Trust Attacks and Defense in the Social Internet of Things: Taxonomy and Simulation-Based Evaluation
Abstract
1. Introduction
1.1. Existing Review Studies on SIoT
1.2. Comparison with Existing Reviews
1.3. Main Contributions and Article Structure of This Paper
- A comprehensive introduction to SIoT architecture, social relationships, trust concepts, attributes, and a detailed trust management flowchart is provided and analyzed.
- Seven trust attacks—BMA, BSA, DA, OOA, WWA, OSA, and SPA—are introduced with analysis of their characteristics and mechanisms through schematic visualizations.
- Comprehensively interpret the relevant literature proposed in the past 10 years that can cope with trust attacks, summarize the types of trust attacks that can be coped with by the relevant trust models, and classify the defense strategies for the corresponding trust attacks.
- Construct a virtual node interaction scenario and design trust-attack simulations with varying attacker ratios to assess their impact on system security. The experiments reveal their effects on node trust and transaction processing, comparatively analyze attack capabilities along disruption speed, attack strength, and stealthiness, and summarize the attack surfaces and recommended defense strategies for each trust attack to better guide SIoT trust-management design.
- For the current research trend of trust management in SIoT, future research directions and technical challenges are further proposed.
2. Overview of SIoT
2.1. Architecture of SIoT
2.2. SIoT Relationship Types
- Ownership Object Relationship (OOR): relationship between objects owned by the same user. The user can jointly manage these objects, enabling cross-device collaboration and enhancing interconnectivity among them.
- Social Object Relationship (SOR): relationship between objects owned by different users, formed through social connections. It supports information sharing and social interaction, thereby expanding the social network.
- Parental Object Relationship (POR): relationship between homogeneous objects produced by the same batch or manufacturer. This stable association facilitates mutual identification and coordination among objects and improves system management efficiency.
- Co-Location Object Relationship (CLOR): relationship between objects that are colocated in the same geographic area. It supports location-aware services and localized collaboration, helping to optimize resource allocation.
- Co-Work Object Relationship (CWOR): relationship between objects that work together to achieve common goals. It emphasizes task-oriented collaboration and enhances the overall effectiveness of the system.
3. Overview of Trust Management
3.1. Concepts and Attributes of Trust
- Directness: Trust can be based on the experience of direct interaction between the granting party (subject) and the trusted party (object).
- Indirectness: When there’s no direct interaction between parties, trust decisions often rely on third-party recommendation information.
- Subjectivity: Trust is a subjective judgment made by the trustor, and different entities may apply different criteria when assessing trustworthiness, even under the same context and observable behaviors.
- Objectivity: Trust can be calculated by considering specific attributes of the trusted party.
- Localization: Trust is defined with respect to a specific trustor–trustee pair, and trust values may differ across different pairs even for the same entity.
- Global: Global trust, also known as reputation, is usually accumulated and propagated through the interaction of multiple nodes.
- Asymmetry: Trust asymmetry means entity A trusting B doesn’t imply B trusts A, and the degree of A’s trust in B may differ from B’s in A.
- Contextual relevance: The trust between the grantor and the trusted party will change with the change of contextual information.
- Decay: Trust tends to decay over time. If entity A does not interact with entity B for a period of time, then A’s perception of B decreases, leading to a decrease in the level of trust.
3.2. Processes for Trust Management
- Trust composition: Trust composition is the foundation of the trust management process. According to the type of social relationship, trust components are mainly divided into two categories: user-device trust (Quality of Service, QoS), which reflects competence, task completion, and reliability; and user-user trust (social trust), which captures factors such as honesty, benevolence, and friendship.
- Trust propagation: Trust propagation is the process by which trust information spreads from one node to other nodes in the network. In this process, nodes influence the trust assessment of other nodes by passing trust values to each other or through the accumulation of direct experience. Usually, trust propagation can be categorized into distributed, central, and hybrid.
- Distributed [37]: Each node independently collects experience, updates its own trust assessment, and exchanges trust values with others. This yields decentralized, flexible, and fault-tolerant propagation without a central controller.
- Centralized [38]: A central node collects, stores, and disseminates trust information. Other nodes query this node to update their trust assessments, which introduces a potential single point of failure.
- Hybrid [39]: Combines distributed and centralized mechanisms to balance scalability, robustness, and management overhead.
- Trust aggregation: In practice, trust assessments from a single source rarely capture the full trustworthiness of a node, so it is necessary to aggregate information from multiple trust sources and factors to obtain more accurate results. Existing trust aggregation techniques include weighted sum [40,41], belief theory [42,43], Bayesian theory [44,45], fuzzy logic [46,47], regression analysis [48,49], blockchain [50,51], and machine learning [52,53,54].
- Trust decision making: Trust decision-making evaluates the aggregated trust value to determine whether another entity is trustworthy and to choose the corresponding action. Existing approaches are typically categorized into policy-based decisions and threshold-based decisions.
- Trust update: A trust management system must dynamically update trust values over time or when new interactions occur, so that recent behavioral changes are reflected promptly. This process, known as trust update, is typically categorized into time-driven, event-driven, and hybrid update mechanisms.
- Time-driven [55]: Trust values are updated automatically at fixed time intervals, independent of specific external events.
- Event-driven [56]: Trust values are updated when certain events occur, such as node interactions, user feedback, or detected abnormal behaviors.
- Hybrid-driven [57]: Combines time-driven and event-driven mechanisms to update trust values.
4. Trust Attacks and Their Defense Strategies
4.1. Overview of Trust Attacks
4.2. Common Trust Attacks
4.2.1. Bad-Mouthing Attack (BMA)
4.2.2. Ballot Stuffing Attack (BSA)
4.2.3. Self-Promoting Attack (SPA)
4.2.4. Discriminatory Attack (DA)
4.2.5. Whitewashing Attack (WWA)
4.2.6. On/Off Attack (OOA)
4.2.7. Opportunistic Service Attack (OSA)
4.3. Trust Models in Existing Research and Their Classification
4.3.1. Based on Machine Learning
4.3.2. Based on Weighted Sum
4.3.3. Based on Other Techniques
4.4. Defense Strategies Against Trust Attacks and Their Classification
5. Comparative Analysis of Trust Attack Simulation
5.1. Simulation Environment and Tools
5.2. Simulation Experimental Design
- Initialize the simulation environment: as illustrated in step A, a synthetic SIoT interaction environment is instantiated with N nodes organized as an undirected social graph. Each node is randomly assigned x friend nodes to form its local social neighborhood, thereby approximating a sparse but connected friendship structure. The total length of the simulation is S time steps, the initial trust value of the nodes is IT, the number of allowed good nodes to interact with each other in a single time point is TN, and the condition for successful interaction is that the trust value of both interacting nodes is greater than the interaction threshold .
- Implementing trust attacks: as shown in steps B and C, a certain percentage of nodes in the interaction process will be turned into attack nodes, and each attack node will launch an attack behavior with probability at each time step thereafter.
- Record the node trust value: as shown in step D, during the simulation process, the trust value of each node i is denoted as , and is dynamically updated after each time step. The update strategy comprises the following three approaches.
- Trust increases through interaction: trust rises mainly in two cases: (i) a node (benign or malicious) provides high-quality service and receives positive feedback; (ii) nodes performing SPA or BSA submit self-promoting ratings. Both of these situations apply to Formula (1).Here, represents the trust growth factor, characterizes the saturation effect: when is low, is large, meaning the same yields a more pronounced trust increase. Conversely, when approaches 1, it becomes small, so a single positive event can only produce limited marginal gains. This naturally constrains the trust value within the [0, 1] range, reflecting the practical constraint that “high-trust nodes cannot continue to rise significantly due to a single act of good behavior.”
- Trust decreases through interaction: when a node provides low-quality service or is penalized after an attack is detected, its trust score will decrease.In this formula, represents the trust reduction factor. This equation embodies relative penalties: at the same value, the higher the current trust level, the greater the reduction. Conversely, nodes with low trust levels will not experience significant drops in trust even if they exhibit malicious behavior again, aligning with real-world scenarios.
- Trust decay over time: in real SIoT scenarios, if a node remains unobserved for an extended period, its historical evidence should gradually diminish in influence. To model this forgetting effect, a time decay mechanism is applied to all nodes at each step.Here, denotes the default neutral trust level of a node when it has not engaged in interactive behavior for an extended period. represents the trust forgetting rate.
- Trust attack detection mechanism: for each node i, we maintain a suspicion score that accumulates statistical evidence of malicious behaviour with exponential time decay. At each time step, the score is updated aswhere the increment is proportional to a chi-square deviation between the observed and expected rating behaviour of node i, Let be the total number of ratings issued by node i up to time t, the number of negative ratings, and the number of non-negative ratings. Assuming a normal, approximately balanced rating pattern, the expected counts of negative and non-negative ratings are and , and the chi-square statistic is computed asIn this way, a node that persistently issues disproportionately many unfair negative ratings obtains a large and hence a rapidly growing suspicion score, whereas occasional negative feedback only produces small, transient increases that are gradually forgotten by the decay factor . A node is finally classified as malicious only when its suspicion score exceeds a preset threshold and its own trust value falls below the blacklist threshold.
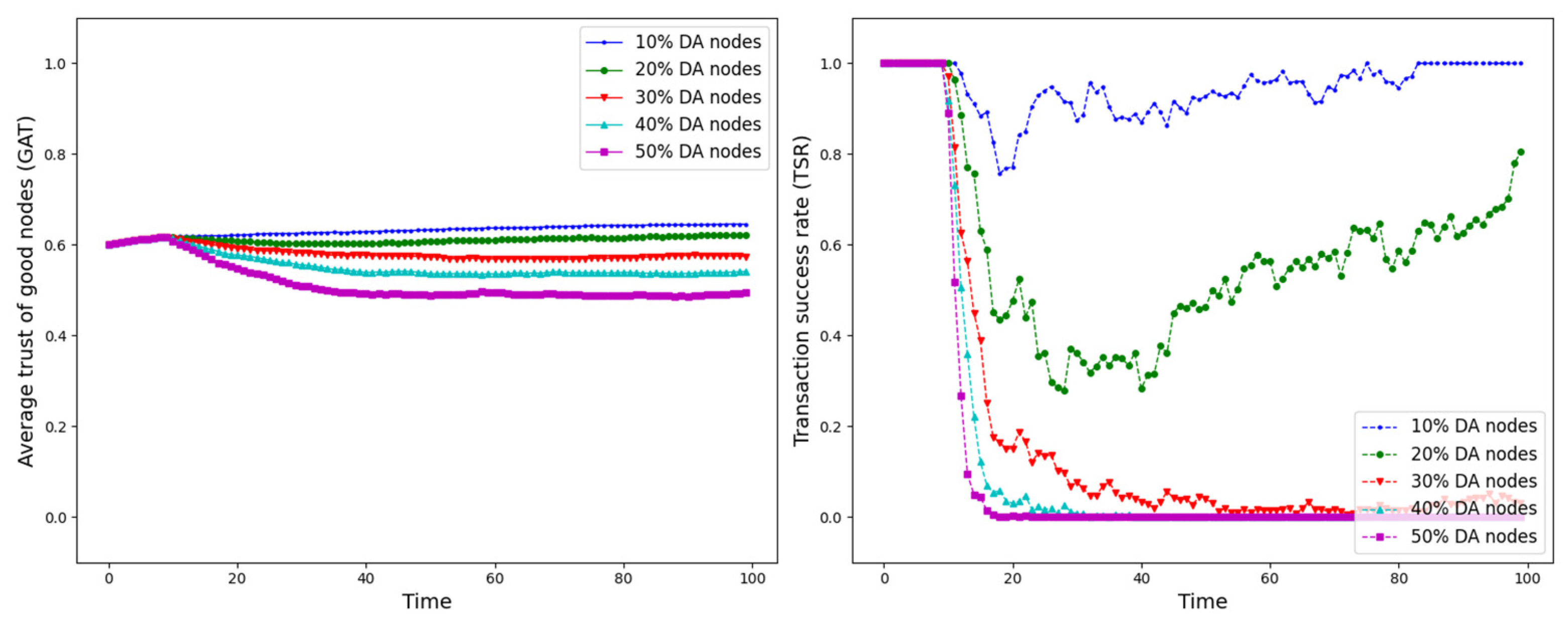
- Simulation comparison metrics: during the simulation, we record the average trust value (GAT) and transaction success rate (TSR) of good nodes. GAT measures how severely trust attacks damage honest nodes’ reputation, while TSR captures their impact on network functionality and operational efficiency. Both metrics are computed as in Equations (7) and (8).where denotes the percentage of attacking nodes, N denotes the total number of nodes in the network, then denotes the number of good nodes in the network, and denotes the trust value of the ith good node. In Equation (8), STN represents the number of successful transactions, and TN denotes the total number of interactions among nodes at a given time step.
5.3. Simulation Parameter Configuration
5.4. Analysis of Simulation Results
- Disruption speed. Based on the slope at which GAT and TSR drop to their minimum values, the disruption speed can be ranked as: BMA, SPA and OSA fastest; OOA and WWA in the middle; and DA and BSA slowest. In the BMA, SPA and OSA scenarios, the TSR curves fall almost vertically once the attack starts, dropping to their minimum levels within roughly 20 time steps, while GAT also shows an early and clear decline. By contrast, OOA and WWA still drive TSR rapidly downward, but the turning points are noticeably delayed, leading to a more gradual degradation process. DA and BSA exhibit the slowest descent: the decreasing phase of GAT is longer, and TSR usually goes through a relatively mild downward or oscillating segment before reaching its minimum.
- Attack strength. Using the maximum reduction of GAT and TSR as the criterion, the attack strength ranks as follows: BMA, SPA, OOA and WWA are the strongest; followed by DA; then OSA; and finally BSA. In BMA and SPA, TSR can be driven to very low levels in medium- and high-ratio scenarios, indicating a strong and abrupt destructive effect. OOA and WWA produce minima of similar depth but with longer persistence, so their overall impact is comparable to BMA and SPA. In contrast, DA typically yields slightly higher minima, suggesting a somewhat weaker destructive strength. OSA still causes substantial degradation but rarely collapses TSR completely, whereas BSA shows the smallest drop in TSR, allowing the network to retain a relatively higher transaction success rate even under 30% attack ratios.
- Stealthiness. Considering the time required for GAT and TSR to recover from their minima, stealthiness can be ranked as: DA and OSA most stealthy; OOA, BSA and WWA at a medium level; and BMA, SPA and OOA least stealthy. In DA scenarios, TSR remains near zero for a long period after the collapse and only recovers slowly, forming an extended low platform that delays service restoration even after detection starts to work. OSA also shows long-lasting low levels and a slow upward trajectory, especially at medium and high ratios. In contrast, BMA, SPA and OOA rebound quickly after hitting bottom; their low-value segments are short and GAT stabilizes earlier, so malicious behavior is exposed more quickly and their temporal stealth is relatively weak.
5.5. Discussion
6. Challenges and Future Research
- When constructing a trust management model, the selection of trust features directly affects the accuracy and efficiency of the model, and how to effectively select trust features is a key issue. Future research should construct trust feature sets in a more comprehensive and detailed way, including but not limited to node history behavior, interaction object reputation, quality of service, and so on. At the same time, feature combinations should be dynamically optimized for specific application scenarios and requirements by leveraging contextual information, so as to improve the adaptability and robustness of SIoT trust models [95].
- The topology of SIoT is heterogeneous and highly dynamic [96], and its services are also time-sensitive. Building trust management models with efficient scalability is therefore a major challenge. Future research should focus on developing heterogeneous scaling techniques that support rapid model expansion and flexible deployment for large-scale, high-complexity SIoT scenarios, while still ensuring accurate and timely trust assessment.
- The limited processing capabilities of SIoT devices and the heterogeneous and dynamic infrastructure expose multiple vulnerabilities [97], while trust management depends on large-scale user data, which exacerbates privacy risks. Future research must therefore carefully balance privacy protection and utility [98]. On the one hand, user data can be protected by encryption to prevent data from being stolen or tampered with during transmission and storage. On the other hand, privacy protection mechanisms, such as differential privacy [99] and federated learning [100], can be designed to enable effective trust assessment of user data while still protecting user privacy.
- Existing simulation tools for SIoT trust management have difficulty modeling large-scale dynamic device interactions, complex network environments, and realistic user behaviors, and context-based, efficient, and flexible simulation tools should be developed in the future to provide a reliable platform for research and testing [101]. In parallel, emerging technologies such as blockchain and machine learning provide new opportunities and challenges for SIoT trust management. Future research should explore their deeper integration with SIoT trust mechanisms and leverage their respective strengths to build safer, more efficient, and more intelligent trust management systems [102].
7. Conclusions
Author Contributions
Funding
Data Availability Statement
Conflicts of Interest
References
- Atzori, L.; Iera, A.; Morabito, G.; Nitti, M. The social internet of things (siot) when social networks meet the internet of things: Concept, architecture and network characterization. Comput. Netw. 2012, 56, 3594–3608. [Google Scholar] [CrossRef]
- Becherer, M.; Hussain, O.K.; Zhang, Y.; Den Hartog, F.; Chang, E. On trust recommendations in the social internet of things a survey. ACM Comput. Surv. 2024, 56, 160. [Google Scholar] [CrossRef]
- Barik, K.; Misra, S.; Mohan, R.; Mishra, B. AIoT and Its Trust Models to Enhance Societal Applications Using Intelligent Technologies. In Artificial Intelligence of Things for Achieving Sustainable Development Goals; Springer: Cham, Switzerland, 2024; pp. 311–334. [Google Scholar]
- Selvakumar, P.; Geetha, S.; Kaya, N.; Chandel, P.S.; Srivastava, P. Social Internet of Things (SIoT). In Analyzing Privacy and Security Difficulties in Social Media: New Challenges and Solutions; IGI Global Scientific Publishing: Hershey, PA, USA, 2025; pp. 39–62. [Google Scholar]
- Ruan, Y.; Durresi, A. A survey of trust management systems for online social communities trust modeling, trust inference and attacks. Knowl.-Based Syst. 2016, 106, 150–163. [Google Scholar] [CrossRef]
- Guo, J.; Chen, I.R. A classification of trust computation models for service oriented internet of things systems. In Proceedings of the 2015 IEEE International Conference on Services Computing, New York, NY, USA, 27 June–2 July 2015. [Google Scholar]
- Abdelghani, W.; Zayani, C.A.; Amous, I.; Sèdes, F. Trust management in social internet of things: A survey. In Proceedings of the Conference on e-Business, e-Services and e-Society, Swansea, UK, 13–15 September 2016. [Google Scholar]
- Roopa, M.S.; Pattar, S.; Buyya, R.; Venugopal, K.R.; Iyengar, S.S.; Patnaik, L.M. Social internet of things (siot): Foundations, thrust areas, systematic review and future directions. Comput. Commun. 2019, 139, 32–57. [Google Scholar] [CrossRef]
- Rajanpreet Kaur Chahal, A.; Neeraj Kumar, A.B.; Shalini Batra, A. Trust management in social internet of things: A taxonomy, open issues, and challenges. Comput. Commun. 2020, 150, 13–46. [Google Scholar] [CrossRef]
- Khan, W.Z.; Arshad, Q.U.A.; Hakak, S.; Khan, M.K.; Rehman, S.U. Trust management in social internet of things: Architectures, recent advancements and future challenges. IEEE Internet Things J. 2020, 8, 7768–7788. [Google Scholar] [CrossRef]
- Rad, M.M.; Rahmani, A.M.; Sahafi, A.; Qader, N.N. Social internet of things: Vision, challenges, and trends. Hum.-Centric Comput. Inf. Sci. 2020, 10, 52. [Google Scholar]
- Alam, S.; Zardari, S.; Noor, S.; Ahmed, S.; Mouratidis, H. Trust management in social internet of things (siot): A survey. IEEE Access 2022, 10, 31. [Google Scholar] [CrossRef]
- Bangui, H.; Buhnova, B.; Kusnirakova, D.; Halasz, D. Trust management in social internet of things across domains. Internet Things 2023, 23, 100833. [Google Scholar] [CrossRef]
- Sagar, S.; Mahmood, A.; Sheng, Q.Z.; Zhang, W.E.; Zhang, Y.; Pabani, J.K. Understanding the trustworthiness management in the social internet of things: A survey. Comput. Netw. 2024, 251, 26. [Google Scholar] [CrossRef]
- Qasabeh, Z.T.; Naderlou, L.; Ismayilova, N.; Feyziyev, A. A review siot (social internet of things): Techniques, applications, challenges and trends. Azerbaijan J. High Perform. Comput. 2022, 5, 236–253. [Google Scholar] [CrossRef]
- Shahab, S.; Agarwal, P.; Mufti, T.; Obaid, A.J. Siot (social internet of things): A review. In ICT Analysis and Applications; Springer: Singapore, 2022. [Google Scholar]
- Bouazza, H.; Zohra, L.F.; Said, B. Integration of internet of things and social network: Social IoT general review. In Proceedings of the International Conference on Computing, Riyadh, Saudi Arabia, 10–12 December 2019; Springer: Cham, Switzerland, 2019; pp. 312–324. [Google Scholar]
- Kumari, S.; Kumar, S.M.; Venugopal, K.R. Trust management in social internet of things: Challenges and future directions. Int. J. Comput. Digit. Syst. 2023, 14, 899–920. [Google Scholar] [CrossRef]
- Tang, X. Research on smart logistics model based on internet of things technology. IEEE Access 2020, 8, 151150–151159. [Google Scholar] [CrossRef]
- Ruta, M.; Scioscia, F.; Loseto, G.; Gramegna, F.; Ieva, S.; Pinto, A.; Di Sciascio, E. Social internet of things for domotics: A knowledge-based approach over ldp-coap. Semant. Web 2018, 9, 781–802. [Google Scholar] [CrossRef]
- Miori, V.; Russo, D. Improving life quality for the elderly through the social internet of things (siot). In Proceedings of the 2017 Global Internet of Things Summit (GIoTS), Geneva, Switzerland, 6–9 June 2017. [Google Scholar]
- Fadda, M.; Anedda, M.; Girau, R.; Pau, G.; Giusto, D.D. A social internet of things smart city solution for traffic and pollution monitoring in cagliari. IEEE Internet Things J. 2022, 10, 2373–2390. [Google Scholar] [CrossRef]
- Cimperman, M.; Dimitriou, A.; Kalaboukas, K.; Mousas, A.S.; Quattropani, S. Siot for cognitive logistics: Leveraging the social graph of digital twins for effective operations on real-time events. ITU J. Future Evol. Technol. 2021, 2, 69–79. [Google Scholar] [CrossRef]
- Mawgoud, A.A.; Taha, M.H.N.; Khalifa, N.E.M. Security threats of social internet of things in the higher education environment. In Toward Social Internet of Things (SIoT): Enabling Technologies, Architectures and Applications: Emerging Technologies for Connected and Smart Social Objects; Springer: Cham, Switzerland, 2019; pp. 151–171. [Google Scholar]
- Khanfor, A.; Hamrouni, A.; Ghazzai, H.; Yang, Y.; Massoud, Y. A trustworthy recruitment process for spatial mobile crowdsourcing in large-scale social iot. In Proceedings of the 2020 IEEE Technology & Engineering Management Conference (TEMSCON), Novi, MI, USA, 3–6 June 2020. [Google Scholar]
- Rashmi, M.R.; Raj, C.V. A review on trust models of social internet of things. In International Conference on Emerging Research in Electronics, Computer Science and Technology; Springer: Singapore, 2019. [Google Scholar]
- Cook, K.; Santana, J. Trust: Perspectives in sociology. In The Routledge Handbook of Trust and Philosophy; Routledge: London, UK, 2020. [Google Scholar]
- Chuyko, H.; Chaplak, Y.; Koltunovych, T. Theoretical aspects of the problem of trust in psychology. In Trends and Prospects of the Education System and Educators Professional Training Development; Lumen Publishing House: Iasi, Romania, 2020; pp. 163–186. [Google Scholar]
- Flew, T.; Mcwaters, C. Trust in Communication Research: A Systematic Literature Review of Trust Studies in Leading Communication Journals; Social Science Electronic Publishing: London, UK, 2020. [Google Scholar]
- Fehr, E. On the economics and biology of trust. J. Eur. Econ. Assoc. 2009, 7, 235–266. [Google Scholar] [CrossRef]
- McKnight, D.H.; Chervany, N.L. The Meanings of Trust. Carlson School of Management; University of Minnesota: Minneapolis, MN, USA, 1996. [Google Scholar]
- Jensen, C.D. The importance of trust in computer security. In Proceedings of the IFIP International Conference on Trust Management, Singapore, 7–10 July 2014; Springer: Berlin/Heidelberg, Germany, 2014. [Google Scholar]
- Ford, W.S.; Chokhani, S.; Wu, S.S.; Sabett, R.V.; Merrill, C.R. RFC 3647: Internet x.509 Public Key Infrastructure Certificate Policy and Certification Practices Framework. 2003. Available online: https://datatracker.ietf.org/doc/html/rfc3647 (accessed on 1 August 2025).
- Iqbal, R.; Butt, T.A.; Afzaal, M.; Salah, K. Trust management in social internet of vehicles: Factors, challenges, blockchain, and fog solutions. Int. J. Distrib. Sens. Netw. 2019, 15, 1550147719825820. [Google Scholar] [CrossRef]
- Sharma, A.; Pilli, E.S.; Mazumdar, A.P.; Gera, P. Towards trustworthy internet of things: A survey on trust management applications and schemes. Comput. Commun. 2020, 160, 475–493. [Google Scholar] [CrossRef]
- Kuseh, S.W.; Nunoo-Mensah, H.; Klogo, G.S.; Tchao, E.T. A survey of trust management schemes for social internet of things. Inf. J. Ilm. Bid. Teknol. Inf. Dan Komun. 2022, 7, 48–58. [Google Scholar] [CrossRef]
- Jiang, J.; Han, G.; Wang, F.; Shu, L.; Guizani, M. An efficient distributed trust model for wireless sensor networks. IEEE Trans. Parallel Distrib. Syst. 2016, 26, 1228–1237. [Google Scholar] [CrossRef]
- Chen, Z.; Ling, R.; Huang, C.-M.; Zhu, X. A scheme of access service recommendation for the social internet of things. Int. J. Commun. Syst. 2016, 29, 694–706. [Google Scholar] [CrossRef]
- Garcia-Magarino, I.; Sendra, S.; Lacuesta, R.; Lloret, J. Security in vehicles with IoT by prioritization rules, vehicle certificates, and trust management. Internet Things J. IEEE 2019, 6, 5927–5934. [Google Scholar] [CrossRef]
- Sagar, S.; Mahmood, A.; Sheng, Q.Z. Towards Resilient Social IoT Sensors and Networks: A Trust Management Approach; Springer: Cham, Switzerland, 2024. [Google Scholar]
- Khelloufi, A.; Khelil, A.; Naouri, A.; Sada, A.B.; Ning, H.; Aung, N.; Dhelim, S. A hybrid feature and trust-aggregation recommender system in the social internet of things. IEEE Access 2024, 12, 126460–126477. [Google Scholar] [CrossRef]
- Li, W.; Song, H.; Zeng, F. Policy-based secure and trustworthy sensing for internet of things in smart cities. IEEE Internet Things J. 2017, 5, 716–723. [Google Scholar] [CrossRef]
- Wang, Y.; Lu, Y.-C.; Chen, I.-R.; Cho, J.-H.; Swami, A.; Lu, C.-T. Logittrust: A logit regression-based trust model for mobile ad hoc networks. In Proceedings of the 6th ASE International Conference on Privacy, Security, Risk and Trust, Boston, MA, USA, 15–19 December 2014; pp. 1–10. [Google Scholar]
- Guo, Y.; Yang, X.J. Modeling and predicting trust dynamics in human-robot teaming: A bayesian inference approach. Int. J. Soc. Robot. 2021, 13, 1899–1909. [Google Scholar] [CrossRef]
- Nielsen, M.; Krukow, K.; Sassone, V. A bayesian model for event-based trust. Electron. Notes Theor. Comput. Sci. (ENTCS) 2007, 172, 499–521. [Google Scholar] [CrossRef]
- Soleymani, S.A.; Abdullah, A.H.; Zareei, M.; Anisi, M.H.; Vargas-Rosales, C.; Khan, M.K.; Goudarzi, S. A secure trust model based on fuzzy logic in vehicular ad hoc networks with fog computing. IEEE Access 2017, 5, 15619–15629. [Google Scholar] [CrossRef]
- Ouechtati, H.; Azzouna, N.B.; Said, L.B. A fuzzy logic based trust-ABAC model for the internet of things. In Advanced Information Networking and Applications, Proceedings of the 33rd International Conference on Advanced Information Networking and Applications (AINA-2019) 33, Matsue, Japan, 27–29 March 2019; Springer: Cham, Switzerland, 2020; pp. 1157–1168. [Google Scholar]
- Solomon, F.A.M.; Sathianesan, G.W.; Ramesh, R. Logistic regression trust-a trust model for internet-of-things using regression analysis. Comput. Syst. Sci. Eng. 2023, 44, 1125–1142. [Google Scholar] [CrossRef]
- Rao, T.R.; Pushpalatha, M.; Venkataraman, R. Regression-based trust model for mobile ad hoc networks. IET Inf. Secur. 2012, 6, 131–140. [Google Scholar] [CrossRef]
- Alam, S.; Zardari, S.; Shamsi, J.A. Blockchain-based trust and reputation management in siot. Electronics 2022, 11, 3871. [Google Scholar] [CrossRef]
- Amiri-Zarandi, M.; Dara, R.A.; Fraser, E. Lbtm: A lightweight blockchain-based trust management system for social internet of things. J. Supercomput. 2022, 78, 8302–8320. [Google Scholar] [CrossRef]
- Moeinaddini, E.; Nazemi, E.; Shahraki, A. A new approach on self-adaptive trust management for social Internet of Things. Comput. Netw. 2025, 263, 111187. [Google Scholar] [CrossRef]
- Sagar, S.; Mahmood, A.; Sheng, Q.Z. A machine learning-based trust computational heuristic for the SIoT network. In Towards Resilient Social IoT Sensors and Networks: A Trust Management Approach; Springer: Cham, Switzerland, 2024; pp. 71–84. [Google Scholar]
- Wang, Y.; Mahmood, A.; Sabri, M.F.M.; Zen, H.; Kho, L.C. Mesmeric: Machine learning-based trust management mechanism for the internet of vehicles. Sensors 2024, 24, 18. [Google Scholar] [CrossRef]
- Chen, I.R.; Guo, J.; Bao, F. Trust management for soa-based iot and its application to service composition. IEEE Trans. Serv. Comput. 2014, 9, 482–495. [Google Scholar] [CrossRef]
- Namal, S.; Gamaarachchi, H.; Myounglee, G.; Um, T.W. Autonomic trust management in cloud-based and highly dynamic iot applications. In Proceedings of the 2015 ITU Kaleidoscope: Trust in the Information Society (K-2015), Barcelona, Spain, 9–11 December 2015. [Google Scholar]
- Xiao, H.; Sidhu, N.; Christianson, B. Guarantor and reputation based trust model for social internet of things. In Proceedings of the 2015 International Wireless Communications and Mobile Computing Conference (IWCMC), Dubrovnik, Croatia, 24–28 August 2015. [Google Scholar]
- Hbaieb, A.; Ayed, S.; Chaari, L. A survey of trust management in the internet of vehicles. Comput. Netw. 2022, 203, 108558. [Google Scholar] [CrossRef]
- Priya, R.; Sivakumar, N. Resisting bad mouth attack in vehicular platoon using node-centric weight-based trust management algorithm (nc-wtm). Connect. Sci. 2022, 34, 1807–1832. [Google Scholar] [CrossRef]
- Ugur, A. Manipulator: A Novel Collusion Attack on Trust Management Systems in Social Iot; Springer International Publishing: Cham, Switzerland, 2021; pp. 578–592. [Google Scholar]
- Luo, W.; Liu, J.; Xiong, J.; Wang, L. Defending Against Whitewashing Attacks in Peer-to-Peer File-Sharing Networks; Springer International Publishing: Cham, Switzerland, 2015. [Google Scholar]
- Caminha, J.; Perkusich, A.; Perkusich, M. A smart trust management method to detect on-off attacks in the internet of things. Secur. Commun. Netw. 2018, 2018, 6063456. [Google Scholar] [CrossRef]
- Masmoudi, M.; Abdelghani, W.; Amous, I.; Sèdes, F. Deep Learning for Trust-Related Attacks Detection in Social Internet of Things; Springer: Cham, Switzerland, 2019. [Google Scholar]
- Abdelghani, W.; Zayani, C.A.; Amous, I.; Sèdes, F. Trust Evaluation Model for Attack Detection in Social Internet of Things; Springer: Cham, Switzerland, 2019. [Google Scholar]
- Marche, C.; Nitti, M. Trust-related attacks and their detection: A trust management model for the social iot. IEEE Trans. Netw. Serv. Manag. 2020, 18, 3297–3308. [Google Scholar] [CrossRef]
- Hankare, P.; Babar, S.; Mahalle, P. Trust management approach for detection of malicious devices in SIoT. Tech. J./Teh. Glas. 2021, 15, 43–50. [Google Scholar] [CrossRef]
- Wen, Y.; Xu, Z.; Zhi, R.; Chen, J. A social internet of things trust prediction model using deep learning. Telecommun. Eng. 2021, 61, 269–275. [Google Scholar]
- Magdich, R.; Jemal, H.; Nakti, C.; Ayed, M.B. An efficient trust related attack detection model based on machine learning for social internet of things. In Proceedings of the 2021 International Wireless Communications and Mobile Computing (IWCMC), Harbin, China, 28 June–2 July 2021; pp. 1465–1470. [Google Scholar]
- Sagar, S.; Mahmood, A.; Wang, K.; Sheng, Q.Z.; Pabani, J.K.; Zhang, W.E. Trust-SIoT: Toward trustworthy object classification in the social internet of things. IEEE Trans. Netw. Serv. Manag. 2023, 20, 1210–1223. [Google Scholar] [CrossRef]
- Masmoudi, M.; Amous, I.; Zayani, C.A.; Sèdes, F. Real-Time Mitigation of Trust-Related Attacks in Social IoT. In International Conference on Model and Data Engineering; Springer Nature: Cham, Switzerland, 2023; pp. 303–318. [Google Scholar]
- Alghofaili, Y.; Rassam, M.A. A dynamic trust-related attack detection model for IoT devices and services based on the deep long short-term memory technique. Sensors 2023, 23, 3814. [Google Scholar] [CrossRef] [PubMed]
- Mustafa, R.U.; McGibney, A.; Rea, S. Trust analysis to identify malicious nodes in the social internet of things. In Proceedings of the 2023 International Conference on Software, Telecommunications and Computer Networks (SoftCOM), Split, Croatia, 21–23 September 2023; pp. 1–9. [Google Scholar]
- Rafey, S.E.A.; Abdel-Hamid, A.; El-Nasr, M.A. Cbstm-iot: Context-based social trust model for the internet of things. In Proceedings of the 2016 International Conference on Selected Topics in Mobile & Wireless Networking (MoWNeT), Cairo, Egypt, 11–13 April 2016. [Google Scholar]
- Abderrahim, O.B.; Elhdhili, M.H.; Saidane, L. Tmcoi-siot: A trust management system based on communities of interest for the social internet of things. In Proceedings of the Wireless Communications & Mobile Computing Conference, Valencia, Spain, 26–30 June 2017. [Google Scholar]
- Kowshalya, A.M.; Valarmathi, M.L. Trust management for reliable decision making among social objects in the social internet of things. IET Netw. 2017, 6, 75–80. [Google Scholar] [CrossRef]
- Meena, A.; Kowshalya, M.L.; Valarmathi. Trust management in the social internet of things. Wirel. Pers. Commun. 2017, 96, 26812691. [Google Scholar] [CrossRef]
- Khani, M.; Wang, Y.; Orgun, M.A.; Zhu, F. Context-Aware Trustworthy Service Evaluation in Social Internet of Things; Springer: Cham, Switzerland, 2018. [Google Scholar]
- Ekbatanifard, G.; Yousefi, O. A novel trust management model in the social internet of things. J. Adv. Comput. Eng. Technol. 2019, 2, 57. [Google Scholar]
- Talbi, S.; Bouabdallah, A. Interest-based trust management scheme for social internet of things. J. Ambient. Intell. Humaniz. Comput. 2019, 11, 1129–1140. [Google Scholar] [CrossRef]
- Roopa, M.S.; Puneetha; Vishwas; Buyya, R.; Venugopal; Iyengar; Patnaik. Trust management for service-oriented siot systems. In Proceedings of the ICIT 2020: IoT and Smart City, Xi’an, China, 25–27 December 2020. [Google Scholar]
- Wei, L.; Wu, J.; Long, C.; Li, B. On designing context-aware trust model and service delegation for social internet of things. IEEE Internet Things J. 2020, 8, 4775–4787. [Google Scholar] [CrossRef]
- Jafarian, B.; Yazdani, N.; Haghighi, M.S. Discrimination-aware trust management for social internet of things. Comput. Netw. 2020, 178, 107254.1–107254.11. [Google Scholar] [CrossRef]
- Wei, L.; Wu, J.; Long, C. Enhancing trust management via blockchain in social internet of things. In Proceedings of the 2020 Chinese Automation Congress (CAC), Shanghai, China, 6–8 November 2020; pp. 159–164. [Google Scholar]
- Sagar, S.; Mahmood, A.; Pabani, J.K.; Sheng, Q.Z. A time aware similarity-based trust computational model for social internet of things. In Proceedings of the IEEE Global Communications Conference (Globecom) 2020, Taipei, Taiwan, 7–11 December 2020. [Google Scholar]
- Bahareh Farahbakhsh, A.; Ali Fanian, A.; Mohammad Hossein Manshaei, A. Tgsm: Towards trustworthy group-based service management for social iot—Sciencedirect. Internet Things 2020, 13, 100312. [Google Scholar] [CrossRef]
- Latif, R. Contrust: A novel context-dependent trust management model in social internet of things. IEEE Access 2022, 10, 46526–46537. [Google Scholar] [CrossRef]
- Pourmohseni, S.; Ashtiani, M.; Azirani, A.A. A computational trust model for social iot based on interval neutrosophic numbers. Inf. Sci. 2022, 607, 758–782. [Google Scholar] [CrossRef]
- Sagar, S.; Mahmood, A.; Sheng, Q.Z.; Zaib, M.; Sufyan, F. Can we quantify trust? Towards a trust-based resilient siot network. Computing 2024, 106, 557–577. [Google Scholar] [CrossRef]
- Chen, I.R.; Bao, F.; Guo, J. Trust-based service management for social internet of things systems. IEEE Trans. Dependable Secur. Comput. 2016, 13, 684–696. [Google Scholar] [CrossRef]
- Binh, T.N.; Hyunwoo, L.; Bob, A.; Myoung, L.G. Toward a trust evaluation mechanism in the social internet of things. Sensors 2017, 17, 1346. [Google Scholar] [CrossRef]
- Xia, H.; Xiao, F.; Zhang, S.S.; Hu, C.Q.; Cheng, X.Z. Trustworthiness inference framework in the social internet of things: A context-aware approach. In Proceedings of the IEEE INFOCOM 2019—IEEE Conference on Computer Communications, Paris, France, 29 April–2 May 2019. [Google Scholar]
- Amiri-Zarandi, M.; Dara, R.A. Blockchain-based trust management in social internet of things. In Proceedings of the 2020 IEEE International Conference on Dependable, Autonomic and Secure Computing, International Conference on Pervasive Intelligence and Computing, International Conference on Cloud and Big Data Computing, International Conference on Cyber Science and Technology Congress (DASC/PiCom/CBDCom/CyberSciTech), Calgary, AB, Canada, 17–22 August 2020. [Google Scholar]
- Ouechtati, H.; Nadia, B.A.; Lamjed, B.S. A fuzzy logic-based model for filtering dishonest recommendations in the social internet of things. J. Ambient. Intell. Humaniz. Comput. 2021, 14, 6181–6200. [Google Scholar] [CrossRef]
- Narang, N.; Kar, S. A hybrid trust management framework for a multi-service social iot network. Comput. Commun. 2021, 171, 61–79. [Google Scholar] [CrossRef]
- Amin, F.; Majeed, A.; Mateen, A.; Abbasi, R.; Hwang, S.O. A systematic survey on the recent advancements in the social internet of things. IEEE Access 2022, 10, 63867–63884. [Google Scholar] [CrossRef]
- Dong, P.; Ge, J.; Wang, X.; Guo, S. Collaborative edge computing for social internet of things: Applications, solutions, and challenges. IEEE Trans. Comput. Soc. Syst. 2021, 9, 291–301. [Google Scholar] [CrossRef]
- Hosseinzadeh, M.; Mohammadi, V.; Lansky, J.; Nulicek, V. Advancing the social internet of things (siot): Challenges, innovations, and future perspectives. Mathematics 2024, 12, 715. [Google Scholar] [CrossRef]
- Salim, S.; Moustafa, N.; Turnbull, B. Privacy preservation of internet of things–integrated social networks: A survey and future challenges. Int. J. Web Inf. Syst. 2025, 21, 372–431. [Google Scholar] [CrossRef]
- Jiang, B.; Li, J.; Yue, G.; Song, H. Differential privacy for industrial internet of things: Opportunities, applications, and challenges. IEEE Internet Things J. 2021, 8, 10430–10451. [Google Scholar] [CrossRef]
- Amiri-Zarandi, M.; Dara, R.A.; Lin, X. SIDS: A federated learning approach for intrusion detection in iot using social internet of things. Comput. Netw. 2023, 236, 110005. [Google Scholar] [CrossRef]
- Zouzou, M. Multi-Context-based Trust Management Framework and Simulator for Social Internet of Things. Ph.D. Thesis, Staffordshire University, London, UK, 2024. [Google Scholar]
- Ferraris, D.; Fernandez-Gago, C.; Roman, R.; Lopez, J. A survey on IoT trust model frameworks. J. Supercomput. 2024, 80, 8259–8296. [Google Scholar] [CrossRef]


















| Topics | [6] | [7] | [8] | [9] | [10] | [11] | [12] | [13] | [14] |
|---|---|---|---|---|---|---|---|---|---|
| Development of SIoT | ✓ | ✓ | ✓ | ✓ | |||||
| Differences between SIoT and IoT | ✓ | ||||||||
| Latest activities in SIoT | ✓ | ||||||||
| Foundational technologies in SIoT | ✓ | ||||||||
| Architecture of SIoT | ✓ | ✓ | ✓ | ✓ | ✓ | ✓ | |||
| Social relationships | ✓ | ✓ | ✓ | ✓ | ✓ | ||||
| Fundamental concepts and attributes of trust | ✓ | ✓ | ✓ | ✓ | ✓ | ✓ | ✓ | ✓ | |
| Trust management process and components | ✓ | ✓ | ✓ | ✓ | ✓ | ✓ | ✓ | ✓ | ✓ |
| Trust management constraints | ✓ | ||||||||
| Classification of trust management models in existing research | ✓ | ✓ | ✓ | ✓ | ✓ | ✓ | ✓ | ✓ | ✓ |
| Trust attack threats in SIoT | ✓ | ✓ | ✓ | ✓ | ✓ | ✓ | ✓ | ✓ | |
| Future research directions for SIoT | ✓ | ✓ | ✓ | ✓ | |||||
| Challenges in SIoT | ✓ | ✓ | ✓ | ✓ | |||||
| Applications of SIoT | ✓ | ✓ | ✓ | ✓ | |||||
| Trust management platform | ✓ | ✓ | ✓ | ||||||
| Application platforms and tools of SIoT | ✓ | ✓ | ✓ | ✓ | |||||
| Datasets of SIoT | ✓ | ✓ |
| Ref | Year | SIoT-A | SR | T-C&A | TM-P | TA-N | TA-D | TA-S |
|---|---|---|---|---|---|---|---|---|
| [6] | 2015 | × | × | ✓ | ✓ | 5 | ~ | × |
| [7] | 2016 | ✓ | × | ✓ | ✓ | 6 | × | × |
| [8] | 2019 | ✓ | ✓ | ✓ | ✓ | 6 | × | × |
| [9] | 2020 | ✓ | ✓ | ✓ | ✓ | 6 | ✓ | × |
| [10] | 2020 | ✓ | × | ✓ | ✓ | 7 | × | × |
| [11] | 2020 | ✓ | ✓ | ✓ | ✓ | 7 | × | × |
| [12] | 2022 | ✓ | ✓ | ✓ | ✓ | 7 | ✓ | × |
| [13] | 2023 | × | × | × | ✓ | 7 | ~ | × |
| [14] | 2024 | × | ✓ | ✓ | ✓ | 7 | × | × |
| Our paper | ✓ | ✓ | ✓ | ✓ | 7 | ✓ | ✓ | |
| Comparison Item | Cyber Attack | Trust Attack |
|---|---|---|
| Attack target | Disrupting system functions, stealing information, or blocking services, etc. | Manipulating trust mechanisms, misleading trust decisions, etc. |
| Attack mode | Exploit vulnerabilities, resource exhaustion, data theft, etc. | Forgery or falsification of trust information to interfere with trust assessment |
| Stealthiness | The stealthiness of different attacks varies widely | More covert |
| Scope of influence | Affect the system function, data security, cause business interruption, economic loss, etc. | Confusing the trust relationship between nodes, destroying the collaboration mechanism, etc. |
| Difficulty of detection | The difficulty of preventing different attacks varies greatly | Higher |
| Ref. | Year | Trust Features | ML Methods | Trust Attacks |
|---|---|---|---|---|
| [63] | 2019 | reputation, honesty, quality of provider, similarity, rating frequency, direct experience | MLP | BMA, BSA, SPA, DA |
| [64] | 2019 | reputation, honesty, quality of provider, similarity, direct experience, rating frequency, evaluation trend | MLP | BSA, BMA, SPA, DA |
| [65] | 2020 | goodness, usefulness, perseverance | iSVM | BSA, BMA, DA, WWA, OSA, OOA |
| [66] | 2021 | reputation, rating frequency, similarity, community of interest, honesty | MLP | BMA, BSA, SPA, DA, OSA |
| [67] | 2021 | direct trust, recommended trust, relative centrality | MLP | BMA, BSA, OSA |
| [68] | 2021 | recommendation, honesty, reputation, social similarity, knowledge | MLP, DBN | OSA, OOA, WWA |
| [69] | 2023 | direct Trust, reliability/benevolence, recommendation, degree of relationship | MLP | NA |
| [70] | 2023 | trust value, vote, vote similarity, users similarity, quality of provider, rating-frequency, rating-trend | Linear Regression | BMA, BSA, SPA, OOA, DA, OSA |
| [71] | 2023 | packet loss rate, delay, throughput | LSTM | BMA, BSA |
| [72] | 2023 | integrated degree of Influence, malicious transaction history, social sentiment score, ageing trust, feedback heterogeneity, feedback per service ratio | General | OOA, BSA |
| [52] | 2025 | centrality, social relationship factor, recommendation, computational and energy, capability, goodness, usefulness, perseverance, fluctuation | MLP | DA, OOA, WWA, OSA |
| Ref. | Year | Trust Composition | Trust Propagation | Trust Update | Trust Attacks |
|---|---|---|---|---|---|
| [73] | 2016 | computation power, context importance, confidence, feedback | Distributed | Hybrid | BMA, BSA, SPA, OOA |
| [74] | 2017 | direct trust, indirect trust, transaction factors | Distributed | Hybrid | OOA |
| [75] | 2017 | direct trust, Centrality, Cooperativeness, community interest, Service Score | Distributed | Time-driven | OOA |
| [76] | 2017 | direct Trust, centrality, cooperativeness, community interest, energy, service score | NA | Event-drive | OOA |
| [77] | 2018 | independent metrics, dependent metrics | Distributed | Event-drive | BMA, BSA |
| [78] | 2019 | intimacy, service feedback, sociability, transaction importance | Distributed | Event-drive | BMA, BSA, SPA, OOA, OSA |
| [79] | 2019 | direct trust, indirect trust | Distributed | Hybrid | BMA, SPA, DA, WWA |
| [80] | 2020 | honesty, cooperativeness, community of Interest, competence | Distributed | Time-driven | BMA, BSA, SPA, OSA |
| [81] | 2020 | competence, willingness | Distributed | Hybrid | BMA, BSA, SPA, DA, WWA, OSA |
| [82] | 2020 | context-based trust, reputation | Distributed | Hybrid | BMA, BSA, SPA, OSA |
| [83] | 2020 | direct interaction, direct interaction, direct relationship, indirect relationship | Hybrid | Hybrid | BMA, BSA, SPA, WWA |
| [84] | 2020 | similarity (community-of-interest, friendship, co-work), recommendation | Distributed | Hybrid | BMA, BSA |
| [85] | 2020 | service reliability, feedback validity, capability, activity, social relationship | Hybrid | Hybrid | BMA, SPA |
| [86] | 2022 | capability, commitment, satisfaction | Distributed | Time-driven | BMA, BSA, SPA, DA, OSA |
| [87] | 2022 | QoS, recommendation, trust uncertainty, context | Distributed | Hybrid | BMA, BSA, SPA, DA, WWA, OSA |
| [88] | 2024 | direct trust, recommendation, social similarity | Na | Event-drive | OOA |
| Ref. | Defense Strategies Against Trust Attacks |
|---|---|
| [52] | DA, OOA, WWA, OSA: centrality, social relationship factor, recommendation, computational and energy, capability, goodness, usefulness, perseverance, fluctuation |
| [63] | BMA, BSA, SPA, DA: trust feature aggregation and attack classification with MLP models |
| [64] | BMA, BSA: direct experience, rating frequency, QoS, honesty, reputation; SPA: similarity, QoS, honesty, reputation; DA: evaluation trends, QoS, reputation |
| [65] | BMA, BSA, DA, OOA, WWA, OSA: goodness score, usefulness score, perseverance score |
| [66] | BMA, BSA, SPA, DA, OSA: classifying trust attacks using ANN models |
| [67] | BMA: assign tasks based on transaction importance; BSA: weighting of referrer trust values; OSA: double the penalty for unsatisfactory events |
| [68] | OSA: honesty, reputation, cooperativeness, social similarity; OOA: reputation; WWA: cooperativeness, reputation |
| [70] | BMA, BSA, SPA, OOA, DA, OSA: trust value, vote, vote similarity, users similarity, quality of provider, rating-frequency, rating-trend |
| [71] | BMA, BSA: packet loss rate, delay, throughput |
| [72] | BSA, OOA: social sentiment score, ageing trust, feedback heterogeneity, feedback per service ratio |
| [73] | BMA: contextual feedback, multiple contextual factors; BSA: assessing feedback credibility; SPA: context; OOA: feedback variance, multiple contextual factors |
| [74] | OOA: secondary penalties, trust predictions |
| [75] | OOA: introduction of expected trust, trust cycle update |
| [76] | OOA: multi-attribute aggregation, dynamic update of trust, trust thresholds |
| [77] | BMA: recommendation trust; BSA: context |
| [78] | BMA, BSA: recommendation trust; SPA: service feedback; OOA, OSA: trust prediction |
| [79] | BMA: recommendation trust; SPA: indirect trust, relevance testing; DA: community of interest grouping; WWA: historical trust values, third-party recommendations |
| [80] | BMA: collaborative, communities of interest; BSA: honesty; SPA: historical behavior, recommendations; OSA: dynamically updated trust |
| [81] | BMA: multi-source trust dilution; BSA: threshold constraints; SPA: historical service records; DA, WWA: social relationship constraints; OSA: service penalty mechanisms |
| [82] | BMA, BSA: dynamically adjusting rater credibility; SPA: limiting own ratings; OSA: context |
| [83] | BMA, BSA: record integrity of blockchain; SPA: integrity and tamperability of blockchain; WWA: long-term behavioral records of blockchain |
| [84] | BMA: trust consistency testing; BSA: direct and indirect trust |
| [85] | BMA, SPA: normalization of trust |
| [86] | BMA, BSA: service feedback; SPA: historical experience; DA: social experience; OSA: dual penalty factor |
| [87] | BMA, BSA, SPA, DA, WWA, OSA: limiting own ratings, dynamically adjusting rater credibility, context |
| [88] | OOA: direct trust threshold |
| [89] | BMA, BSA, SPA: honesty; DA: cooperativeness, community-interest; WWA: historical trust, declining trust |
| [90] | BMA, BSA: reputation, experience, knowledge, time |
| [91] | BMA: service feedback |
| [92] | BMA, BSA: information entropy, limiting access to weak social connections, direct and indirect trust |
| [93] | BSA, SPA: social relationships |
| [94] | BMA: limit repeated attacks; BSA: multi-node evaluation prevents manipulation; OOA: evaluate feedback credibility |
| Trust Attacks | Category Classification | Refs. |
|---|---|---|
| BMA | Based on feature | [64,65,73,80,86,89,90,91] |
| Based on policies | [67,81,82,84,85,87,88,92,94] | |
| Based on trust metrics | [77,78,79] | |
| Based on emerging technologies | machine learning: [63,66]; blockchain: [83] | |
| BSA | Based on feature | [64,65,77,80,86,89,90,93] |
| Based on policies | [67,73,81,82,87,88,94] | |
| Based on trust metrics | [78,84,92] | |
| Based on emerging technologies | machine learning: [63,66]; blockchain: [83] | |
| SPA | Based on feature | [64,77,78,80,81,86,89,93] |
| Based on trust metrics | [79] | |
| Based on policys | [67,82,87] | |
| Based on emerging technologies | machine learning: [63,66], blockchain: [83] | |
| DA | Based on feature | [64,65,86,89] |
| Based on policies | [79,81,87] | |
| Based on emerging technologies | machine learning: [63,66] | |
| WWA | Based on feature | [65,68,89] |
| Based on trust metrics | [79] | |
| Based on policies | [81,87] | |
| Based on emerging technologies | blockchain: [83] | |
| OOA | Based on feature | [68,77] |
| Based on trust prediction | [74,78] | |
| Based on policies | [73,75,76,94] | |
| OSA | Based on feature | [65,68,82] |
| Based on trust prediction | [78] | |
| Based on policies | [67,80,81,86,87] | |
| Based on emerging technologies | machine learning: [63,66] |
| Category | Params | Notes |
|---|---|---|
| Hardware | CPU | Intel(R) Xeon(R) Gold 5218, 2.30 GHz |
| GPU | 4×NVIDIA GeForce RTX 3090, 24 GB | |
| RAM | DDR4-2666 MHz ECC, 504 GB | |
| Software | OS | Ubuntu 20.04.6 LTS |
| Python | 3.10.14 | |
| Numpy | 1.24.3 | |
| Matplotlib | 3.7.2 |
| Params | Description | Value |
|---|---|---|
| N | Number of nodes in the network | 100 |
| S | Total simulation time | 100 |
| IT | Initial trust value of nodes | 0.6 |
| TN | Number of transaction interactions per round | 1000 |
| Time-decaying benchmark trust | 0.5 | |
| Trust value threshold for successful transaction interaction | 0.6 | |
| Percentage of attacking nodes | 10~50% | |
| The trust threshold for blacklisting attacking nodes | 0.5 | |
| Trust forgetting rate | 0.02 | |
| Suspicious score decay coefficient at each time step | 0.9 | |
| C | On/Off attack alternation cycle | 5 |
| x | The number of “friend nodes” for each node |
| Attacks | Attack Surfaces | Attack Capability | Suggested Defense Strategies | ||
|---|---|---|---|---|---|
| Disruption Speed | Attack Strength | Stealthiness | |||
| BMA | Recommendation/rating manipulation | H | H | L | Recommendation trust; Rater credibility weighting |
| BSA | Recommendation/rating manipulation | L | L | M | Recommendation trust; Correlation analysis of rating patterns |
| SPA | Self-rating manipulation | H | H | L | Self-rating limitation; Trust consistency checks |
| DA | Targeted service interactions | L | M | H | Social relationship constraints; Long-term behavior profiling |
| OOA | Temporal pattern of service behaviour | M | H | L | Time-weighted trust decay; short-term consistency detection; Trust cycle prediction |
| WWA | Identity management and network admission | M | H | M | Trial period for new nodes; Identity association verification |
| OSA | Context-dependent service interactions | M | L | H | Context-aware trust updates; Trust prediction and early alerts; |
Disclaimer/Publisher’s Note: The statements, opinions and data contained in all publications are solely those of the individual author(s) and contributor(s) and not of MDPI and/or the editor(s). MDPI and/or the editor(s) disclaim responsibility for any injury to people or property resulting from any ideas, methods, instructions or products referred to in the content. |
© 2025 by the authors. Licensee MDPI, Basel, Switzerland. This article is an open access article distributed under the terms and conditions of the Creative Commons Attribution (CC BY) license (https://creativecommons.org/licenses/by/4.0/).
Share and Cite
Zhang, C.; Lan, S.; Wang, L.; Liu, L.; Ren, J. Trust Attacks and Defense in the Social Internet of Things: Taxonomy and Simulation-Based Evaluation. Sensors 2025, 25, 7513. https://doi.org/10.3390/s25247513
Zhang C, Lan S, Wang L, Liu L, Ren J. Trust Attacks and Defense in the Social Internet of Things: Taxonomy and Simulation-Based Evaluation. Sensors. 2025; 25(24):7513. https://doi.org/10.3390/s25247513
Chicago/Turabian StyleZhang, Chunying, Siwu Lan, Liya Wang, Lu Liu, and Jing Ren. 2025. "Trust Attacks and Defense in the Social Internet of Things: Taxonomy and Simulation-Based Evaluation" Sensors 25, no. 24: 7513. https://doi.org/10.3390/s25247513
APA StyleZhang, C., Lan, S., Wang, L., Liu, L., & Ren, J. (2025). Trust Attacks and Defense in the Social Internet of Things: Taxonomy and Simulation-Based Evaluation. Sensors, 25(24), 7513. https://doi.org/10.3390/s25247513

