Learning-Augmented MPC for Autonomous Vehicle Path Tracking via Ensemble Residual Dynamics Learning
Abstract
1. Introduction
1.1. Motivation
1.2. Literature Review
- High-Dimensional and Nonlinear Characteristics of Vehicle Dynamics. Vehicle dynamics exhibit strong nonlinearities and complex couplings among multiple states, resulting in a high-dimensional and highly correlated feature space. Clustering-based modeling approaches rely heavily on manual feature engineering and predefined similarity metrics, which may overlook latent dependencies and fail to capture the intrinsic structure of nonlinear dynamic behaviors. Furthermore, the need to specify the number of clusters (e.g., the K value in K-means) and the ambiguity of cluster boundaries restricts the generalization capability of these models.
- Inherent Trade-off Between Modeling Accuracy and Real-time Efficiency. Achieving high prediction accuracy often requires sophisticated models capable of capturing nonlinear and time-varying behaviors. However, such models tend to be computationally expensive and unsuitable for real-time control. Conversely, simplified models offer high computational efficiency but inevitably sacrifice accuracy. This trade-off between precision and real-time performance remains a persistent bottleneck in model-based vehicle motion control frameworks.
- Information Loss Caused by Feature Reduction. To reduce computational complexity, many existing clustering-based modeling methods apply dimensionality reduction to the input features prior to regression or learning. Such preprocessing inevitably discards critical dynamic information, weakening the model’s ability to represent coupled vehicle dynamics under diverse conditions. The resulting information loss limits both accuracy and adaptability, especially when the model is used for predictive control in complex scenarios.
1.3. Contribution
- An ensemble learning-based dynamics refinement method is proposed. The ensemble model integrates multiple independently trained predictors to characterize the discrepancy between the nominal model and real vehicle responses. This approach eliminates the need for manual clustering and enhances the adaptability, stability, and accuracy of data-driven dynamic modeling.
- A feature-driven activation mechanism is developed to adaptively regulate the refinement model. By comparing prediction errors with a predefined threshold, the controller dynamically determines whether refinement is necessary: when errors remain small, refinement is disabled to reduce computational cost; once the threshold is exceeded, the refinement model is activated to enhance predictive accuracy. This strategy effectively balances modeling precision and real-time feasibility.
- The proposed ensemble learning-enhanced MPC framework is validated through high-fidelity simulations under single lane-change, double lane-change, and slalom (serpentine) scenarios. The results demonstrate that the proposed method significantly improves modeling accuracy, real-time performance, and trajectory tracking precision compared with conventional MPC. In lane-change maneuvers, lateral tracking errors are reduced by approximately 15% and 20%, while the slalom test further verifies the superior stability and robustness of the proposed approach under rapidly varying curvature and highly dynamic steering conditions.
2. Vehicle Dynamics Model
2.1. Refinement Activation Rule
2.2. Analytical Dynamic Model
2.3. DDR Model
2.3.1. Data Collection and Processing
2.3.2. Model Training
| Algorithm 1 Ensemble-Enhanced MPC Algorithm |
|
3. Vehicle Motion Control Framework
3.1. Lateral MPC with Ensemble-Based Dynamic Refinement
3.2. Feedforward Augmentation
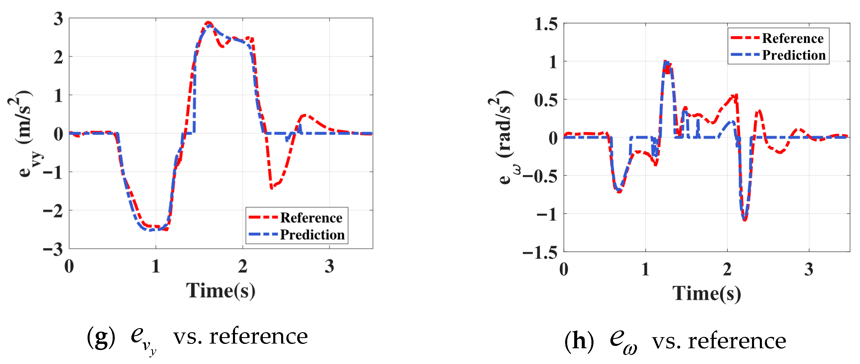
4. Simulation Results and Analysis
4.1. Ensemble Model Training and Evaluation
4.2. Real-Time Control Strategy Validation Through Co-Simulation
4.2.1. Double-Lane Change Test
4.2.2. Single-Lane Change Test
4.2.3. Slalom Test
5. Conclusions
Author Contributions
Funding
Institutional Review Board Statement
Informed Consent Statement
Data Availability Statement
Conflicts of Interest
References
- Stano, P.; Montanaro, U.; Tavernini, D.; Tufo, M.; Fiengo, G.; Novella, L.; Sorniotti, A. Model predictive path tracking control for automated road vehicles: A review. Annu. Rev. Control 2023, 55, 194–236. [Google Scholar] [CrossRef]
- Zha, Y.; Deng, J.; Qiu, Y.; Zhang, K.; Wang, Y. A survey of intelligent driving vehicle trajectory tracking based on vehicle dynamics. SAE Int. J. Veh. Dyn. Stab. NVH 2023, 7, 221–248. [Google Scholar] [CrossRef]
- Langåker, H.-A. Cautious mpc-Based Control with Machine Learning. Master’s Thesis, NTNU (Norwegian University of Science and Technology), Trondheim, Norway, 2018. [Google Scholar]
- Kong, J.; Pfeiffer, M.; Schildbach, G.; Borrelli, F. Kinematic and dynamic vehicle models for autonomous driving control design. In Proceedings of the 2015 IEEE Intelligent Vehicles Symposium (IV), Seoul, South Korea, 28 June–1 July 2015; pp. 1094–1099. [Google Scholar]
- Taherian, S.; Montanaro, U.; Dixit, S.; Fallah, S. Integrated trajectory planning and torque vectoring for autonomous emergency collision avoidance. In Proceedings of the 2019 IEEE Intelligent Transportation Systems Conference (ITSC), Auckland, New Zealand, 27–30 October 2019; pp. 2714–2721. [Google Scholar]
- Tang, L.; Yan, F.; Zou, B.; Wang, K.; Lv, C. An improved kinematic model predictive control for high-speed path tracking of autonomous vehicles. IEEE Access 2020, 8, 51400–51413. [Google Scholar] [CrossRef]
- Vallon, C.; Ercan, Z.; Carvalho, A.; Borrelli, F. A machine learning approach for personalized autonomous lane change initiation and control. In Proceedings of the 2017 IEEE Intelligent Vehicles Symposium (IV), Los Angeles, CA, USA, 11–14 June 2017; pp. 1590–1595. [Google Scholar]
- Xie, J.; Xu, X.; Wang, F.; Tang, Z.; Chen, L. Coordinated control based path following of distributed drive autonomous electric vehicles with yaw-moment control. Control Eng. Pract. 2021, 106, 104659. [Google Scholar] [CrossRef]
- Hang, P.; Xia, X.; Chen, G.; Chen, X. Active safety control of automated electric vehicles at driving limits: A tube-based mpc approach. IEEE Trans. Transp. Electrif. 2021, 8, 1338–1349. [Google Scholar] [CrossRef]
- Kabzan, J.; Valls, M.I.; Reijgwart, V.J.; Hendrikx, H.F.; Ehmke, C.; Prajapat, M.; Bühler, A.; Gosala, N.; Gupta, M.; Sivanesan, R.; et al. Amz driverless: The full autonomous racing system. J. Field Robot. 2020, 37, 1267–1294. [Google Scholar] [CrossRef]
- Xie, H.; Xi, Y.; Song, K.; Guo, F. A trajectory tracking control algorithm of selfdriving tractor-trailer based on online estimation of cornering stiffness. In 2022 41st Chinese Control Conference (CCC); IEEE: New York City, NY, USA, 2022; pp. 5414–5419. [Google Scholar]
- Zhang, Y.; Wang, W.; Yang, C.; Ma, M. An adaptive model predictive control strategy for path following of autonomous vehicles based on tire cornering stiffness estimation. In Proceedings of the 2021 33rd Chinese Control and Decision Conference (CCDC), Kunming, China, 22–24 May 2021; pp. 1904–1909. [Google Scholar]
- Chu, Z.; Chen, N.; Zhang, N.; Li, G. Path-tracking for autonomous vehicles with on-line estimation of axle cornering stiffnesses. In Proceedings of the 2019 Chinese Control Conference (CCC), Guangzhou, China, 27–30 July 2019; pp. 6651–6657. [Google Scholar]
- Zhang, Z.; Zheng, L.; Li, Y.; Li, S.; Liang, Y. Cooperative strategy of trajectory tracking and stability control for 4wid autonomous vehicles under extreme conditions. IEEE Trans. Veh. Technol. 2023, 72, 3105–3118. [Google Scholar] [CrossRef]
- Yang, Z.; Wang, Z.; Yan, M. An optimization design of adaptive cruise control system based on MPC and ADRC. Actuators 2021, 10, 110. [Google Scholar] [CrossRef]
- Xie, H.; Xiao, P. Cooperative adaptive cruise algorithm based on trajectory prediction for driverless buses. Machines 2022, 10, 893. [Google Scholar] [CrossRef]
- Wang, Z.; Wang, J. Ultra-local model predictive control: A model-free approach and its application on automated vehicle trajectory tracking. Control Eng. Pract. 2020, 101, 104482. [Google Scholar] [CrossRef]
- Xie, H.; Dai, L.; Lu, Y.; Xia, Y. Disturbance rejection MPC framework for input-affine nonlinear systems. IEEE Trans. Autom. Control 2022, 67, 6595–6610. [Google Scholar] [CrossRef]
- Vázquez-Cruz, R.I.; Castellanos-Velasco, E.; Guerrero-Castellanos, J.F. Frugal model predictive control and active disturbance rejection for laser beam steering systems. Control Theory Technol. 2025, 23, 513–528. [Google Scholar] [CrossRef]
- Hewing, L.; Kabzan, J.; Zeilinger, M.N. Cautious model predictive control using gaussian process regression. IEEE Trans. Control Syst. Technol. 2019, 28, 2736–2743. [Google Scholar] [CrossRef]
- Kabzan, J.; Hewing, L.; Liniger, A.; Zeilinger, M.N. Learning-based model predictive control for autonomous racing. IEEE Robot. Autom. Lett. 2019, 4, 3363–3370. [Google Scholar] [CrossRef]
- Li, Y.; Huang, C.; Yang, D.; Liu, W.; Li, J. Learning based mpc for autonomous driving using a low dimensional residual model. arXiv 2024, arXiv:2412.03874. [Google Scholar] [CrossRef]
- Torrente, G.; Kaufmann, E.; Föhn, P.; Scaramuzza, D. Data-driven mpc for quadrotors. IEEE Robot. Autom. Lett. 2021, 6, 3769–3776. [Google Scholar] [CrossRef]
- Pacejka, H.B.; Bakker, E. The magic formula tyre model. Veh. Syst. Dyn. 1992, 21, 1–18. [Google Scholar] [CrossRef]
- Verschueren, R.; Frison, G.; Kouzoupis, D.; Frey, J.; Duijkeren, N.v.; Zanelli, A.; Novoselnik, B.; Albin, T.; Quirynen, R.; Diehl, M. Acados—A modular opensource framework for fast embedded optimal control. Math. Program. Comput. 2022, 14, 147–183. [Google Scholar] [CrossRef]
- Andersson, J.A.; Gillis, J.; Horn, G.; Rawlings, J.B.; Diehl, M. Casadi: A software framework for nonlinear optimization and optimal control. Math. Program. Comput. 2019, 11, 1–36. [Google Scholar] [CrossRef]












| Direction | ||||
|---|---|---|---|---|
| Longitudinal force () | −0.203 | 0.978 | 3513.520 | −9.620 |
| Lateral force () | 13.59 | −2.093 | −4206.900 | −1.218 |
| Parameter | Value | Parameter | Value |
|---|---|---|---|
| Vehicle curb weight (kg) | 1360 | Moment of inertia about the Z-axis (kg · m2) | 1805 |
| Wheelbase (m) | 2.035 | Track width (mm) | 1356 (front, rear) |
| Distance from the center of gravity to the front axle (m) | 1.117 | Distance from the center of gravity to the rear axle (m) | 1.188 |
| Center of gravity height (m) | 0.525 | Rolling radius of the wheel (m) | 0.283 |
| Front axle cornering stiffness (N/rad) | 105,991 | Rear axle cornering stiffness (N/rad) | 106,456 |
| DDR Prediction vs. Reference | ANA Prediction vs. Reference | ||||
|---|---|---|---|---|---|
| Average | RMSE | Average | RMSE | ||
| Test 1 | 0.0100 | 0.0125 | 0.0973 | 0.1071 | |
| 0.0038 | 0.0045 | 0.0627 | 0.0670 | ||
| Test 2 | 0.0042 | 0.0053 | 0.0935 | 0.1001 | |
| 0.0046 | 0.0063 | 0.0486 | 0.0573 | ||
Disclaimer/Publisher’s Note: The statements, opinions and data contained in all publications are solely those of the individual author(s) and contributor(s) and not of MDPI and/or the editor(s). MDPI and/or the editor(s) disclaim responsibility for any injury to people or property resulting from any ideas, methods, instructions or products referred to in the content. |
© 2026 by the authors. Licensee MDPI, Basel, Switzerland. This article is an open access article distributed under the terms and conditions of the Creative Commons Attribution (CC BY) license.
Share and Cite
Xiong, L.; Liu, M.; Xie, Z.; Leng, B.; Zhang, Y. Learning-Augmented MPC for Autonomous Vehicle Path Tracking via Ensemble Residual Dynamics Learning. Sensors 2026, 26, 340. https://doi.org/10.3390/s26010340
Xiong L, Liu M, Xie Z, Leng B, Zhang Y. Learning-Augmented MPC for Autonomous Vehicle Path Tracking via Ensemble Residual Dynamics Learning. Sensors. 2026; 26(1):340. https://doi.org/10.3390/s26010340
Chicago/Turabian StyleXiong, Lu, Ming Liu, Zhihao Xie, Bo Leng, and Yuanjian Zhang. 2026. "Learning-Augmented MPC for Autonomous Vehicle Path Tracking via Ensemble Residual Dynamics Learning" Sensors 26, no. 1: 340. https://doi.org/10.3390/s26010340
APA StyleXiong, L., Liu, M., Xie, Z., Leng, B., & Zhang, Y. (2026). Learning-Augmented MPC for Autonomous Vehicle Path Tracking via Ensemble Residual Dynamics Learning. Sensors, 26(1), 340. https://doi.org/10.3390/s26010340
