Impact of Aging and Visual Input on Postural Stability in Dogs: Insights from Center-of-Pressure Analysis
Abstract
1. Introduction
2. Materials and Methods
2.1. Approval and Consent
2.2. Animals and Inclusion Criteria
2.3. Equipment and Measurement Procedure
2.4. Objective Gait Analysis
2.5. Static Posturography
2.6. Parameters Under Investigation
- The mean speed (m/s) and acceleration (m/s2) were calculated for the left forelimb;
- The symmetry index (SI), expressed as a percentage (SI%), was calculated for both parameters (PFz and IFz) according to the following equation modified from Budsberg et al. [49]:
- Base of support (BOS)—area enclosed by the coordinates of the center of the paws, in cm2.
- Base of support length (BOS L)—distance between the center of the fore- and hindlimbs, in cm.
- Base of support width (BOS W)—distance between the center of the left and right limbs, in cm.
- Craniocaudal displacement—Mean deviation on the craniocaudal axis. This was normalized to the BOS L and expressed as a percentage (CCD%).
- Mediolateral displacement—Mean deviation on the lateral axis. This was normalized to the BOS W and expressed as a percentage (MLD%).
- Statokinesiogram length—The length of the line that joins the points of the COP trajectory. This was normalized to the BOS and expressed as a percentage (L%).
- Support surface or statokinesiogram—The area determined by an ellipse that contains 90% of the points of the COP trajectory. This was normalized to the BOS and expressed as a percentage (SS%).
- Average speed (AS) (mm/s) of COP sway.
Romberg Index
2.7. Statistical Analysis
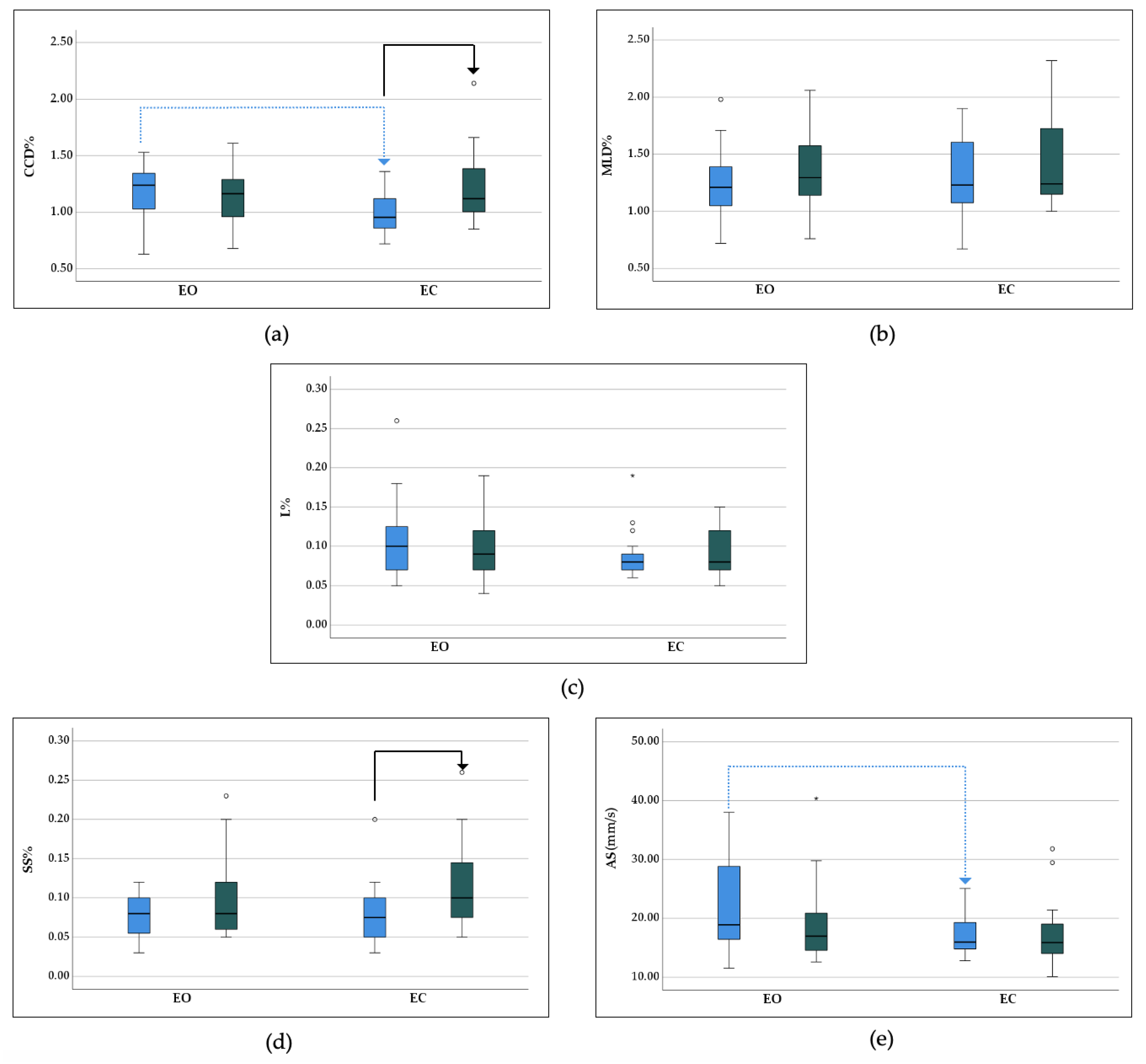
3. Results
3.1. Base of Support
3.2. Center of Pressure
3.3. Romberg Index
4. Discussion
5. Conclusions
Supplementary Materials
Author Contributions
Funding
Institutional Review Board Statement
Informed Consent Statement
Data Availability Statement
Acknowledgments
Conflicts of Interest
Abbreviations
| AS | average speed |
| BOS | base of support |
| BOS L | base of support length |
| BOS W | base of support width |
| CCD | craniocaudal displacement |
| CCDR | Canine Cognitive Dysfunction Rating |
| COP | center of pressure |
| EC | eyes closed |
| EO | eyes open |
| FLS | fractional life span |
| IFz | vertical impulse |
| L | statokinesiogram length |
| MLD | mediolateral displacement |
| PFz | peak vertical force |
| PS | postural stability |
| RI | Romberg index |
| SI | symmetry index |
| SS | support surface |
References
- Pollock, A.S.; Durward, B.R.; Rowe, P.J.; Paul, J.P. What is balance? Clin. Rehabil. 2000, 14, 402–406. [Google Scholar] [CrossRef] [PubMed]
- Winter, D.A. Human balance and posture control during standing and walking. Gait Posture 1995, 3, 193–214. [Google Scholar] [CrossRef]
- Richmond, S.B.; Fling, B.W.; Lee, H.; Peterson, D.S. The assessment of center of mass and center of pressure during quiet stance: Current applications and future directions. J. Biomech. 2021, 123, 110485. [Google Scholar] [CrossRef]
- Faraldo-García, A.; Santos-Pérez, S.; Crujeiras-Casais, R.; Labella-Caballero, T.; Soto-Varela, A. Influence of age and gender in the sensory analysis of balance control. Eur. Arch. Oto Rhino Laryngol. 2012, 269, 673–677. [Google Scholar] [CrossRef]
- Koivunen, K.; Löppönen, A.; Palmberg, L.; Rantalainen, T.; Rantanen, T.; Karavirta, L. Autonomic nervous system and postural control regulation during orthostatic test as putative markers of physical resilience among community-dwelling older adults. Exp. Gerontol. 2023, 182, 112292. [Google Scholar] [CrossRef]
- Henry, S.M.; Fung, J.; Horak, F.B.; Pienciak-Siewert, A.; Barletta, A.J.; Ahmed, A.A.; Honeycutt, C.F.; Nichols, T.R.; Nardelli, P.; Cope, T.C.; et al. Effect of stance width on multidirectional postural responses. J. Neurophysiol. 2001, 85, 559–570. [Google Scholar] [CrossRef]
- Bodkin, S.G.; Slater, L.V.; Norte, G.E.; Goetschius, J.; Hart, J.M. ACL reconstructed individuals do not demonstrate deficits in postural control as measured by single-leg balance. Gait Posture 2018, 66, 296–299. [Google Scholar] [CrossRef]
- Kirsch, A.N.; Bodkin, S.G.; Saliba, S.A.; Hart, J.M. Measures of Agility and Single-Legged Balance as Clinical Assessments in Patients with Anterior Cruciate Ligament Reconstruction and Healthy Individuals. J. Athl. Train. 2019, 54, 1260–1268. [Google Scholar] [CrossRef]
- Novaes, M.; Carvalho, A.; Sauer, J.F.; Brech, G.C.; Helito, C.P.; João, S.M.A. Postural control during single leg stance in individuals with clinical indication for combined reconstruction of the anterior cruciate and the anterolateral ligaments of the knee: A cross-sectional study. BMC Musculoskelet. Disord. 2022, 23, 383. [Google Scholar] [CrossRef]
- Berg, K. Measuring balance in the elderly: Preliminary development of an instrument. Physiother. Can. 1989, 41, 304–311. [Google Scholar] [CrossRef]
- Jonsson, E.; Seiger, A.; Hirschfeld, H. Postural steadiness and weight distribution during tandem stance in healthy young and elderly adults. Clin. Biomech. 2005, 20, 202–208. [Google Scholar] [CrossRef] [PubMed]
- Tesio, L.; Perucca, L.; Franchignoni, F.P.; Battaglia, M.A. A short measure of balance in multiple sclerosis: Validation through Rasch analysis. Funct. Neurol. 1997, 12, 255–265. [Google Scholar] [PubMed]
- Iqbal, K. Mechanisms and models of postural stability and control. In Proceedings of the 2011 Annual International Conference of the IEEE Engineering in Medicine and Biology Society, Boston, MA, USA, 30 August–3 September 2011; pp. 7837–7840. [Google Scholar] [CrossRef]
- Horak, F.B.; Shupert, C.L.; Mirka, A. Components of postural dyscontrol in the elderly: A review. Neurobiol. Aging 1989, 10, 727–738. [Google Scholar] [CrossRef]
- Tomita, H.; Kuno, S.; Kawaguchi, D.; Nojima, O. Limits of Stability and Functional Base of Support While Standing in Community-Dwelling Older Adults. J. Mot. Behav. 2021, 53, 83–91. [Google Scholar] [CrossRef]
- Conner, N.O.; Haworth, J.L.; Nolff, M.R.; Chander, H.; Goble, D.J. Six Weeks of at Home BTrackS Target Tracking Training Induces Sustained Dynamic Balance Improvement in Healthy Young Adults. Med. Devices Evid. Res. 2023, 16, 81–89. [Google Scholar] [CrossRef]
- Tanaka, H.; Uetake, T. Characteristics of postural sway in older adults standing on a soft surface. J. Hum. Ergol. 2005, 34, 35–40. [Google Scholar]
- Maki, B.E.; Cheng, K.C.-C.; Mansfield, A.; Scovil, C.Y.; Perry, S.D.; Peters, A.L.; McKay, S.; Lee, T.; Marquis, A.; Corbeil, P.; et al. Preventing falls in older adults: New interventions to promote more effective change-in-support balance reactions. J. Electromyogr. Kinesiol. 2008, 18, 243–254. [Google Scholar] [CrossRef][Green Version]
- McKenzie, B.A.; Chen, F.L. Assessment and Management of Declining Physical Function in Aging Dogs. Top. Companion Anim. Med. 2022, 51, 100732. [Google Scholar] [CrossRef]
- Bezalel, G.; Nachoum Arad, G.; Plotnik, M.; Friedman, J. Voluntary step execution in patients with knee osteoarthritis: Symptomatic vs. non-symptomatic legs. Gait Posture 2021, 83, 60–66. [Google Scholar] [CrossRef]
- Rambaud, A.J.M.; Semay, B.; Samozino, P.; Morin, J.-B.; Testa, R.; Philippot, R.; Rossi, J.; Edouard, P. Criteria for Return to Sport after Anterior Cruciate Ligament reconstruction with lower reinjury risk (CR’STAL study): Protocol for a prospective observational study in France. BMJ Open 2017, 7, e015087. [Google Scholar] [CrossRef]
- Schweizer, N.; Strutzenberger, G.; Franchi, M.V.; Farshad, M.; Scherr, J.; Spörri, J. Screening Tests for Assessing Athletes at Risk of ACL Injury or Reinjury-A Scoping Review. Int. J. Environ. Res. Public Health 2022, 19, 2864. [Google Scholar] [CrossRef] [PubMed]
- Molka, A.Z.; Lisiński, P.; Huber, J. Visual biofeedback exercises for improving body balance control after anterior cruciate ligament reconstruction. J. Phys. Ther. Sci. 2015, 27, 2357–2360. [Google Scholar] [CrossRef] [PubMed][Green Version]
- Zemkova, E.; Vlašič, M. The Effect of Instability Resistance Training on Neuromuscular Performance in Athletes after Anterior Cruciate Ligament Injury. Sport Sci. 2009, 2, 17–23. [Google Scholar]
- Palmieri, R.M.; Ingersoll, C.D.; Stone, M.B.; Krause, B.A. Center-of-Pressure Parameters Used in the Assessment of Postural Control. J. Sport Rehabil. 2002, 11, 51–66. [Google Scholar] [CrossRef]
- Aghapour, M.; Affenzeller, N.; Peham, C.; Lutonsky, C.; Tichy, A.; Bockstahler, B. Effect of Vision and Surface Slope on Postural Sway in Healthy Adults: A Prospective Cohort Study. Life 2024, 14, 227. [Google Scholar] [CrossRef]
- Carrillo, J.M.; Manera, M.E.; Rubio, M.; Sopena, J.; Santana, A.; Vilar, J.M. Posturography and dynamic pedobarography in lame dogs with elbow dysplasia and cranial cruciate ligament rupture. BMC Vet. Res. 2018, 14, 108. [Google Scholar] [CrossRef]
- Manera, M.E.; Carrillo, J.M.; Batista, M.; Rubio, M.; Sopena, J.; Santana, A.; Vilar, J.M. Static Posturography: A New Perspective in the Assessment of Lameness in a Canine Model. PLoS ONE 2017, 12, e0170692. [Google Scholar] [CrossRef]
- Pitti, L.; Oosterlinck, M.; Díaz-Bertrana, M.L.; Carrillo, J.M.; Rubio, M.; Sopena, J.; Santana, A.; Vilar, J.M. Assessment of static posturography and pedobarography for the detection of unilateral forelimb lameness in ponies. BMC Vet. Res. 2018, 14, 151. [Google Scholar] [CrossRef]
- Lutonsky, C.; Peham, C.; Mucha, M.; Reicher, B.; Gaspar, R.; Tichy, A.; Bockstahler, B. External mechanical perturbations challenge postural stability in dogs. Front. Vet. Sci. 2023, 10, 1249951. [Google Scholar] [CrossRef]
- López, S.; Vilar, J.M.; Rubio, M.; Sopena, J.J.; Santana, A.; Rodríguez, O.; Rodríguez-Altonaga, J.A.; Carrillo, J.M. Pedobarography: A novel approach to test the efficacy of treatments for lameness; an experience with mavacoxib in dogs with elbow osteoarthritis. BMC Vet. Res. 2019, 15, 193. [Google Scholar] [CrossRef]
- López, S.; Vilar, J.M.; Rubio, M.; Sopena, J.J.; Damiá, E.; Chicharro, D.; Santana, A.; Carrillo, J.M. Center of pressure limb path differences for the detection of lameness in dogs: A preliminary study. BMC Vet. Res. 2019, 15, 138. [Google Scholar] [CrossRef] [PubMed]
- Mondino, A.; Wagner, G.; Russell, K.; Lobaton, E.; Griffith, E.; Gruen, M.; Lascelles, B.D.X.; Olby, N.J. Static posturography as a novel measure of the effects of aging on postural control in dogs. PLoS ONE 2022, 17, e0268390. [Google Scholar] [CrossRef] [PubMed]
- Clayton, H.M.; Buchholz, R.; Nauwelaerts, S. Relationship between morphological and stabilographic variables in standing horses. Vet. J. 2013, 198 (Suppl. 1), e65–e69. [Google Scholar] [CrossRef]
- Clayton, H.M.; Nauwelaerts, S. Effect of blindfolding on centre of pressure variables in healthy horses during quiet standing. Vet. J. 2014, 199, 365–369. [Google Scholar] [CrossRef]
- Nauwelaerts, S.; Malone, S.R.; Clayton, H.M. Development of postural balance in foals. Vet. J. 2013, 198 (Suppl. 1), e70–e74. [Google Scholar] [CrossRef]
- Dewolf, A.H.; Ivanenko, Y.P.; Mesquita, R.M.; Willems, P.A. Postural control in the elephant. J. Exp. Biol. 2021, 224, jeb243648. [Google Scholar] [CrossRef]
- Shaheen, A.F.; Lins, D.; Toledo, T.; Gómez Álvarez, C.B. Postural stability measures in healthy miniature Dachshunds obtained using a pressure mat and a force platform: A validity and reliability study. BMC Vet. Res. 2023, 19, 79. [Google Scholar] [CrossRef]
- Aghapour, M.; Affenzeller, N.; Lutonsky, C.; Peham, C.; Tichy, A.; Bockstahler, B. A validation study to analyze the reliability of center of pressure data in static posturography in dogs. Front. Vet. Sci. 2024, 11, 1353824. [Google Scholar] [CrossRef]
- Wolszky, V.; Zablotski, Y.; Fischer, A.; Lauer, S. Balance Assessment on a Modified Posturomed Platform in Healthy Dogs. Vet. Sci. 2024, 11, 498. [Google Scholar] [CrossRef]
- Quijoux, F.; Vienne-Jumeau, A.; Bertin-Hugault, F.; Zawieja, P.; Lefèvre, M.; Vidal, P.-P.; Ricard, D. Center of pressure displacement characteristics differentiate fall risk in older people: A systematic review with meta-analysis. Ageing Res. Rev. 2020, 62, 101117. [Google Scholar] [CrossRef]
- Paillard, T.; Noé, F. Techniques and Methods for Testing the Postural Function in Healthy and Pathological Subjects. Biomed. Res. Int. 2015, 2015, 891390. [Google Scholar] [CrossRef] [PubMed]
- Błaszczyk, J.W.; Beck, M.; Sadowska, D. Assessment of postural stability in young healthy subjects based on directional features of posturographic data: Vision and gender effects. Acta Neurobiol. Exp. 2014, 74, 433–442. [Google Scholar] [CrossRef]
- Greer, K.A.; Canterberry, S.C.; Murphy, K.E. Statistical analysis regarding the effects of height and weight on life span of the domestic dog. Res. Vet. Sci. 2007, 82, 208–214. [Google Scholar] [CrossRef]
- Wrightson, R.; Albertini, M.; Pirrone, F.; McPeake, K.; Piotti, P. The Relationship between Signs of Medical Conditions and Cognitive Decline in Senior Dogs. Animals 2023, 13, 2203. [Google Scholar] [CrossRef]
- Reicher, B.; Tichy, A.; Bockstahler, B. Center of Pressure in the Paws of Clinically Sound Dogs in Comparison with Orthopedically Diseased Dogs. Animals 2020, 10, 1366. [Google Scholar] [CrossRef]
- Salvin, H.E.; McGreevy, P.D.; Sachdev, P.S.; Valenzuela, M.J. The canine cognitive dysfunction rating scale (CCDR): A data-driven and ecologically relevant assessment tool. Vet. J. 2011, 188, 331–336. [Google Scholar] [CrossRef]
- Charalambous, D.; Lutonsky, C.; Keider, S.; Tichy, A.; Bockstahler, B. Vertical ground reaction forces, paw pressure distribution, and center of pressure during heelwork in working dogs competing in obedience. Front. Vet. Sci. 2023, 10, 1106170. [Google Scholar] [CrossRef] [PubMed]
- Budsberg, S.C.; Jevens, D.J.; Brown, J.; Foutz, T.L.; DeCamp, C.E.; Reece, L. Evaluation of limb symmetry indices, using ground reaction forces in healthy dogs. Am. J. Vet. Res. 1993, 54, 1569–1574. [Google Scholar] [CrossRef]
- Hernandez, M.E.; Snider, J.; Stevenson, C.; Cauwenberghs, G.; Poizner, H. A Correlation-Based Framework for Evaluating Postural Control Stochastic Dynamics. IEEE Trans. Neural Syst. Rehabil. Eng. 2015, 24, 551–561. [Google Scholar] [CrossRef]
- Lacour, M.; Barthelemy, J.; Borel, L.; Magnan, J.; Xerri, C.; Chays, A.; Ouaknine, M. Sensory strategies in human postural control before and after unilateral vestibular neurotomy. Exp. Brain Res. 1997, 115, 300–310. [Google Scholar] [CrossRef]
- Tjernström, F.; Björklund, M.; Malmström, E.-M. Romberg ratio in quiet stance posturography—Test to retest reliability. Gait Posture 2015, 42, 27–31. [Google Scholar] [CrossRef] [PubMed]
- Isableu, B.; Ohlmann, T.; Crémieux, J.; Amblard, B. Differential approach to strategies of segmental stabilisation in postural control. Exp. Brain Res. 2003, 150, 208–221. [Google Scholar] [CrossRef] [PubMed]
- Baratto, L.; Morasso, P.G.; Re, C.; Spada, G. A new look at posturographic analysis in the clinical context: Sway-density versus other parameterization techniques. Mot. Control 2002, 6, 246–270. [Google Scholar] [CrossRef]
- Low, D.C.; Walsh, G.S.; Arkesteijn, M. Effectiveness of Exercise Interventions to Improve Postural Control in Older Adults: A Systematic Review and Meta-Analyses of Centre of Pressure Measurements. Sports Med. 2017, 47, 101–112. [Google Scholar] [CrossRef]
- Frye, C.; Carr, B.J.; Lenfest, M.; Miller, A. Canine Geriatric Rehabilitation: Considerations and Strategies for Assessment, Functional Scoring, and Follow-Up. Front. Vet. Sci. 2022, 9, 842458. [Google Scholar] [CrossRef]


| Group | Body Mass (kg) | Height (cm) | Length (cm) | CCDR |
|---|---|---|---|---|
| G1 | 21.87 ± 5.66 | 54.27 ± 6.78 | 57.08 ± 5.78 | 34.50 ± 1.24 |
| G2 | 22.34 ± 6.37 | 52.90 ± 6.63 | 55.81 ± 6.58 | 36.30 ± 4.43 |
| Condition | Group | CCD% | MLD% | L% | SS% | AS (mm/s) |
|---|---|---|---|---|---|---|
| EO | G1 | 1.18 ± 0.18 # | 1.23 ± 0.35 | 0.11 ± 0.03 | 0.08 ± 0.04 | 21.90 ± 3.33 # |
| G2 | 1.14 ± 0.30 | 1.37 ± 0.43 | 0.10 ± 0.03 | 0.10 ± 0.05 | 19.18 ± 5.46 | |
| EC | G1 | 0.99 ± 0.23 *# | 1.30 ± 0.32 | 0.09 ± 0.05 | 0.08 ± 0.03 * | 17.08 ± 7.69 # |
| G2 | 1.22 ± 0.27 * | 1.46 ± 0.35 | 0.09 ± 0.03 | 0.11 ± 0.05 * | 17.18 ± 7.00 |
| Group | CCD% | MLD% | L% | SS% | AS |
|---|---|---|---|---|---|
| G1 | 0.019 | 0.531 | 0.074 | 0.917 | 0.015 |
| G2 | 0.307 | 0.466 | 0.466 | 0.349 | 0.305 |
| Condition | CCD% | MLD% | L% | SS% | AS |
|---|---|---|---|---|---|
| EO | 0.647 | 0.192 | 0.438 | 0.180 | 0.248 |
| EC | 0.005 | 0.223 | 0.833 | 0.032 | 0.947 |
| Group | RI CCD% | RI MLD% | RI L% | RI SS% | RI AS |
|---|---|---|---|---|---|
| G1 | 87.31 ± 23.39 * | 111.33 ± 36.83 | 87.84 ± 26.19 | 107.58 ± 55.99 | 84.67 ± 24.71 |
| G2 | 109.75 ± 23.58 * | 109.22 ± 29.58 | 93.60 ± 25.74 | 121.87 ± 37.05 | 93.21 ± 22.83 |
| p-value | 0.004 | 0.843 | 0.487 | 0.347 | 0.263 |
Disclaimer/Publisher’s Note: The statements, opinions and data contained in all publications are solely those of the individual author(s) and contributor(s) and not of MDPI and/or the editor(s). MDPI and/or the editor(s) disclaim responsibility for any injury to people or property resulting from any ideas, methods, instructions or products referred to in the content. |
© 2025 by the authors. Licensee MDPI, Basel, Switzerland. This article is an open access article distributed under the terms and conditions of the Creative Commons Attribution (CC BY) license (https://creativecommons.org/licenses/by/4.0/).
Share and Cite
Lutonsky, C.; Peham, C.; Affenzeller, N.; Aghapour, M.; Wegscheider, J.; Tichy, A.; Bockstahler, B. Impact of Aging and Visual Input on Postural Stability in Dogs: Insights from Center-of-Pressure Analysis. Sensors 2025, 25, 1300. https://doi.org/10.3390/s25051300
Lutonsky C, Peham C, Affenzeller N, Aghapour M, Wegscheider J, Tichy A, Bockstahler B. Impact of Aging and Visual Input on Postural Stability in Dogs: Insights from Center-of-Pressure Analysis. Sensors. 2025; 25(5):1300. https://doi.org/10.3390/s25051300
Chicago/Turabian StyleLutonsky, Christiane, Christian Peham, Nadja Affenzeller, Masoud Aghapour, Julia Wegscheider, Alexander Tichy, and Barbara Bockstahler. 2025. "Impact of Aging and Visual Input on Postural Stability in Dogs: Insights from Center-of-Pressure Analysis" Sensors 25, no. 5: 1300. https://doi.org/10.3390/s25051300
APA StyleLutonsky, C., Peham, C., Affenzeller, N., Aghapour, M., Wegscheider, J., Tichy, A., & Bockstahler, B. (2025). Impact of Aging and Visual Input on Postural Stability in Dogs: Insights from Center-of-Pressure Analysis. Sensors, 25(5), 1300. https://doi.org/10.3390/s25051300

