Thinned Linear Optical Phased Array Design Through a Pareto-Optimal Synthesis Strategy
Abstract
1. Introduction
2. Mathematical Formulation
- Step 0—Desired Thinned Array Definition. Based on the number of candidate array elements, N, the inter-element spacing d, and the array excitations , the Q features are defined and to be matched in (10). Three user-defined requirements (i.e., ) are reported here: (1) the number of active elements (i.e, ); (2) the SLL (i.e., ); and (3) the HPBW (i.e., ).
- Step 1—Initialization. Under the iteration index , the alphabet/population with K words/individuals, , is firstly generated for sampling the solution-space. Then, for each k-th term, we calculate the corresponding features () of the radiated pattern and fitness functions () based on the corresponding Boolean vector .
- Step 2—Pareto Ranking. The R-level PFs are defined by ranking the individuals according to the Pareto dominance rule (PDR): for each (k, c)-th (k, , ) couple of words, (, ), if , () and there exists a g-th () fitness function such that , then is the non-dominated solution. By selecting the set of non-dominated solutions at the () level based on the PDR, the composition of the r-th level of the PF is formed, with the first level () of the PF being generated by applying the PDR to the entire population . A pre-allocated reference set mechanism is used to choose better diverse solutions within the same r-th () level [37].
- Step 3—Population Update. By updating the iteration index (), a new temporary population with K individuals is generated through a sequence of crossovers and mutations according to the NSGA-III evolutionary strategy. We calculate the corresponding K-size fitness function () and rank all the individuals of and according to Step 2 to form a new population, , with the first K ranked individuals.
- Step 4—Termination Criteria. we repeat Step 2 and Step 3 until the iteration index i reaches the user-defined maximum value I (i.e., ).
- Step 5—Optimal Thinning Computation. A set of (S-sized) optimal trade-off solutions (, ) is generated after convergence. Then, the optimal solution is selected based on the minimum Manhattan distance (MMD) method [38], defined aswhere is the norm and the q-th () elements of () and () are shown as follows:
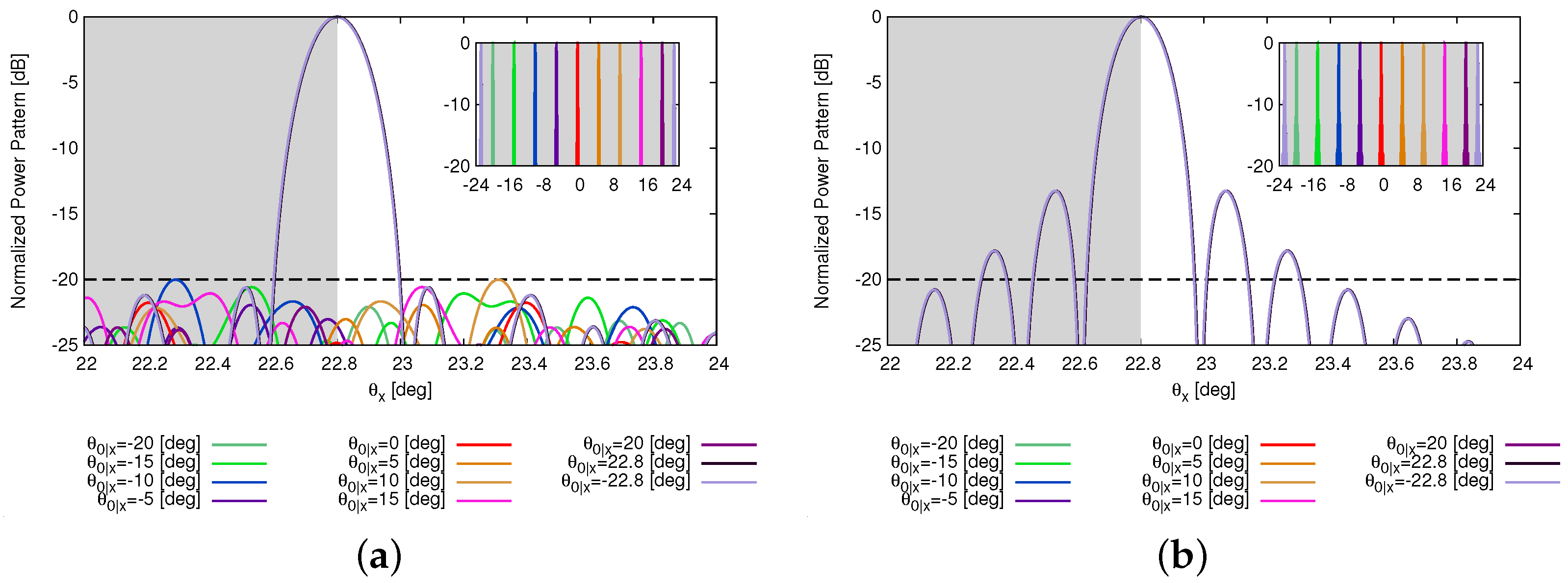
3. Numerical Results
4. Conclusions
- The exploitation of a Pareto-optimal design strategy for the thinning of a linear OPA when considering multiple conflicting requirements such as SLL suppression, HPBW constrains, and the minimization of the number of elements;
- The use of realistic WGA models during the analysis of the thinned OPA in order to investigate the two-dimensional beam steering capability.
Author Contributions
Funding
Institutional Review Board Statement
Informed Consent Statement
Data Availability Statement
Conflicts of Interest
References
- Hsu, C.-Y.; Yiu, G.-Z.; Chang, Y.-C. Free-Space Applications of Silicon Photonics: A Review. Micromachines 2022, 13, 990. [Google Scholar] [CrossRef] [PubMed]
- Poulton, C.V.; Byrd, M.J.; Russo, P.; Timurdogan, E.; Khandaker, M.; Vermeulen, D.; Watts, M.R. Long-Range LiDAR and Free-Space Data Communication with High-Performance Optical Phased Arrays. IEEE J. Sel. Top. Quantum Electron. 2019, 25, 1–8. [Google Scholar] [CrossRef]
- Aflatouni, F.; Abiri, B.; Rekhi, A.; Hajimiri, A. Nanophotonic Projection System. Opt. Express 2015, 23, 5117–5125. [Google Scholar] [CrossRef] [PubMed]
- Gu, D.; Meiners, W.; Wissenbach, K.; Poprawe, R. Laser Additive Manufacturing of Metallic Components: Materials, Processes and Mechanisms. Int. Mater. Rev. 2012, 57, 133–164. [Google Scholar] [CrossRef]
- Ding, Y.; Chen, X.; Duan, Y.; Huang, H.; Zhang, L.; Chang, S.; Guo, X.; Ni, X. Metasurface-Dressed Two-Dimensional on-Chip Waveguide for Free-Space Light Field Manipulation. ACS Photonics 2022, 9, 398–404. [Google Scholar] [CrossRef]
- Poulton, C.V.; Vermeulen, D.; Hosseini, E.; Timurdogan, E.; Su, Z.; Moss, B.; Watts, M.R. Lens-Free Chip-to-Chip Free-Space Laser Communication Link with a Silicon Photonics Optical Phased Array. In Frontiers in Optics; Optica Publishing Group: Washington, DC, USA, 2017; p. FW5A.3. [Google Scholar]
- Zhao, S.; Lian, D.; Li, W.; Chen, J.; Dai, D.; Shi, Y. Low sidelobe silicon optical phased array with Chebyshev amplitude distribution. Nanophotonics 2024, 13, 263–269. [Google Scholar] [CrossRef] [PubMed]
- Hutchison, D.N.; Sun, J.; Doylend, J.K.; Kumar, R.; Heck, J.; Kim, W.; Phare, C.T.; Feshali, A.; Rong, H. High-resolution aliasing-free optical beam steering. Optica 2016, 3, 887–890. [Google Scholar] [CrossRef]
- Luo, G.; Yu, L.; Ma, P.; Wang, R.; Cui, L.; Wang, Z.; Yu, H.; Zhou, X.; Wang, P.; Zhang, Y.; et al. A Large-Scale Passive Optical Phase Array With 1024 Channels. IEEE Photonics Technol. Lett. 2023, 35, 927–930. [Google Scholar] [CrossRef]
- Qiu, H.; Liu, Y.; Meng, X.; Guan, X.; Ding, Y.; Hu, H. Bidirectional high sidelobe suppression silicon optical phased array. Photonics Res. 2023, 11, 659–668. [Google Scholar] [CrossRef]
- Poulton, C.V.; Byrd, M.J.; Russo, P.; Moss, B.; Shatrovoy, O.; Khandaker, M.; Watts, M.R. Coherent LiDAR With an 8192-Element Optical Phased Array and Driving Laser. IEEE J. Sel. Top. Quantum Electron. 2022, 28, 1–8. [Google Scholar] [CrossRef]
- Yu, L.; Ma, P.; Luo, G.; Cui, L.; Zhou, X.; Wang, P.; Zhang, Y.; Pan, J. Adoption of large aperture chirped grating antennas in optical phase array for long distance ranging. Opt. Express 2022, 30, 28112–28120. [Google Scholar] [CrossRef] [PubMed]
- Zhang, Z.; Yu, H.; Chen, B.; Xia, P.; Zhou, Z.; Huang, Q.; Dai, T.; Wang, Y.; Yang, J. A Tri-Layer Si3N4-on-Si Optical Phased Array With High Angular Resolution. IEEE Photonics Technol. Lett. 2022, 34, 1108–1111. [Google Scholar] [CrossRef]
- Wang, Q.; Wang, S.; Jia, L.; Cai, Y.; Yue, W.; Yu, M. Silicon nitride assisted 64 optical phased array based on a SOI platform. Opt. Express 2021, 29, 10509–10517. [Google Scholar] [CrossRef] [PubMed]
- Miller, S.A.; Chang, Y.; Phare, C.T.; Shin, M.C.; Zadka, M.; Roberts, S.P.; Stern, B.; Ji, X.; Mohanty, A.; Gordillo, O.A.J.; et al. Large-scale optical phased array using a low-power multi-pass silicon photonic platform. Optica 2022, 7, 3–6. [Google Scholar] [CrossRef]
- Poulton, C.V.; Timurdogan, E.; Coolbaugh, D.D.; Vermeulen, D. Large-scale silicon nitride nanophotonic phased arrays at infrared and visible wavelengths. Opt. Lett. 2017, 42, 21–24. [Google Scholar] [CrossRef] [PubMed]
- Rocca, P.; Oliveri, G.; Mailloux, R.J.; Massa, A. Unconventional phased array architectures and design methodologies—A review. Proc. IEEE 2016, 104, 544–560. [Google Scholar] [CrossRef]
- Oliveri, G.; Massa, A. Bayesian compressive sampling for pattern synthesis with maximally sparse non-uniform linear arrays. IEEE Trans. Antennas Propag. 2011, 59, 467–481. [Google Scholar] [CrossRef]
- Salucci, M.; Gottardi, G.; Anselmi, N.; Oliveri, G. Planar thinned array design by hybrid analytical-stochastic optimization. IET Microw. Antennas Propag. 2017, 11, 1841–1845. [Google Scholar] [CrossRef]
- Poli, L.; Rocca, P.; Salucci, M.; Massa, A. Reconfigurable thinning for the adaptive control of linear arrays. IEEE Trans. Antennas Propag. 2013, 61, 5068–5077. [Google Scholar] [CrossRef]
- Haupt, R. Reducing grating lobes due to subarray amplitude tapering. IEEE Trans. Antennas Propag. 1985, 33, 846–850. [Google Scholar] [CrossRef]
- Shin, D.; Shin, C.; Lee, J.; Hwang, I.; Otsuka, T.; Byun, H.; Lee, C.; Shim, D.; Lee, E.; Ha, K.; et al. Aperiodic optical phased array based on number theory. Optica Open 2023. [Google Scholar] [CrossRef]
- Wang, Z.; Yu, L.; Yang, Y.; Ma, P.; Cui, L.; Luo, S.; Ji, Z.; Song, Z.; Su, Y.; Pan, J.; et al. Wide field of view optical phased array with a high-directionality antenna. Opt. Express 2023, 31, 21192–21199. [Google Scholar] [CrossRef]
- Xu, W.; Guo, Y.; Li, X.; Liu, C.; Lu, L.; Chen, J.; Zhou, L. Fully Integrated Solid-State LiDAR Transmitter on a Multi-Layer Silicon-Nitride-on-Silicon Photonic Platform. J. Light. Technol. 2023, 41, 832–840. [Google Scholar] [CrossRef]
- Ye, M.; Chen, Y.; Li, J.; Deng, Y.; Chen, J.; Zhang, W.; Li, Y.; Hu, K.; Xu, C.; Liu, L.; et al. Large steering range and low-loss integrated optical phased array with SiN-Si dual-layer non-uniform antenna. Opt. Express 2023, 31, 44564–44574. [Google Scholar] [CrossRef] [PubMed]
- Dong, T.; He, J.; He, X.; Xu, Y.; Zhou, J. Hybrid design approach of optical phased array with wide beam steering range and low side-lobe level. Opt. Lett. 2022, 47, 806–809. [Google Scholar] [CrossRef]
- He, X.; Dong, T.; Hem, J.; Xu, Y. A Design Approach of Optical Phased Array with Low Side Lobe Level and Wide Angle Steering Range. Photonics 2021, 8, 63. [Google Scholar] [CrossRef]
- Li, Y.; Zhang, P.; Cheng, F.; Chang, M.; Cui, T. Wide-steering-angle high-resolution optical phased array. Photonics Res. 2021, 9, 2511–2518. [Google Scholar] [CrossRef]
- Wang, J.; Song, R.; Li, X.; Yue, W.; Cai, Y.; Wang, S.; Yu, M. Beam Steering Technology of Optical Phased Array Based on Silicon Photonic Integrated Chip. Micromachines 2024, 15, 322. [Google Scholar] [CrossRef]
- Wang, Z.; Ma, P.; Yang, Y.; Cui, L.; Yu, L.; Luo, G.; Wang, P.; Pan, J.; Su, Y.; Zhang, Y. Non-uniform optical phased array with a large steering angle and high side mode suppression ratio. Appl. Opt. 2022, 61, 10788–10793. [Google Scholar] [CrossRef]
- He, J.; Dong, T.; Xu, Y. Review of photonic integrated optical phased arrays for space optical communication. IEEE Access 2020, 8, 188284–188298. [Google Scholar] [CrossRef]
- Poulton, C.V.; Yaacobi, A.; Cole, D.B.; Byrd, M.J.; Raval, M.; Vermeulen, D.; Watts, M.R. Coherent solid-state LIDAR with silicon photonic optical phased arrays. Opt. Lett. 2017, 42, 4091–4094. [Google Scholar] [CrossRef]
- Balanis, C. Antenna Theory: Analysis and Design; Wiley: Hoboken, NJ, USA, 2016. [Google Scholar]
- Jackson, D.R.; Oliner, A.A. Leaky-wave antennas. In Modern Antenna Handbook; John Wiley & Sons: Hoboken, NJ, USA, 2007; pp. 325–367. [Google Scholar]
- Song, Q.; Campione, S.; Boyraz, O.; Capolino, F. Silicon-based optical leaky wave antenna with narrow beam radiation. Opt. Express 2011, 19, 8735–8749. [Google Scholar] [CrossRef] [PubMed]
- Rocca, P.; Anselmi, N.; Oliveri, G.; Polo, A.; Massa, A. Antenna Array Thinning Through Quantum Fourier Transform. IEEE Access 2021, 9, 124313–124323. [Google Scholar] [CrossRef]
- Deb, K.; Jain, H. An Evolutionary Many-Objective Optimization Algorithm Using Reference-Point-Based Nondominated Sorting Approach, Part I: Solving Problems With Box Constraints. IEEE Trans. Evol. Comput. 2014, 18, 577–601. [Google Scholar] [CrossRef]
- Rocca, P.; Anselmi, N.; Polo, A.; Massa, A. Pareto-optimal dominotiling of orthogonal polygon phased arrays. IEEE Trans. Antennas Propag. 2022, 70, 3329–3342. [Google Scholar] [CrossRef]
- Ansys Lumerical FDTD. Available online: https://www.ansys.com/products/optics/fdtd (accessed on 30 September 2023).
- Wang, Q.; Wang, S.; Zeng, Y.; Wang, W.; Cai, Y.; Tu, Z.; Yue, Y.; Wang, X.; Fang, Q.; Yu, M. Dual-layer waveguide grating antenna with high directionality for optical phased arrays. Appl. Opt. 2019, 58, 5807–5811. [Google Scholar] [CrossRef] [PubMed]














| Solution | L | ΔN | |||
|---|---|---|---|---|---|
| [dB] | [deg] | [λ] | [%] | ||
| Reference | 256 | 0 | |||
| MMD, | 157 | ||||
| MMD, | 131 | ||||
| MMD, | 127 | ||||
| MMD | 129 |
| N | Solution | L | |||||
|---|---|---|---|---|---|---|---|
| [dB] | [dB] | [deg] | [] | [%] | |||
| 512 | - | Fully populated | 512 | 0 | |||
| 512 | MMD, | 256 | |||||
| 512 | MMD, | 248 | |||||
| 512 | MMD, | 250 | |||||
| 512 | MMD | 250 | |||||
| 64 | - | Fully populated | 64 | 0 | |||
| 64 | MMD | 32 | |||||
| 64 | MMD, | 36 | |||||
| 64 | MMD, | 32 | |||||
| 64 | MMD, | 32 | |||||
| 64 | MMD | 32 |
| Solution | Array Type | L | ||||
|---|---|---|---|---|---|---|
| [dB] | [deg] | [λ] | [%] | |||
| [13] | Fully populated | 256 | 0 | |||
| This work | Thinned | 129 | ||||
| [2] | Fully populated | 512 | 0 | |||
| This work | Thinned | 257 | ||||
| [31] | Sparse | 64 | ||||
| This work | Thinned | 64 |
| f | |||||||
|---|---|---|---|---|---|---|---|
| [nm] | [THz] | [] | [deg] | [deg] | [dB] | [nm−1] | [nm−1] |
| 1500 | |||||||
| 1520 | |||||||
| 1540 | |||||||
| 1560 | |||||||
| 1580 | |||||||
| 1600 |
Disclaimer/Publisher’s Note: The statements, opinions and data contained in all publications are solely those of the individual author(s) and contributor(s) and not of MDPI and/or the editor(s). MDPI and/or the editor(s) disclaim responsibility for any injury to people or property resulting from any ideas, methods, instructions or products referred to in the content. |
© 2025 by the authors. Licensee MDPI, Basel, Switzerland. This article is an open access article distributed under the terms and conditions of the Creative Commons Attribution (CC BY) license (https://creativecommons.org/licenses/by/4.0/).
Share and Cite
Yang, X.; Anselmi, N.; Rocca, P. Thinned Linear Optical Phased Array Design Through a Pareto-Optimal Synthesis Strategy. Sensors 2025, 25, 1096. https://doi.org/10.3390/s25041096
Yang X, Anselmi N, Rocca P. Thinned Linear Optical Phased Array Design Through a Pareto-Optimal Synthesis Strategy. Sensors. 2025; 25(4):1096. https://doi.org/10.3390/s25041096
Chicago/Turabian StyleYang, Xueqing, Nicola Anselmi, and Paolo Rocca. 2025. "Thinned Linear Optical Phased Array Design Through a Pareto-Optimal Synthesis Strategy" Sensors 25, no. 4: 1096. https://doi.org/10.3390/s25041096
APA StyleYang, X., Anselmi, N., & Rocca, P. (2025). Thinned Linear Optical Phased Array Design Through a Pareto-Optimal Synthesis Strategy. Sensors, 25(4), 1096. https://doi.org/10.3390/s25041096

