencies
2.2. Angular Spatial Frequencies
2.3. Summary of Conversion Equations
3. Measurement of Endoscope Local Magnification ()
3.1. Measurement of Normalized
3.2. Measurement of
4. Two Case Studies
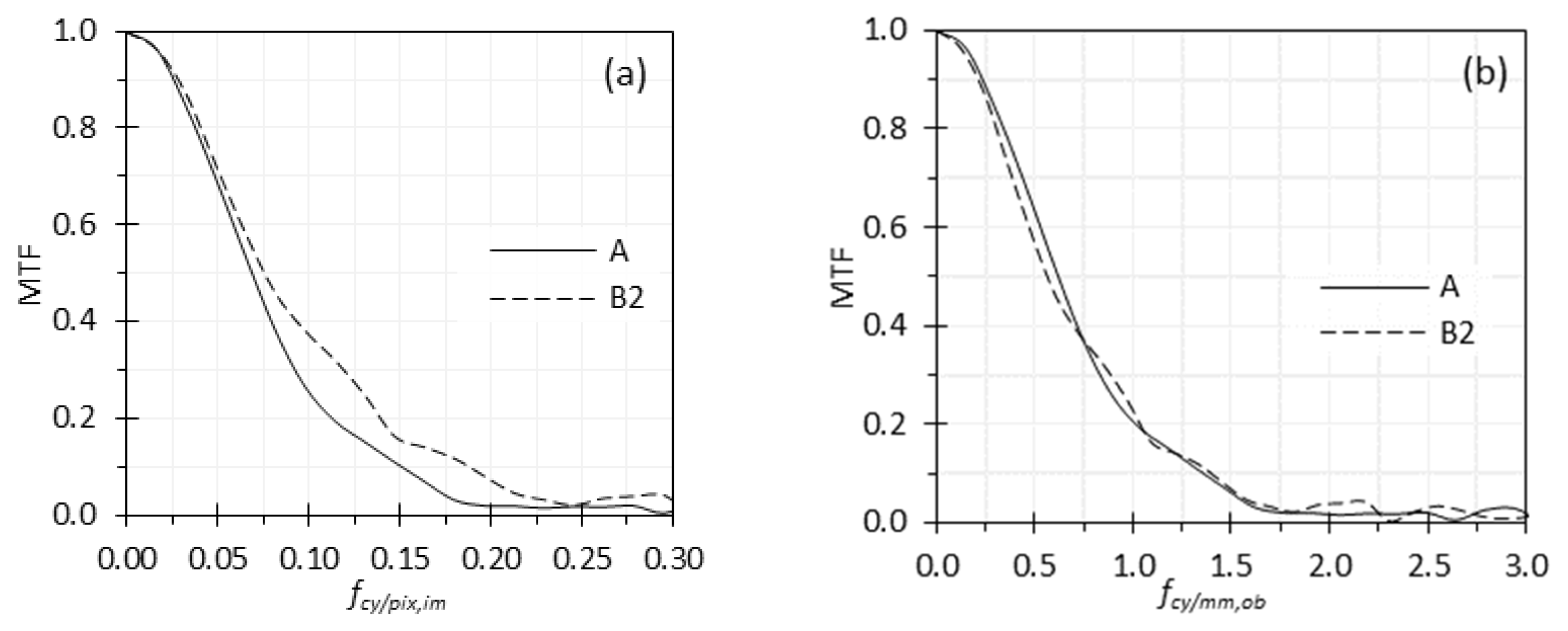
4.1. Comparing MTF Curves at Two Different ROIs
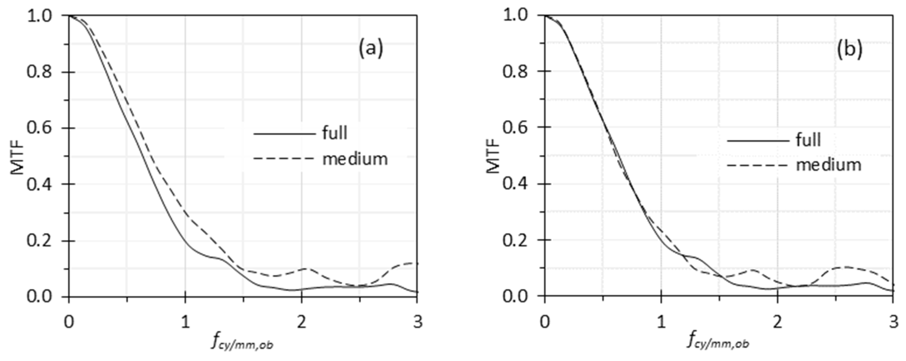
4.2. Comparing MTF Curves Based on Images with Different Dimensions
5. Discussions
6. Conclusions
Funding
Institutional Review Board Statement
Informed Consent Statement
Data Availability Statement
Acknowledgments
Conflicts of Interest
References
- ISO 8600-5; Optics and Photonics—Medical Endoscopes and Endotherapy Devices—Part 5: Determination of Optical Resolution of Rigid Endoscopes with Optics. The International Organization for Standardization: Geneva, Switzerland, 2020.
- Wang, Q.; Cheng, W.-C.; Suresh, N.; Hua, H. Development of the local magnification method for quantitative evaluation of endoscope geometric distortion. J. Biomed. Opt. 2016, 21, 056003. [Google Scholar] [CrossRef] [PubMed]
- Wang, Q.; Khanicheh, A.; Leiner, D.; Shafer, D.; Zobel, J. Endoscope field of view measurement. Biomed. Opt. Express 2017, 8, 1441–1454. [Google Scholar] [CrossRef] [PubMed]
- Sawyer, T.W.; Luthman, A.S.; Bohndiek, S.E. Evaluation of illumination system uniformity for wide-field biomedical hyperspectral imaging. J. Opt. 2017, 19, 045301. [Google Scholar] [CrossRef]
- Xia, W.; Chen, E.C.; Peters, T. Endoscopic image enhancement with noise suppression. Healthc. Technol. Lett. 2018, 5, 154–157. [Google Scholar] [CrossRef] [PubMed]
- Schulte, B.; Gob, M.; Singh, A.P.; Lotz, S.; Draxinger, W.; Heimke, M.; Pieper, M.; Heinze, T.; Wedel, T.; Rahlves, M.; et al. High-resolution rectoscopy using MHz optical coherence tomography: A step towards real time 3D endoscopy. Sci. Rep. 2024, 14, 4672. [Google Scholar] [CrossRef] [PubMed]
- Geleijnse, G.; Rieger, B. Influence of edge enhancement applied in endoscopic systems on sharpness and noise. J. Biomed. Opt. 2022, 27, 106001. [Google Scholar] [CrossRef] [PubMed]
- ISO 12233:2024; Digital Cameras—Resolution and Spatial Frequency Responses. The International Organization for Standardization: Geneva, Switzerland, 2024.
- ISO 9334; Optics and Photonics—Optical Transfer Function—Definitions and Mathematical Relationships. The International Organization for Standardization: Geneva, Switzerland, 2012.
- ISO 9335; Optics and Photonics—Optical Transfer Function—Principles and Procedures of Measurement. The International Organization for Standardization: Geneva, Switzerland, 2012.
- ISO 9336-1; Optics and Photonics—Optical Transfer Function—Application—Part 1: Interchangeable Lenses for 35 mm Still Cameras. The International Organization for Standardization: Geneva, Switzerland, 2010.
- ISO 9336-2; Optics and Optical Instrurnents—Optical Transfer Function—Application—Part 2: Lenses for Office Copiers. The International Organization for Standardization: Geneva, Switzerland, 1994.
- ISO 9336-3; Optics and Photonics—Optical Transfer Function—Application—Part 3: Telescopes. The International Organization for Standardization: Geneva, Switzerland, 2020.
- ISO 11421; Optics and Optical Instruments—Accuracy of Optical Transfer Function (OTF) Measurement. The International Organization for Standardization: Geneva, Switzerland, 1997.
- ISO 15529; Optics and Photonics—Optical Transfer Function—Principles of Measurement of Modulation Transfer Function (MTF) of Sampled Imaging Systems. The International Organization for Standardization: Geneva, Switzerland, 2010.
- Wang, Q.; Tran, C.; Burns, P.; Namazi, N.M. Best practices for measuring the modulation transfer function of video endoscopes. Sensors 2024, 24, 5075. [Google Scholar] [CrossRef] [PubMed]
- Suresh, N.; Pfefer, T.J.; Su, J.; Chen, Y.; Wang, Q. Improved texture reproduction assessment of camera-phone-based medical devices with a dead leaves target. OSA Contin. 2019, 2, 1863–1879. [Google Scholar] [CrossRef]
- ISO 17850; Photography—Digital Cameras—Geometric Distortion (GD) Measurements. The International Organization for Standardization: Geneva, Switzerland, 2015.
- ISO 12233:2017; Photography—Electronic Still Picture Imaging—Resolution and Spatial Frequency Responses. The International Organization for Standardization: Geneva, Switzerland, 2017.








| Spaces | Terms | Units | Symbols or Equations |
|---|---|---|---|
| Digital image domain | Picture height | image pixels () | |
| mm on printed or displayed images () | |||
| Spatial frequency | cycles per image pixel () | ||
| cycle per picture height () | |||
| Image sensor plane | Pixel pitch | mm per sensor pixel () | |
| Picture height | sensor pixel () | ||
| mm on the sensor () | |||
| Spatial frequency | cycles per sensor pixel () | ||
| cycles per mm on the sensor () | |||
| cycle per picture height () | |||
| Object plane | Spatial frequency | cycles per mm in the object plane () | |
| Angular spatial frequency | cycles per radian in object space () | , if (i.e., at the FOV center). | |
| cycles per degree in object space () | |||
| Across imaging chain | Scaling factor (s) and related equations | dimensionless | |
| cycles per sensor pixel () | |||
| Magnification (M) and related equations | dimensionless | , might vary across different ROIs (). | |
| cycles per mm on the object () | |||
| sensor pixels per object mm () | where L is the length of the target segment (in mm), and and are the numbers of pixels corresponding to this length on the image sensor and in the digital image, respectively. |
Disclaimer/Publisher’s Note: The statements, opinions and data contained in all publications are solely those of the individual author(s) and contributor(s) and not of MDPI and/or the editor(s). MDPI and/or the editor(s) disclaim responsibility for any injury to people or property resulting from any ideas, methods, instructions or products referred to in the content. |
© 2026 by the author. Licensee MDPI, Basel, Switzerland. This article is an open access article distributed under the terms and conditions of the Creative Commons Attribution (CC BY) license.
Share and Cite
Wang, Q. Interpreting Modulation Transfer Function in Endoscopic Imaging: Spatial-Frequency Conversion Across Imaging Spaces and the Digital Image Domain with Case Studies. Sensors 2026, 26, 827. https://doi.org/10.3390/s26030827
Wang Q. Interpreting Modulation Transfer Function in Endoscopic Imaging: Spatial-Frequency Conversion Across Imaging Spaces and the Digital Image Domain with Case Studies. Sensors. 2026; 26(3):827. https://doi.org/10.3390/s26030827
Chicago/Turabian StyleWang, Quanzeng. 2026. "Interpreting Modulation Transfer Function in Endoscopic Imaging: Spatial-Frequency Conversion Across Imaging Spaces and the Digital Image Domain with Case Studies" Sensors 26, no. 3: 827. https://doi.org/10.3390/s26030827
APA StyleWang, Q. (2026). Interpreting Modulation Transfer Function in Endoscopic Imaging: Spatial-Frequency Conversion Across Imaging Spaces and the Digital Image Domain with Case Studies. Sensors, 26(3), 827. https://doi.org/10.3390/s26030827

