Sensitive Competitive Electrochemical Immunosensor for Hg (II) Based on Molybdenum Disulfide/Reduced Graphene Oxide/Gold Nanocomposites
Abstract
1. Introduction
2. Materials and Methods
2.1. Materials and Apparatus
2.2. Preparation of MoS2, MoS2/rGO and MoS2/rGO/Au Nanocomposites
2.3. Preparation of the Modified Electrode
2.4. Electrochemical Competitive Immunosensor Measurement
2.5. Preparation of the Spiked Samples
3. Results and Discussion
3.1. Characterization of Nanocomposites
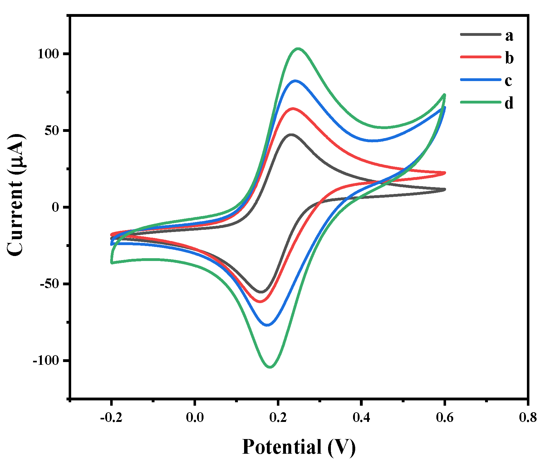
3.2. Electrochemical Properties of Modified Electrodes
3.3. Characterization of Immunosensor
3.4. Optimization of Assay Conditions
3.5. Sensitivity of the Immunosensor
3.6. Selectivity, Stability and Reproducibility of the Immunosensor
3.7. Spiked Samples Analysis
4. Conclusions
Author Contributions
Funding
Institutional Review Board Statement
Informed Consent Statement
Data Availability Statement
Conflicts of Interest
References
- Rebello, S.; Sivaprasad, M.S.; Anoopkumar, A.N.; Jayakrishnan, L.; Aneesh, E.M.; Narisetty, V.; Sindhu, R.; Binod, P.; Pugazhendhi, A.; Pandey, A. Cleaner technologies to combat heavy metal toxicity. J. Environ. Manag. 2021, 296, 113231. [Google Scholar] [CrossRef] [PubMed]
- Lee, J.; Han, M.S.; Mirkin, C.A. Colorimetric Detection of Mercuric Ion (Hg2+) in Aqueous Media using DNA-Functionalized Gold Nanoparticle. Angew. Chem. Int. Ed. 2007, 46, 4093–4096. [Google Scholar] [CrossRef] [PubMed]
- Almeida, I.L.S.; Coelho, N.M.M. Direct Determination of Inorganic Mercury in Ethanol Fuel by Cold Vapor Atomic Absorption Spectrometry. Energy Fuels 2012, 26, 6003–6007. [Google Scholar] [CrossRef]
- Jiang, X.J.; Gan, W.; Wan, L.Z.; Zhang, H.C.; He, Y.Z. Determination of mercury by electrochemical cold vapor generation atomic fluorescence spectrometry using polyaniline modified graphite electrode as cathode. Spectrochim. Acta Part B At. Spectrosc. 2010, 65, 171–175. [Google Scholar] [CrossRef]
- Yao, C.H.; Jiang, S.J.; Sahayam, A.C.; Huang, Y.L. Speciation of mercury in fish oils using liquid chromatography inductively coupled plasma mass spectrometry. Microchem. J. 2017, 133, 556–560. [Google Scholar] [CrossRef]
- Wang, Y.Z.; Yang, H.; Pschenitza, M.; Niessner, R.; Li, Y.; Knopp, D.; Deng, A.P. Highly sensitive and specific determination of mercury in water, food and cosmetic samples with an ELISA based on a novel monoclonal antibody. Anal. Bioanal. Chem. 2012, 403, 2519–2528. [Google Scholar] [CrossRef]
- Aroui, F.E.; Lahrich, S.; Farahi, A.; Achak, M.; Gaini, L.E.; Bakasse, M.; Bouzidi, A.; Mhammedi, M.A.E. Palladium Particles-Impregnated Natural Phosphate Electrodes for Electrochemical Determination of Mercury in Ambient Water Samples. Electroanalysis 2014, 26, 1751–1760. [Google Scholar] [CrossRef]
- Wang, Y.Z.; Chen, S.; Wei, C.; Xu, M.M.; Yao, J.L.; Li, Y.; Deng, A.P.; Gu, R.A. A femtogram level competitive immunoassay of mercury (II) based on surface-enhanced Raman spectroscopy. Chem. Commnications 2014, 50, 9112–9114. [Google Scholar] [CrossRef]
- Kang, G.F.; Wang, Y.Z.; Bai, Y.F.; Chen, Z.Z.; Feng, F. Surface plasmon resonance based competitive immunoassay for Cd2+. RSC Adv. 2017, 7, 44054–44058. [Google Scholar] [CrossRef]
- Huang, S.; Wang, W.J.; Cheng, F.F.; Yao, H.Q.; Zhu, J.J. Highly Sensitive Detection of Mercury Ion Based on T-rich DNA Machine using Portable Glucose Meter. Sens. Actuators B Chem. 2017, 242, 347–354. [Google Scholar] [CrossRef]
- Pal, C.; Majumder, S. Label-free ultra-low level electrochemical detection of mercury(II) ions in aqueous medium via direct covalent functionalization of single-stranded DNA with MoS2 nanoflakes. J. Mater. Sci. Mater. Electron. 2022, 33, 7023–7030. [Google Scholar] [CrossRef]
- Li, L.; Dong, X.G.; Liu, Z.F.; Wei, J.; Li, J.R.; Zhou, H.; Zhu, J.; Shi, X.W. Visual and ultrasensitive detection of mercury ions based on urease catalysis and responsive photonic crystals. Dye. Pigment. 2021, 195, 109676. [Google Scholar] [CrossRef]
- Omer, K.M.; Hama Aziza, K.H.; Mohammad, S.J. Improvement of selectivity via surface modification of carbon nanodots towards quantitative detection of Mercury ions. New J. Chem. 2019, 43, 12979–12986. [Google Scholar] [CrossRef]
- Tang, C.M.; Qin, Y.C.; Ni, C.L.; Zou, J.P. Detection and Removal of Mercury Ions in Water by a Covalent Organic Framework Rich in Sulfur and Nitrogen. ACS Appl. Polym. Mater. 2022, 4, 849–858. [Google Scholar] [CrossRef]
- Jin, H.L.; Zhang, D.; Liu, Y.; Wei, M. An electrochemical aptasensor for lead ion detection based on catalytic hairpin assembly and porous carbon supported platinum as signal amplification. RSC Adv. 2020, 10, 6647–6653. [Google Scholar] [CrossRef]
- Zhu, N.X.; Liu, X.N.; Peng, K.M.; Cao, H.; Yuan, M.; Ye, T.; Wu, X.X.; Yin, F.Q.; Yu, J.S.; Hao, L.L.; et al. A Novel Aptamer-Imprinted Polymer-Based Electrochemical Biosensor for the Detection of Lead in Aquatic Products. Molecules 2023, 28, 196. [Google Scholar] [CrossRef]
- Renedo, O.D.; Alonso-Lomillo, M.A.; Ferreira-Gonçalves, L.; ArcosMartinez, M.J. Development of urease based on amperometric biosensors for the inhibitive determination of Hg (II). Talanta 2009, 79, 1306–1310. [Google Scholar] [CrossRef]
- Sabah, M.; Fethi, A. Electrochemical Detection of Lead in Real Samples Using Carbon Nanostructure and Inactivated E coli as Low-Cost Sensitive Biosensor with High Electrocatalytic Performance. Electrocatalysis 2022, 13, 773–783. [Google Scholar] [CrossRef]
- Sciuto, E.L.; Petralia, S.; van der Meer, J.R.; Conoci, S. Miniaturized Electrochemical Biosensor based on Whole-Cell for Heavy Metal Ions Detection in Water. Biotechnol. Bioeng. 2021, 118, 1456–1465. [Google Scholar] [CrossRef]
- Irvine, G.W.; Tan, S.N.; Stillman, M.J. A Simple Metallothionein-Based Biosensor for Enhanced Detection of Arsenic and Mercury. Biosensors 2017, 7, 14. [Google Scholar] [CrossRef]
- Trnkova, L.; Krizkova, S.; Adam, V.; Hubalek, J.; Kizek, R. Immobilization of metallothionein to carbon paste electrode surface via anti-MT antibodies and its use for biosensing of silver. Biosens. Bioelectron. 2011, 26, 2201–2207. [Google Scholar] [CrossRef] [PubMed]
- Qi, S.P.; Zhao, B.; Zhou, B.; Jiang, X.Q. An electrochemical immunosensor based on pristine graphene for rapid determination of ractopamine. Chem. Phys. Lett. 2017, 685, 146–150. [Google Scholar] [CrossRef]
- Hou, J.B.; Shao, Y.Y.; Ellis, M.W.; Moore, R.B.; Yi, B.L. Graphene-baed electrochemical energy conversion and storage: Fuel cells, supercapacitors and lithium ion batteries. Phys. Chem. Chem. Phys. 2011, 13, 15384–15402. [Google Scholar] [CrossRef] [PubMed]
- Shao, Y.Y.; Wang, J.; Wu, H.; Liu, J.; Aksay, I.A.; Lin, Y.H. Graphene Based Electrochemical Sensors and Biosensors: A Review. Electroanalysis 2010, 22, 1027–1036. [Google Scholar] [CrossRef]
- Lee, C.S.; Kim, T.H. Large-Scale Preparation of MoS2/Graphene Composites for Electrochemical Detection of Morin. ACS Appl. Nano Mater. 2021, 4, 6668–6677. [Google Scholar] [CrossRef]
- Peng, Y.; Tang, Z.R.; Dong, Y.P.; Che, G.; Xin, Z.F. Electrochemical detection of hydroquinone based on MoS2/reduced graphene oxide nanocomposites. J. Electroanal. Chem. 2018, 816, 38–44. [Google Scholar] [CrossRef]
- Li, X.T.; Wang, Y.C.; Zhang, X.L.; Gao, Y.; Sun, C.M.; Ding, Y.H.; Feng, F.; Jin, W.J.; Yang, G.J. An impedimetric immunosensor for determination of porcine epidemic diarrhea virus based on the nanocomposite consisting of molybdenum disulfide/reduced graphene oxide decorated with gold nanoparticles. Microchim. Acta 2020, 187, 217. [Google Scholar] [CrossRef]
- Wu, Y.J.; Liu, D.D.; Guo, J.H.; Wang, F. A molybdenum disulfide-reduced graphene oxide nanocomposite as an electrochemical sensing platform for detecting cyproterone acetate. New J. Chem. 2022, 46, 5385–5392. [Google Scholar] [CrossRef]
- Yadav, S.; Sadique, M.A.; Ranjan, P.; Khan, R. Synergistically functionalized molybdenum disulfide-reduced graphene oxide nanohybrid based ultrasensitive electrochemical immunosensor for real sample analysis of COVID-19. Anal. Chim. Acta 2023, 1265, 341326. [Google Scholar] [CrossRef]
- Wang, Y.; Ni, Y. Molybdenum disulfide quantum dots as a photoluminescence sensing platform for 2,4,6-trinitrophenol detection. Anal. Chem. 2014, 86, 7463–7470. [Google Scholar] [CrossRef]
- Wang, Y.G.; Wang, Y.L.; Wu, D.; Ma, H.M.; Zhang, Y.; Fan, D.W.; Pang, X.H.; Du, B.; Wei, Q. Label-free electrochemical immunosensor based on flower-like Ag/MoS2/rGO nanocomposites for ultrasensitive detection of carcinoembryonic antigen. Sens. Actuators B Chem. 2018, 255, 125–132. [Google Scholar] [CrossRef]
- Zhao, Y.N.; Zhou, J.; Jia, Z.M.; Huo, D.Q.; Liu, Q.Y.; Zhong, D.Q.; Hu, Y.; Yang, M.; Bian, M.H.; Hou, C.J. In-situ growth of gold nanoparticles on a 3D-network consisting of a MoS2/rGO nanocomposite for simultaneous voltametric determination of ascorbic acid, dopamine and uric acid. Microchim. Acta 2019, 186, 92. [Google Scholar]
- Rana, D.S.; Kalia, S.; Thakur, N.; Singh, R.K.; Kumar, R.; Singh, D. Synthesis of reduced graphene oxide-molybdenum disulfide nanocomposite as potential scaffold for fabrication of efficient hydrazine sensor. Mater. Chem. Phys. 2023, 294, 127048. [Google Scholar] [CrossRef]
- Han, Y.J.; Zhang, R.; Dong, C.; Cheng, F.Q.; Guo, Y.J. Sensitive electrochemical sensor for nitrite ions based on rose-like AuNPs/MoS2/graphene composite. Biosens. Bioelectron. 2019, 142, 111529. [Google Scholar] [CrossRef]
- Alarfaj, N.A.; El-Tohamy, M.F.; Hesham, O. New label-free ultrasensitive electrochemical immunosensor-based Au/MoS2/rGO nanocomposites for CA 27-29 breast cancer antigen detection. New J. Chem. 2018, 42, 11046–11053. [Google Scholar] [CrossRef]
- Xu, X.H.; Guo, Y.N.; Wang, L.; He, K.Y.; Guo, Y.R.; Wang, X.Q.; Gunasekaran, S. Hapten-Grafted Programmed Probe as a Corecognition Element for a Competitive Immunosensor to Detect Acetamiprid Residue in Agricultural Products. J. Agric. Food Chem. 2018, 66, 7815–7821. [Google Scholar] [CrossRef]
- Eissa, S.; Zouro, M. Competitive voltammetric morphine immunosensor using a gold nanoparticle decorated graphene electrode. Microchim. Acta 2017, 184, 2281–2289. [Google Scholar] [CrossRef]










| Fortified (ng/mL) | Measured (ng/mL) | Recovery (%) | RSD (%) (n = 3) |
|---|---|---|---|
| 10 | 9.88 ± 0.34 | 98.8 | 3.44 |
| 20 | 19.89 ± 0.51 | 99.5 | 2.56 |
| 50 | 49.22 ± 2.64 | 98.4 | 5.36 |
| 100 | 100.34 ± 4.59 | 100.3 | 4.57 |
Disclaimer/Publisher’s Note: The statements, opinions and data contained in all publications are solely those of the individual author(s) and contributor(s) and not of MDPI and/or the editor(s). MDPI and/or the editor(s) disclaim responsibility for any injury to people or property resulting from any ideas, methods, instructions or products referred to in the content. |
© 2025 by the authors. Licensee MDPI, Basel, Switzerland. This article is an open access article distributed under the terms and conditions of the Creative Commons Attribution (CC BY) license (https://creativecommons.org/licenses/by/4.0/).
Share and Cite
Wang, Y.; Shi, N.; Kang, X.; Pan, Q.; Tian, M.; Wang, Y.; Bai, Y. Sensitive Competitive Electrochemical Immunosensor for Hg (II) Based on Molybdenum Disulfide/Reduced Graphene Oxide/Gold Nanocomposites. Sensors 2025, 25, 623. https://doi.org/10.3390/s25030623
Wang Y, Shi N, Kang X, Pan Q, Tian M, Wang Y, Bai Y. Sensitive Competitive Electrochemical Immunosensor for Hg (II) Based on Molybdenum Disulfide/Reduced Graphene Oxide/Gold Nanocomposites. Sensors. 2025; 25(3):623. https://doi.org/10.3390/s25030623
Chicago/Turabian StyleWang, Yuzhen, Ningna Shi, Xiaoyue Kang, Qiliang Pan, Maozhong Tian, Yanfeng Wang, and Yunfeng Bai. 2025. "Sensitive Competitive Electrochemical Immunosensor for Hg (II) Based on Molybdenum Disulfide/Reduced Graphene Oxide/Gold Nanocomposites" Sensors 25, no. 3: 623. https://doi.org/10.3390/s25030623
APA StyleWang, Y., Shi, N., Kang, X., Pan, Q., Tian, M., Wang, Y., & Bai, Y. (2025). Sensitive Competitive Electrochemical Immunosensor for Hg (II) Based on Molybdenum Disulfide/Reduced Graphene Oxide/Gold Nanocomposites. Sensors, 25(3), 623. https://doi.org/10.3390/s25030623

