Advancing Home Rehabilitation: The PlanAID Robot’s Approach to Upper-Body Exercise Through Impedance Control
Abstract
1. Introduction
2. Materials and Methods
2.1. Mechanical Design
2.2. Sensors
2.3. Kinematics
2.4. Inverse Kinematics
2.5. Forward Kinematics
2.6. Jacobian Matrices
2.7. Workspace
2.8. Control Methodology
2.9. Motion Input
2.10. Force Input
2.11. Impedance Control
2.12. Exercise Algorithms
2.13. Force Control Loop
2.14. Torque Control Loop
2.15. User Interface
2.16. Force Sensor Validation
- Evaluation of the sensor output under dynamic, user-applied forces;
- Evaluation of measurement error and crosstalk under static loading;
- Evaluation of signal quality through noise density measurements.
2.17. Backdrivability and Force Compensation Evaluation Methodology
2.18. Impedance Controller Validation and Stability Analysis Methodology
2.19. Tunnelling Controller Validation Methodology
2.20. Users’ Perceptions Evaluation Methodology
3. Results
3.1. Force Sensor
3.2. Backdrivability and Force Compensation
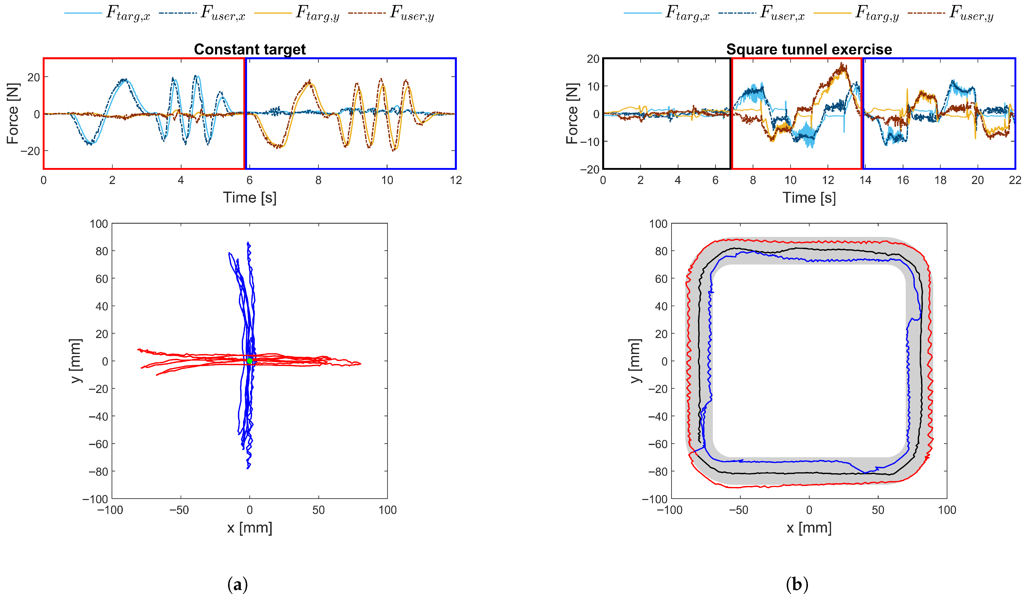
3.3. Impedance Controller Validation and Stability Analysis
3.4. Tunnelling Validation
3.5. Users’ Perceptions
3.6. Limitations
4. Conclusions
Author Contributions
Funding
Institutional Review Board Statement
Informed Consent Statement
Data Availability Statement
Acknowledgments
Conflicts of Interest
Abbreviations
| DoF | Degrees of freedom |
| BLDC | Brushless direct current |
| CAD | Computer-aided design |
| FOC | Field-Oriented Control |
| PCB | Printed circuit board |
Appendix A
| [N] | [N] | [N] | [N] | Error | Crosstalk |
|---|---|---|---|---|---|
| 10.0068 | 10.3111 | 0.0348 | 0.2984 | 3.04% | 2.63% |
| 20.0174 | 20.5290 | 0.0666 | 0.3907 | 2.56% | 1.62% |
| 30.0094 | 30.7975 | 0.1440 | 0.6305 | 2.63% | 1.62% |
| 40.0048 | 40.8491 | 0.1724 | 0.2394 | 2.11% | 0.17% |
| 50.0008 | 50.8072 | 0.2039 | −1.0004 | 1.61% | 1.59% |
| −10.0331 | −9.8362 | 0.2509 | 0.9131 | 1.96% | 6.60% |
| −20.0243 | −19.6538 | 0.4729 | 1.7386 | 1.85% | 6.32% |
| −30.0273 | −30.0811 | 0.7231 | 2.1185 | 0.18% | 4.65% |
| −39.9968 | −39.3684 | 0.8708 | 2.8858 | 1.57% | 5.04% |
| −50.0032 | −49.5680 | 1.0070 | 3.5859 | 0.87% | 5.16% |
| [N] | [N] | [N] | [N] | Error | Crosstalk |
|---|---|---|---|---|---|
| 10.0009 | 10.2204 | −0.1837 | 0.7648 | 2.20% | 5.81% |
| 20.0760 | 21.0121 | −0.3518 | 1.2867 | 4.66% | 4.66% |
| 30.0376 | 30.9650 | −0.5091 | 1.6408 | 3.09% | 3.77% |
| 40.0171 | 41.2125 | −0.7220 | 1.9972 | 2.99% | 3.19% |
| 50.0058 | 51.1176 | −0.9583 | 2.4090 | 2.22% | 2.90% |
| −10.0272 | −9.6566 | 0.0964 | 0.1112 | 3.70% | 0.15% |
| −20.0387 | −19.6878 | 0.2204 | −0.0881 | 1.75% | 0.66% |
| −30.0071 | −28.9638 | 0.3893 | 0.2397 | 3.48% | 0.50% |
| −40.0236 | −38.9780 | 0.5060 | 0.1669 | 2.61% | 0.85% |
| −50.0071 | −49.0965 | 0.6453 | −0.1301 | 1.82% | 1.03% |
Appendix B


References
- Government of Canada. Caring for Canadians: Canada’s Future Health Workforce. Available online: https://publications.gc.ca/collections/collection_2025/sc-hc/H22-4-42-2025-eng.pdf (accessed on 10 July 2025).
- Silveira, A.T.; Souza, M.A.D.; Fernandes, B.L.; Nohama, P. From the past to the future of therapeutic orthoses for upper limbs rehabilitation. Res. Biomed. Eng. 2018, 34, 368–380. [Google Scholar] [CrossRef]
- Nijenhuis, S.M.; Prange, G.B.; Stienentt, A.H.A.; Buurke, J.H.; Rietman, J.S. Direct effect of a dynamic wrist and hand orthosis on reach and grasp kinematics in chronic stroke. In Proceedings of the 2015 IEEE International Conference on Rehabilitation Robotics (ICORR), Singapore, 11–14 August 2015; pp. 404–409. [Google Scholar]
- Hogan, N.; Krebs, H.I.; Charnnarong, J.; Srikrishna, P.; Sharon, A. MIT-MANUS: A workstation for manual therapy and training. In Proceedings of the IEEE International Workshop on Robot and Human Communication, Tokyo, Japan, 1–3 September 1992; pp. 161–165. [Google Scholar]
- Loureiro, R.C.; Harwin, W.S.; Nagai, K.; Johnson, M. Advances in upper limb stroke rehabilitation: A technology push. Med. Biol. Eng. Comput. 2011, 49, 1103–1118. [Google Scholar] [CrossRef] [PubMed]
- Axinesis. REAplan®|Robot de Rééducation Intensive. Available online: https://www.axinesis.com/fr/nos-solutions/reaplan/ (accessed on 6 February 2024).
- Kinarm|Interactive Robotics Brain Injury Research. Kinarm End-Point Lab. Available online: https://kinarm.com/solutions/kinarm-end-point-lab/ (accessed on 6 February 2024).
- Krebs, H.I.; Celestino, J.; Williams, D.; Ferraro, M.; Volpe, B.; Hogan, N. 24A wrist extension for MIT-MANUS. In Proceedings of the Advances in Rehabilitation Robotics: Human-Friendly Technologies on Movement Assistance and Restoration for People with Disabilities, Daejeon, Republic of Korea, 22–25 April 2003; Bien, Z.Z., Stefanov, D., Eds.; Springer: Berlin/Heidelberg, Germany, 2006; pp. 377–390. [Google Scholar]
- Breton, D.; Laliberté, T.; Campeau-Lecours, A. Development of a low-cost upper-body rehabilitation robot for home use. J. Rehab. Assist. Tech. Eng. 2024, 11, 20556683241288226. [Google Scholar] [CrossRef] [PubMed]
- Seok, S.; Wang, A.; Otten, D.; Kim, S. Actuator design for high force proprioceptive control in fast legged locomotion. In Proceedings of the 2012 IEEE/RSJ International Conference on Intelligent Robots and Systems, Vilamoura-Algarve, Portugal, 7–12 October 2012; pp. 1970–1975. [Google Scholar]
- Katz, B.G. A Low Cost Modular Actuator for Dynamic Robots. Ph.D. Thesis, Massachusetts Institute of Technology, Cambridge, MA, USA, 2018. [Google Scholar]
- Zou, T.; Liu, N.; Wang, W.; Li, Q.; Bu, L. Longitudinal assessment of the effects of passive training on stroke rehabilitation using fNIRS technology. Int. J. -Hum.-Comput. Stud. 2024, 183, 103202. [Google Scholar] [CrossRef]
- Proietti, T.; Crocher, V.; Roby-Bromi, A.; Jarrassé, N. Upper-Limb Robotic Exoskeletons for Neurorehabilitation: A Review on Control Strategies. IEEE Rev. Biomed. Eng. 2016, 9, 4–14. [Google Scholar] [CrossRef] [PubMed]
- Zheng, J.; Shi, P.; Fan, M.; Liang, S.; Li, S.; Yu, H. Effects of passive and active training modes of upper-limb rehabilitation robot on cortical activation: A functional near-infrared spectroscopy study. NeuroReport 2021, 32, 479–488. [Google Scholar] [CrossRef] [PubMed]
- Krebs, H.I.; Ferraro, M.; Buerger, S.P.; Newbery, M.J.; Makiyama, A.; Sandmann, M.; Lynch, D.; Volpe, B.T.; Hogan, N. Rehabilitation robotics: Pilot trial of a spatial extension for MIT-Manus. J. NeuroEng. Rehab. 2004, 1, 5. [Google Scholar] [CrossRef]
- Mayetin, U.; Kucuk, S. A low cost 3-DOF force sensing unit design for wrist rehabilitation robots. Mechatronics 2021, 78, 102623. [Google Scholar] [CrossRef]
- Yamine, J.; Prini, A.; Nicora, M.L.; Dinon, T.; Giberti, H.; Malosio, M. A Planar Parallel Device for Neurorehabilitation. Robotics 2020, 9, 104. [Google Scholar] [CrossRef]
- Foster, C. A performance Characterization of an Interactive Robot. Master’s Thesis, Massachusetts Institute of Technology, Cambridge, MA, USA, 1999. [Google Scholar]
- Albu-Schaffer, A.; Ott, C.; Frese, U.; Hirzinger, G. Cartesian impedance control of redundant robots: Recent results with the DLR-light-weight-arms. In Proceedings of the 2003 IEEE International Conference on Robotics and Automation (Cat. No.03CH37422), Taipei, Taiwan, 14–19 September 2003; pp. 3704–3709. [Google Scholar]
- Hogan, N. Impedance Control: An Approach to Manipulation: Part I—Theory. In Proceedings of the 1984 American Control Conference, San Diego, CA, USA, 6–8 June 1984. [Google Scholar]
- Ding, B.; Ai, Q.; Liu, Q.; Meng, W. Path Control of a Rehabilitation Robot Using Virtual Tunnel and Adaptive Impedance Controller. In Proceedings of the 2014 Seventh International Symposium on Computational Intelligence and Design, Hangzhou, China, 13–14 December 2014. [Google Scholar]
- Molle, R.; Tamantini, C.; Lauretti, C.; Cordella, F.; di Luzio, F.S.; Sebastiani, D. Exploring Priority Parameters in Physiotherapist Decision Models for Tailoring Robot-Aided Rehabilitation. Intern. J. Soc. Robot. 2025, 17, 2713–2728. [Google Scholar] [CrossRef]
- Lewin, C. Field Oriented Control (FOC)—A Deep Dive. Performance Motion Devices. Available online: https://www.pmdcorp.com/resources/type/articles/get/field-oriented-control-foc-a-deep-dive-article (accessed on 13 January 2025).
- ST. STM32 Motor Control Software Development Kit (MCSDK). Available online: https://www.st.com/en/embedded-software/x-cube-mcsdk.html (accessed on 13 January 2025).
- Buerger, S.P.; Palazzolo, J.J.; Krebs, H.I.; Hogan, N. Rehabilitation Robotics: Adapting Robot Behavior to Suit Patient Needs and Abilities. In Proceedings of the 2004 American Control Conference, Boston, MA, USA, 30 June–2 July 2004; Volume 4, pp. 3239–3244. [Google Scholar]
- Zhang, Y.; Li, T.; Tao, H.; Liu, F.; Hu, B.; Wu, M.; Yu, H. Research on adaptive impedance control technology of upper limb rehabilitation robot based on impedance parameter prediction. Front. Bioeng. Biotech. 2024, 11, 1332689. [Google Scholar] [CrossRef] [PubMed]
- Kexin, H.; Zhongjing, M.; Suli, Z.; Jian, L.; Haoran, D. Impedance Sliding-Mode Control Based on Stiffness Scheduling for Rehabilitation Robot Systems. Cyborg Robot. Syst. 2024, 5, 0099. [Google Scholar]

















| Axis | Sensor Error | Crosstalk Error |
|---|---|---|
| x | 1.84% (3.04%) | 3.54% (6.60%) |
| y | 2.85% (4.66%) | 2.35% (5.81%) |
| m [kg] | [N/(m/s)] | [N] | |
|---|---|---|---|
| Uncompensated x-axis | 1.09 | 5.21 | 1.60 |
| Uncompensated y-axis | 1.11 | 3.70 | 2.22 |
| Compensated x-axis | 0.78 | 1.59 | 0.13 |
| Compensated y-axis | 0.82 | 1.08 | 0.21 |
Disclaimer/Publisher’s Note: The statements, opinions and data contained in all publications are solely those of the individual author(s) and contributor(s) and not of MDPI and/or the editor(s). MDPI and/or the editor(s) disclaim responsibility for any injury to people or property resulting from any ideas, methods, instructions or products referred to in the content. |
© 2025 by the authors. Licensee MDPI, Basel, Switzerland. This article is an open access article distributed under the terms and conditions of the Creative Commons Attribution (CC BY) license.
Share and Cite
Breton, D.; Laliberté, T.; Blanchette, A.K.; Campeau-Lecours, A. Advancing Home Rehabilitation: The PlanAID Robot’s Approach to Upper-Body Exercise Through Impedance Control. Sensors 2026, 26, 175. https://doi.org/10.3390/s26010175
Breton D, Laliberté T, Blanchette AK, Campeau-Lecours A. Advancing Home Rehabilitation: The PlanAID Robot’s Approach to Upper-Body Exercise Through Impedance Control. Sensors. 2026; 26(1):175. https://doi.org/10.3390/s26010175
Chicago/Turabian StyleBreton, David, Thierry Laliberté, Andréanne K. Blanchette, and Alexandre Campeau-Lecours. 2026. "Advancing Home Rehabilitation: The PlanAID Robot’s Approach to Upper-Body Exercise Through Impedance Control" Sensors 26, no. 1: 175. https://doi.org/10.3390/s26010175
APA StyleBreton, D., Laliberté, T., Blanchette, A. K., & Campeau-Lecours, A. (2026). Advancing Home Rehabilitation: The PlanAID Robot’s Approach to Upper-Body Exercise Through Impedance Control. Sensors, 26(1), 175. https://doi.org/10.3390/s26010175

