Laboratory Evaluation of ARMIE, a Portable SPS30-Based Low-Cost Sensor Node for PM2.5 Monitoring
Abstract
1. Introduction
2. Materials and Methods
2.1. Instruments
2.1.1. Low-Cost Sensor Node: The ARMIE Node
2.1.2. Mid-Cost Instrument: DustTrak
2.1.3. Reference Instruments: Scanning Mobility Particle Sizer
2.2. Experimental Setup
2.3. Aerosol Generation
2.3.1. Clean Air
2.3.2. Candles
2.3.3. Cooking
2.3.4. Cigarettes
2.4. Data Processing and Calibration Methods
2.4.1. Performance Evaluation Metrics
2.4.2. Calibration Models
2.4.3. Sensitivity Analyses
3. Results
3.1. Data Overview
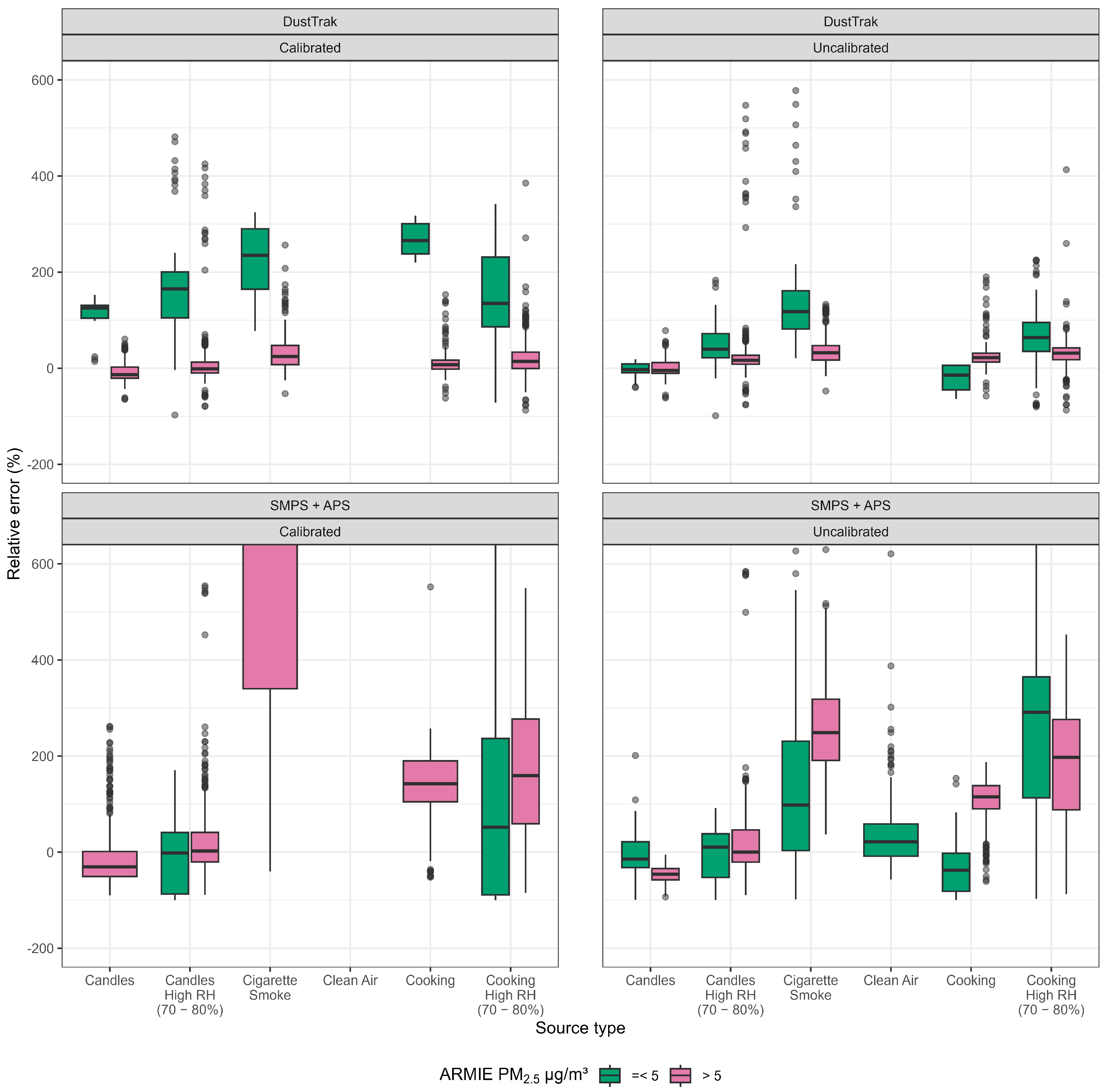
3.2. Leave-One-Sensor-Out
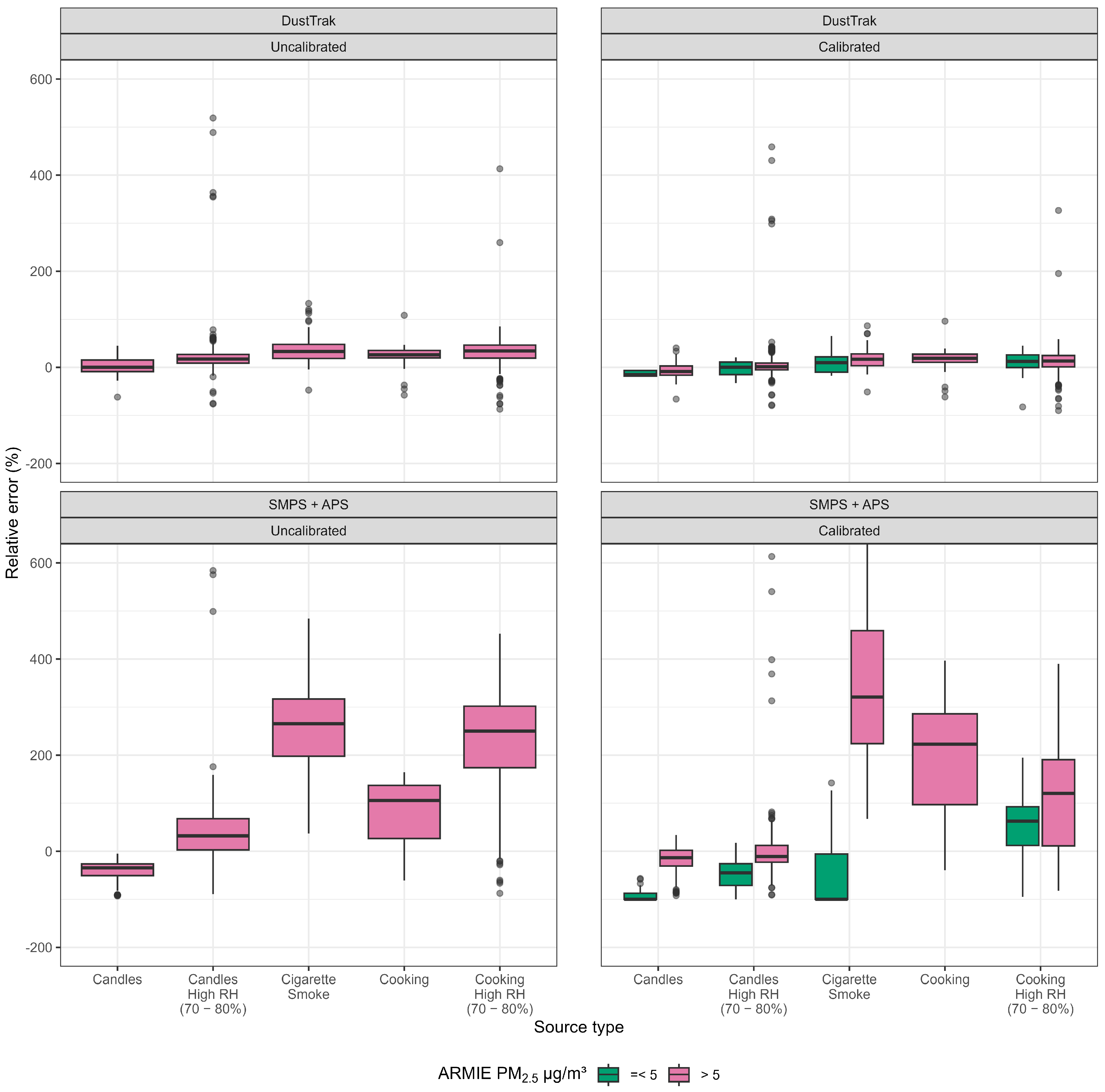
3.3. Leave-One-Source-Out
4. Discussion
4.1. Overall Sensor Performance and Calibration Outcomes
4.2. Exposure Assessment in Environmental Epidemiology
4.3. Hygroscopic Growth
4.4. Reproducibility
4.5. Temporal Resolution and Data Alignment
4.6. Challenges in Comparing PM2.5 Across Instruments
4.7. Assumptions in SMPS + APS Number to Mass Conversion
4.8. Absence of Gravimetric Reference Measurements
4.9. Sampling Frequency
4.10. Perspectives
5. Conclusions
Author Contributions
Funding
Data Availability Statement
Acknowledgments
Conflicts of Interest
Abbreviations
| SMPS | Scanning Mobility Particle Sizer |
| APS | Aerodynamic Particle Sizer |
| PM2.5 | Particulate Matter from Aerosols <2.5 µm |
| ARMIE | ARhythmia, Myocardial Infarction & the Environment |
| ICD | Implantable Cardioverter-Defibrillators |
| ACH | Air Changes Per Hour |
| HEPA | High-Efficiency Particulate Air |
| RH | Relative Humidity |
| LoA | Limits of Agreement |
| MAE | Mean Absolute Error |
| RMSE | Root Mean Squared Error |
| EPA | Environmental Protection Agency |
| NIOSH | National Institute for Occupational Safety and Health |
Appendix A
Description of the ARMIE Node
| Unit | Manufacturer | Type |
|---|---|---|
| SPS30 | Sensirion, Stäfa, Switzerland | Optical PM sensor |
| Quectel BG86 | Quectel, Shanghai, China | GPS, data transmission |
| SHTC3 | Sensirion, Stäfa, Switzerland | Temperature and relative humidity sensors |
| LIS2DH12TH | STMicroelectronics, Geneva, Switzerland | Accelerometer |
| VEML6040A30G | Vishay Intertechnology, Pennsylvania, United States | Light sensor |
| Candles | Candles (High RH) | Cigarette | Clean Air | Cooking | Cooking (High RH) | Sensor | Total |
|---|---|---|---|---|---|---|---|
| Sensor 1 | |||||||
| 27 | 80 | 64 | 35 | 39 | 77 | 1 | 322 |
| Sensor 2 | |||||||
| 71 | 76 | 64 | 36 | 39 | 77 | 2 | 363 |
| Sensor 3 | |||||||
| 71 | 70 | 64 | 36 | 39 | 77 | 3 | 357 |
| Sensor 4 | |||||||
| 40 | 78 | 64 | 36 | 39 | 77 | 4 | 334 |
| Sensor 5 | |||||||
| 71 | 79 | 64 | 36 | 39 | 77 | 5 | 366 |
| Sensor 6 | |||||||
| 71 | 65 | 64 | 36 | 39 | 77 | 6 | 352 |
| Sensor 7 | |||||||
| 71 | 65 | 64 | 36 | 39 | 77 | 7 | 352 |
| Sensor 8 | |||||||
| 71 | 78 | 64 | 36 | 39 | 77 | 8 | 365 |
| Sensor 9 | |||||||
| 71 | 78 | 64 | 36 | 39 | 77 | 9 | 365 |
| Comparison Instrument | Method | r | MAE (µg/m3) | RMSE | Mean Relative Error (%) | Mean Error (µg/m3) | LoA Low (µg/m3) | LoA High (µg/m3) |
|---|---|---|---|---|---|---|---|---|
| 1 | ||||||||
| DustTrak | Calibrated | 0.98 | 7.4 | 11.1 | 5.5 | 0.1 | −21.7 | 21.9 |
| DustTrak | Uncalibrated | 0.98 | 13.7 | 19.8 | 20.7 | 11.0 | −21.3 | 43.3 |
| SMPS + APS | Calibrated | 0.53 | 45.9 | 74.0 | 83.5 | 10.7 | −133.2 | 154.5 |
| SMPS + APS | Uncalibrated | 0.54 | 44.2 | 71.9 | 65.9 | 5.3 | −135.7 | 146.3 |
| 2 | ||||||||
| DustTrak | Calibrated | 0.94 | 11.2 | 20.2 | 3.4 | −6.1 | −44.0 | 31.8 |
| DustTrak | Uncalibrated | 0.94 | 13.8 | 20.8 | 19.0 | 4.0 | −36.1 | 44.1 |
| SMPS + APS | Calibrated | 0.50 | 60.1 | 101.8 | 65.7 | −16.0 | −213.5 | 181.5 |
| SMPS + APS | Uncalibrated | 0.49 | 60.8 | 103.5 | 48.6 | −21.5 | −220.5 | 177.4 |
| 3 | ||||||||
| DustTrak | Calibrated | 0.95 | 9.9 | 19.2 | 20.9 | 4.1 | −32.8 | 41.1 |
| DustTrak | Uncalibrated | 0.94 | 16.1 | 27.9 | 36.4 | 14.4 | −32.6 | 61.3 |
| SMPS + APS | Calibrated | 0.53 | 61.0 | 100.8 | 94.8 | −2.8 | −200.7 | 195.2 |
| SMPS + APS | Uncalibrated | 0.52 | 60.8 | 102.0 | 69.4 | −10.8 | −210.1 | 188.5 |
| 4 | ||||||||
| DustTrak | Calibrated | 0.95 | 9.3 | 19.2 | −5.2 | −6.7 | −42.0 | 28.5 |
| DustTrak | Uncalibrated | 0.94 | 12.3 | 20.1 | 9.5 | 4.2 | −34.4 | 42.8 |
| SMPS + APS | Calibrated | 0.54 | 53.2 | 90.2 | 58.8 | −8.1 | −184.7 | 168.5 |
| SMPS + APS | Uncalibrated | 0.53 | 52.4 | 91.0 | 44.1 | −12.6 | −189.7 | 164.5 |
| 5 | ||||||||
| DustTrak | Calibrated | 0.95 | 9.2 | 16.2 | 3.7 | −2.0 | −33.6 | 29.7 |
| DustTrak | Uncalibrated | 0.95 | 12.3 | 21.3 | 19.2 | 9.4 | −28.3 | 47.0 |
| SMPS + APS | Calibrated | 0.52 | 56.6 | 98.9 | 59.2 | −10.7 | −203.8 | 182.3 |
| SMPS + APS | Uncalibrated | 0.51 | 57.4 | 100.1 | 47.8 | −14.8 | −209.2 | 179.6 |
| 6 | ||||||||
| DustTrak | Calibrated | 0.95 | 9.9 | 17.4 | −1.4 | −3.7 | −37.2 | 29.7 |
| DustTrak | Uncalibrated | 0.95 | 9.4 | 20.4 | 12.2 | 6.1 | −32.1 | 44.4 |
| SMPS + APS | Calibrated | 0.52 | 54.7 | 98.1 | 57.9 | −9.9 | −201.7 | 181.8 |
| SMPS + APS | Uncalibrated | 0.52 | 55.1 | 99.4 | 41.6 | −15.4 | −208.3 | 177.6 |
| 7 | ||||||||
| DustTrak | Calibrated | 0.96 | 10.6 | 14.8 | 9.1 | 0.6 | −28.4 | 29.6 |
| DustTrak | Uncalibrated | 0.96 | 14.1 | 21.2 | 22.4 | 10.6 | −25.6 | 46.7 |
| SMPS + APS | Calibrated | 0.52 | 63.1 | 101.8 | 79.7 | −7.6 | −207.1 | 191.8 |
| SMPS + APS | Uncalibrated | 0.51 | 63.6 | 103.4 | 52.5 | −16.1 | −216.8 | 184.5 |
| 8 | ||||||||
| DustTrak | Calibrated | 0.97 | 10.5 | 15.1 | 10.6 | 2.7 | −26.4 | 31.9 |
| DustTrak | Uncalibrated | 0.96 | 16.4 | 24.0 | 24.1 | 12.8 | −27.0 | 52.6 |
| SMPS + APS | Calibrated | 0.53 | 59.1 | 98.9 | 80.8 | −3.9 | −198.0 | 190.2 |
| SMPS + APS | Uncalibrated | 0.52 | 59.2 | 100.2 | 55.2 | −12.2 | −207.6 | 183.2 |
| 9 | ||||||||
| DustTrak | Calibrated | 0.96 | 9.8 | 16.0 | 7.5 | 0.7 | −30.7 | 32.1 |
| DustTrak | Uncalibrated | 0.95 | 13.1 | 23.1 | 21.1 | 10.7 | −29.7 | 51.0 |
| SMPS + APS | Calibrated | 0.52 | 58.8 | 97.9 | 76.3 | −5.0 | −196.9 | 187.0 |
| SMPS + APS | Uncalibrated | 0.51 | 59.1 | 99.4 | 49.1 | −13.4 | −206.8 | 179.9 |
| Comparison Instrument | Method | r | MAE (µg/m3) | RMSE (µg/m3) | Mean Relative Error (%) | Mean Error (µg/m3) | LoA Low (µg/m3) | LoA High (µg/m3) |
|---|---|---|---|---|---|---|---|---|
| Candles | ||||||||
| DustTrak | Calibrated | 0.98 | 17.9 | 24.8 | −20.4 | −17.3 | −52.2 | 17.6 |
| DustTrak | Uncalibrated | 0.98 | 8.5 | 13.0 | −0.2 | −3.0 | −27.9 | 22.0 |
| SMPS + APS | Calibrated | 0.76 | 130.8 | 192.9 | −70.9 | −130.8 | −408.8 | 147.2 |
| SMPS + APS | Uncalibrated | 0.78 | 96.2 | 155.5 | −47.1 | −96.2 | −335.9 | 143.4 |
| Candles High RH (70–80%) | ||||||||
| DustTrak | Calibrated | 0.93 | 8.4 | 16.5 | 4.1 | −3.3 | −35.0 | 28.4 |
| DustTrak | Uncalibrated | 0.93 | 12.4 | 21.6 | 26.6 | 9.5 | −28.6 | 47.6 |
| SMPS + APS | Calibrated | 0.81 | 56.2 | 91.8 | −37.7 | −55.0 | −199.2 | 89.2 |
| SMPS + APS | Uncalibrated | 0.78 | 34.9 | 67.9 | 16.2 | −24.1 | −148.7 | 100.5 |
| Cigarette Smoke | ||||||||
| DustTrak | Calibrated | 0.96 | 10.1 | 16.1 | 32.1 | 8.9 | −17.6 | 35.3 |
| DustTrak | Uncalibrated | 0.96 | 13.9 | 22.7 | 33.5 | 13.4 | −22.5 | 49.3 |
| SMPS + APS | Calibrated | 0.78 | 69.4 | 83.2 | 396.7 | 69.4 | −20.9 | 159.7 |
| SMPS + APS | Uncalibrated | 0.78 | 47.2 | 62.5 | 211.5 | 44.3 | −42.3 | 130.9 |
| Cooking | ||||||||
| DustTrak | Calibrated | 0.95 | 20.0 | 29.6 | 19.5 | 17.9 | −28.3 | 64.1 |
| DustTrak | Uncalibrated | 0.96 | 25.4 | 35.4 | 25.5 | 24.3 | −26.4 | 74.9 |
| SMPS + APS | Calibrated | 0.90 | 162.3 | 192.6 | 267.7 | 160.9 | −47.1 | 368.9 |
| SMPS + APS | Uncalibrated | 0.92 | 65.0 | 77.6 | 104.5 | 62.3 | −28.3 | 152.9 |
| Cooking High RH (70–80%) | ||||||||
| DustTrak | Calibrated | 0.97 | 6.4 | 10.1 | 15.5 | 1.6 | −18.1 | 21.2 |
| DustTrak | Uncalibrated | 0.97 | 11.8 | 18.6 | 25.5 | 9.6 | −21.6 | 40.8 |
| SMPS + APS | Calibrated | 0.91 | 45.7 | 59.6 | 164.7 | 43.5 | −36.3 | 123.4 |
| SMPS + APS | Uncalibrated | 0.92 | 30.9 | 39.6 | 117.1 | 28.3 | −26.1 | 82.8 |



Appendix B

| Instrument | Median | Mean | SD | Min | Max |
|---|---|---|---|---|---|
| Candles | |||||
| SMPS + APS (#/cm3) | 1006 | 1351 | 1728 | 149 | 10,719 |
| SMPS + APS (µg/m3) | 49 | 63 | 82 | 7 | 512 |
| DustTrak (µg/m3) | 27 | 28 | 13 | 5 | 60 |
| Candles High RH (70–80%) | |||||
| SMPS + APS (#/cm3) | 453 | 596 | 613 | 117 | 4835 |
| SMPS + APS (µg/m3) | 19 | 24 | 27 | 5 | 212 |
| DustTrak (µg/m3) | 21 | 23 | 14 | 6 | 95 |
| Cigarette Smoke | |||||
| SMPS + APS (#/cm3) | 137 | 168 | 92 | 101 | 823 |
| SMPS + APS (µg/m3) | 8 | 11 | 4 | 6 | 28 |
| DustTrak (µg/m3) | 24 | 27 | 10 | 17 | 72 |
| Cooking | |||||
| SMPS + APS (#/cm3) | 409 | 604 | 499 | 303 | 3055 |
| SMPS + APS (µg/m3) | 19 | 27 | 18 | 15 | 116 |
| DustTrak (µg/m3) | 35 | 35 | 12 | 24 | 82 |
| Cooking High RH (70–80%) | |||||
| SMPS + APS (#/cm3) | 206 | 281 | 236 | 109 | 1717 |
| SMPS + APS (µg/m3) | 11 | 16 | 13 | 6 | 71 |
| DustTrak (µg/m3) | 26 | 28 | 13 | 11 | 68 |
| Comparison Instrument | Method | r | Mean Relative Error (%) | Mean Error (µg/m3) | LoA Low (µg/m3) | LoA High (µg/m3) |
|---|---|---|---|---|---|---|
| DustTrak | Calibrated | 0.85 | 5.89 | −0.16 | −15.11 | 14.79 |
| DustTrak | Uncalibrated | 0.85 | 20.88 | 2.38 | −12.58 | 17.35 |
| SMPS + APS | Calibrated | 0.39 | 59.88 | −0.88 | −95.55 | 93.78 |
| SMPS + APS | Uncalibrated | 0.33 | 57.81 | −5 | −102.44 | 92.44 |


| Comparison Instrument | Method | r | Mean Relative Error (%) | Mean Error (µg/m3) | LoA Low (µg/m3) | LoA High (µg/m3) |
|---|---|---|---|---|---|---|
| Candles | ||||||
| DustTrak | Calibrated | 0.93 | −18.65 | −5.26 | −15.38 | 4.86 |
| DustTrak | Uncalibrated | 0.93 | 2.49 | −0.43 | −10.02 | 9.16 |
| SMPS + APS | Calibrated | 0.53 | −72.72 | −47.18 | −197.93 | 103.57 |
| SMPS + APS | Uncalibrated | 0.52 | −39.32 | −35.21 | −183.5 | 113.09 |
| Candles High RH (70–80%) | ||||||
| DustTrak | Calibrated | 0.79 | 5.7 | −0.18 | −17.84 | 17.48 |
| DustTrak | Uncalibrated | 0.78 | 24.18 | 2.63 | −15.22 | 20.49 |
| SMPS + APS | Calibrated | 0.53 | −20.15 | −4.16 | −49.08 | 40.77 |
| SMPS + APS | Uncalibrated | 0.49 | 37.42 | 0.65 | −44.72 | 46.02 |
| Cigarette Smoke | ||||||
| DustTrak | Calibrated | 0.93 | 30.91 | 3.47 | −4.77 | 11.72 |
| DustTrak | Uncalibrated | 0.93 | 30.76 | 3.98 | −4.41 | 12.37 |
| SMPS + APS | Calibrated | 0.63 | 488.18 | 46.22 | 26.56 | 65.87 |
| SMPS + APS | Uncalibrated | 0.69 | 222.83 | 21.25 | 8.37 | 34.13 |
| Cooking | ||||||
| DustTrak | Calibrated | 0.33 | 15.02 | 2.97 | −20.42 | 26.36 |
| DustTrak | Uncalibrated | 0.33 | 22.43 | 5.42 | −18.01 | 28.85 |
| SMPS + APS | Calibrated | −0.07 | 175.69 | 34.04 | −8.17 | 76.26 |
| SMPS + APS | Uncalibrated | −0.04 | 78.87 | 12.63 | −25.32 | 50.59 |
| Cooking High RH (70–80%) | ||||||
| DustTrak | Calibrated | 0.82 | 6.73 | 0.3 | −14.96 | 15.57 |
| DustTrak | Uncalibrated | 0.83 | 27.23 | 3.12 | −12.25 | 18.5 |
| SMPS + APS | Calibrated | 0.4 | 157.87 | 17.02 | −19.45 | 53.49 |
| SMPS + APS | Uncalibrated | 0.41 | 158.21 | 14.78 | −10.42 | 39.98 |

Appendix C
Formulas for Computed Metrics
Appendix D
Appendix D.1. Schematic of Chamber

Appendix D.2. Photograph of the ARMIE Node

References
- Hay, S.I.; Ong, K.L.; Santomauro, D.F.; Bhoomadevi, A.; Aalipour, M.A.; Aalruz, H.; Ababneh, H.S.; Abaraogu, U.O.; Abate, B.B.; Abbafati, C.; et al. Burden of 375 diseases and injuries, risk-attributable burden of 88 risk factors, and healthy life expectancy in 204 countries and territories, including 660 subnational locations, 1990–2023: A systematic analysis for the Global Burden of Disease Study 2023. Lancet 2025, 406, 1873–1922. [Google Scholar] [CrossRef] [PubMed]
- Lederer, A.M.; Fredriksen, P.M.; Nkeh-Chungag, B.N.; Everson, F.; Strijdom, H.; de Boever, P.; Goswami, N. Cardiovascular Effects of Air Pollution: Current Evidence from Animal and Human Studies. Am. J. Physiol. Heart Circ. Physiol. 2021, 320, H1417–H1439. [Google Scholar] [CrossRef] [PubMed]
- Farhadi, Z.; Abulghasem Gorgi, H.; Shabaninejad, H.; Aghajani Delavar, M.; Torani, S. Association between PM(2.5) and risk of hospitalization for myocardial infarction: A systematic review and a meta-analysis. BMC Public Health 2020, 20, 314. [Google Scholar] [CrossRef] [PubMed]
- Chatzidiakou, L.; Krause, A.; Popoola, O.A.M.; Di Antonio, A.; Kellaway, M.; Han, Y.; Squires, F.A.; Wang, T.; Zhang, H.; Wang, Q.; et al. Characterising low-cost sensors in highly portable platforms to quantify personal exposure in diverse environments. Atmos. Meas. Tech. 2019, 12, 4643–4657. [Google Scholar] [CrossRef]
- Marquet, O.; Tello-Barsocchini, J.; Couto-Trigo, D.; Gómez-Varo, I.; Maciejewska, M. Comparison of static and dynamic exposures to air pollution, noise, and greenness among seniors living in compact-city environments. Int. J. Health Geogr. 2023, 22, 3. [Google Scholar] [CrossRef]
- Omelekhina, Y.; Eriksson, A.; Canonaco, F.; Prevot, A.; Nilsson, P.; Isaxon, C.; Pagels, J.; Wierzbicka, A. Cooking and electronic cigarettes leading to large differences between indoor and outdoor particle composition and concentration measured by aerosol mass spectrometry. Environ. Sci. Process. Impacts 2020, 22, 1382–1396. [Google Scholar] [CrossRef]
- Larkin, A.; Hystad, P. Towards Personal Exposures: How Technology Is Changing Air Pollution and Health Research. Curr. Environ. Health Rep. 2017, 4, 463–471. [Google Scholar] [CrossRef]
- Morawska, L.; Thai, P.K.; Liu, X.; Asumadu-Sakyi, A.; Ayoko, G.; Bartonova, A.; Bedini, A.; Chai, F.; Christensen, B.; Dunbabin, M.; et al. Applications of low-cost sensing technologies for air quality monitoring and exposure assessment: How far have they gone? Environ. Int. 2018, 116, 286–299. [Google Scholar] [CrossRef]
- Karagulian, F.; Barbiere, M.; Kotsev, A.; Spinelle, L.; Gerboles, M.; Lagler, F.; Redon, N.; Crunaire, S.; Borowiak, A. Review of the Performance of Low-Cost Sensors for Air Quality Monitoring. Atmosphere 2019, 10, 506. [Google Scholar] [CrossRef]
- Park, Y.M.; Sousan, S.; Streuber, D.; Zhao, K. GeoAir—A Novel Portable, GPS-Enabled, Low-Cost Air-Pollution Sensor: Design Strategies to Facilitate Citizen Science Research and Geospatial Assessments of Personal Exposure. Sensors 2021, 21, 3761. [Google Scholar] [CrossRef]
- Sousan, S.; Regmi, S.; Park, Y.M. Laboratory Evaluation of Low-Cost Optical Particle Counters for Environmental and Occupational Exposures. Sensors 2021, 21, 4146. [Google Scholar] [CrossRef]
- Streuber, D.; Park, Y.M.; Sousan, S. Laboratory and Field Evaluations of the GeoAir2 Air Quality Monitor for Use in Indoor Environments. Aerosol Air Qual. Res. 2022, 22, 220119. [Google Scholar] [CrossRef]
- Tryner, J.; Mehaffy, J.; Miller-Lionberg, D.; Volckens, J. Effects of aerosol type and simulated aging on performance of low-cost PM sensors. J. Aerosol Sci. 2020, 150, 105654. [Google Scholar] [CrossRef]
- Raysoni, A.U.; Pinakana, S.D.; Mendez, E.; Wladyka, D.; Sepielak, K.; Temby, O. A Review of Literature on the Usage of Low-Cost Sensors to Measure Particulate Matter. Earth 2023, 4, 168–186. [Google Scholar] [CrossRef]
- Bulot, F.M.J.; Russell, H.S.; Rezaei, M.; Johnson, M.S.; Ossont, S.J.; Morris, A.K.R.; Basford, P.J.; Easton, N.H.C.; Mitchell, H.L.; Foster, G.L.; et al. Laboratory Comparison of Low-Cost Particulate Matter Sensors to Measure Transient Events of Pollution. Sensors 2020, 20, 2219. [Google Scholar] [CrossRef] [PubMed]
- Demanega, I.; Mujan, I.; Singer, B.C.; Anđelković, A.S.; Babich, F.; Licina, D. Performance assessment of low-cost environmental monitors and single sensors under variable indoor air quality and thermal conditions. Build. Environ. 2021, 187, 107415. [Google Scholar] [CrossRef]
- Wang, P.; Xu, F.; Gui, H.; Wang, H.; Chen, D.-R. Effect of relative humidity on the performance of five cost-effective PM sensors. Aerosol Sci. Technol. 2021, 55, 957–974. [Google Scholar] [CrossRef]
- United States Environmental Protection Aaencv. Performance Testing Protocols, Metrics, and Target Values for Fine Particulate Matter Air Sensors; United States Environmental Protection Aaencv: Washington, DC, USA, 2021.
- Gautam, P.; Ramirez, A.; Bair, S.; Arnott, W.P.; Chow, J.C.; Watson, J.G.; Moosmüller, H.; Wang, X. Sizing Accuracy of Low-Cost Optical Particle Sensors Under Controlled Laboratory Conditions. Atmosphere 2025, 16, 502. [Google Scholar] [CrossRef]
- Molina Rueda, E.; Carter, E.; L’Orange, C.; Quinn, C.; Volckens, J. Size-Resolved Field Performance of Low-Cost Sensors for Particulate Matter Air Pollution. Environ. Sci. Technol. Lett. 2023, 10, 247–253. [Google Scholar] [CrossRef]
- Crilley, L.R.; Shaw, M.; Pound, R.; Kramer, L.J.; Price, R.; Young, S.; Lewis, A.C.; Pope, F.D. Evaluation of a low-cost optical particle counter (Alphasense OPC-N2) for ambient air monitoring. Atmos. Meas. Tech. 2018, 11, 709–720. [Google Scholar] [CrossRef]
- Altman, D.G.; Bland, J.M. Measurement in Medicine: The Analysis of Method Comparison Studies. J. R. Stat. Soc. Ser. D 1983, 32, 307–317. [Google Scholar] [CrossRef]
- Giavarina, D. Understanding Bland Altman analysis. Biochem. Med. 2015, 25, 141–151. [Google Scholar] [CrossRef] [PubMed]
- Mansournia, M.A.; Waters, R.; Nazemipour, M.; Bland, M.; Altman, D.G. Bland-Altman methods for comparing methods of measurement and response to criticisms. Global Epidemiol. 2021, 3, 100045. [Google Scholar] [CrossRef] [PubMed]
- WTO. What are the WHO Air Quality Guidelines? 2021. Available online: https://www.who.int/news-room/feature-stories/detail/what-are-the-who-air-quality-guidelines (accessed on 29 October 2025).
- Crilley, L.R.; Singh, A.; Kramer, L.J.; Shaw, M.D.; Alam, M.S.; Apte, J.S.; Bloss, W.J.; Ruiz, L.H.; Fu, P.; Fu, W.; et al. Effect of aerosol composition on the performance of low-cost optical particle counter correction factors. Atmos. Meas. Tech. 2020, 13, 1181–1193. [Google Scholar] [CrossRef]
- Liu, H.-Y.; Schneider, P.; Haugen, R.; Vogt, M. Performance Assessment of a Low-Cost PM2.5 Sensor for a near Four-Month Period in Oslo, Norway. Atmosphere 2019, 10, 41. [Google Scholar] [CrossRef]
- Faber, P.; Drewnick, F.; Bierl, R.; Borrmann, S. Complementary online aerosol mass spectrometry and offline FT-IR spectroscopy measurements: Prospects and challenges for the analysis of anthropogenic aerosol particle emissions. Atmos. Environ. 2017, 166, 92–98. [Google Scholar] [CrossRef]
- Price, H.D.; Stahlmecke, B.; Arthur, R.; Kaminski, H.; Lindermann, J.; Däuber, E.; Asbach, C.; Kuhlbusch, T.A.J.; BéruBé, K.A.; Jones, T.P. Comparison of instruments for particle number size distribution measurements in air quality monitoring. J. Aerosol Sci. 2014, 76, 48–55. [Google Scholar] [CrossRef]
- Javed, W.; Guo, B. Performance Evaluation of Real-time DustTrak Monitors for Outdoor Particulate Mass Measurements in a Desert Environment. Aerosol Air Qual. Res. 2021, 21, 200631–200639. [Google Scholar] [CrossRef]
- Susz, A.; Pratte, P.; Goujon-Ginglinger, C. Real-time Monitoring of Suspended Particulate Matter in Indoor Air: Validation and Application of a Light-scattering Sensor. Aerosol Air Qual. Res. 2020, 20, 2384–2395. [Google Scholar] [CrossRef]




| Source | RH Condition | Instrument | Median | Mean | SD | Min | Max |
|---|---|---|---|---|---|---|---|
| Candles | Normal | SMPS + APS (#/cm3) | 2188 | 3529 | 3414 | 149 | 16,339 |
| SMPS + APS (µg/m3) | 110 | 170 | 161 | 7 | 739 | ||
| DustTrak (µg/m3) | 59 | 73 | 57 | 5 | 238 | ||
| High RH (70–80%) | SMPS + APS (#/cm3) | 1169 | 2008 | 2049 | 117 | 8774 | |
| SMPS + APS (µg/m3) | 49 | 92 | 96 | 5 | 390 | ||
| DustTrak (µg/m3) | 48 | 58 | 45 | 6 | 202 | ||
| Cigarette smoke | Normal | SMPS + APS (#/cm3) | 306 | 383 | 246 | 101 | 863 |
| SMPS + APS (µg/m3) | 20 | 21 | 12 | 6 | 52 | ||
| DustTrak (µg/m3) | 48 | 58 | 35 | 17 | 132 | ||
| Cooking | Normal | SMPS + APS (#/cm3) | 1036 | 1223 | 739 | 303 | 3055 |
| SMPS + APS (µg/m3) | 57 | 65 | 40 | 15 | 149 | ||
| DustTrak (µg/m3) | 85 | 105 | 64 | 24 | 263 | ||
| High RH (70–80%) | SMPS + APS (#/cm3) | 402 | 541 | 464 | 109 | 2070 | |
| SMPS + APS (µg/m3) | 26 | 37 | 38 | 6 | 181 | ||
| DustTrak (µg/m3) | 44 | 56 | 45 | 11 | 206 |
| Comparison Instrument | Method | Mean Relative Error (%) | Mean Error (µg/m3) | LoA Low (µg/m3) | LoA High (µg/m3) | r |
|---|---|---|---|---|---|---|
| DustTrak | Calibrated | 6.12 | −1.11 | −34.08 | 31.86 | 0.95 |
| Uncalibrated | 20.63 | 9.25 | −30.45 | 48.95 | 0.95 | |
| SMPS + APS | Calibrated | 72.86 | −6.22 | −195.19 | 182.74 | 0.52 |
| Uncalibrated | 52.51 | −12.72 | −202.60 | 177.16 | 0.51 |
| Source | RH Condition | Method | Mean Relative Error (%) | Mean Error (µg/m3) | LoA Low (µg/m3) | LoA High (µg/m3) | r |
|---|---|---|---|---|---|---|---|
| Candles | Normal | Calibrated | −20.39 | −17.33 | −52.24 | 17.58 | 0.98 |
| Uncalibrated | −0.18 | −2.96 | −27.89 | 21.98 | 0.98 | ||
| High RH (70–80%) | Calibrated | 4.09 | −3.32 | −35.03 | 28.39 | 0.93 | |
| Uncalibrated | 26.61 | 9.49 | −28.63 | 47.61 | 0.93 | ||
| Cigarette smoke | Normal | Calibrated | 32.09 | 8.86 | −17.63 | 35.35 | 0.96 |
| Uncalibrated | 33.46 | 13.42 | −22.47 | 49.32 | 0.96 | ||
| Cooking | Normal | Calibrated | 19.46 | 17.91 | −28.33 | 64.15 | 0.95 |
| Uncalibrated | 25.48 | 24.26 | −26.38 | 74.90 | 0.96 | ||
| High RH (70–80%) | Calibrated | 15.54 | 1.58 | −18.05 | 21.21 | 0.97 | |
| Uncalibrated | 25.50 | 9.57 | −21.60 | 40.75 | 0.97 |
| Source | RH Condition | Method | Mean Relative Error (%) | Mean Error (µg/m3) | LoA Low (µg/m3) | LoA High (µg/m3) | r |
|---|---|---|---|---|---|---|---|
| Candles | Normal | Calibrated | −70.97 | −130.83 | −408.84 | 147.19 | 0.76 |
| Uncalibrated | −47.14 | −96.24 | −335.85 | 143.38 | 0.78 | ||
| High RH (70–80%) | Calibrated | −37.67 | −55.02 | −199.21 | 89.17 | 0.81 | |
| Uncalibrated | 16.16 | −24.06 | −148.66 | 100.54 | 0.78 | ||
| Cigarette smoke | Normal | Calibrated | 396.69 | 69.37 | −20.93 | 159.67 | 0.78 |
| Uncalibrated | 211.50 | 44.27 | −42.34 | 130.88 | 0.78 | ||
| Cooking | Normal | Calibrated | 267.73 | 160.89 | −47.09 | 368.86 | 0.90 |
| Uncalibrated | 104.47 | 62.33 | −28.27 | 152.92 | 0.92 | ||
| High RH (70–80%) | Calibrated | 164.73 | 43.53 | −36.30 | 123.37 | 0.91 | |
| Uncalibrated | 117.11 | 28.31 | −26.12 | 82.75 | 0.92 |
Disclaimer/Publisher’s Note: The statements, opinions and data contained in all publications are solely those of the individual author(s) and contributor(s) and not of MDPI and/or the editor(s). MDPI and/or the editor(s) disclaim responsibility for any injury to people or property resulting from any ideas, methods, instructions or products referred to in the content. |
© 2026 by the authors. Licensee MDPI, Basel, Switzerland. This article is an open access article distributed under the terms and conditions of the Creative Commons Attribution (CC BY) license.
Share and Cite
Kloppenborg, A.; Frederickson, L.B.; Nielsen, R.Ø.; Sabel, C.E.; Skallgaard, T.; Löndahl, J.; Laurent, J.G.C.; Sigsgaard, T. Laboratory Evaluation of ARMIE, a Portable SPS30-Based Low-Cost Sensor Node for PM2.5 Monitoring. Sensors 2026, 26, 280. https://doi.org/10.3390/s26010280
Kloppenborg A, Frederickson LB, Nielsen RØ, Sabel CE, Skallgaard T, Löndahl J, Laurent JGC, Sigsgaard T. Laboratory Evaluation of ARMIE, a Portable SPS30-Based Low-Cost Sensor Node for PM2.5 Monitoring. Sensors. 2026; 26(1):280. https://doi.org/10.3390/s26010280
Chicago/Turabian StyleKloppenborg, Asbjørn, Louise B. Frederickson, Rasmus Ø. Nielsen, Clive E. Sabel, Tue Skallgaard, Jakob Löndahl, Jose G. C. Laurent, and Torben Sigsgaard. 2026. "Laboratory Evaluation of ARMIE, a Portable SPS30-Based Low-Cost Sensor Node for PM2.5 Monitoring" Sensors 26, no. 1: 280. https://doi.org/10.3390/s26010280
APA StyleKloppenborg, A., Frederickson, L. B., Nielsen, R. Ø., Sabel, C. E., Skallgaard, T., Löndahl, J., Laurent, J. G. C., & Sigsgaard, T. (2026). Laboratory Evaluation of ARMIE, a Portable SPS30-Based Low-Cost Sensor Node for PM2.5 Monitoring. Sensors, 26(1), 280. https://doi.org/10.3390/s26010280

