New Parameters Based on Ground Reaction Forces for Monitoring Rehabilitation Following Tibial Fractures and Assessment of Heavily Altered Gait
Abstract
1. Introduction
2. Methods
2.1. Study Design
2.2. Data Processing
Filtering and Interpolation
2.3. Landmarks Robust to Pathological Gait Patterns
Parameter Analysis
2.4. Statistics
3. Results
3.1. Patients
3.2. Stride Ratio Analysis
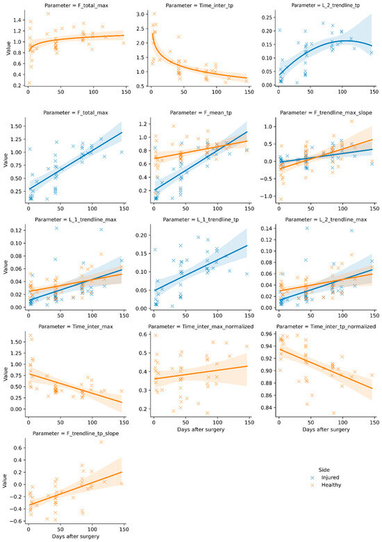
3.3. Parameter Analysis
4. Discussion
4.1. Stride Quality
4.2. Parameters
4.3. Correlation with Bone Healing
4.4. Limitations
4.5. Further Applications
5. Conclusions
Author Contributions
Funding
Institutional Review Board Statement
Informed Consent Statement
Data Availability Statement
Acknowledgments
Conflicts of Interest
Abbreviations
| COP | Center of pressure |
| GRF | Ground reaction force |
| MAE | Mean average error |
| PCI | Phase coordination index |
| PPD | Plantar pressure distribution |
| RMSE | Root mean square error |
| TP | Turning point |
References
- Das, R.; Paul, S.; Mourya, G.K.; Kumar, N.; Hussain, M. Recent trends and practices toward assessment and rehabilitation of neurodegenerative disorders: Insights from human gait. Front. Neurosci. 2022, 16, 859298. [Google Scholar] [CrossRef] [PubMed]
- Sica, M.; Tedesco, S.; Crowe, C.; Kenny, L.; Moore, K.; Timmons, S.; Barton, J.; O’Flynn, B.; Komaris, D.-S. Continuous home monitoring of Parkinson’s disease using inertial sensors: A systematic review. PLoS ONE 2021, 16, e0246528. [Google Scholar] [CrossRef]
- Larsen, A.H.; Puggaard, L.; Hämäläinen, U.; Aagaard, P. Comparison of ground reaction forces and antagonist muscle coactivation during stair walking with ageing. J. Electromyogr. Kinesiol. 2008, 18, 568–580. [Google Scholar] [CrossRef] [PubMed]
- Wolff, C.; Steinheimer, P.; Warmerdam, E.; Dahmen, T.; Slusallek, P.; Schlinkmann, C.; Chen, F.; Orth, M.; Pohlemann, T.; Ganse, B. Effects of age, body height, body weight, body mass index and handgrip strength on the trajectory of the plantar pressure stance-phase curve of the gait cycle. Front. Bioeng. Biotechnol. 2023, 11, 1110099. [Google Scholar] [CrossRef] [PubMed]
- Marasović, T.; Cecić, M.; Zanchi, V. Analysis and interpretation of ground reaction forces in normal gait. WSEAS Trans. Syst. 2009, 8, 1105–1114. [Google Scholar]
- Winiarski, S.; Rutkowska-Kucharska, A. Estimated ground reaction force in normal and pathological gait. Acta Bioeng. Biomech. 2009, 11, 53–60. [Google Scholar]
- Li, S.; Armstrong, C.W.; Cipriani, D. Three-point gait crutch walking: Variability in ground reaction force during weight bearing. Arch. Phys. Med. Rehabil. 2001, 82, 86–92. [Google Scholar] [CrossRef]
- Warmerdam, E.; Horn, D.; Filip, R.; Freier, K.; Ganse, B.; Classen, C. Gait asymmetries after fibular free flap harvest: A cross-sectional observational study. Clin. Biomech. 2024, 115, 106259. [Google Scholar] [CrossRef]
- Wolff, C.; Steinheimer, P.; Warmerdam, E.; Dahmen, T.; Slusallek, P.; Schlinkmann, C.; Chen, F.; Orth, M.; Pohlemann, T.; Ganse, B. Characteristic Changes of the Stance-Phase Plantar Pressure Curve When Walking Uphill and Downhill: Cross-Sectional Study. J. Med. Internet Res. 2024, 26, e44948. [Google Scholar] [CrossRef]
- Warmerdam, E.; Orth, M.; Pohlemann, T.; Ganse, B. Gait Analysis to Monitor Fracture Healing of the Lower Leg. Bioengineering 2023, 10, 255. [Google Scholar] [CrossRef]
- Goldie, P.A.; Matyas, T.A.; Evans, O.M.; Galea, M.; Bach, T.M. Maximum voluntary weight-bearing by the affected and unaffected legs in standing following stroke. Clin. Biomech. 1996, 11, 333–342. [Google Scholar] [CrossRef]
- Agres, A.N.; Alves, S.A.; Höntzsch, D.; El Attal, R.; Pohlemann, T.; Schaser, K.-D.; Joeris, A.; Hess, D.; Duda, G.N. Improved weight bearing during gait at 6 weeks post-surgery with an angle stable locking system after distal tibial fracture. Gait Posture 2024, 107, 169–176. [Google Scholar] [CrossRef] [PubMed]
- Böhm, H.; Hagemeyer, D.; Thummerer, Y.; Kipping, R.; Stöckle, U.; Scheuerer, K. Rehabilitation of gait in patients after total hip arthroplasty: Comparison of the minimal invasive Yale 2-incision technique and the conventional lateral approach. Gait Posture 2016, 44, 110–115. [Google Scholar] [CrossRef]
- Elstub, L.J.; Grohowski, L.M.; Wolf, D.N.; Owen, M.K.; Noehren, B.; Zelik, K.E. Effect of pressure insole sampling frequency on insole-measured peak force accuracy during running. J. Biomech. 2022, 145, 111387. [Google Scholar] [CrossRef] [PubMed]
- Grouvel, G.; Carcreff, L.; Moissenet, F.; Armand, S. A dataset of asymptomatic human gait and movements obtained from markers, IMUs, insoles and force plates. Sci. Data 2023, 10, 180. [Google Scholar] [CrossRef] [PubMed]
- Ganse, B.; Orth, M.; Roland, M.; Diebels, S.; Motzki, P.; Seelecke, S.; Kirsch, S.-M.; Welsch, F.; Andres, A.; Wickert, K.; et al. Concepts and clinical aspects of active implants for the treatment of bone fractures. Acta Biomater. 2022, 146, 1–9. [Google Scholar] [CrossRef]
- Pyper, E.; McKeown, S.; Hartmann-Boyce, J.; Powell, J. Digital health technology for real-world clinical outcome measurement using patient-generated data: Systematic scoping review. J. Med. Internet Res. 2023, 25, e46992. [Google Scholar] [CrossRef]
- Warmerdam, E.; Wolff, C.; Orth, M.; Pohlemann, T.; Ganse, B. Long-term continuous instrumented insole-based gait analyses in daily life have advantages over longitudinal gait analyses in the lab to monitor healing of tibial fractures. Front. Bioeng. Biotechnol. 2024, 12, 1355254. [Google Scholar] [CrossRef]
- Hollman, J.H.; McDade, E.M.; Petersen, R.C. Normative spatiotemporal gait parameters in older adults. Gait Posture 2011, 34, 111–118. [Google Scholar] [CrossRef]
- Connor, P.; Ross, A. Biometric recognition by gait: A survey of modalities and features. Comput. Vis. Image Underst. 2018, 167, 1–27. [Google Scholar] [CrossRef]
- Yao, Z.M.; Zhou, X.; Lin, E.D.; Xu, S.; Sun, Y.N. A novel biometrie recognition system based on ground reaction force measurements of continuous gait. In Proceedings of the 3rd International Conference on Human System Interaction, Rzeszow, Poland, 13–15 May 2010; pp. 452–458. [Google Scholar]
- Addlesee, M.D.; Jones, A.; Livesey, F.; Samaria, F. The ORL active floor [sensor system]. IEEE Pers. Commun. 1997, 4, 35–41. [Google Scholar] [CrossRef]
- Sanghan, S.; Leelasamran, W. Imbalanced gait characteristics based on plantar pressure assessment in patients with hemiplegia. Walailak J. Sci. Technol. 2015, 12, 595–603. [Google Scholar]
- Wang, C.; Kim, Y.; Shin, H.; Min, S.D. Preliminary clinical application of textile insole sensor for hemiparetic gait pattern analysis. Sensors 2019, 19, 3950. [Google Scholar] [CrossRef] [PubMed]
- Rampp, A.; Barth, J.; Schülein, S.; Gaßmann, K.G.; Klucken, J.; Eskofier, B.M. Inertial Sensor-Based Stride Parameter Calculation From Gait Sequences in Geriatric Patients. IEEE Trans. Biomed. Eng. 2015, 62, 1089–1097. [Google Scholar] [CrossRef]
- Plotnik, M.; Giladi, N.; Hausdorff, J.M. A new measure for quantifying the bilateral coordination of human gait: Effects of aging and Parkinson’s disease. Exp. Brain Res. 2007, 181, 561–570. [Google Scholar] [CrossRef]
- Park, J.S.; Kim, C.H. Ground-Reaction-Force-Based Gait Analysis and Its Application to Gait Disorder Assessment: New Indices for Quantifying Walking Behavior. Sensors 2022, 22, 7558. [Google Scholar] [CrossRef] [PubMed]
- Subramaniam, S. Insole-Based Systems for Health Monitoring: Current Solutions. Sensors 2022, 22, 438. [Google Scholar] [CrossRef]
- Whelan, D.B.; Bhandari, M.; Stephen, D.; Kreder, H.; McKee, M.D.; Zdero, R.; Schemitsch, E.H. Development of the radiographic union score for tibial fractures for the assessment of tibial fracture healing after intramedullary fixation. J. Trauma Inj. Infect. Crit. Care 2010, 68, 629–632. [Google Scholar] [CrossRef]
- Blokhuis, T.J.; de Bruine, J.H.; Bramer, J.A.; den Boer, F.C.; Bakker, F.C.; Patka, P.; Haarman, H.J.; Manoliu, R.A. The Reliability of Plain Radiography in Experimental Fracture Healing. Skeletal Radiol. 2001, 30, 151–156. [Google Scholar] [CrossRef]
- Torresin, A.; Evans, S.; Lizio, D.; Pierotti, L.; Stasi, M.; Salerno, S. Practical recommendations for the application of DE 59/2013. Radiol. Medica 2019, 124, 721–727. [Google Scholar] [CrossRef]
- Koch, L.; Orth, M.; Fink, T.; Meiser, A.; Volk, T.; Menger, M.D.; Laschke, M.W.; Pastor, T.; Knobe, M.; Pohlemann, T.; et al. Lower oxygen saturation with higher rates of norepinephrine in bone fractures of polytrauma patients: A pilot study. Crit Care 2023, 27, 367. [Google Scholar] [CrossRef] [PubMed]
- Menger, M.M.; Körbel, C.; Bauer, D.; Bleimehl, M.; Tobias, A.L.; Braun, B.J.; Herath, S.C.; Rollmann, M.F.; Laschke, M.W.; Menger, M.D.; et al. Photoacoustic imaging for the study of oxygen saturation and total hemoglobin in bone healing and non-union formation. Photoacoustics 2022, 28, 100409. [Google Scholar] [CrossRef] [PubMed]
- Skaaret, I.; Steen, H.; Niratisairak, S.; Swanson, D.; Holm, I. Postoperative changes in vertical ground reaction forces, walking barefoot and with ankle-foot orthoses in children with Cerebral Palsy. Clin. Biomech. 2021, 84, 105336. [Google Scholar] [CrossRef]
- Hobbs, S.J.; Robinson, M.A.; Clayton, H.M. A simple method of equine limb force vector analysis and its potential applications. PeerJ 2018, 6, e4399. [Google Scholar] [CrossRef]
- Hall, P.; Stubbs, C.; Anderson, D.E.; Greenacre, C.; Crouch, D.L. Rabbit hindlimb kinematics and ground contact kinetics during the stance phase of gait. PeerJ 2022, 10, e13611. [Google Scholar] [CrossRef]
- Dammeyer, C.; Nüesch, C.; Visscher, R.M.S.; Kim, Y.K.; Ismailidis, P.; Wittauer, M.; Stoffel, K.; Acklin, Y.; Egloff, C.; Netzer, C.; et al. Classification of inertial sensor-based gait patterns of orthopaedic conditions using machine learning: A pilot study. J Orthop Res. 2024, 42, 1463–1472. [Google Scholar] [CrossRef] [PubMed]
- Liew, B.X.W.; Pfisterer, F.; Rügamer, D.; Zhai, X. Strategies to optimise machine learning classification performance when using biomechanical features. J. Biomech. 2024, 165, 111998. [Google Scholar] [CrossRef]
- Jlassi, O.; Dixon, P.C. The effect of time normalization and biomechanical signal processing techniques of ground reaction force curves on deep-learning model performance. J. Biomech. 2024, 168, 112116. [Google Scholar] [CrossRef]
- Jang, J.; Migel, K.G.; Kim, H.; Wikstrom, E.A. Acute Vibration Feedback During Gait Reduces Mechanical Ankle Joint Loading in Chronic Ankle Instability Patients. Gait Posture 2021, 90, 261–266. [Google Scholar] [CrossRef]
- Femery, V.G.; Moretto, P.G.; Hespel, J.M.G.; Thévenon, A.; Lensel, G. A real-time plantar pressure feedback device for foot unloading. Arch. Phys. Med. Rehabil. 2004, 85, 1724–1728. [Google Scholar] [CrossRef]




| Parameter Name | Definition | Computation | Unit |
|---|---|---|---|
| F_mean_TP | Mean force between enclosing turning points | ||
| F_total_max | Highest overall force measurement in the entire stance phase | ||
| F_trendline_max_slope | Slope of the least squares regression line of force readings between the first and the last maxima 1 | ||
| F_trendline_TP_slope | Slope of the least squares regression line of all force readings between enclosing turning points | ||
| L1_trendline_max | Mean average error of the least squares regression line corresponding to F_trendline_max_slope | ||
| L1_trendline_TP | Mean error of the least squares regression line corresponding to F_trendline_TP_slope | ||
| L2_trendline_max | Root mean square error of the least squares regression line corresponding to F_trendline_max_slope | ||
| L2_trendline_TP | Root mean square error of the least squares regression line corresponding to F_trendline_TP_slope | ||
| Time_inter_max | Absolute time passed between the first and last local maxima 1 | ||
| Time_inter_max_normalized | Time passed between the first and last local maxima in proportion to overall step duration 1 | ||
| Time_inter_TP | Absolute time passed between enclosing turning points in seconds | ||
| Time_inter_TP_normalized | Time passed between enclosing turning points in proportion to overall step duration |
| N (male/female) | 13 (5/8) |
| Age [y] | 49 ± 14 |
| Weight [kg] | 75 ± 12 |
| Body height [cm] | 175 ± 10 |
| Side injured (r/l) | (4/9) |
| Parameter | Side | Relation | R2 | p Value | t-Test (df) |
|---|---|---|---|---|---|
| F_mean_TP | Healthy | Linear | 0.381 | <0.001 | 4.96 (42) |
| F_mean_TP | Injured | Linear | 0.715 | <0.001 | 9.89 (42) |
| F_total_max | Healthy | Logarithmic | 0.141 | 0.020 | 2.57 (42) |
| F_total_max | Injured | Linear | 0.722 | <0.001 | 10.05 (42) |
| F_trendline_max_slope | Healthy | Linear | 0.269 | <0.001 | 3.84 (42) |
| F_trendline_max_slope | Injured | Linear | 0.386 | <0.001 | 4.97 (42) |
| F_trendline_TP_slope | Healthy | Linear | 0.365 | <0.001 | 4.79 (42) |
| L1_trendline_max | Healthy | Linear | 0.255 | <0.001 | 3.7 (42) |
| L1_trendline_max | Injured | Linear | 0.369 | <0.001 | 4.78 (42) |
| L1_trendline_TP | Injured | Square | 0.245 | 0.001 | 3.56 (42) |
| L2_trendline_max | Healthy | Linear | 0.223 | 0.002 | 3.39 (42) |
| L2_trendline_max | Injured | Linear | 0.370 | <0.001 | 4.78 (42) |
| L2_trendline_TP | Injured | Square | 0.253 | <0.001 | 3.63 (42) |
| Time_inter_TP | Healthy | Logarithmic | 0.707 | <0.001 | 9.83 (42) |
| Time_inter_TP_normalized | Healthy | Linear | 0.479 | <0.001 | 6.06 (42) |
| Time_inter_max | Healthy | Linear | 0.363 | <0.001 | 4.77 (42) |
| Time_inter_max_normalized | Healthy | Linear | 0.162 | 0.008 | 2.77 (42) |
Disclaimer/Publisher’s Note: The statements, opinions and data contained in all publications are solely those of the individual author(s) and contributor(s) and not of MDPI and/or the editor(s). MDPI and/or the editor(s) disclaim responsibility for any injury to people or property resulting from any ideas, methods, instructions or products referred to in the content. |
© 2025 by the authors. Licensee MDPI, Basel, Switzerland. This article is an open access article distributed under the terms and conditions of the Creative Commons Attribution (CC BY) license (https://creativecommons.org/licenses/by/4.0/).
Share and Cite
Wolff, C.; Warmerdam, E.; Dahmen, T.; Pohlemann, T.; Slusallek, P.; Ganse, B. New Parameters Based on Ground Reaction Forces for Monitoring Rehabilitation Following Tibial Fractures and Assessment of Heavily Altered Gait. Sensors 2025, 25, 2475. https://doi.org/10.3390/s25082475
Wolff C, Warmerdam E, Dahmen T, Pohlemann T, Slusallek P, Ganse B. New Parameters Based on Ground Reaction Forces for Monitoring Rehabilitation Following Tibial Fractures and Assessment of Heavily Altered Gait. Sensors. 2025; 25(8):2475. https://doi.org/10.3390/s25082475
Chicago/Turabian StyleWolff, Christian, Elke Warmerdam, Tim Dahmen, Tim Pohlemann, Philipp Slusallek, and Bergita Ganse. 2025. "New Parameters Based on Ground Reaction Forces for Monitoring Rehabilitation Following Tibial Fractures and Assessment of Heavily Altered Gait" Sensors 25, no. 8: 2475. https://doi.org/10.3390/s25082475
APA StyleWolff, C., Warmerdam, E., Dahmen, T., Pohlemann, T., Slusallek, P., & Ganse, B. (2025). New Parameters Based on Ground Reaction Forces for Monitoring Rehabilitation Following Tibial Fractures and Assessment of Heavily Altered Gait. Sensors, 25(8), 2475. https://doi.org/10.3390/s25082475

