Towards Generalized Bioimpedance Models for Bladder Monitoring: The Role of Waist Circumference and Fat Thickness
Abstract
1. Introduction
2. Materials and Methods
2.1. Simulation Design
2.2. Signal Processing
2.3. Baseline Volume Estimation Algorithms
2.4. Frame Scaling
3. Results
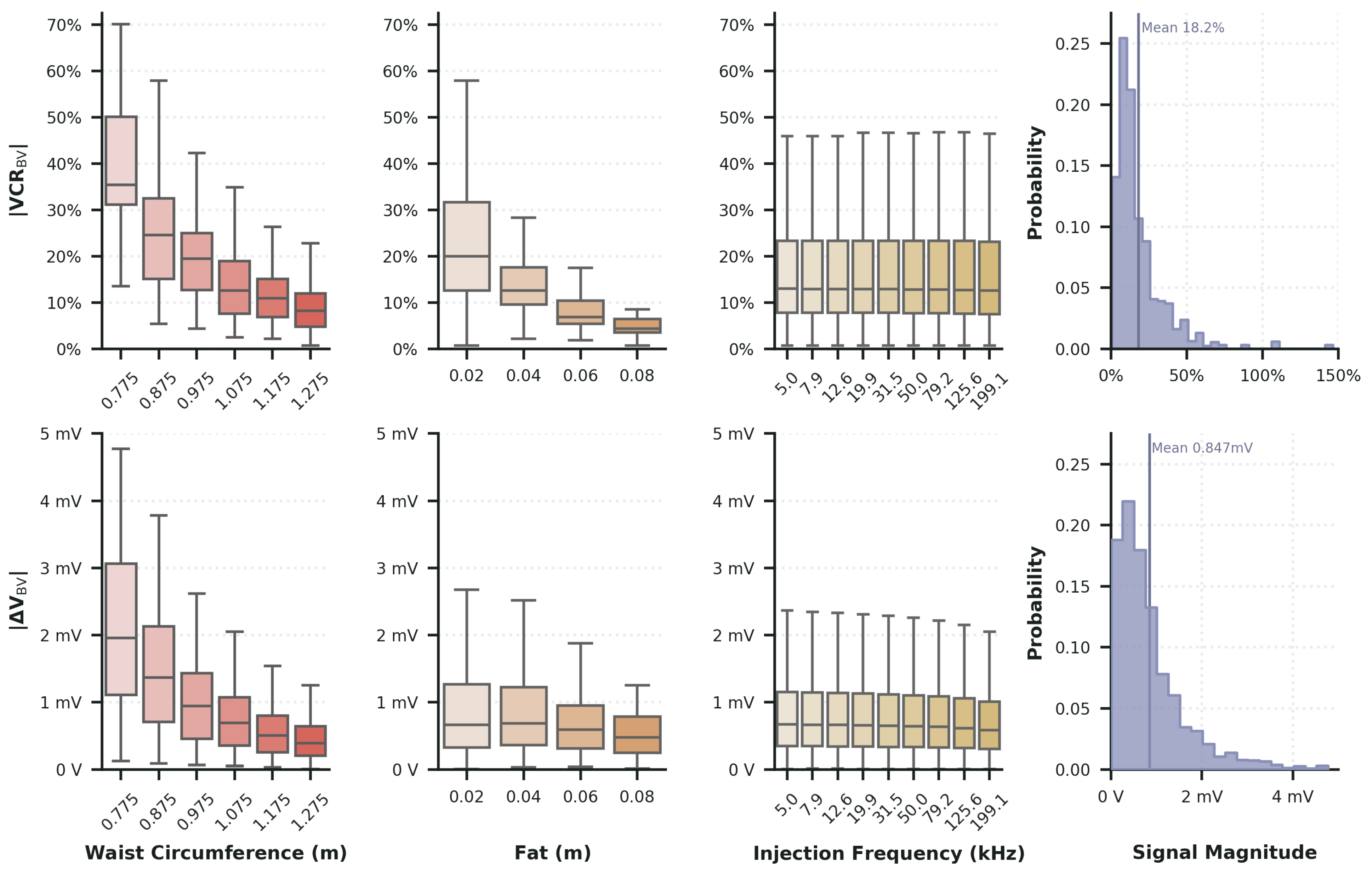
3.1. Impact of Patient Characteristics
3.2. Baseline Volume Estimation
3.3. Frame Scaling
4. Discussion
4.1. Patient Characteristics Impacts
4.2. Baseline Volume Estimation
4.3. Frame Scaling
5. Conclusions
Supplementary Materials
Author Contributions
Funding
Institutional Review Board Statement
Informed Consent Statement
Data Availability Statement
Conflicts of Interest
References
- Jackson, S.L.; Tong, X.; King, R.J.; Loustalot, F.; Hong, Y.; Ritchey, M.D. National Burden of Heart Failure Events in the United States, 2006 to 2014. Circ. Heart Fail. 2018, 11, e004873. [Google Scholar] [CrossRef]
- Doelken, P.; Huggins, J.T.; Goldblatt, M.; Nietert, P.; Sahn, S.A. Effects of Coexisting Pneumonia and End-stage Renal Disease on Pleural Fluid Analysis in Patients with Hydrostatic Pleural Effusion. Chest 2013, 143, 1709–1716. [Google Scholar] [CrossRef]
- Irwin, D.E.; Kopp, Z.S.; Agatep, B.; Milsom, I.; Abrams, P. Worldwide prevalence estimates of lower urinary tract symptoms, overactive bladder, urinary incontinence and bladder outlet obstruction. BJU Int. 2011, 108, 1132–1138. [Google Scholar] [CrossRef]
- Huen, K.H.; Chamberlin, J.D.; Macaraeg, A.; Davis-Dao, C.A.; Williamson, S.H.; Beqaj, L.; Abdelhalim, A.; Mahmoud, R.; Stephany, H.A.; Chuang, K.w.; et al. Home bladder pressure measurements correlate with urodynamic storage pressures and high-grade hydronephrosis in children with spina bifida. J. Pediatr. Urol. 2022, 18, 503.e1–503.e7. [Google Scholar] [CrossRef] [PubMed]
- Wittig, L.; Carlson, K.V.; Andrews, J.M.; Crump, R.T.; Baverstock, R.J. Diabetic Bladder Dysfunction:A Review. Urology 2019, 123, 1–6. [Google Scholar] [CrossRef] [PubMed]
- Michalsen, A.; Konig, G.; Thimme, W. Preventable causative factors leading to hospital admission with decompensated heart failure. Heart 1998, 80, 437–441. [Google Scholar] [CrossRef]
- Yancy, C.W.; Jessup, M.; Bozkurt, B.; Butler, J.; Casey, D.E.; Drazner, M.H.; Fonarow, G.C.; Geraci, S.A.; Horwich, T.; Januzzi, J.L.; et al. 2013 ACCF/AHA Guideline for the Management of Heart Failure: A Report of the American College of Cardiology Foundation/American Heart Association Task Force on Practice Guidelines. Circulation 2013, 128, e240–e327. [Google Scholar] [CrossRef]
- Goren, O.; Matot, I. Perioperative acute kidney injury. Br. J. Anaesth. 2015, 115, ii3–ii14. [Google Scholar] [CrossRef] [PubMed]
- Werneburg, G.T. Catheter-Associated Urinary Tract Infections: Current Challenges and Future Prospects. Res. Rep. Urol. 2022, 14, 109–133. [Google Scholar] [CrossRef]
- Hu, F.; Yang, D.; Huang, C.; Chen, C.; Chang, C. Inappropriate use of urinary catheters among hospitalized elderly patients: Clinician awareness is key. Geriatr. Gerontol. Int. 2015, 15, 1235–1241. [Google Scholar] [CrossRef]
- Nasrabadi, M.Z.; Tabibi, H.; Salmani, M.; Torkashvand, M.; Zarepour, E. A comprehensive survey on non-invasive wearable bladder volume monitoring systems. Med Biol. Eng. Comput. 2021, 59, 1373–1402. [Google Scholar] [CrossRef]
- Byun, S.S.; Kim, H.H.; Lee, E.; Paick, J.S.; Kamg, W.; Oh, S.J. Accuracy of bladder volume determinations by ultrasonography: Are they accurate over entire bladder volume range? Urology 2003, 62, 656–660. [Google Scholar] [CrossRef]
- Van Leuteren, P.; Klijn, A.; De Jong, T.; Dik, P. SENS-U: Validation of a wearable ultrasonic bladder monitor in children during urodynamic studies. J. Pediatr. Urol. 2018, 14, 569.e1–569.e6. [Google Scholar] [CrossRef] [PubMed]
- Kwinten, W.; Van Leuteren, P.; Van Duren-Van Iersel, M.; Dik, P.; Jira, P. SENS-U: Continuous home monitoring of natural nocturnal bladder filling in children with nocturnal enuresis—A feasibility study. J. Pediatr. Urol. 2020, 16, 196.e1–196.e6. [Google Scholar] [CrossRef]
- Hafid, A.; Difallah, S.; Alves, C.; Abdullah, S.; Folke, M.; Lindén, M.; Kristoffersson, A. State of the Art of Non-Invasive Technologies for Bladder Monitoring: A Scoping Review. Sensors 2023, 23, 2758. [Google Scholar] [CrossRef]
- Córdova-Manzo, J.F.; Vega-Martínez, G.; Vera-Hernández, A.; Leija-Salas, L.; Quinzaños-Fresnedo, J.; Durán-Ortiz, S.; Gutiérrez-Martínez, J. Near-Infrared Spectroscopy for Noninvasive Bladder Evaluation: Systematic Review and Future Directions. J. Sens. 2025, 2025, 6494580. [Google Scholar] [CrossRef]
- Koven, A.; Herschorn, S. NIRS: Past, Present, and Future in Functional Urology. Curr. Bladder Dysfunct. Rep. 2022, 17, 241–249. [Google Scholar] [CrossRef] [PubMed]
- Stothers, L.; Macnab, A. PD15-04 A Wearable Optical System for Monitoring Neurogenic Bladder: Tracking Volume and Pressure as a Means of Lessening the Risks of Incontinence and Autonomic Dysreflexia Following Spinal Cord Injury. J. Urol. 2025, 213, e522. [Google Scholar] [CrossRef]
- Fechner, P.; König, F.; Kratsch, W.; Lockl, J.; Röglinger, M. Near-Infrared Spectroscopy for Bladder Monitoring: A Machine Learning Approach. ACM Trans. Manag. Inf. Syst. 2023, 14, 1–23. [Google Scholar] [CrossRef]
- Grimnes, S.; Martinsen, O.G. Bioimpedance and Bioelectricity Basics, 2nd ed.; Elsevier Academic Press: Amsterdam, The Netherlands; Boston, MA, USA, 2008. [Google Scholar]
- Shida, K.; Yagami, S. A Non-Invasive Urination-Desire Sensing System based on Four-Electrodes Impedance Measurement Method. In Proceedings of the IECON 2006-32nd Annual Conference on IEEE Industrial Electronics, Paris, France, 6–10 November 2006; pp. 2975–2978, ISSN 1553-572X. [Google Scholar] [CrossRef]
- Li, Y.; Peng, Y.; Yang, X.; Lu, S.; Gao, J.; Lin, C.; Li, R. Analysis of measurement electrode location in bladder urine monitoring using electrical impedance. BioMed. Eng. OnLine 2019, 18, 34. [Google Scholar] [CrossRef]
- Dheman, K.; Walser, S.; Mayer, P.; Eggimann, M.; Kozomara, M.; Franke, D.; Hermanns, T.; Sax, H.; Schürle, S.; Magno, M. Noninvasive Urinary Bladder Volume Estimation With Artifact-Suppressed Bioimpedance Measurements. IEEE Sens. J. 2024, 24, 1633–1643. [Google Scholar] [CrossRef]
- Liao, W.; Jaw, F. Noninvasive electrical impedance analysis to measure human urinary bladder volume. J. Obstet. Gynaecol. Res. 2011, 37, 1071–1075. [Google Scholar] [CrossRef] [PubMed]
- Leonhäuser, D.; Castelar, C.; Schlebusch, T.; Rohm, M.; Rupp, R.; Leonhardt, S.; Walter, M.; Grosse, J.O. Evaluation of electrical impedance tomography for determination of urinary bladder volume: Comparison with standard ultrasound methods in healthy volunteers. BioMed. Eng. OnLine 2018, 17, 95. [Google Scholar] [CrossRef]
- Adler, A.; Arnold, J.H.; Bayford, R.; Borsic, A.; Brown, B.; Dixon, P.; Faes, T.J.C.; Frerichs, I.; Gagnon, H.; Gärber, Y.; et al. GREIT: A unified approach to 2D linear EIT reconstruction of lung images. Physiol. Meas. 2009, 30, S35–S55. [Google Scholar] [CrossRef]
- Noyori, S.S.; Nakagami, G.; Sanada, H. Non-invasive urine volume estimation in the bladder by electrical impedance-based methods: A review. Med Eng. Phys. 2022, 101, 103748. [Google Scholar] [CrossRef]
- Reichmuth, M.; Schurle, S.; Magno, M. A Non-invasive Wearable Bioimpedance System to Wirelessly Monitor Bladder Filling. In Proceedings of the 2020 Design, Automation & Test in Europe Conference & Exhibition (DATE), Grenoble, France, 9–13 March 2020; pp. 338–341. [Google Scholar] [CrossRef]
- Schlebusch, T.; Leonhardt, S. Effect of electrode arrangements on bladder volume estimation by electrical impedance tomography. J. Phys. Conf. Ser. 2013, 434, 012080. [Google Scholar] [CrossRef]
- Malmivuo, J.; Plonsey, R. Bioelectromagnetism Principles and Applications of Bioelectric and Biomagnetic Fields; Oxford University Press: Oxford, UK, 1995. [Google Scholar] [CrossRef]
- Kauppinen, P.; Hyttinen, J.; Malmivuo, J. Sensitivity Distribution Visualizations of Impedance Tomography Measurement Strategies. Int. J. Bioelectromagn. 2006, 8, 63–71. [Google Scholar]
- Boyle, A.; Crabb, M.G.; Jehl, M.; Lionheart, W.R.B.; Adler, A. Methods for calculating the electrode position Jacobian for impedance imaging. Physiol. Meas. 2017, 38, 555–574. [Google Scholar] [CrossRef]
- Schlebusch, T.; Nienke, S.; Leonhardt, S.; Walter, M. Bladder volume estimation from electrical impedance tomography. Physiol. Meas. 2014, 35, 1813–1823. [Google Scholar] [CrossRef] [PubMed]
- Sun, J.; Bai, X.; Liu, K.; Wei, J.; Suo, P.; Xu, L. Bladder Volume Estimation Using 3-D Electrical Impedance Tomography Based on Fringe Field Sensing. IEEE Trans. Instrum. Meas. 2023, 72, 1–10. [Google Scholar] [CrossRef]
- Zhang, B.; Zhang, Y.; Cheng, Z.; Chen, X.; Fu, F. Model-based Deep Unrolling Framework for Electrical Impedance Tomography Image Reconstruction. IEEE Trans. Instrum. Meas. 2025, 74, 1–14. [Google Scholar] [CrossRef]
- Wang, Y.; Feng, H.; Sun, B.; Bai, Y.; Hu, S.; Yao, J.; Zhao, T. Plantar Planar Dual-Array Electrical Impedance Tomography (PPDA-EIT) Method for Early Diabetic Foot Ulcers’ Detection. IEEE Sens. J. 2024, 24, 39759–39770. [Google Scholar] [CrossRef]
- Deng, T.; Teng, Z.; Takahashi, S.; Zhong, H. Multichannel Bioimpedance-Based Gesture Classification System for Enhanced Human-Machine Interaction. IEEE Sens. J. 2024, 24, 39699–39709. [Google Scholar] [CrossRef]
- Coxson, A.; Mihov, I.; Wang, Z.; Avramov, V.; Barnes, F.B.; Slizovskiy, S.; Mullan, C.; Timokhin, I.; Sanderson, D.; Kretinin, A.; et al. Machine learning enhanced electrical impedance tomography for 2D materials. Inverse Probl. 2022, 38, 085007. [Google Scholar] [CrossRef]
- Rapin, M.; Braun, F.; Adler, A.; Wacker, J.; Frerichs, I.; Vogt, B.; Chetelat, O. Wearable Sensors for Frequency-Multiplexed EIT and Multilead ECG Data Acquisition. IEEE Trans. Biomed. Eng. 2019, 66, 810–820. [Google Scholar] [CrossRef]
- COMSOL Multiphysics®. Available online: https://www.comsol.com/support/knowledgebase/1223 (accessed on 14 December 2025).
- Crane, H.T.; Berkebile, J.A.; Mabrouk, S.; Riccardelli, N.; Inan, O.T. Digital twin driven electrode optimization for wearable bladder monitoring via bioimpedance. npj Digit. Med. 2025, 8, 73. [Google Scholar] [CrossRef]
- Schlebusch, T.; Orschulik, J.; Malmivuo, J.; Leonhardt, S.; Leonhäuser, D.; Grosse, J.; Kowollik, M.; Kirschner-Hermanns, R.; Walter, M. Impedance Ratio Method for Urine Conductivity-Invariant Estimation of Bladder Volume. J. Electr. Bioimpedance 2014, 5, 48–54. [Google Scholar] [CrossRef]
- Yadav, N.; Parveen, S.; Chakravarty, S.; Banerjee, M. Skin Anatomy and Morphology. In Skin Aging & Cancer; Dwivedi, A., Agarwal, N., Ray, L., Tripathi, A.K., Eds.; Springer: Singapore, 2019; pp. 1–10. [Google Scholar] [CrossRef]
- Liang, X.; Xu, L.; Tian, W.; Xie, Y.; Sun, J. Effect of stimulation patterns on bladder volume measurement based on fringe effect of EIT sensors. In Proceedings of the 2019 IEEE International Conference on Imaging Systems and Techniques (IST), Abu Dhabi, United Arab Emirates, 9–10 December 2019; pp. 1–5. [Google Scholar] [CrossRef]
- Rosa, B.M.G.; Yang, G.Z. Bladder Volume Monitoring Using Electrical Impedance Tomography With Simultaneous Multi-Tone Tissue Stimulation and DFT-Based Impedance Calculation Inside an FPGA. IEEE Trans. Biomed. Circuits Syst. 2020, 14, 775–786. [Google Scholar] [CrossRef]
- Miftahof, R.N.; Nam, H.G. Biomechanics of the Human Urinary Bladder; Springer: Berlin/Heidelberg, Germany, 2013. [Google Scholar] [CrossRef]
- Fryar, C.D.; Carrol, M.D.; Gu, Q.; Afful, J.; Ogden, C.L. Anthropometric Reference Data for Children and Adults: United States, 2015–2018. In Vital and Health Statistics; National Center for Health Statistics. Vital Health: Hyattsville, MD, USA, 2021. [Google Scholar]
- Cuatrecasas, G.; De Cabo, F.; Coves, M.J.; Patrascioiu, I.; Aguilar, G.; March, S.; Balfegó, M.; Bretxa, C.; Calbo, M.; Cuatrecasas, G.; et al. Ultrasound measures of abdominal fat layers correlate with metabolic syndrome features in patients with obesity. Obes. Sci. Pract. 2020, 6, 660–667. [Google Scholar] [CrossRef]
- Wachter, S.D.; Wyndaele, J. Frequency-volume charts: A tool to evaluate bladder sensation. Neurourol. Urodyn. 2003, 22, 638–642. [Google Scholar] [CrossRef]
- Virzì, A.; Muller, C.O.; Marret, J.B.; Mille, E.; Berteloot, L.; Grévent, D.; Boddaert, N.; Gori, P.; Sarnacki, S.; Bloch, I. Comprehensive Review of 3D Segmentation Software Tools for MRI Usable for Pelvic Surgery Planning. J. Digit. Imaging 2020, 33, 99–110. [Google Scholar] [CrossRef] [PubMed]
- Lin, F.; Wei, Z.; Yang, J.; Wen, Y.; Gao, Y.; Pun, S.H.; Vai, M.I.; Du, M. A Comparative Study of the Electrodes Gels’ Electrical Properties in the Measurement Issues of Intrabody Communication. Beijing Inst. Technol. 2022, 31, 71–80. [Google Scholar] [CrossRef]
- Gabriel, C. Compilation of the Dielectric Properties of Body Tissues at RF and Microwave Frequencies; Technical Report Al/OE-TR-1996-0004; Occupational and Environmental Health Directorate, Radiofrequency Radiation Division, Brooks Air Force Base: San Antonio, TX, USA, 1996. [Google Scholar]
- Peyman, A.; Gabriel, C. Dielectric properties of porcine glands, gonads and body fluids. Phys. Med. Biol. 2012, 57, N339–N344. [Google Scholar] [CrossRef]
- IT’IS Foundation. Tissue Properties Database V4.1; IT’IS Foundation: Zürich, Switzerland, 2022. [Google Scholar] [CrossRef]
- McKinney, W. Data Structures for Statistical Computing in Python; SciPy: Austin, TX, USA, 2010; pp. 56–61. [Google Scholar] [CrossRef]
- Asimakopoulos, A.D.; De Nunzio, C.; Kocjancic, E.; Tubaro, A.; Rosier, P.F.; Finazzi-Agrò, E. Measurement of post-void residual urine. Neurourol. Urodyn. 2016, 35, 55–57. [Google Scholar] [CrossRef]
- Liu, K.; Bai, X.; Wei, J.; Liang, X.; Sun, J.; Xu, L. Investigation of Bladder Volume Measurement Based on Fringe Effect of Electrical Impedance Tomography Sensors. IEEE Open J. Instrum. Meas. 2022, 1, 1–10. [Google Scholar] [CrossRef]
- Dunne, E.; Santorelli, A.; McGinley, B.; Leader, G.; O’Halloran, M.; Porter, E. Image-based classification of bladder state using electrical impedance tomography. Physiol. Meas. 2018, 39, 124001. [Google Scholar] [CrossRef]
- Zou, H.; Hastie, T. Regularization and Variable Selection Via the Elastic Net. J. R. Stat. Soc. Ser. B Stat. Methodol. 2005, 67, 301–320. [Google Scholar] [CrossRef]
- Nogueira, S.; Sechidis, K.; Brown, G. On the Stability of Feature Selection Algorithms. J. Mach. Learn. Res. 2018, 18, 1–54. [Google Scholar]
- Meinshausen, N.; Bühlmann, P. Stability Selection. J. R. Stat. Soc. Ser. B Stat. Methodol. 2010, 72, 417–473. [Google Scholar] [CrossRef]
- Virtanen, P.; Gommers, R.; Oliphant, T.E.; Haberland, M.; Reddy, T.; Cournapeau, D.; Burovski, E.; Peterson, P.; Weckesser, W.; Bright, J.; et al. SciPy 1.0: Fundamental algorithms for scientific computing in Python. Nat. Methods 2020, 17, 261–272. [Google Scholar] [CrossRef] [PubMed]
- Adler, A.; Gaburro, R.; Lionheart, W. Electrical Impedance Tomography. In Handbook of Mathematical Methods in Imaging; Scherzer, O., Ed.; Springer: New York, NY, USA, 2015; pp. 701–762. [Google Scholar] [CrossRef]
- Hoffmann, J.; Thiele, J.; Kwast, S.; Borger, M.A.; Schröter, T.; Falz, R.; Busse, M. Measurement of subcutaneous fat tissue: Reliability and comparison of caliper and ultrasound via systematic body mapping. Sci. Rep. 2022, 12, 15798. [Google Scholar] [CrossRef] [PubMed]
- Mabrouk, S.; Hersek, S.; Jeong, H.K.; Whittingslow, D.; Ganti, V.G.; Wolkoff, P.; Inan, O.T. Robust Longitudinal Ankle Edema Assessment Using Wearable Bioimpedance Spectroscopy. IEEE Trans. Biomed. Eng. 2020, 67, 1019–1029. [Google Scholar] [CrossRef] [PubMed]


| Range | |||||
|---|---|---|---|---|---|
| Variable | Source | Unit | Min | Max | Step |
| Bladder | [49] | 10 | 460 | - | |
| Fat | [48] | 0.02 | 0.08 | 0.02 | |
| Frequency | 10 | 250 | 5/decade | ||
| Waist | [47] | 0.775 | 1.275 | 0.10 | |
| Sim. Domain | Source Tissue | Parameterization | Source |
|---|---|---|---|
| Bladder | Urine | 4-Cole-Cole | [53] |
| Electrode | EKG Gel | Piecewise Cubic | [51] |
| Fat | Avg. Infiltrated Fat | 4-Cole-Cole | [52] |
| Muscle | Muscle | 4-Cole-Cole | [52] |
| Skin | Dry Skin | 4-Cole-Cole | [52] |
| Model | Data | Type | Training Features | Cross Validation | Folds |
|---|---|---|---|---|---|
| 1 | Patient Specific | 90 | LOO | 5 | |
| 2 | + PF | Generalized | 92 | K-fold | 15 |
| 3 | Patient Specific | 90 | LOO | 5 | |
| 4 | + PF | Generalized | 92 | K-fold | 15 |
| MAE | MAPE | |||||||||||||
|---|---|---|---|---|---|---|---|---|---|---|---|---|---|---|
| M | S | Fσ | S | |||||||||||
| 1 | 6.89 | 3.44 | 8.67 | 3.13 | 0.03 | 0.44 | 0.07 | 3.62 | 1.79 | 49.07 | 11.16 | 0.16 | 0.78 | 0.76 |
| 2 | 28.84 | 12.14 | 13.93 | 1.44 | 0.11 | 0.89 | 0.88 | 41.40 | 25.36 | 13.93 | 1.44 | 0.11 | 0.89 | 0.88 |
| 3 | 1.65 | 0.75 | 90.00 | 0.00 | 1.00 | 1.00 | 1.00 | 0.78 | 0.43 | 16.87 | 7.57 | 0.39 | 0.40 | 0.10 |
| 4 | 7.91 | 5.80 | 43.27 | 3.71 | 0.99 | 0.98 | 0.97 | 4.44 | 2.20 | 58.20 | 6.62 | 1.00 | 0.98 | 0.98 |
| MAE | MAPE | |||
|---|---|---|---|---|
| Model | ||||
| 1 | 1.00 | 1.00 | 1.06 | 0.90 |
| 2 | 1.00 | 1.00 | 1.00 | 1.00 |
| 3 | 1.00 | 0.10 | 3.07 | 0.70 |
| 4 | 2.89 | 1.00 | 1.51 | 0.10 |
| MAE | MAPE | |||||
|---|---|---|---|---|---|---|
| Model | Scaling | |||||
| 2 | MAE | Linear | 35.49 | 15.39 | 24.17 | 14.53 |
| 2 | MAE | Exp. | 8.78 | 4.84 | 9.31 | 4.31 |
| 2 | MAPE | Linear | 35.49 | 15.39 | 24.17 | 14.53 |
| 2 | MAPE | Exp. | 8.78 | 4.84 | 9.31 | 4.31 |
| 4 | MAE | Linear | 12.53 | 10.45 | 10.23 | 6.49 |
| 4 | MAE | Exp. | 5.67 | 4.17 | 3.91 | 1.70 |
| 4 | MAPE | Linear | 11.18 | 9.38 | 10.21 | 6.41 |
| 4 | MAPE | Exp. | 5.44 | 3.09 | 4.38 | 2.80 |
Disclaimer/Publisher’s Note: The statements, opinions and data contained in all publications are solely those of the individual author(s) and contributor(s) and not of MDPI and/or the editor(s). MDPI and/or the editor(s) disclaim responsibility for any injury to people or property resulting from any ideas, methods, instructions or products referred to in the content. |
© 2025 by the authors. Licensee MDPI, Basel, Switzerland. This article is an open access article distributed under the terms and conditions of the Creative Commons Attribution (CC BY) license (https://creativecommons.org/licenses/by/4.0/).
Share and Cite
Crane, H.T.; Berkebile, J.A.; Mabrouk, S.; Riccardelli, N.; Inan, O.T. Towards Generalized Bioimpedance Models for Bladder Monitoring: The Role of Waist Circumference and Fat Thickness. Sensors 2025, 25, 7635. https://doi.org/10.3390/s25247635
Crane HT, Berkebile JA, Mabrouk S, Riccardelli N, Inan OT. Towards Generalized Bioimpedance Models for Bladder Monitoring: The Role of Waist Circumference and Fat Thickness. Sensors. 2025; 25(24):7635. https://doi.org/10.3390/s25247635
Chicago/Turabian StyleCrane, H. Trask, John A. Berkebile, Samer Mabrouk, Nicholas Riccardelli, and Omer T. Inan. 2025. "Towards Generalized Bioimpedance Models for Bladder Monitoring: The Role of Waist Circumference and Fat Thickness" Sensors 25, no. 24: 7635. https://doi.org/10.3390/s25247635
APA StyleCrane, H. T., Berkebile, J. A., Mabrouk, S., Riccardelli, N., & Inan, O. T. (2025). Towards Generalized Bioimpedance Models for Bladder Monitoring: The Role of Waist Circumference and Fat Thickness. Sensors, 25(24), 7635. https://doi.org/10.3390/s25247635

