Assessing the Influence of Confining Pressure on the Consolidation of Granular Bulk Models Using an Integrated Sensor System
Abstract
1. Introduction
2. Materials and Methods
- Larger dimensions (95 mm diameter, 1000 mm length). The increased cross-sectional diameter enables assessment of the displacement front progression through the formation thickness, providing refined data on factors influencing the front profile. The larger scale also reduces the relative impact of measurement errors at low fluid velocities, facilitating more accurate simulation of flow in distant reservoir zones.
- A confinement system that enables porous medium consolidation and permits study of the effect of confining pressure on porosity, permeability, and electrical resistance.
- An integrated sensor array for monitoring pressure, temperature, and electrical resistance along the entire model length.
- Flow rate control via outlet pressure regulation, which ensures a stable pressure differential across the model and maintains a steady flow regime.
- A horizontal orientation and large scale that allow for the physical modeling of gravitational effects and reservoir heterogeneities on filtration processes and flow profiles.
3. Results and Discussion
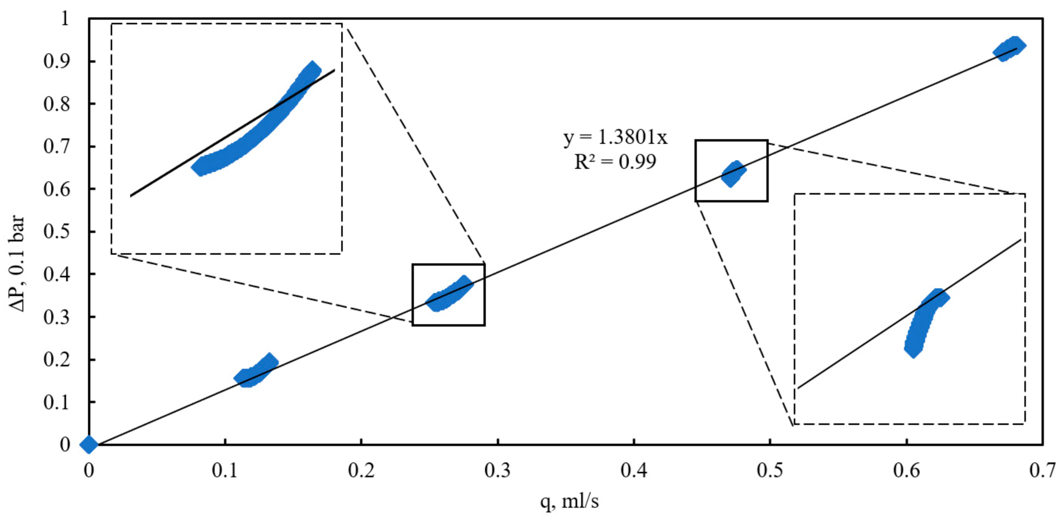
3.1. Bulk Model Without Confinement
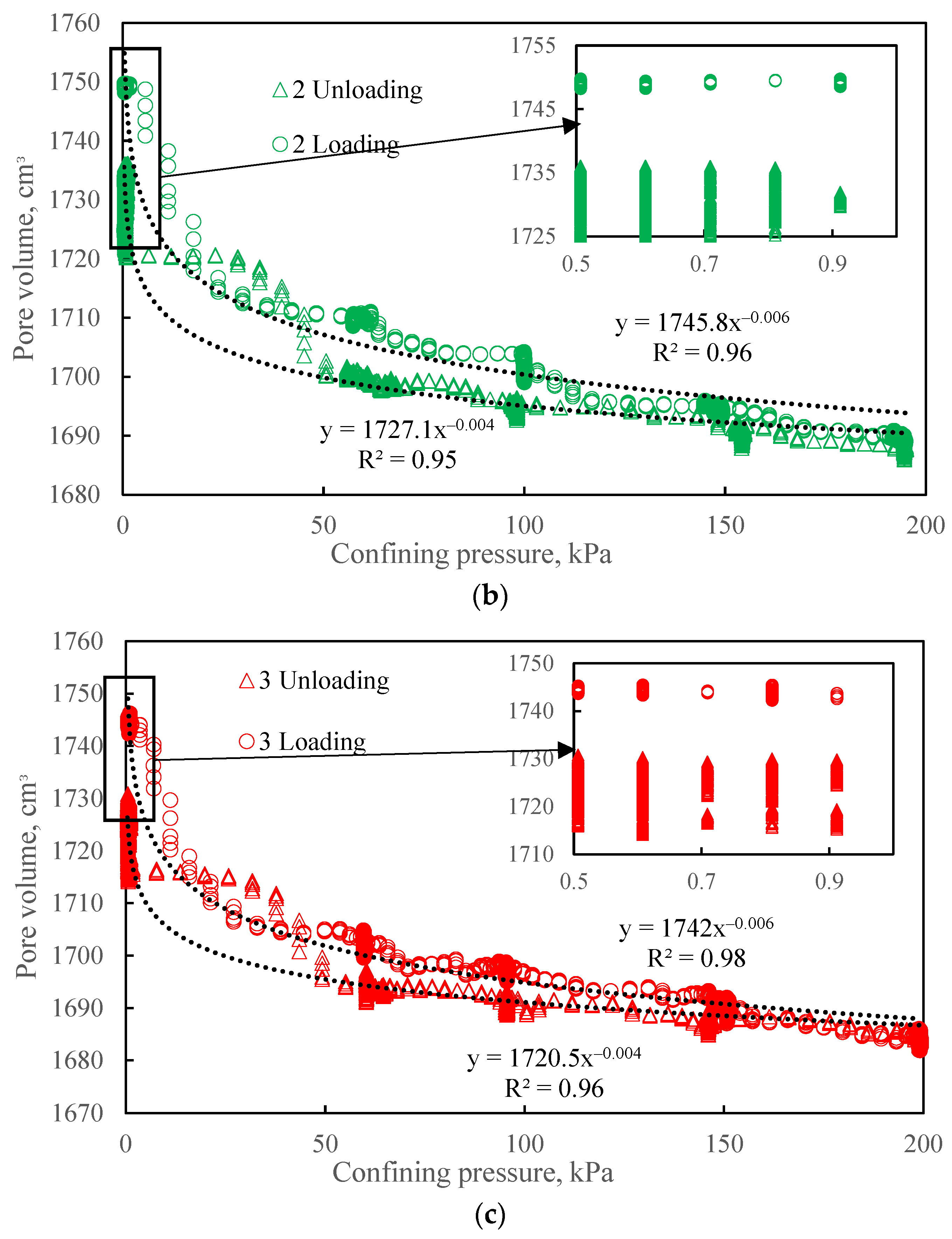
3.2. Effect of Confining Pressure on Porosity
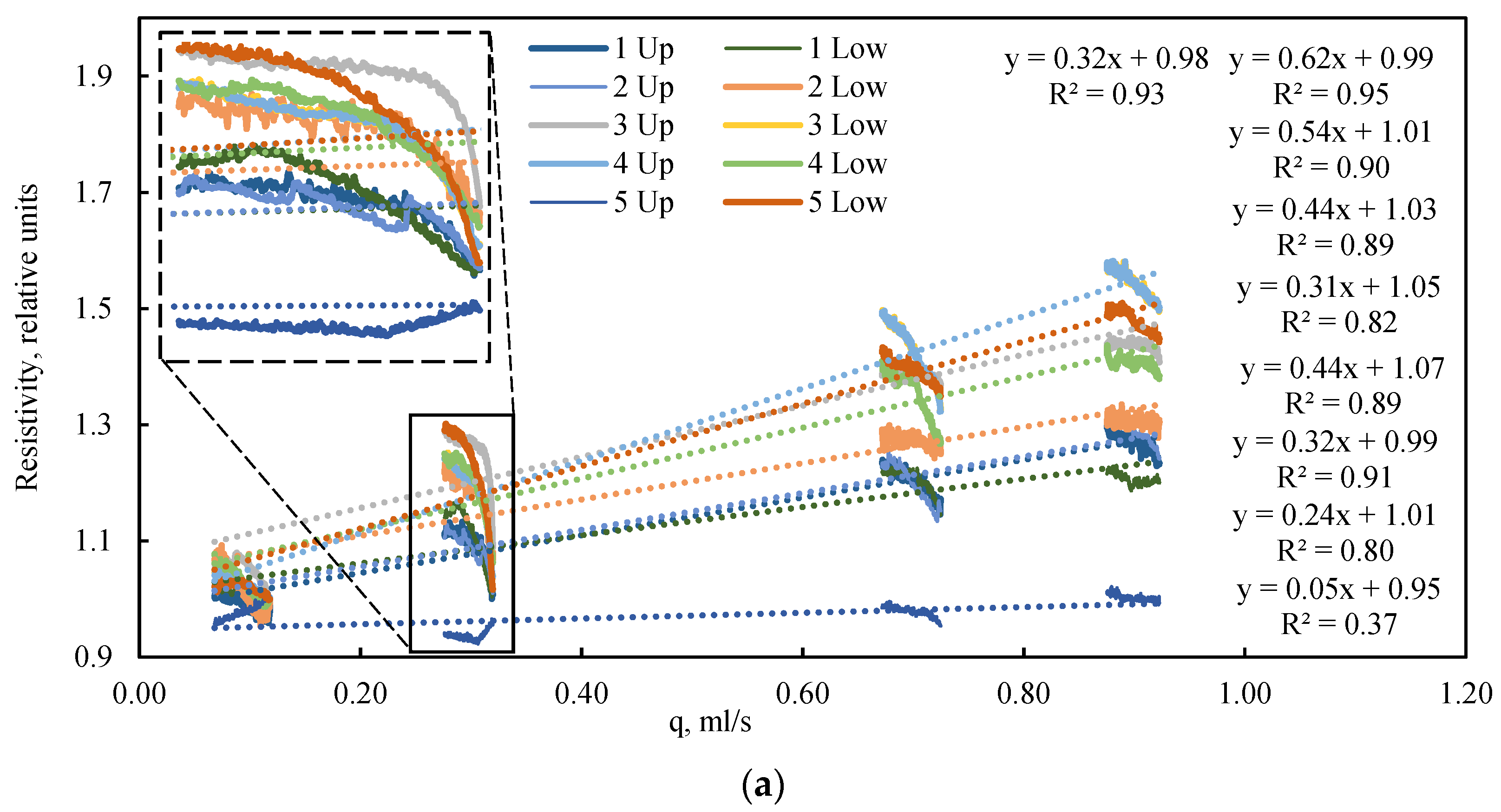
3.3. Bulk Model Under Confining Pressure
4. Conclusions
Author Contributions
Funding
Institutional Review Board Statement
Informed Consent Statement
Data Availability Statement
Conflicts of Interest
References
- Khimulia, V.; Karev, V.; Kovalenko, Y.; Barkov, S. Changes in Filtration and Capacitance Properties of Highly Porous Reservoir in Underground Gas Storage: CT-Based and Geomechanical Modeling. J. Rock Mech. Geotech. Eng. 2024, 16, 2982–2995. [Google Scholar] [CrossRef]
- Ouyang, Q.; Pandey, J.S.; von Solms, N. Microfluidic Insights: Methane Hydrate Dynamics in Distinct Wettable Confined Space. Chem. Eng. J. 2023, 474, 145567. [Google Scholar] [CrossRef]
- Mudugamuwa, A.; Roshan, U.; Hettiarachchi, S.; Cha, H.; Musharaf, H.; Kang, X.; Trinh, Q.T.; Xia, H.M.; Nguyen, N.; Zhang, J. Periodic Flows in Microfluidics. Small 2024, 20, e2404685. [Google Scholar] [CrossRef]
- Liu, W.; He, H.; Yuan, F.; Liu, H.; Zhao, F.; Liu, H.; Luo, G. Influence of the Injection Scheme on the Enhanced Oil Recovery Ability of Heterogeneous Phase Combination Flooding in Mature Waterflooded Reservoirs. ACS Omega 2022, 7, 23511–23520. [Google Scholar] [CrossRef] [PubMed]
- Ma, Z.; Qi, L.; Dai, Z.; Yang, Z.; Ma, Y.; Wang, D.; Carroll, K.C.; Soltanian, M.R. Impact of Multiscale Heterogeneous Sediments and Boundary Conditions on Dispersivity Spatial Variations. Water Resour. Res. 2025, 61, e2024WR039151. [Google Scholar] [CrossRef]
- Manga, M.; Beresnev, I.; Brodsky, E.E.; Elkhoury, J.E.; Elsworth, D.; Ingebritsen, S.E.; Mays, D.C.; Wang, C.Y. Changes in Permeability Caused by Transient Stresses: Field Observations, Experiments, and Mechanisms. Rev. Geophys. 2012, 50, RG2004. [Google Scholar] [CrossRef]
- Jung, J.; Cao, S.C.; Shin, Y.-H.; Al-Raoush, R.I.; Alshibli, K.; Choi, J.-W. A Microfluidic Pore Model to Study the Migration of Fine Particles in Single-Phase and Multi-Phase Flows in Porous Media. Microsyst. Technol. 2018, 24, 1071–1080. [Google Scholar] [CrossRef]
- Kozhevnikov, E.; Turbakov, M.; Riabokon, E.; Gladkikh, E.; Guzev, M.; Panteleeva, A.; Ivanov, Z. Rock Permeability Evolution during Cyclic Loading and Colloid Migration after Saturation and Drying. Adv. Geo-Energy Res. 2024, 11, 208–219. [Google Scholar] [CrossRef]
- Wang, L.-B.; Sun, Y.-F.; Bu, Y.-H.; Xu, Z.-B.; Sun, X.; Shao, H.-F.; Sun, C.-Y.; Chen, G.-J. Temperature-Pressure Field Evolution of Hydrate-Bearing Sediments: A Comparative Study of Depressurization Strategies for Gas Recovery Using a Novel Fan-Shaped Simulator. Gas Sci. Eng. 2026, 145, 205802. [Google Scholar] [CrossRef]
- Liu, Y.; Wang, S.; Zhao, W.; Yan, H.; Guo, P.; Zhang, J.; Bai, Z.; Wang, Z.; Ou, L. Multi-Dimensional Experimental Study of Hydrocarbon Gas-Assisted Gravity Drainage. Arab. J. Sci. Eng. 2023, 48, 17031–17048. [Google Scholar] [CrossRef]
- Ma, Z.; Dai, Z.; Zhang, X.; Zhan, C.; Gong, H.; Zhu, L.; Wallace, C.D.; Soltanian, M.R. Dispersivity Variations of Solute Transport in Heterogeneous Sediments: Numerical and Experimental Study. Stoch. Environ. Res. Risk Assess. 2022, 36, 661–677. [Google Scholar] [CrossRef]
- Dogan, M.; Van Dam, R.L.; Liu, G.; Meerschaert, M.M.; Butler, J.J.; Bohling, G.C.; Benson, D.A.; Hyndman, D.W. Predicting Flow and Transport in Highly Heterogeneous Alluvial Aquifers. Geophys. Res. Lett. 2014, 41, 7560–7565. [Google Scholar] [CrossRef]
- Feia, S.; Dupla, J.-C.; Canou, J.; Ghabezloo, S.; Sulem, J.; Chabot, B.; Aubry, E.; Mainguy, M. An Experimental Setup with Radial Injection for Investigation of Transport and Deposition of Suspended Particles in Porous Media. Geotech. Test. J. 2017, 40, 1115–1124. [Google Scholar] [CrossRef]
- Vavra, E.; Bai, C.; Puerto, M.; Ma, K.; Mateen, K.; Hirasaki, G.J.; Biswal, S.L. Effects of Pressure Oscillations on Foam Transport in Porous Media. Transp. Porous Media 2025, 152, 48. [Google Scholar] [CrossRef]
- Eikehaug, K.; Haugen, M.; Folkvord, O.; Benali, B.; Bang Larsen, E.; Tinkova, A.; Rotevatn, A.; Nordbotten, J.M.; Fernø, M.A. Engineering Meter-Scale Porous Media Flow Experiments for Quantitative Studies of Geological Carbon Sequestration. Transp. Porous Media 2024, 151, 1143–1167. [Google Scholar] [CrossRef]
- Guo, Y.; Nouri, A.; Nejadi, S. Effect of Slot Width and Density on Slotted Liner Performance in SAGD Operations. Energies 2020, 13, 268. [Google Scholar] [CrossRef]
- Kotb, O.; Haftani, M.; Nouri, A. An Investigation into Current Sand Control Testing Practices for Steam Assisted Gravity Drainage Production Wells. Eng 2021, 2, 435–453. [Google Scholar] [CrossRef]
- Feia, S.; Sulem, J.; Canou, J.; Ghabezloo, S.; Clain, X. Changes in Permeability of Sand during Triaxial Loading: Effect of Fine Particles Production. Acta Geotech. 2016, 11, 1–19. [Google Scholar] [CrossRef]
- Chen, L.-T.; Li, N.; Sun, C.-Y.; Chen, G.-J.; Koh, C.A.; Sun, B.-J. Hydrate Formation in Sediments from Free Gas Using a One-Dimensional Visual Simulator. Fuel 2017, 197, 298–309. [Google Scholar] [CrossRef]
- Sun, H.; Chen, B.; Pang, W.; Song, Y.; Yang, M. Investigation on Plugging Prediction of Multiphase Flow in Natural Gas Hydrate Sediment with Different Field Scales. Fuel 2022, 325, 124936. [Google Scholar] [CrossRef]
- De Carlo, L.; Farzamian, M.; Turturro, A.C.; Caputo, M.C. Time-Lapse ERT, Moment Analysis, and Numerical Modeling for Estimating the Hydraulic Conductivity of Unsaturated Rock. Water 2023, 15, 332. [Google Scholar] [CrossRef]
- Bogena, H.R.; Huisman, J.A.; Oberdörster, C.; Vereecken, H. Evaluation of a Low-Cost Soil Water Content Sensor for Wireless Network Applications. J. Hydrol. 2007, 344, 32–42. [Google Scholar] [CrossRef]
- Lima, F.; Hall, S.A.; Engqvist, J.; Tudisco, E.; Woracek, R.; Athanasopoulos, S.; Vestin, P. Investigating Apparent Deviations from Darcy’s Law in Heterogeneous Rocks: Insights from Neutron Imaging. Transp. Porous Media 2025, 152, 46. [Google Scholar] [CrossRef]
- Riabokon, E.; Gladkikh, E.; Turbakov, M.; Kozhevnikov, E.; Guzev, M.; Yin, Q.; Wu, J.; Startsev, D. Acoustic Vibration Restoration of Rock Permeability While Crude Oil Filtration Containing Paraffins. Geoenergy Sci. Eng. 2024, 238, 212865. [Google Scholar] [CrossRef]
- Kozhevnikov, E.V.; Turbakov, M.S.; Gladkikh, E.A.; Riabokon, E.P.; Poplygin, V.V.; Guzev, M.A.; Qi, C.; Jing, H. Colloidal-Induced Permeability Degradation Assessment of Porous Media. Géotech. Lett. 2022, 12, 217–224. [Google Scholar] [CrossRef]
- Turbakov, M.S.; Kozhevnikov, E.V.; Riabokon, E.P.; Gladkikh, E.A.; Poplygin, V.V.; Guzev, M.A.; Jing, H. Permeability Evolution of Porous Sandstone in the Initial Period of Oil Production: Comparison of Well Test and Coreflooding Data. Energies 2022, 15, 6137. [Google Scholar] [CrossRef]




















Disclaimer/Publisher’s Note: The statements, opinions and data contained in all publications are solely those of the individual author(s) and contributor(s) and not of MDPI and/or the editor(s). MDPI and/or the editor(s) disclaim responsibility for any injury to people or property resulting from any ideas, methods, instructions or products referred to in the content. |
© 2026 by the authors. Licensee MDPI, Basel, Switzerland. This article is an open access article distributed under the terms and conditions of the Creative Commons Attribution (CC BY) license.
Share and Cite
Kozhevnikov, E.; Turbakov, M.; Ivanov, Z.; Katunin, D.; Riabokon, E.; Gladkikh, E.; Guzev, M. Assessing the Influence of Confining Pressure on the Consolidation of Granular Bulk Models Using an Integrated Sensor System. Sensors 2026, 26, 277. https://doi.org/10.3390/s26010277
Kozhevnikov E, Turbakov M, Ivanov Z, Katunin D, Riabokon E, Gladkikh E, Guzev M. Assessing the Influence of Confining Pressure on the Consolidation of Granular Bulk Models Using an Integrated Sensor System. Sensors. 2026; 26(1):277. https://doi.org/10.3390/s26010277
Chicago/Turabian StyleKozhevnikov, Evgenii, Mikhail Turbakov, Zakhar Ivanov, Daniil Katunin, Evgenii Riabokon, Evgenii Gladkikh, and Mikhail Guzev. 2026. "Assessing the Influence of Confining Pressure on the Consolidation of Granular Bulk Models Using an Integrated Sensor System" Sensors 26, no. 1: 277. https://doi.org/10.3390/s26010277
APA StyleKozhevnikov, E., Turbakov, M., Ivanov, Z., Katunin, D., Riabokon, E., Gladkikh, E., & Guzev, M. (2026). Assessing the Influence of Confining Pressure on the Consolidation of Granular Bulk Models Using an Integrated Sensor System. Sensors, 26(1), 277. https://doi.org/10.3390/s26010277

