Effect of Multiplication and Charge Layers on the Gain in InGaAsSb/AlGaAs Avalanche Photodiodes at Room Temperature
Abstract
1. Introduction
2. APD Structure and Simulation Models
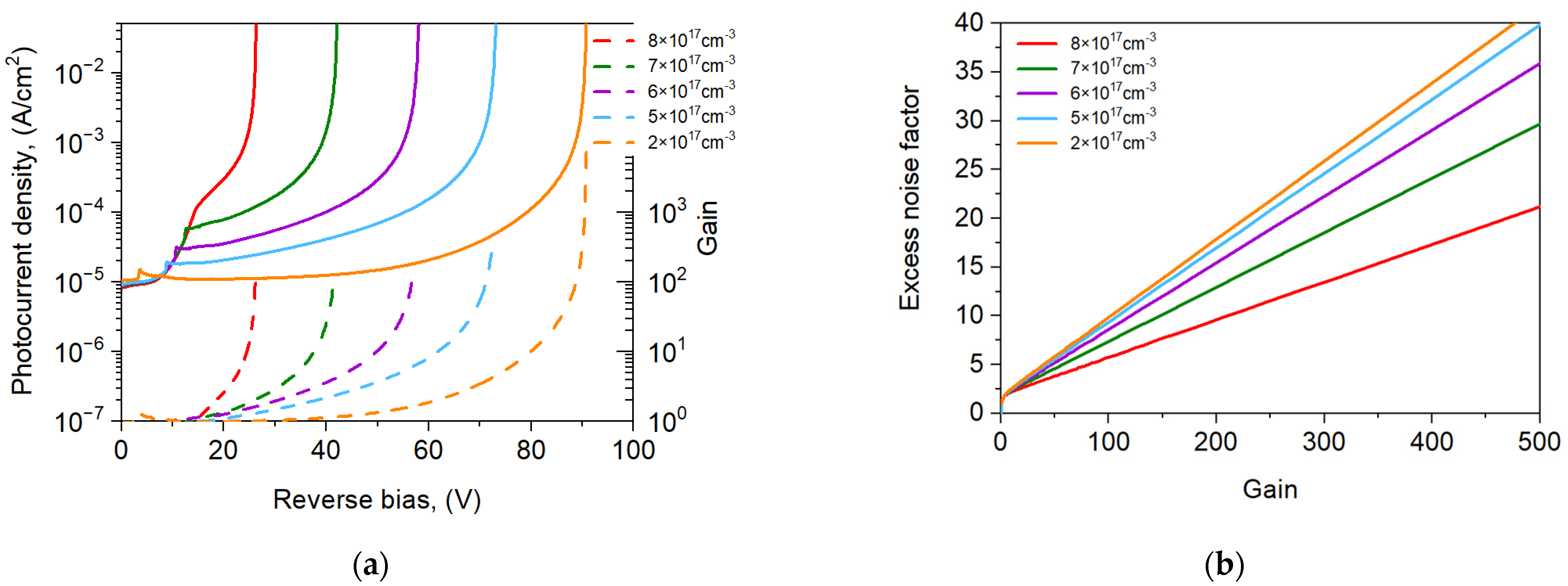
3. Results and Discussion
4. Conclusions
Author Contributions
Funding
Institutional Review Board Statement
Informed Consent Statement
Data Availability Statement
Conflicts of Interest
References
- Saleh, M.A.; Hayat, M.M.; Sotirelis, P.P.; Holmes, A.L.; Campbell, J.C.; Saleh, B.E.A.; Teich, M.C. Impact-ionization and noise characteristics of thin III-V avalanche photodiodes. IEEE Trans. Electron Devices 2001, 48, 2722–2731. [Google Scholar] [CrossRef]
- Chen, J.; Zhang, Z.; Zhu, M.; Xu, J.; Li, X. Optimization of InGaAs/InAlAs Avalanche Photodiodes. Nanoscale Res. Lett. 2017, 12, 33. [Google Scholar] [CrossRef]
- Meng, X.; Tan, C.H.; Dimler, S.; David, J.P.R.; Ng, J.S. 1550 nm InGaAs/InAlAs single photon avalanche diode at room temperature. Opt. Express 2014, 22, 22608. [Google Scholar] [CrossRef] [PubMed]
- Jiang, Y.; Chen, J. Optimization of the Linearity of InGaAs/InAlAs SAGCM APDs. J. Light. Technol. 2019, 37, 3459–3464. [Google Scholar] [CrossRef]
- Martyniuk, P.; Wang, P.; Rogalski, A.; Gu, Y.; Jiang, R.; Wang, F.; Hu, W. Infrared avalanche photodiodes from bulk to 2D materials. Light. Sci. Appl. 2023, 12, 212. [Google Scholar] [CrossRef] [PubMed]
- Guo, Z.; Wang, W.; Li, Y.; Qu, H.; Fan, L.; Chen, X.; Zhu, Y.; Gu, Y.; Wang, Y.; Zheng, C.; et al. Material Defects and Dark Currents in InGaAs/InP Avalanche Photodiode Devices. IEEE Trans. Electron Devices 2022, 69, 4944–4949. [Google Scholar] [CrossRef]
- Liu, W.; Shi, Z.; Gao, J. Enhanced initial photocurrent caused by the multiplication process at punch-through voltage in InGaAs/InP avalanche photodiode with highly doped charge layer. Infrared Phys. Technol. 2022, 124, 104218. [Google Scholar] [CrossRef]
- Zhang, S.; Zhao, Y. Study on impact ionization in charge layer of InP/InGaAs SAGCM avalanche photodiodes. Opt. Quantum Electron. 2015, 47, 2689–2696. [Google Scholar] [CrossRef]
- Ma, Y.-J.; Zhang, Y.-G.; Gu, Y.; Chen, X.-Y.; Zhou, L.; Xi, S.-P.; Li, H.-S.-B.-Y. Low Operating Voltage and Small Gain Slope of InGaAs APDs with p-Type Multiplication Layer. IEEE Photonics Technol. Lett. 2015, 27, 661–664. [Google Scholar] [CrossRef]
- Marshall, A.R.J.; Craig, A.P.; Reyner, C.J.; Huffaker, D.L. GaAs and AlGaAs APDs with GaSb absorption regions in a separate absorption and multiplication structure using a hetero-lattice interface. Infrared Phys. Technol. 2015, 70, 168–170. [Google Scholar] [CrossRef]
- Nada, M.; Hoshi, T.; Yamazaki, H.; Hashimoto, T.; Matsuzaki, H. Linearity improvement of high-speed avalanche photodiodes using thin depleted absorber operating with higher order modulation format. Opt. Express 2015, 23, 27715. [Google Scholar] [CrossRef] [PubMed]
- Wang, W.; Yao, J.; Li, L.; Ge, H.; Wang, L.; Zhu, L.; Chen, Q.; Lu, H.; Chen, B. High-speed InAlAs digital alloy avalanche photodiode. Appl. Phys. Lett. 2023, 123, 191102. [Google Scholar] [CrossRef]
- Williams, G.M.; Compton, M.; Ramirez, D.A.; Hayat, M.M.; Huntington, A.S. Multi-Gain-Stage InGaAs Avalanche Photodiode With Enhanced Gain and Reduced Excess Noise. IEEE J. Electron Devices Soc. 2013, 1, 54–65. [Google Scholar] [CrossRef]
- Benker, M.; Gu, G.; Senckowski, A.; Xiang, B.; Dwyer, C.; Adams, R.; Xie, Y.; Nagarajan, R.; Li, Y.; Lu, X. Room-Temperature (RT) Extended Short-Wave Infrared (e-SWIR) Avalanche Photodiode (APD) with a 2.6 µm Cutoff Wavelength. Micromachines 2024, 15, 941. [Google Scholar] [CrossRef]
- Craig, A.P.; Jain, M.; Meriggi, L.; Cann, T.; Niblett, A.; Collins, X.; Marshall, A.R.J. Extended short-wave infrared linear and Geiger mode avalanche photodiodes, based on 6.1 Å materials. Appl. Phys. Lett. 2019, 114, 053501. [Google Scholar] [CrossRef]
- Dadey, A.A.; Jones, A.H.; March, S.D.; Bank, S.R.; Campbell, J.C. Separate absorption, charge, and multiplication staircase avalanche photodiodes. Appl. Phys. Lett. 2024, 124, 081101. [Google Scholar] [CrossRef]
- Ren, M.; Maddox, S.J.; Woodson, M.E.; Chen, Y.; Bank, S.R.; Campbell, J.C. AlInAsSb separate absorption, charge, and multiplication avalanche photodiodes. Appl. Phys. Lett. 2016, 108, 191108. [Google Scholar] [CrossRef]
- Ronningen, T.J.; Kodati, S.H.; Jin, X.; Lee, S.; Jung, H.; Tao, X.; Lewis, H.I.J.; Schwartz, M.; Gajowski, N.; Martyniuk, P.; et al. Ionization coefficients and excess noise characteristics of AlInAsSb on an InP substrate. Appl. Phys. Lett. 2023, 123, 131110. [Google Scholar] [CrossRef]
- Li, N.; Sun, J.; Jia, Q.; Song, Y.; Jiang, D.; Wang, G.; Xu, Y.; Niu, Z. High Performance nBn Detectors Based on InGaAsSb Bulk Materials for Short Wavelength Infrared Detection. AIP Adv. 2019, 9, 105106. [Google Scholar] [CrossRef]
- Collins, X.; White, B.; Cao, Y.; Osman, T.; Taylor-Mew, J.; Ng, J.S.; Tan, C.H. Low-noise AlGaAsSb avalanche photodiodes for 1550 nm light detection. In Optical Components and Materials XIX; Digonnet, M.J., Jiang, S., Eds.; SPIE: San Francisco, CA, USA, 2022; p. 16. [Google Scholar] [CrossRef]
- Sheridan, B.; Collins, X.; Taylor-Mew, J.; White, B.; Ng, J.S.; Tan, C.H. An Extremely Low Noise-Equivalent Power Photoreceiver Using High-Gain InGaAs/AlGaAsSb APDs. J. Light. Technol. 2025, 43, 741–746. [Google Scholar] [CrossRef]
- Jin, X.; Zhao, S.; Craig, A.P.; Tian, O.; Gilder, L.; Yi, X.; Carmichael, M.; Golding, T.; Tan, C.H.; Marshall, A.R.J.; et al. High-performance room temperature 2.75 µm cutoff In0.22Ga0.78As0.19Sb0.81/Al0.9Ga0.1As0.08Sb0.92 avalanche photodiode. Optica 2024, 11, 1632–1638. [Google Scholar] [CrossRef]
- Crosslight Device Simulation Software-General Manual; Crosslight Software Inc.: Vancouver, BC, Canada, 2019.
- Ji, X.; Liu, B.; Xu, Y.; Tang, H.; Li, X.; Gong, H.; Shen, B.; Yang, X.; Han, P.; Yan, F. Deep-Level Traps Induced Dark Currents in Extended Wavelength InxGa1−xAs/InP Photodetector. J. Appl. Phys. 2013, 114, 224502. [Google Scholar] [CrossRef]
- Moussa, R.; Abdiche, A.; Abbar, B.; Guemou, M.; Riane, R.; Murtaza, G.; Omran, S.B.; Khenata, R.; Soyalp, F. Ab Initio Investigation of the Structural, Electronic and Optical Properties of Cubic GaAs1−xPx Ternary Alloys Under Hydrostatic Pressure. J. Electron. Mater. 2015, 44, 4684–4699. [Google Scholar] [CrossRef]
- Kim, J.O.; Nguyen, T.D.; Ku, Z.; Urbas, A.; Kang, S.-W.; Lee, S.J. Short Wavelength Infrared Photodetector and Light Emitting Diode Based on InGaAsSb. In Infrared Technology and Applications XLIII; Andresen, B.F., Fulop, G.F., Hanson, C.M., Miller, J.L., Norton, P.R., Eds.; Proceedings of SPIE: San Francisco, CA, USA, 2017; Volume 10177, p. 101772M. [Google Scholar] [CrossRef]
- Schaefer, S.T.; Gao, S.; Webster, P.T.; Kosireddy, R.R.; Johnson, S.R. Absorption Edge Characteristics of GaAs, GaSb, InAs, and InSb. J. Appl. Phys. 2020, 127, 165705. [Google Scholar] [CrossRef]
- Craig, A.P.; Jain, M.; Wicks, G.; Golding, T.; Hossain, K.; McEwan, K.; Howle, C.; Percy, B.; Marshall, A.R.J. Short-Wave Infrared Barriode Detectors Using InGaAsSb Absorption Material Lattice Matched to GaSb. Appl. Phys. Lett. 2015, 106, 201103. [Google Scholar] [CrossRef]
- Shim, K.; Rabitz, H.; Dutta, P. Band Gap and Lattice Constant of GaxIn1−xAsySb1−y. J. Appl. Phys. 2000, 88, 7157–7161. [Google Scholar] [CrossRef]
- Vurgaftman, I.; Meyer, J.R.; Ram-Mohan, L.R. Band Parameters for III–V Compound Semiconductors and Their Alloys. J. Appl. Phys. 2001, 89, 5815–5875. [Google Scholar] [CrossRef]
- Manyk, T.; Rutkowski, J.; Kopytko, M.; Kłos, K.; Martyniuk, P. Theoretical Study of Quaternary nBp InGaAsSb SWIR Detectors for Room Temperature Condition. Materials 2024, 17, 5482. [Google Scholar] [CrossRef]
- Chynoweth, A.G. Ionization Rates for Electrons and Holes in Silicon. Phys. Rev. 1958, 109, 1537–1540. [Google Scholar] [CrossRef]
Parameters | Electron | Hole |
SRH lifetime (ns) | 250 | 250 |
Radiative coefficient (cm3/s) | 1.0 × 10−10 | 1.0 × 10−10 |
Auger coefficient (cm6/s) | 1.0 × 10−28 | 1.0 × 10−28 |
Impact coefficient a (cm−1) | 4.0 × 106 | 2.2 × 106 |
Impact coefficient b (V/cm) | 1.8 × 106 | 3.0 × 106 |
Effective masses, (me;mh)/m0; | 0.036 | 0.415/0.035 |
Layer | Material | Thickness (nm) | Doping Concentration (cm−3)/Type | Energy Gap (eV) | Name of Layer |
---|---|---|---|---|---|
8 | GaSb | 100 | 2 × 1018/p | 0.72 | Contact |
7 | Al0.20Ga0.80Sb | 100 | 2 × 1016/p | 0.93 | Barrier |
6 | In0.14Ga0.86As0.10Sb0.90 | 2000 | 1 × 1015/p | 0.56 | Absorber |
5 | In0.10Ga0.90As0.10Sb0.90 | 100 | 1 × 1015/p | 0.58 | Gradient |
4 | In0.10Ga0.90As0.10Sb0.90 | 60 | 8 × 1017/p | 0.58 | Charge |
3 | In0.05Ga0.95As0.10Sb0.90 | 200 | 1 × 1016/p | 0.62 | Multiplication |
2 | In0.05Ga0.95As0.10Sb0.90 | 400 | 2 × 1018/n | 0.62 | Contact |
1 | GaSb | 500 | 2 × 1018/n | 0.72 | Buffer |
Disclaimer/Publisher’s Note: The statements, opinions and data contained in all publications are solely those of the individual author(s) and contributor(s) and not of MDPI and/or the editor(s). MDPI and/or the editor(s) disclaim responsibility for any injury to people or property resulting from any ideas, methods, instructions or products referred to in the content. |
© 2025 by the authors. Licensee MDPI, Basel, Switzerland. This article is an open access article distributed under the terms and conditions of the Creative Commons Attribution (CC BY) license (https://creativecommons.org/licenses/by/4.0/).
Share and Cite
Manyk, T.; Rutkowski, J.; Kłos, K.; Gajowski, N.; Krishna, S.; Martyniuk, P. Effect of Multiplication and Charge Layers on the Gain in InGaAsSb/AlGaAs Avalanche Photodiodes at Room Temperature. Sensors 2025, 25, 2255. https://doi.org/10.3390/s25072255
Manyk T, Rutkowski J, Kłos K, Gajowski N, Krishna S, Martyniuk P. Effect of Multiplication and Charge Layers on the Gain in InGaAsSb/AlGaAs Avalanche Photodiodes at Room Temperature. Sensors. 2025; 25(7):2255. https://doi.org/10.3390/s25072255
Chicago/Turabian StyleManyk, Tetiana, Jarosław Rutkowski, Krzysztof Kłos, Nathan Gajowski, Sanjay Krishna, and Piotr Martyniuk. 2025. "Effect of Multiplication and Charge Layers on the Gain in InGaAsSb/AlGaAs Avalanche Photodiodes at Room Temperature" Sensors 25, no. 7: 2255. https://doi.org/10.3390/s25072255
APA StyleManyk, T., Rutkowski, J., Kłos, K., Gajowski, N., Krishna, S., & Martyniuk, P. (2025). Effect of Multiplication and Charge Layers on the Gain in InGaAsSb/AlGaAs Avalanche Photodiodes at Room Temperature. Sensors, 25(7), 2255. https://doi.org/10.3390/s25072255