Indoor Localization Algorithm Based on Information Gain Ratio and Affinity Propagation Clustering
Abstract
1. Introduction
2. Related Work
3. Offline Phase
3.1. AP Optimization via Location Resolution
3.1.1. Definition of Location Resolution Ability
- Compute the Shannon entropy of the location area, denoted as .where represents the number of RPs in cluster and represents the total number of RPs.
- Calculate the conditional entropy of each access point (AP) as a feature.where represents the union of and , and represents the number of signal reference points (RPs) in .
- Calculate the information gain of the AP as a feature.
- Calculate the information gain ratio of each AP as a feature.where represents the set of signal strength categories for a given AP as a feature, represents the number of location RPs in the set , and represents the split information of the signal strength classification.
3.1.2. Removing Redundant APs
3.2. AP Optimization via Correlation Clustering
3.2.1. Region Partitioning Based on K-Means
3.2.2. AP Correlation Clustering
- Collecting Wi-Fi Fingerprint Signals
- 2.
- Computation of Maximum Mutual Information
- 3.
- Signal Access Point Clustering
3.2.3. Removing Redundant APs
4. Online Phase
| Algorithm 1 Indoor Localization Prediction |
| Input: Training fingerprints D = {(ri, yi)}_{i = 1..m}, AP set A = {a1..an} |
| Output: Estimated position ŷ |
| // --------------- Offline: AP discriminability evaluation and redundancy filtering ------------- 1: Cluster RP coordinates {yi} into V clusters via KMeans → C(yi) // region partition 2: Compute region entropy H(C) // entropy of location clusters 3: for each AP a in A do // treat each AP as a feature 4: Discretize RSSI values {ri[a]} into P bins → Sa // RSSI category set for AP a 5: Compute conditional entropy H(C | a) using Sa 6: IG(a) ← H(C) − H(C | a) // information gain 7: SI(a) ← SplitInfo(Sa) // penalty term for many bins 8: IGR(a) ← IG(a)/SI(a) // InfoGainRatio as discriminability 9: end for 10: Rank APs by IGR(a) in descending order // higher = better location resolution 11: Keep top-K APs (or threshold-based) → Asel; discard the rest as redundant // build compact fingerprint DB 12: Build reduced training set Dsel using only Asel // dimension-reduced fingerprint library // -------- Online: Position evaluation (coarse + fine localization) -------- 13: Compute similarity matrix S(i,j) on Dsel using log-Gaussian distance // similarity for clustering 14: Run Affinity Propagation on Dsel → clusters Gk with exemplars ek // coarse clusters, no K preset 15: For test r*, compute sim(r*, e_k) for all exemplars, select top-N clusters // coarse localization 16: Candidate RPs Ω ← union of RPs in the selected clusters // restrict search space 17: for each RP i in Ω do 18: pi ← GaussianLikelihood(r* | ri, σ) // Bayes likelihood from RSSI gap 19: scorei ← log(pi) // posterior proxy score 20: end for 21: Select top-M RPs by scorei → Ω_M // best-matching reference points 22: ŷ ← weighted_average({yi | i∈Ω_M}, weights = scorei) // final position estimation 23: return ŷ |
4.1. Affinity Propagation-Based Coarse Positioning
4.2. Bayesian-Based Fine Positioning
5. Model Estimation and Experimental Results
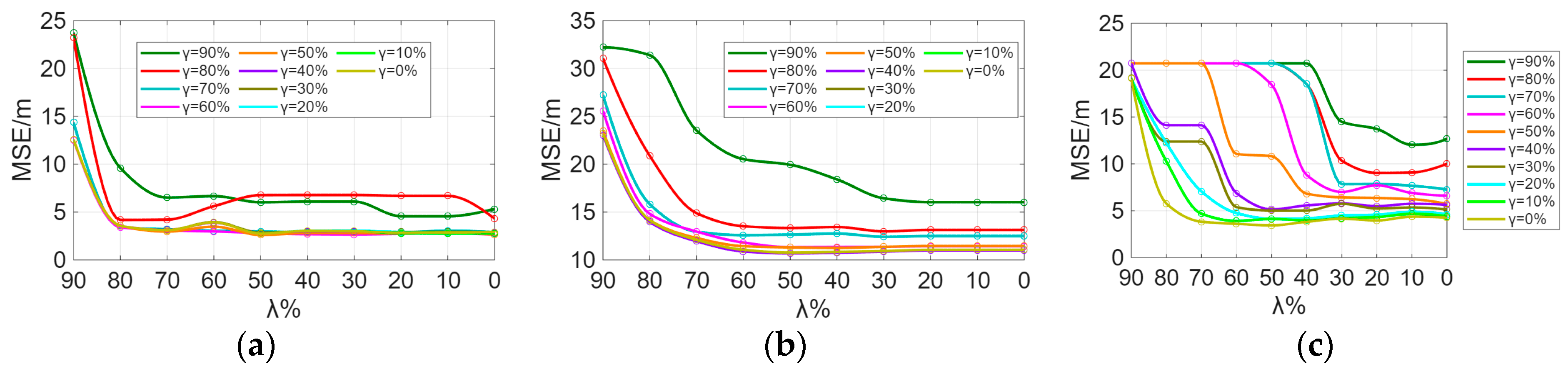
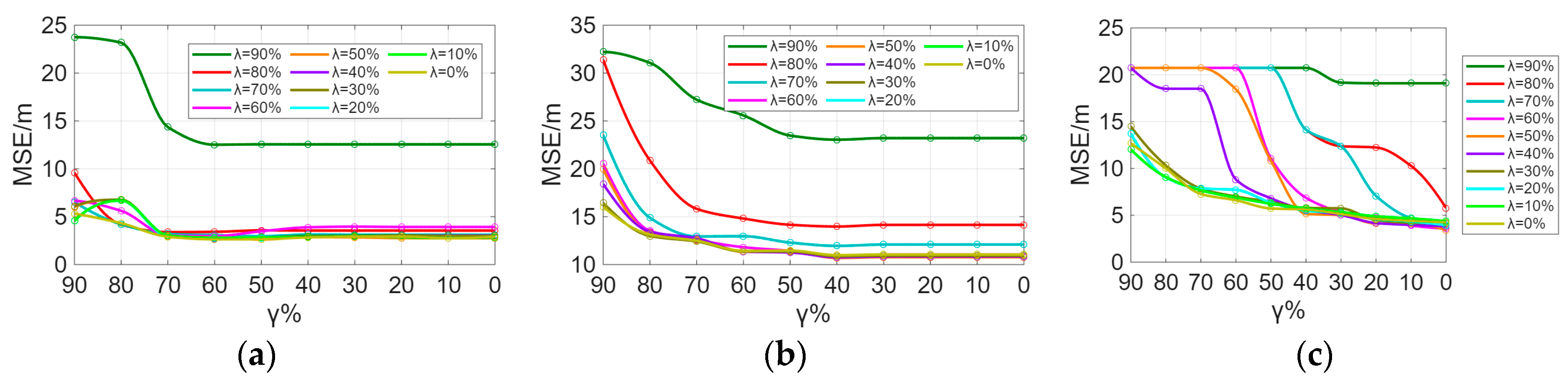
5.1. Comparison of AP Optimization Effects
5.2. Comparison of Indoor Positioning Errors
6. Conclusions
Author Contributions
Funding
Institutional Review Board Statement
Informed Consent Statement
Data Availability Statement
Conflicts of Interest
Abbreviations
| APs | Access Points |
| RPs | Reference Points |
| KNN | K-Nearest-Neighbor |
| WKNN | Weighted K-Nearest Neighbor |
| CDF | Cumulative Distribution Function |
| RSSI | Received Signal Strength Indication |
| MIC | Maximum Information Coefficient |
References
- Hailu, T.G.; Guo, X.; Si, H.; Li, L.; Zhang, Y. Theories and Methods for Indoor Positioning Systems: A Comparative Analysis, Challenges, and Prospective Measures. Sensors 2024, 24, 6876. [Google Scholar] [CrossRef]
- Xie, T.; Jiang, H.; Zhao, X.; Zhang, C. A Wi-Fi-Based Wireless Indoor Position Sensing System with Multipath Interference Mitigation. Sensors 2019, 19, 3983. [Google Scholar] [CrossRef]
- Yang, Z.; Zhou, Z.; Liu, Y. From RSSI to CSI: Indoor Localization via Channel Response. ACM Comput. Surv. 2013, 46, 25. [Google Scholar] [CrossRef]
- Shang, S.; Wang, L. Overview of WiFi Fingerprinting-Based Indoor Positioning. IET Commun. 2022, 16, 725–733. [Google Scholar] [CrossRef]
- Xia, S.; Liu, Y.; Yuan, G.; Zhu, M.; Wang, Z. Indoor Fingerprint Positioning Based on Wi-Fi: An Overview. ISPRS Int. J. Geo-Inf. 2017, 6, 135. [Google Scholar] [CrossRef]
- Zholamanov, B.; Saymbetov, A.; Nurgaliyev, M.; Bolatbek, A.; Dosymbetova, G.; Kuttybay, N.; Orynbassar, S.; Kapparova, A.; Koshkarbay, N.; Beyca, Ö.F. RSSI Fingerprint-Based Indoor Localization Solutions Using Machine Learning Algorithms: A Comprehensive Review. Smart Cities 2025, 8, 153. [Google Scholar] [CrossRef]
- Bahl, P.; Padmanabhan, V.N. RADAR: An in-Building RF-Based User Location and Tracking System. In Proceedings of the IEEE INFOCOM 2000. Conference on Computer Communications. Nineteenth Annual Joint Conference of the IEEE Computer and Communications Societies (Cat. No.00CH37064), Tel Aviv, Israel, 26–30 March 2000; Volume 2, pp. 775–784. [Google Scholar]
- Fang, S.-H.; Lin, T. Principal Component Localization in Indoor WLAN Environments. IEEE Trans. Mob. Comput. 2012, 11, 100–110. [Google Scholar] [CrossRef]
- Lee, M.K.; Han, D.S. Dimensionality Reduction of Radio Map with Nonlinear Autoencoder. Electron. Lett. 2012, 48, 655–657. [Google Scholar] [CrossRef]
- Luo, J.; Fu, L. A Smartphone Indoor Localization Algorithm Based on WLAN Location Fingerprinting with Feature Extraction and Clustering. Sensors 2017, 17, 1339. [Google Scholar] [CrossRef]
- Cheng, Y.-K.; Chou, H.-J.; Chang, R.Y. Machine-Learning Indoor Localization with Access Point Selection and Signal Strength Reconstruction. In Proceedings of the 2016 IEEE 83rd Vehicular Technology Conference (VTC Spring), Nanjing, China, 15–18 May 2016; pp. 1–5. [Google Scholar]
- Youssef, M.A.; Agrawala, A.; Udaya Shankar, A. WLAN Location Determination via Clustering and Probability Distributions. In Proceedings of the First IEEE International Conference on Pervasive Computing and Communications, 2003. (PerCom 2003), Fort Worth, TX, USA, 26–26 March 2003; pp. 143–150. [Google Scholar]
- Pan, H.; Huang, Z.; Zheng, W. Virtual Fingerprint Indoor Localization Based on Signal Propagation Model: RSS Prediction Using BIM. J. Build. Eng. 2025, 113, 113752. [Google Scholar] [CrossRef]
- Li, Q.; Qu, H.; Liu, Z.; Zhou, N.; Sun, W.; Sigg, S.; Li, J. AF-DCGAN: Amplitude Feature Deep Convolutional GAN for Fingerprint Construction in Indoor Localization Systems. IEEE Trans. Emerg. Top. Comput. Intell. 2021, 5, 468–480. [Google Scholar] [CrossRef]
- Reyes, J.M.R.; Ho, I.W.-H.; Mak, M.-W. Wi-Fi CSI Fingerprinting-Based Indoor Positioning Using Deep Learning and Vector Embedding for Temporal Stability. Expert Syst. Appl. 2025, 264, 125802. [Google Scholar] [CrossRef]
- Xiao, L.; Ghafoorpoor Yazdi, P.; Thiede, S. A Zone-Based Wi-Fi Fingerprinting Indoor Positioning System for Factory Noise Mapping. J. Intell. Manuf. 2025. [Google Scholar] [CrossRef]
- Lin, H.; Purmehdi, H.; Fei, X.; Zhao, Y.; Isac, A.; Louafi, H.; Peng, W. Two-Stage Clustering for Improve Indoor Positioning Accuracy. Autom. Constr. 2023, 154, 104981. [Google Scholar] [CrossRef]
- Koski, L.; Piche, R.; Kaseva, V.; Ali-Loytty, S.; Hannikainen, M. Positioning with Coverage Area Estimates Generated from Location Fingerprints. In Proceedings of the 2010 7th Workshop on Positioning, Navigation and Communication, Dresden, Germany, 11–12 March 2010; IEEE: Dresden, Germany, 2010; pp. 99–106. [Google Scholar]
- Hailu, T.G.; Guo, X.; Si, H.; Li, L.; Zhang, Y. Ada-LT IP: Functional Discriminant Analysis of Feature Extraction for Adaptive Long-Term Wi-Fi Indoor Localization in Evolving Environments. Sensors 2024, 24, 5665. [Google Scholar] [CrossRef]
- Lohan, E.S.; Torres-Sospedra, J.; Leppäkoski, H.; Richter, P.; Peng, Z.; Huerta, J. Wi-Fi Crowdsourced Fingerprinting Dataset for Indoor Positioning. Data 2017, 2, 32. [Google Scholar] [CrossRef]
- Reshef, D.N.; Reshef, Y.A.; Finucane, H.K.; Grossman, S.R.; McVean, G.; Turnbaugh, P.J.; Lander, E.S.; Mitzenmacher, M.; Sabeti, P.C. Detecting Novel Associations in Large Data Sets. Science 2011, 334, 1518–1524. [Google Scholar] [CrossRef] [PubMed]
- Zhong, Y.; Wu, F.; Zhang, J.; Dong, B. WiFi Indoor Localization Based on K-Means. In Proceedings of the 2016 International Conference on Audio, Language and Image Processing (ICALIP), Shanghai, China, 11–12 July 2016; pp. 663–667. [Google Scholar]
- Zhang, C.; Qin, N.; Xue, Y.; Yang, L. Received Signal Strength-Based Indoor Localization Using Hierarchical Classification. Sensors 2020, 20, 1067. [Google Scholar] [CrossRef]
- Torres-Sospedra, J.; Quezada-Gaibor, D.; Mendoza-Silva, G.M.; Nurmi, J.; Koucheryavy, Y.; Huerta, J. New Cluster Selection and Fine-Grained Search for k-Means Clustering and Wi-Fi Fingerprinting. In Proceedings of the 2020 International Conference on Localization and GNSS (ICL-GNSS), Tampere, Finland, 2–4 June 2020; IEEE: Tampere, Finland, 2020; pp. 1–6. [Google Scholar]
- Sunantasaengtong, P.; Chivapreecha, S. Mixed K-Means and GA-Based Weighted Distance Fingerprint Algorithm for Indoor Localization System. In Proceedings of the TENCON 2014–2014 IEEE Region 10 Conference, Bangkok, Thailand, 22–25 October 2014; IEEE: New York, NY, USA, 2015. [Google Scholar] [CrossRef]
- Bai, S.; Wu, T. Analysis of K-Means Algorithm on Fingerprint Based Indoor Localization System. In Proceedings of the 2013 5th IEEE International Symposium on Microwave, Antenna, Propagation and EMC Technologies for Wireless Communications, Chengdu, China, 29–31 October 2013; pp. 44–48. [Google Scholar] [CrossRef]
- Dong, B.; Wu, F.; Xing, J.; Zou, Y. Probabilistic Algorithm Based on Fuzzy Clustering for Indoor Location in Fingerprinting Positioning Method. Int. J. Adv. Comput. Sci. Appl. 2015, 6, 155–159. [Google Scholar] [CrossRef]
- Frey, B.J.; Dueck, D. Clustering by Passing Messages Between Data Points. Science 2007, 315, 972–976. [Google Scholar] [CrossRef]
- Bi, J.; Wang, Y.; Yu, B.; Cao, H.; Shi, T.; Huang, L. Supplementary Open Dataset for WiFi Indoor Localization Based on Received Signal Strength. Satell. Navig. 2022, 3, 25. [Google Scholar] [CrossRef]
- Pinto, B.; Barreto, R.; Souto, E.; Oliveira, H. Robust RSSI-Based Indoor Positioning System Using K-Means Clustering and Bayesian Estimation. IEEE Sens. J. 2021, 21, 24462–24470. [Google Scholar] [CrossRef]
- Sun, H.; Zhu, X.; Liu, Y.; Liu, W. Construction of Hybrid Dual Radio Frequency RSSI (HDRF-RSSI) Fingerprint Database and Indoor Location Method. Sensors 2020, 20, 2981. [Google Scholar] [CrossRef] [PubMed]
- Ayub, A.; Abidin, Z.Z.; Alhammadi, A.; Soliman, N.F.; Khan, M.A.; Algarni, A.D. Comparative Study of Indoor Positioning Datasets Focusing on Localization Accuracy Success Rate and Floor Classification. Sci. Rep. 2025, 15, 34514. [Google Scholar] [CrossRef] [PubMed]



















| Methods | Scheme | Error/m | Number of APs | Initial Number of APs | |
|---|---|---|---|---|---|
| Experiment | KNN | Scheme 1 | 2.69 | 53 | 149 |
| Scheme 2 | 2.71 | 147 | 149 | ||
| WKNN | Scheme 1 | 2.90 | 53 | 149 | |
| Scheme 2 | 2.79 | 147 | 149 | ||
| GMM | Scheme 1 | 2.73 | 53 | 149 | |
| Scheme 2 | 2.33 | 147 | 149 | ||
| Tempare | KNN | Scheme 1 | 10.88 | 270 | 992 |
| Scheme 2 | 11.04 | 988 | 992 | ||
| WKNN | Scheme 1 | 10.45 | 270 | 992 | |
| Scheme 2 | 10.58 | 988 | 992 | ||
| GMM | Scheme 1 | 11.16 | 270 | 992 | |
| Scheme 2 | 11.22 | 988 | 992 | ||
| SODIndoorLoc | KNN | Scheme 1 | 3.60 | 21 | 52 |
| Scheme 2 | 3.63 | 20 | 52 | ||
| WKNN | Scheme 1 | 3.63 | 21 | 52 | |
| Scheme 2 | 3.66 | 20 | 52 | ||
| GMM | Scheme 1 | 5.66 | 21 | 52 | |
| Scheme 2 | 6.02 | 20 | 52 |
| Scheme | Details | |||||
|---|---|---|---|---|---|---|
| Excellent | Good | Fair | Poor | Very Poor | No Signal | |
| Scheme 1 | ≥−55 | [−77, −55) | [−88, −77) | [−100, −88) | - | <−100 |
| Scheme 2 | ≥−50 | [−60, −50) | [−70, −60) | [−80, −70) | - | <−80 |
| Scheme 3 | ≥−45 | [−55, −45) | [−65, −55) | [−75, −65) | [−85, −75) | <−85 |
| Scheme 4 | - | ≥−60 | [−70, −60) | <−70 | - | - |
| Scheme 5 | ≥−50 | [−60, −50) | [−70, −60) | [−80, −70) | - | <−80 |
| Method | KNN | WKNN | GMM | K-Means | Pointwise | Proposed | |
|---|---|---|---|---|---|---|---|
| Dataset | |||||||
| Tempare | 81.12% | 81.83% | 82.11% | 82.59% | 86.64% | 90.00% | |
| SODIndoorLoc | 98.81% | 98.81% | 97.62% | 98.81% | 97.62% | 95.24% | |
| KNN | WKNN | GMM | K-Means | Pointwise | Proposed | |
|---|---|---|---|---|---|---|
| Experiment | 2.90 | 2.90 | 2.32 | 2.68 | 2.73 | 2.07 |
| Crowdsourced | 11.05 | 10.57 | 11.22 | 11.56 | 10.04 | 8.79 |
| SODIndoorLoc | 4.25 | 4.26 | 5.36 | 3.77 | 4.30 | 3.27 |
Disclaimer/Publisher’s Note: The statements, opinions and data contained in all publications are solely those of the individual author(s) and contributor(s) and not of MDPI and/or the editor(s). MDPI and/or the editor(s) disclaim responsibility for any injury to people or property resulting from any ideas, methods, instructions or products referred to in the content. |
© 2026 by the authors. Licensee MDPI, Basel, Switzerland. This article is an open access article distributed under the terms and conditions of the Creative Commons Attribution (CC BY) license.
Share and Cite
Jin, R.; Zhang, D.; Tian, X.; Ma, J. Indoor Localization Algorithm Based on Information Gain Ratio and Affinity Propagation Clustering. Sensors 2026, 26, 664. https://doi.org/10.3390/s26020664
Jin R, Zhang D, Tian X, Ma J. Indoor Localization Algorithm Based on Information Gain Ratio and Affinity Propagation Clustering. Sensors. 2026; 26(2):664. https://doi.org/10.3390/s26020664
Chicago/Turabian StyleJin, Rencheng, Di Zhang, Xiao Tian, and Jianping Ma. 2026. "Indoor Localization Algorithm Based on Information Gain Ratio and Affinity Propagation Clustering" Sensors 26, no. 2: 664. https://doi.org/10.3390/s26020664
APA StyleJin, R., Zhang, D., Tian, X., & Ma, J. (2026). Indoor Localization Algorithm Based on Information Gain Ratio and Affinity Propagation Clustering. Sensors, 26(2), 664. https://doi.org/10.3390/s26020664

