Effects of Skin Blood Flow Fluctuations on Non-Invasive Glucose Measurement and a Feasible Blood Flow Control Method
Abstract
1. Introduction
2. Methods
2.1. Glucose Measurement Based on Diffuse Reflectance Spectroscopy
2.2. NIR Diffuse Reflectance Spectra Caused by Blood Flow Change
2.2.1. Monte Carlo Simulation of the Spectrum Caused by Skin Blood Flow Variation
2.2.2. Experiment Measuring the Spectrum of Skin Blood Variation
2.3. The Blood Flow Pre-Stimulation Method Using High-Temperature Heating
2.4. Human Validation Experiment Using OGTT
3. Results
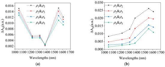
3.1. Monte Carlo Simulation Results and Experimental Spectra Caused by Blood Flow Changes
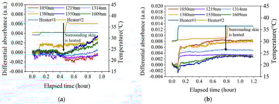
3.2. Test Results Under Blood Flow Interference
3.3. OGTT Results with and Without Blood Flow Pre-Stimulation
4. Discussion
5. Conclusions
Author Contributions
Funding
Institutional Review Board Statement
Informed Consent Statement
Data Availability Statement
Conflicts of Interest
References
- Rawer, R.; Stork, W.; Kreiner, C.F. Non-invasive polarimetric measurement of glucose concentration in the anterior chamber of the eye. Graefes Arch. Clin. Exp. Ophthalmol. 2004, 242, 1017–1023. [Google Scholar] [CrossRef] [PubMed]
- Hadley, K.C.; Vitkin, I.A. Optical rotation and linear and circular depolarization rates in diffusively scattered light from chiral, racemic, and achiral turbid media. J. Biomed. Opt. 2002, 7, 291–299. [Google Scholar] [CrossRef] [PubMed]
- Malik, B.H.; Coté, G.L. Real-time, closed-loop dual-wavelength optical polarimetry for glucose monitoring. J. Biomed. Opt. 2010, 15, 017002. [Google Scholar] [CrossRef] [PubMed]
- Malik, B.H.; Coté, G.L. Characterizing dual wavelength polarimetry through the eye for monitoring glucose. Biomed. Opt. Express 2010, 1, 1247–1258. [Google Scholar] [CrossRef]
- Yoshida, S.; Yoshida, M.; Yamamoto, M.; Takeda, J. Optical screening of diabetes mellitus using non-invasive Fourier-transform infrared spectroscopy technique for human lip. J. Pharm. Biomed. Anal. 2013, 76, 169–176. [Google Scholar] [CrossRef]
- Liakat, S.; Bors, K.A.; Xu, L.; Woods, C.M.; Doyle, J.; Gmachl, C.F. Noninvasive in vivo glucose sensing on human subjects using mid-infrared light. Biomed. Opt. Express 2014, 5, 2397–2404. [Google Scholar] [CrossRef]
- Maruo, K.; Yamada, Y. Near-infrared noninvasive blood glucose prediction without using multivariate analyses: Introduction of imaginary spectra due to scattering change in the skin. J. Biomed. Opt. 2015, 20, 047003. [Google Scholar] [CrossRef]
- Laufer, J.; Simpson, R.; Kohl, M.; Essenpreis, M.; Cope, M. Effect of temperature on the optical properties of ex vivo human dermis and subdermis. Phys. Med. Biol. 1998, 43, 2479–2489. [Google Scholar] [CrossRef]
- Larin, K.V.; Eledrisi, M.S.; Motamedi, M.; Esenaliev, R.O. Noninvasive blood glucose monitoring with optical coherence tomography: A pilot study in human subjects. Diabetes Care 2002, 25, 2263–2267. [Google Scholar] [CrossRef]
- Enejder, A.M.; Scecina, T.G.; Oh, J.; Hunter, M.; Shih, W.C.; Sasic, S.; Horowitz, G.L.; Feld, M.S. Raman spectroscopy for noninvasive glucose measurements. J. Biomed. Opt. 2005, 10, 031114. [Google Scholar] [CrossRef]
- Scholtes-Timmerman, M.J.; Bijlsma, S.; Fokkert, M.J.; Slingerland, R.; van Veen, S.J. Raman spectroscopy as a promising tool for noninvasive point-of-care glucose monitoring. J. Diabetes Sci. Technol. 2014, 8, 974–979. [Google Scholar] [CrossRef] [PubMed]
- Barman, I.; Kong, C.R.; Singh, G.P.; Dasari, R.R.; Feld, M.S. Accurate spectroscopic calibration for noninvasive glucose monitoring by modeling the physiological glucose dynamics. Anal. Chem. 2010, 82, 6104–6114. [Google Scholar] [CrossRef] [PubMed]
- Kottmann, J.; Rey, J.M.; Sigrist, M.W. Mid-Infrared Photoacoustic Detection of Glucose in Human Skin: Towards Non-Invasive Diagnostics. Sensors 2016, 16, 1663. [Google Scholar] [CrossRef]
- Weiss, R.; Yegorchikov, Y.; Shusterman, A.; Raz, I. Noninvasive continuous glucose monitoring using photoacoustic technology-results from the first 62 subjects. Diabetes Technol. Ther. 2007, 9, 68–74. [Google Scholar] [CrossRef]
- Pleitez, M.A.; Lieblein, T.; Bauer, A.; Hertzberg, O.; von Lilienfeld-Toal, H.; Mäntele, W. In vivo noninvasive monitoring of glucose concentration in human epidermis by mid-infrared pulsed photoacoustic spectroscopy. Anal. Chem. 2013, 85, 1013–1020. [Google Scholar] [CrossRef]
- Yadav, J.; Rani, A.; Singh, V.; Murari, B.M. Prospects and limitations of non-invasive blood glucose monitoring using near-infrared spectroscopy. Biomed. Signal Process. Control 2015, 18, 214–227. [Google Scholar] [CrossRef]
- Caduff, A.; Talary, M.S.; Zakharov, P. Cutaneous blood perfusion as a perturbing factor for noninvasive glucose monitoring. Diabetes Technol. Ther. 2020, 12, 1–9. [Google Scholar] [CrossRef]
- Li, L.N.; Li, Q.B.; Zhang, G.J. A Weak Signal Extraction Method for Human Blood Glucose Noninvasive Measurement using Near Infrared Spectroscopy. J. Infrared Milli. Terahz. Waves 2009, 30, 1191–1204. [Google Scholar] [CrossRef]
- Han, T.; Liu, J.; Liu, R.; Chen, W.; Yao, M.; Liu, X.; Ge, Q.; Zhang, Z.; Li, C.; Wang, Y.; et al. In vivo Near-infrared noninvasive glucose measurement and detection in humans. Appl. Spectrosc. 2022, 76, 1100–1111. [Google Scholar] [CrossRef]
- Ge, Q.; Han, T.; Liu, R.; Zhang, Z.; Sun, D.; Liu, J.; Xu, K. Evaluation and Validation on Sensitivity of Near-Infrared Diffuse Reflectance in Non-Invasive Human Blood Glucose Measurement. Sensors 2024, 24, 5879. [Google Scholar] [CrossRef]
- Scherrer, U.; Randin, D.; Vollenweider, P.; Vollenweider, L.; Nicod, P. Nitric oxide release accounts for insulin’s vascular effects in humans. J. Clin. Investig. 1994, 94, 2511–2515. [Google Scholar] [CrossRef] [PubMed]
- Steinberg, H.O.; Brechtel, G.; Johnson, A.; Fineberg, N.; Baron, A.D. Insulin-mediated skeletal muscle vasodilation is nitric oxide dependent. A novel action of insulin to increase nitric oxide release. J. Clin. Investig. 1994, 94, 1172–1179. [Google Scholar] [CrossRef] [PubMed]
- Olver, T.D.; Mattar, L.; Grisé, K.N.; Twynstra, J.; Noble, E.G.; Lacefield, J.C.; Shoemakeret, J.K. Glucose-stimulated insulin secretion causes an insulin-dependent nitric oxide–mediated vasodilation in the blood supply of the rat sciatic nerve. Am. J. Physiol. Regul. Integr. Comp. Physiol. 2013, 305, R157–R163. [Google Scholar] [CrossRef]
- Russell, R.D.; Hu, D.; Greenaway, T.; Sharman, J.E.; Rattigan, S.; Richards, S.M.; Keske, M.A. Oral glucose challenge impairs skeletal muscle microvascular blood flow in healthy people. Am. J. Physiol.-Endocrinol. Metab. 2018, 315, E307–E315. [Google Scholar] [CrossRef]
- Loader, J.; Meziat, C.; Watts, R.; Lorenzen, C.; Sigaudo -Roussel, D.; Stewart, S.; Reboul, C.; Meyer, G.; Walther, G. Effects of sugar-sweetened beverage consumption on microvascular and macrovascular function in a healthy population. Arterioscler. Thromb. Vasc. Biol. 2017, 37, 1250–1260. [Google Scholar] [CrossRef]
- Oh, P.C.; Sakuma, I.; Hayashi, T.; Kwang, K.K. Angiotensin converting enzyme inhibitors remain the first treatment of choice. Korean J. Intern. Med. 2016, 31, 237. [Google Scholar] [CrossRef]
- Saptari, V.; Youcef-Toumi, K. Measurements and quality assessments of near-infrared plasma glucose spectra in the combination band region using a scanning filter spectrometer. J. Biomed. Opt. 2005, 10, 064039. [Google Scholar] [CrossRef]
- Shvartsman, L.D.; Fine, I. Light-Scattering Changes Caused by RBC Aggregation: Physical Basis for New Approach to Noninvasive Blood Count. In Proceedings of the Optical Diagnostics and Sensing of Biological Fluids and Glucose and Cholesterol Monitoring BiOS 2001 The International Symposium on Biomedical Optics, San Jose, CA, USA, 13 June 2001; pp. 131–142. [Google Scholar] [CrossRef]
- Heise, H.M.; Delbeck, S.; Marbach, R. Noninvasive monitoring of glucose using near-infrared reflection spectroscopy of skin—Constraints and effective novel strategy in multivariate calibration. Biosensors 2021, 11, 64. [Google Scholar] [CrossRef]
- Zhang, G.; Mei, Z.; Zhang, Y.; Ma, X.; Lo, B.; Chen, D. A noninvasive blood glucose monitoring system based on smartphone PPG signal processing and machine learning. IEEE Trans. Ind. Inform. 2020, 16, 7209–7218. [Google Scholar] [CrossRef]
- Goodarzi, M.; Sharma, S.; Ramon, H.; Saeys, W. Multivariate calibration of NIR spectroscopic sensors for continuous glucose monitoring. TrAC Trends Anal. Chem. 2015, 67, 147–158. [Google Scholar] [CrossRef]
- Nesher, R.; Cerasi, E. Modeling phasic insulin release: Immediate and time-dependent effects of glucose. Diabetes 2002, 51, S53–S59. [Google Scholar] [CrossRef] [PubMed]
- Basu, R.; Breda, E.; Oberg, A.L.; Powell, C.C.; Man, C.D.; Basu, A.; Vittone, J.L.; Klee, G.G.; Arora, P.; Jensen, M.D.; et al. Mechanisms of the age-associated deterioration in glucose tolerance: Contribution of alterations in insulin secretion, action, and clearance. Diabetes 2003, 52, 1738–1748. [Google Scholar] [CrossRef] [PubMed]
- Charkoudian, N. Skin blood flow in adult human thermoregulation: How it works, when it does not, and why. Mayo Clin. Proc. 2003, 78, 603–612. [Google Scholar] [CrossRef]
- Levine, A.B.; Punihaole, D.; Levine, T.B. Characterization of the role of nitric oxide and its clinical applications. Cardiology 2012, 122, 55–68. [Google Scholar] [CrossRef] [PubMed]
- Vincent, M.A.; Montagnani, M.; Quon, M.J. Molecular and physiologic actions of insulin related to production of nitric oxide in vascular endothelium. Curr. Diabetes Rep. 2003, 3, 279–288. [Google Scholar] [CrossRef] [PubMed]
- Lowenstein, C.J.; Dinerman, J.L.; Snyder, S.H. Nitric oxide: A physiologic messenger. Ann. Intern. Med. 1994, 120, 227–237. [Google Scholar] [CrossRef]
- Leclercq, B.; Jaimes, E.A.; Raij, L. Nitric oxide synthase and hypertension. Curr. Opin. Nephrol. Hypertens. 2002, 11, 185–189. [Google Scholar] [CrossRef]
- Forst, T.; Kunt, T.; Pohlmann, T.; Goitom, K.; Löbig, M.; Engelbach, M.; Beyer, J.; Pfützner, A. Microvascular skin blood flow following the ingestion of 75 g glucose in healthy individuals. Exp. Clin. Endocrinol. Diabetes 1998, 106, 454–459. [Google Scholar] [CrossRef]
- Zherebtsov, E.; Dremin, V.; Popov, A.; Doronin, A.; Kurakina, D.; Kirillin, M.; Meglinski, I.; Bykov, A. Hyperspectral imaging of human skin aided by artificial neural networks. Biomed. Opt. Express 2019, 10, 3545–3559. [Google Scholar] [CrossRef]
- Meglinski, I.V.; Matcher, S.J. Computer simulation of the skin reflectance spectra. Comput. Methods Programs Biomed. 2003, 70, 179–186. [Google Scholar] [CrossRef]
- Liu, W.; Han, T.; Chen, W.; Chen, J.; Ge, Q.; Sun, D.; Liu, J.; Xu, K. Design Key Points of High-Performance Diffuse Reflectance Optical Sensors for Non-Invasive Blood Glucose Measurement. Sensors 2025, 25, 998. [Google Scholar] [CrossRef]
- Shen, H.; Wang, G. Atetrahedron-based inhomogeneous Monte Carlo optical simulator. Phys. Med. Biol. 2010, 55, 947. [Google Scholar] [CrossRef] [PubMed]
- Hickey, M.; Phillips, J.P.; Kyriacou, P.A. The effect of vascular changes on the photoplethysmographic signal at different hand elevations. Physiol. Meas. 2015, 36, 425. [Google Scholar] [CrossRef]
- Saci, S.; Gregory, W.; McGarr, N.F.; Glen, P.K. Regional cutaneous vasodilator responses to rapid and gradual local heating in young adults. J. Therm. Biol. 2021, 99, 102978. [Google Scholar] [CrossRef] [PubMed]
- Barcroft, H.; Edholm, O.G. The effect of temperature on blood flow and deep temperature in the human forearm. J. Physiol. 1943, 102, 5. [Google Scholar] [CrossRef] [PubMed]
- Minson, C.T.; Berry, L.T.; Joyner, M.J. Nitric oxide and neurally mediated regulation of skin blood flow during local heating. J. Appl. Physiol. 2001, 91, 1619–1626. [Google Scholar] [CrossRef]
- Johnson, J.M.; Kellogg, D.L., Jr. Local thermal control of the human cutaneous circulation. J. Appl. Physiol. 2010, 109, 1229–1238. [Google Scholar] [CrossRef]










| Name | Thickness (cm) | |||||
|---|---|---|---|---|---|---|
| (%) | (%) | |||||
| 1 | Stratum corneum | 0 | 5 | — | — | 0.002 |
| 2 | Living epidermis | 0 | 20 | — | — | 0.008 |
| 3 | Papillary dermis | 4 | 50 | — | — | 0.02 |
| 4 | Upper blood net dermis | 30 | 60 | +50% | +50% | 0.01 |
| 5 | Reticular dermis | 4 | 70 | — | — | 0.16 |
| 6 | Deep blood net dermis | 10 | 70 | +50% | +50% | 0.012 |
| 7 | Subcutaneous tissue | 5 | 70 | — | — | 0.65 |
| Age (Cases) | Gender (Cases) | Baseline Blood Glucose Levels (mmol/L) | Total (Cases) | ||||
|---|---|---|---|---|---|---|---|
| 20 < Age < 30 | 30 < Age < 50 | 50 < Age < 70 | Male | Female | |||
| For OGTT cases with blood flow pre-stimulation | 10 | 10 | 4 | 13 | 11 | 5.0 ± 0.6 | 24 |
| For OGTT cases without blood flow pre-stimulation | 8 | 9 | 4 | 12 | 9 | 4.9 ± 0.7 | 21 |
| R > 0.85 | 0.85 > R > 0.7 | 0.7 > R > 0.5 | 0.5 > R | Average RMSE (mmol/L) | |
|---|---|---|---|---|---|
| For 24 OGTT cases with blood flow pre-stimulation | 8 | 12 | 3 | 1 | 0.91 |
| For 21 OGTT cases without blood flow pre-stimulation | 1 | 3 | 3 | 14 | 6.12 |
Disclaimer/Publisher’s Note: The statements, opinions and data contained in all publications are solely those of the individual author(s) and contributor(s) and not of MDPI and/or the editor(s). MDPI and/or the editor(s) disclaim responsibility for any injury to people or property resulting from any ideas, methods, instructions or products referred to in the content. |
© 2025 by the authors. Licensee MDPI, Basel, Switzerland. This article is an open access article distributed under the terms and conditions of the Creative Commons Attribution (CC BY) license (https://creativecommons.org/licenses/by/4.0/).
Share and Cite
Ge, Q.; Han, T.; Liu, X.; Chen, J.; Liu, W.; Liu, J.; Xu, K. Effects of Skin Blood Flow Fluctuations on Non-Invasive Glucose Measurement and a Feasible Blood Flow Control Method. Sensors 2025, 25, 1162. https://doi.org/10.3390/s25041162
Ge Q, Han T, Liu X, Chen J, Liu W, Liu J, Xu K. Effects of Skin Blood Flow Fluctuations on Non-Invasive Glucose Measurement and a Feasible Blood Flow Control Method. Sensors. 2025; 25(4):1162. https://doi.org/10.3390/s25041162
Chicago/Turabian StyleGe, Qing, Tongshuai Han, Xueying Liu, Jiayu Chen, Wenbo Liu, Jin Liu, and Kexin Xu. 2025. "Effects of Skin Blood Flow Fluctuations on Non-Invasive Glucose Measurement and a Feasible Blood Flow Control Method" Sensors 25, no. 4: 1162. https://doi.org/10.3390/s25041162
APA StyleGe, Q., Han, T., Liu, X., Chen, J., Liu, W., Liu, J., & Xu, K. (2025). Effects of Skin Blood Flow Fluctuations on Non-Invasive Glucose Measurement and a Feasible Blood Flow Control Method. Sensors, 25(4), 1162. https://doi.org/10.3390/s25041162

