You are currently viewing a new version of our website. To view the old version click .
Sensors
  • This is an early access version, the complete PDF, HTML, and XML versions will be available soon.
  • Article
  • Open Access

9 December 2025

IRS-Assisted Dual-Mode Relay-Based Adaptive Transmission

,
,
,
,
and
1
Institute of Remote Sensing Satellite, China Academy of Space Technology, Beijing 100094, China
2
School of Cyber Engineering, Xidian University, Xi’an 710126, China
3
School of Electronics and Information, Zhengzhou University of Light Industry, Zhengzhou 450001, China
*
Author to whom correspondence should be addressed.
This article belongs to the Special Issue Future Wireless Communication Networks: 3rd Edition

Abstract

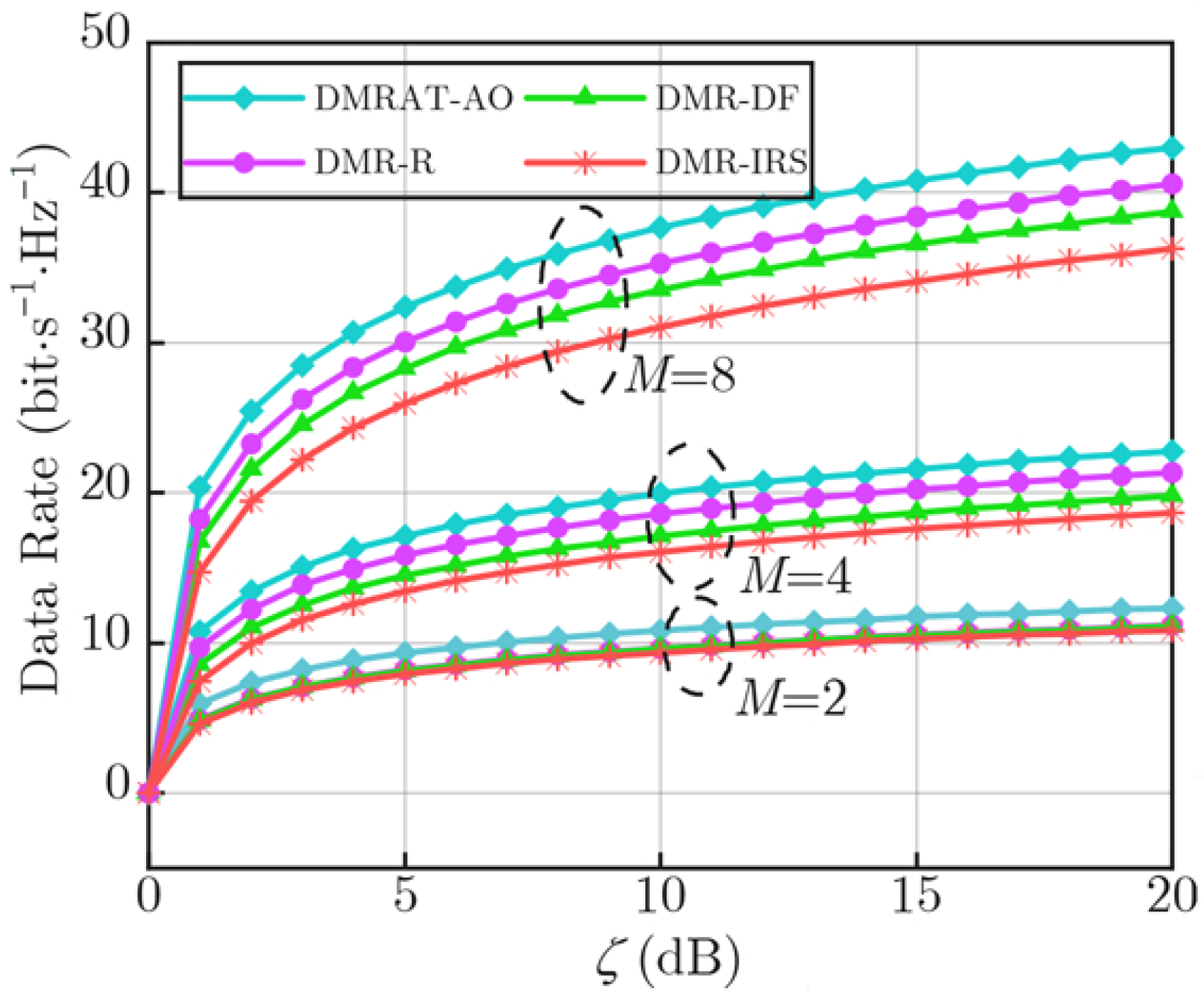
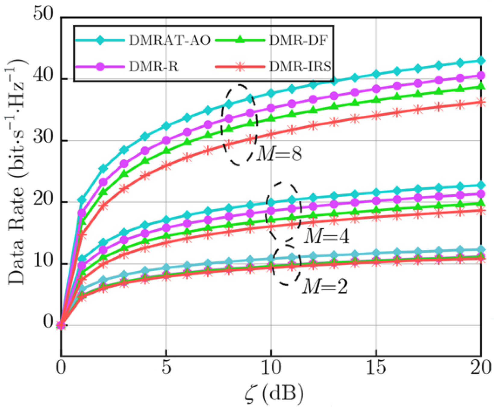
To address the challenges posed by increased power consumption in traditional active relays and the difficulties associated with countering channel fading for Intelligent Reflecting Surfaces (IRSs), we propose a dual-mode relay (DMR). This relay can dynamically switch between two operational modes: active relaying and passive IRS reflection. The DMR allows its units (DMRUs) to select their operational modes based on channel conditions. This capability enables the transmission of composite-mode signals, which consist of both active relaying components and IRS-reflected components. This dynamic switching enhances adaptation to the wireless environment. Furthermore, under the constraint of limited transmit power, we introduce a DMR-based Adaptive Transmission (DMRAT) method. This approach explores all possible DMR operational modes and employs the Alternating Optimization (AO) algorithm in each mode to jointly optimize the beamforming matrices of both the transmitter and the DMR, along with the reflection coefficient matrix of the IRS. Consequently, this maximizes the data transmission rate for the target communication pair. The optimal DMR mode can then be determined based on the optimized data rate for the target communication across various operational modes. Simulation results demonstrate that the proposed method significantly enhances the data transmission rate for the target communication pair.

Article Metrics

Citations

Article Access Statistics

Multiple requests from the same IP address are counted as one view.