Practical Predefined-Time Sliding-Mode Adaptive Resilient Control for PMSM Cyber–Physical Systems
Abstract
1. Introduction
- (1)
- Most existing security control strategies rely on the model information of the controlled object at the physical layer. However, when changes occur in the intelligent terminals of CPS, this can lead to control failures, rendering model-based control strategies insufficiently universal. Moreover, such strategies fail to meet cost-saving requirements during CPS update iterations. Therefore, there is an urgent need to develop an adaptive control strategy that does not depend on the model information of the controlled object. Nevertheless, current research on model-free and disturbance-independent control strategies for CPS remains limited.
- (2)
- Stability criteria for both finite-time convergence and fixed-time convergence have been proposed for NLS. However, practical NLS control faces limitations: the upper bound (UB) of convergence time in finite/fixed-time control theory depends on initial values and control parameters, resulting in a non-predetermined UB of convergence time. Although A. J. Muñoz–Vázquez proposed a PreTC stabilization criterion for NLS, allowing arbitrary setting of convergence time, this criterion designs a controller with fixed gains in the reaching law. Consequently, parameter adjustment for dynamic performance optimization is not feasible.
- (3)
- The application of SMC as a safety control strategy for CPS is prevalent. However, existing sliding-mode security control strategies for CPS can only ensure asymptotic convergence and provide no guarantees regarding the convergence of attacked CPS within a PDT. The PDT in SMC consists of two phases: the time required for the TTEor to reach the SMS and the time for the TTEor to converge to the equilibrium point. Current SMSs lack the capability to predefine convergence time, making it impossible to set an UB on the convergence time of TTEor after reaching the SMS. Consequently, the actual convergence time of the TTEor cannot be predetermined.
- (1)
- Although A. J. Muñoz–Vázquez proposed a PreTC stabilization criterion for NLSs, the controller gains are fixed, precluding adjustments to dynamic performance. This paper extends the stability criterion proposed by A. J. Muñoz–Vázquez to enhance PreTC theory. Specifically, controllers with adjustable gains in the reaching law are designed, enabling dynamic performance optimization of the controlled object through gain-tuning.
- (2)
- A novel SMS is proposed to contain the TTEor, allowing the UB of the TTEor‘s convergence time to be arbitrarily set according to engineering requirements. The controller designed based on this improved SMS, combined with the PreTC criterion proposed in this paper, ensures that the TTEor of CPS converges within the specified UB of convergence time.
- (3)
- The proposed approach employs an extreme learning machine (ELM) to estimate the system model and detect malicious cyber-attacks in real-time, using the TTEor as input information. By integrating the proposed SMS with the PreTC stabilization criterion, this paper develops a novel sliding-mode adaptive controller with a concise structure. This controller guarantees that the TTEor of CPS converges within a predetermined timeframe, thereby enhancing the universality and attack resilience of CPS security controllers.
2. Description of Cyber–Physical Systems
2.1. PMSM’s Model of the Physical Layer
2.2. Attack Model of the Network Layer
2.3. Control Objective
3. Novel PDT Convergence Stability Norm
4. Sliding-Mode Controller Design
4.1. Controller Desigen
4.2. Stability Analysis
5. Validation Analysis
5.1. Simulation Environment
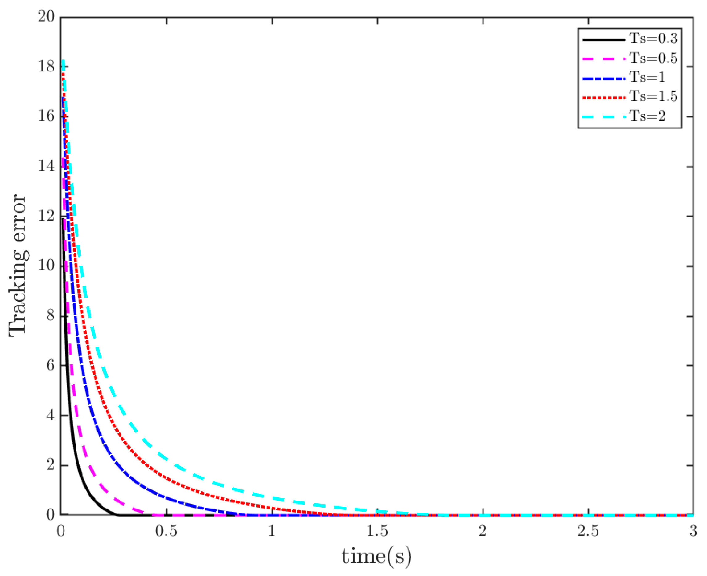
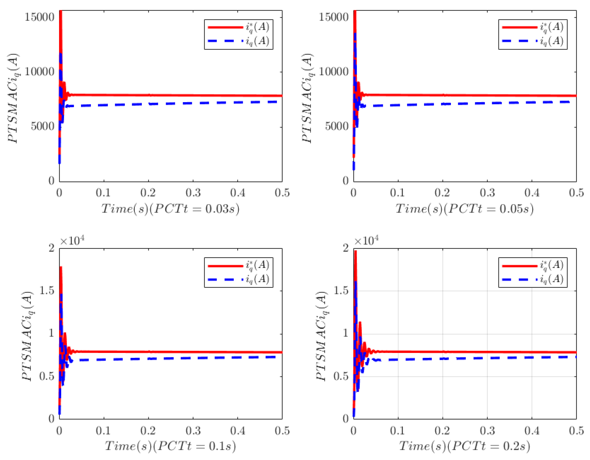
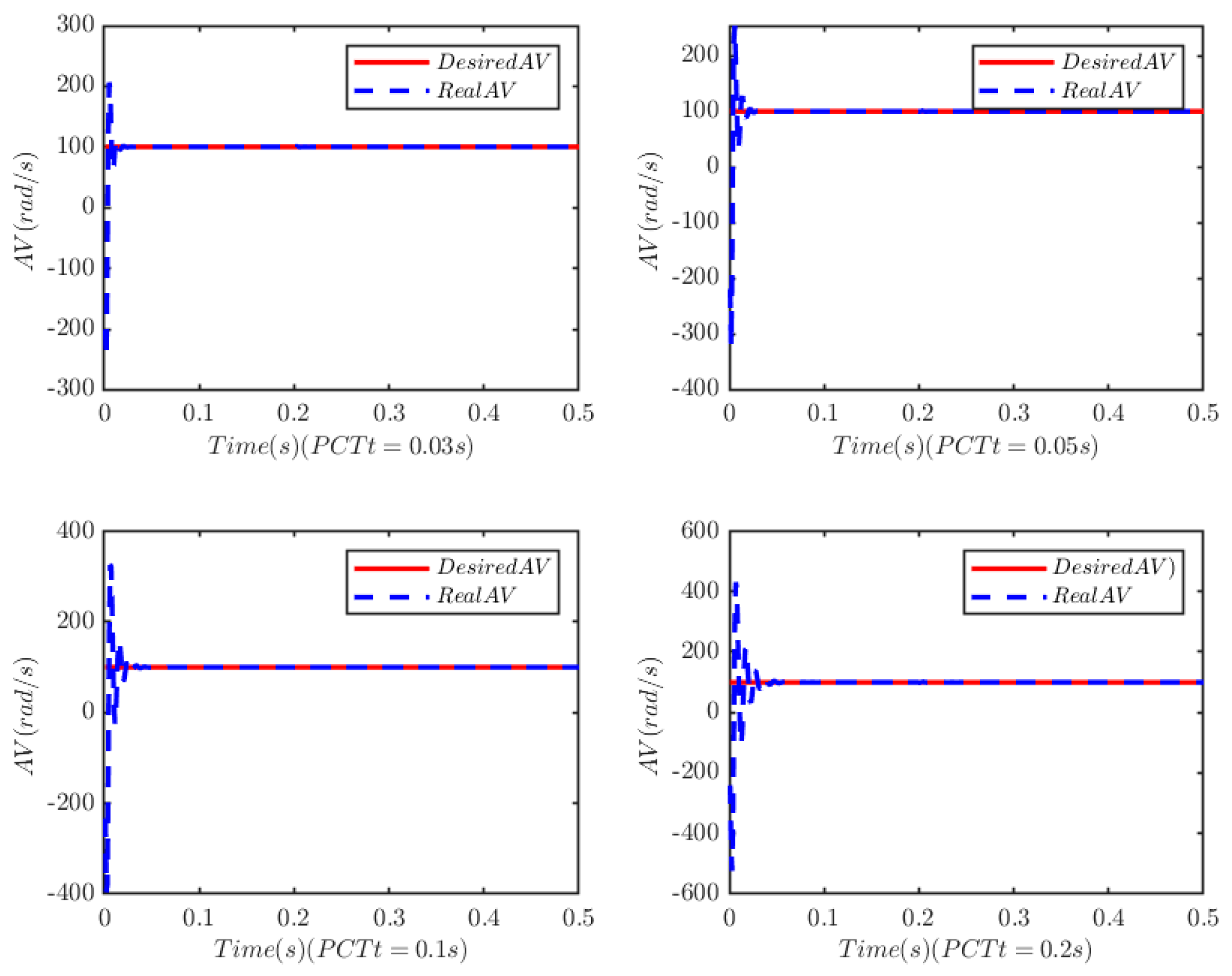
5.2. A Comparative Simulation Under Different Pdt
5.3. Anti-Interference Robust Analysis
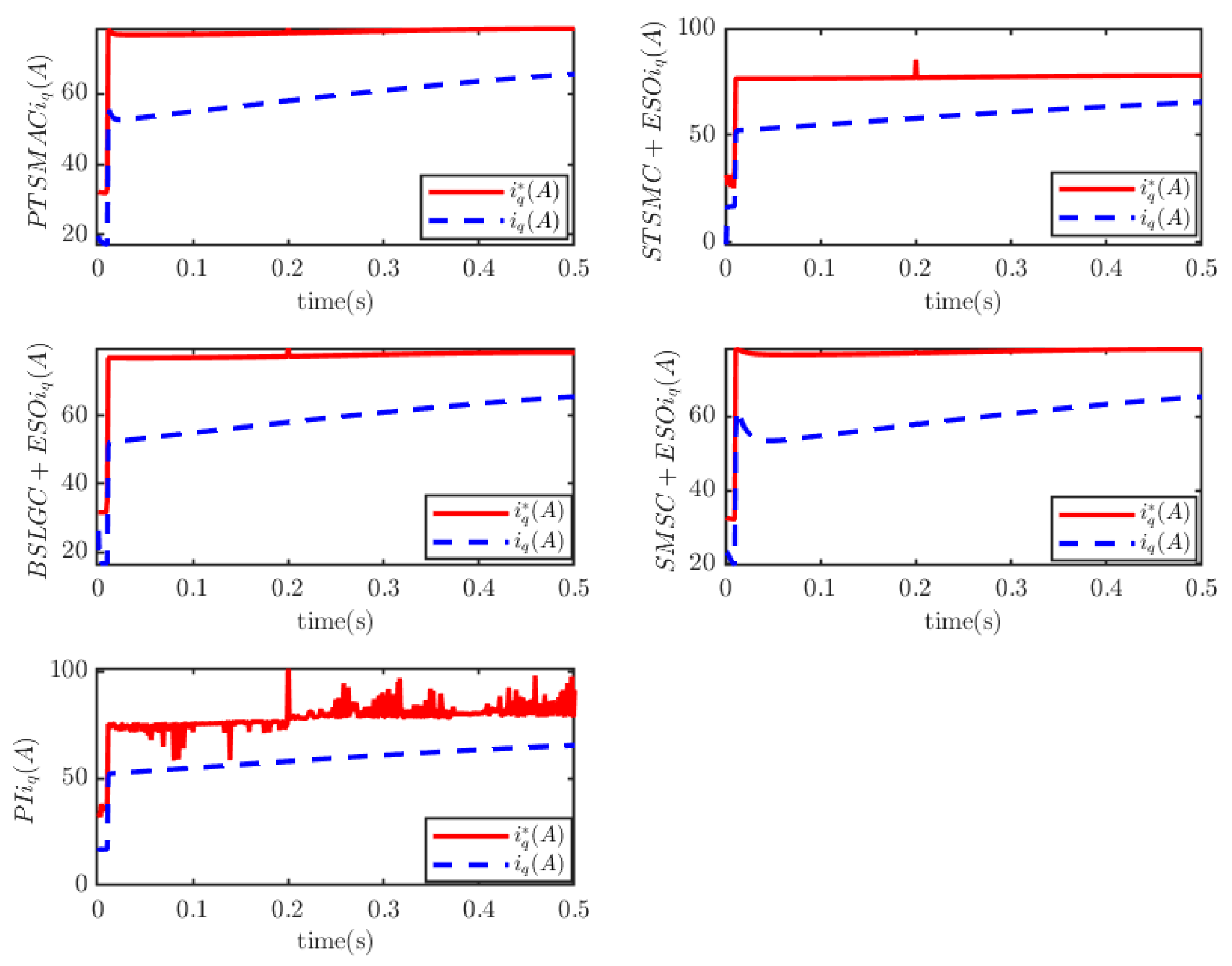
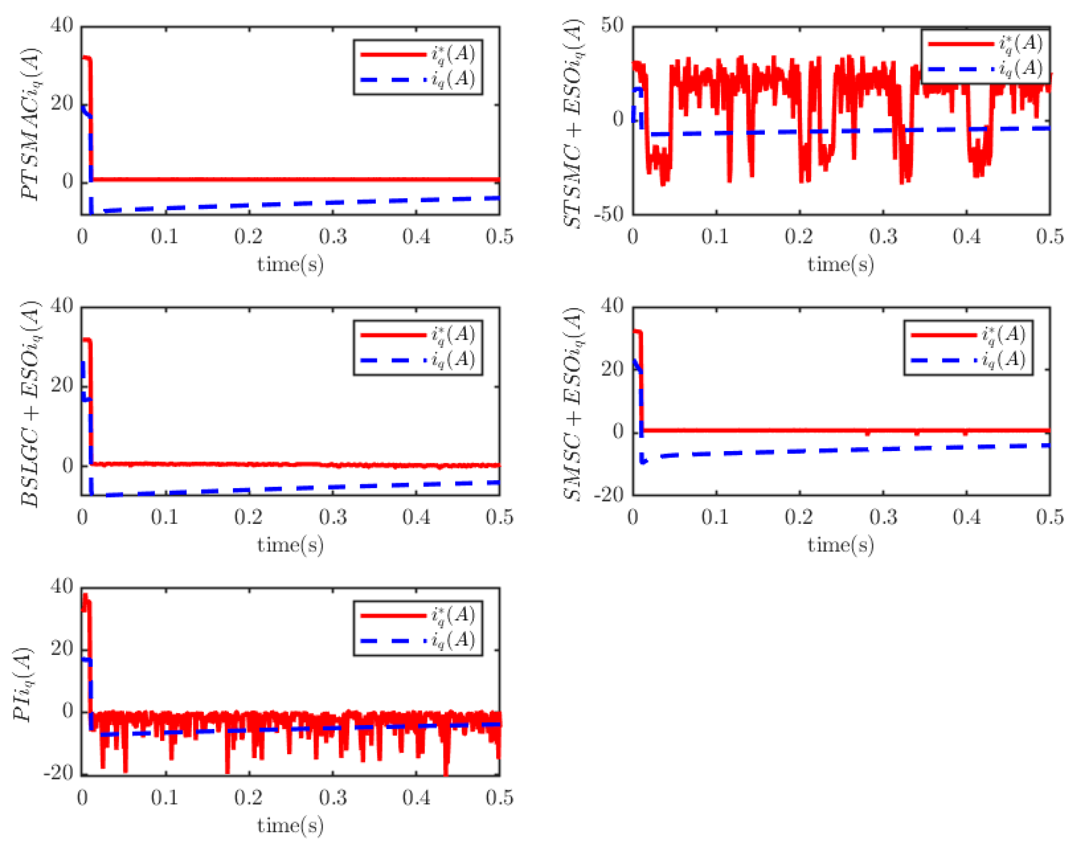
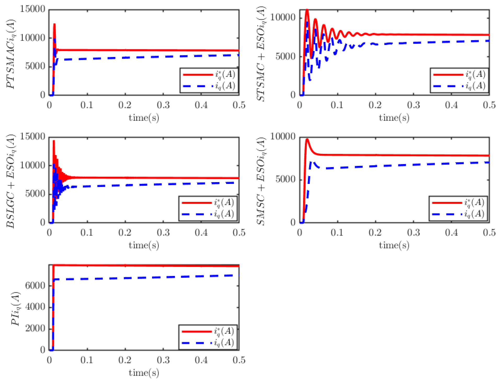
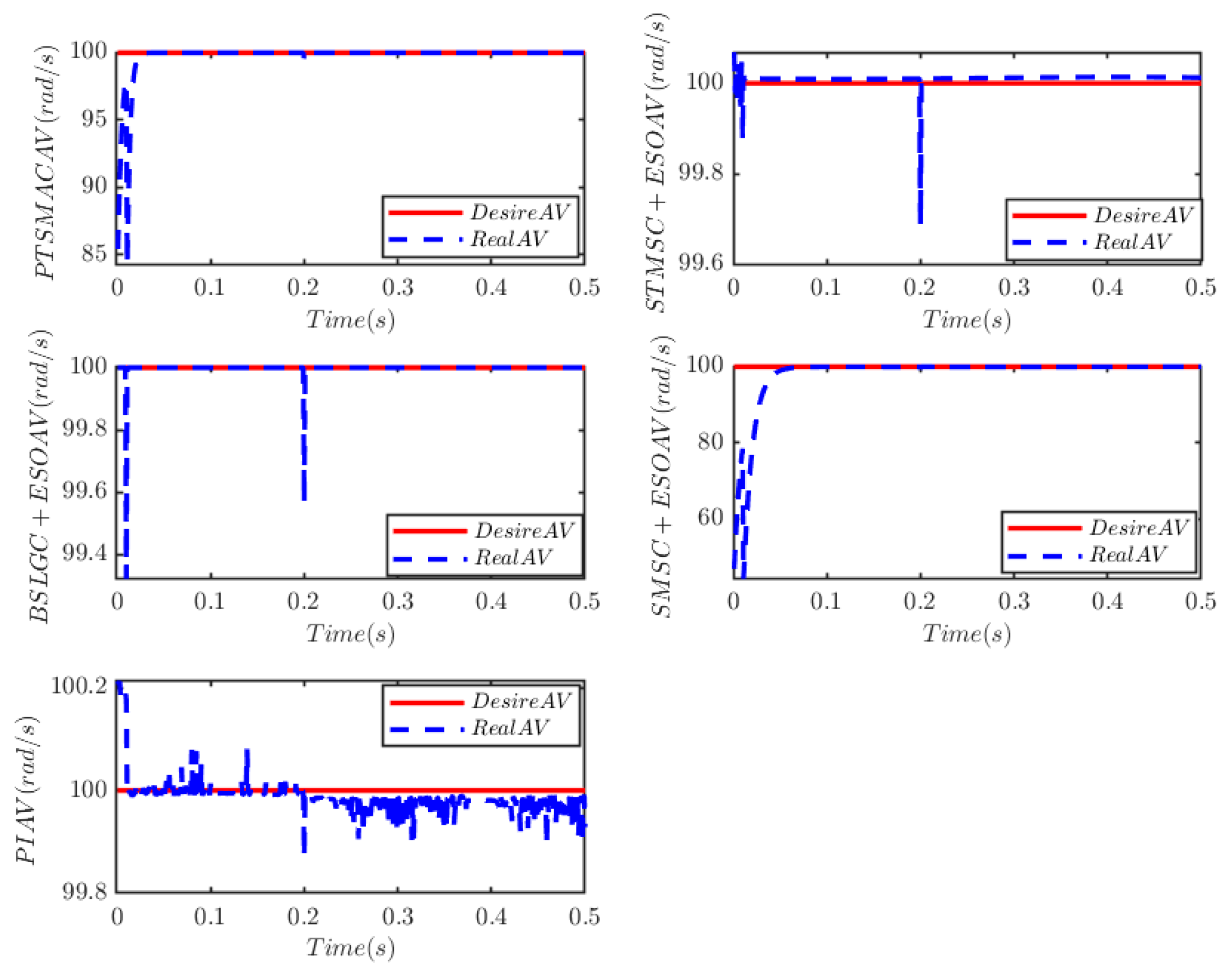
5.4. Performance Comparison and Simulation Analysis of Different Controllers
- (1)
- Super-twisting SMCler based on ESO (STSMC+ESO) [28].
- (2)
- Backstepping L2 gain controller based on ESO (BSLGC+ESO) [29].
- (3)
- Sliding-mode speed controller based on ESO (SMSC+ESO) [25].
- (4)
- PI controller.
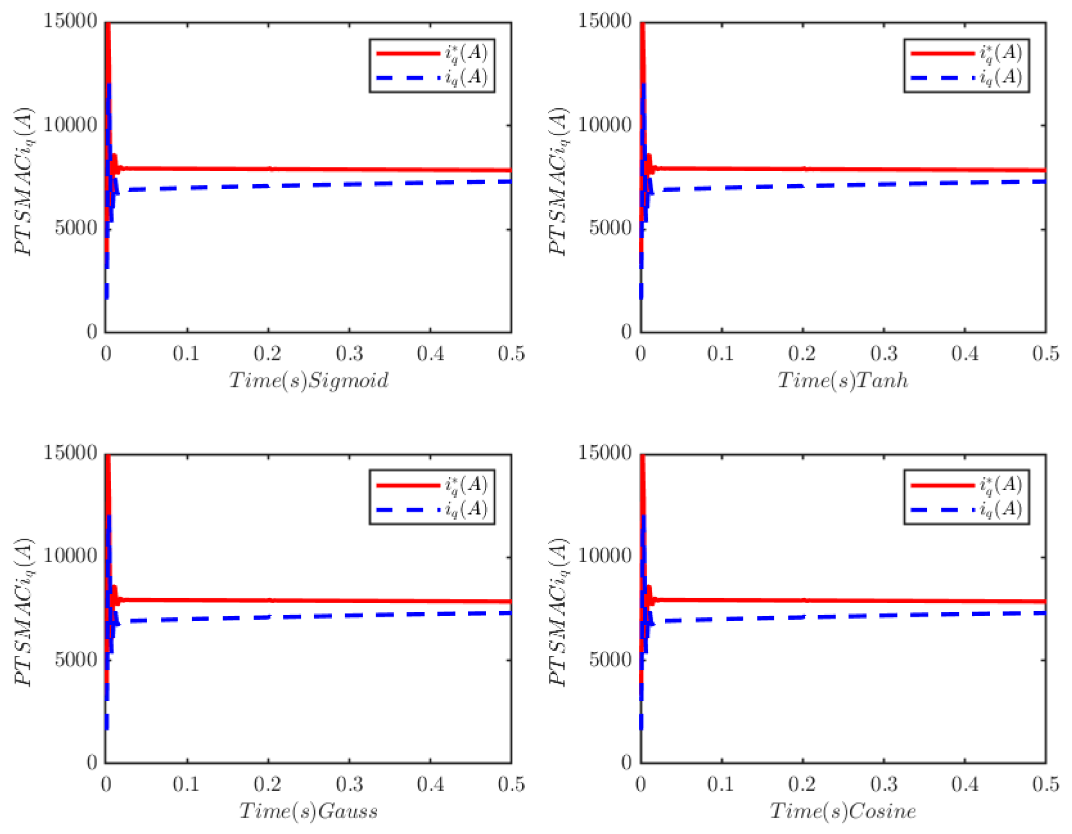
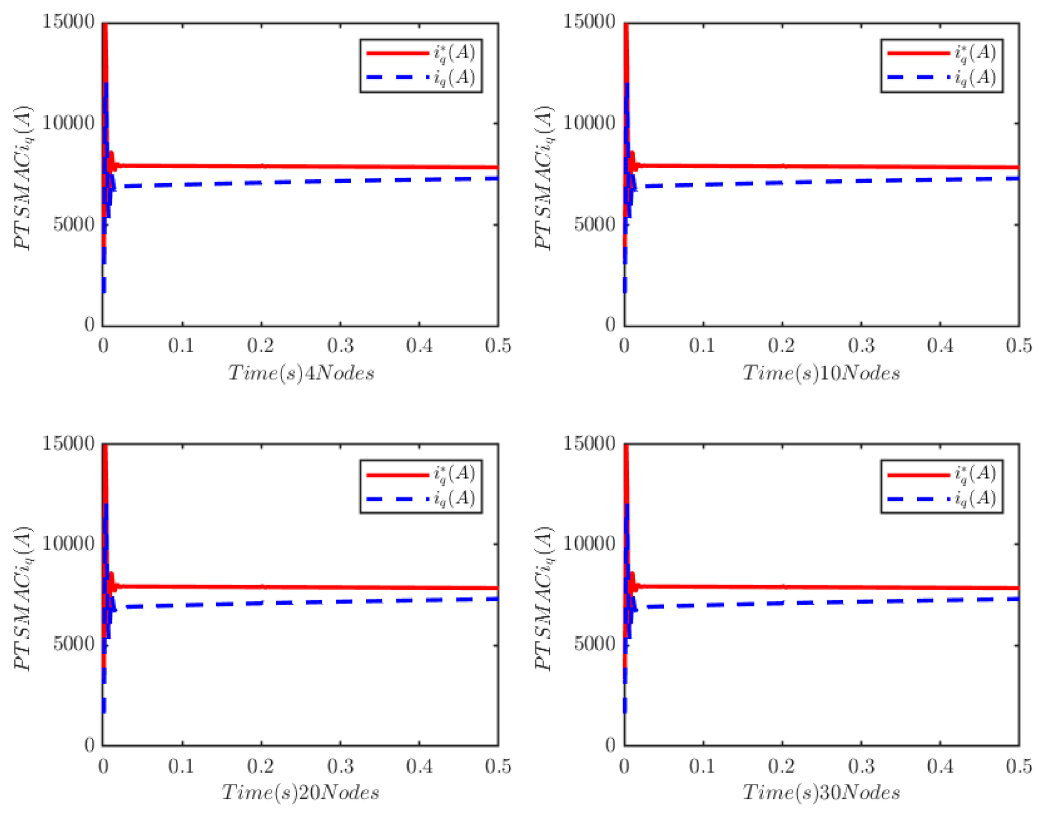
5.5. Sensitivity Analysis of ELM Parameters
6. Conclusions
Author Contributions
Funding
Institutional Review Board Statement
Informed Consent Statement
Data Availability Statement
Conflicts of Interest
Abbreviation
| ELM | Extreme learning machine | SMS | Sliding-mode surface |
| CPS | Cyber–physical system | DoS | Denial-of-service |
| FDI | False data injection | PreTC | Predefined-time convergence |
| PMSM | Permanent magnet synchronous motor | TTEor | Trajectory tracking error |
| PDT | Predefined time | NLS | Nonlinear system |
| SMC | Sliding-mode control | UB | Upper bound |
References
- Ding, Y.; Yin, C.W.; Riaz, S. A novel PT-SMC based resilient control of cyber-physical robotic system under malicious-threats. ISA Trans. 2025, 8, 63. [Google Scholar] [CrossRef]
- Ge, X.; Han, Q.L.; Zhong, M.; Zhang, X.M. Distributed Krein space-based attack detection over sensor networks under deception attacks. Automatica 2019, 109, 108557. [Google Scholar] [CrossRef]
- Deng, R.; Xiao, G.; Lu, R. Defending against false data injection attacks on power system state estimation. IEEE Trans. Ind. Inform. 2015, 13, 198–207. [Google Scholar] [CrossRef]
- Rawat, D.B.; Bajracharya, C. Detection of false data injection attacks in smart grid communication systems. IEEE Signal Process. Lett. 2015, 22, 1652–1656. [Google Scholar] [CrossRef]
- Li, B.; Lu, R.; Xiao, G.; Li, T.; Choo, K.-K.R. Detection of False Data Injection Attacks on Smart Grids: A Resilience-Enhanced Scheme. IEEE Trans. Power Syst. 2022, 37, 2679–2692. [Google Scholar] [CrossRef]
- Xie, C.H.; Yang, G.H. Observer-based attack-resilient control for linear systems against FDI attacks on communication links from controller to actuators. Int. J. Robust Nonlinear Control 2018, 28, 4382–4403. [Google Scholar] [CrossRef]
- Li, T.; Wang, L.; Li, Z. Observer-based adaptive event-triggered neural tracking control for nonlinear cyber-physical systems with incomplete measurements. Int. J. Adapt. Control Signal Process. 2023, 37, 972–992. [Google Scholar] [CrossRef]
- Su, L.; Ye, D.; Zhao, X.-G. Distributed secure state estimation for cyber-physical systems against replay attacks via multisensor method. IEEE Syst. J. 2021, 16, 5720–5728. [Google Scholar] [CrossRef]
- Meng, Q.; Kasis, A.; Polycarpou, M. Sliding Mode Control for Robustness in Networked Switched Systems Under Denial-of-Service Attacks. IEEE Trans. Autom. Control 2025, 70, 6021–6035. [Google Scholar] [CrossRef]
- Yin, C. Model-free sliding mode resilient control of cyber-physical system based on reinforcement learning. Appl. Intell. 2025, 55, 824. [Google Scholar] [CrossRef]
- Zhang, W.; Du, H.; Zhu, W. Finite-time speed sensorless control of permanent magnet synchronous motor based on generalized super-twisting algorithm. Control Theory Appl. 2021, 38, 833–841. [Google Scholar]
- Chen, Z.; Lin, Z.; Jia, H. Finite-time control for permanent magnet synchronous motor with prescribed performance. Control Theory Appl. 2021, 38, 479–488. [Google Scholar]
- Li, S.; Zhou, M.; Yu, X. Design and implementation of terminal sliding mode control method for PMSM speed regulation system. IEEE Trans. Ind. Inform. 2012, 9, 1879–1891. [Google Scholar] [CrossRef]
- Feng, Y.; Yu, X.; Han, F. High-order terminal sliding-mode observer for parameter estimation of a permanent-magnet synchronous motor. IEEE Trans. Ind. Electron. 2012, 60, 4272–4280. [Google Scholar] [CrossRef]
- Farbood, M.; Echreshavi, Z.; Mobayen, S.; Skruch, P. Resilient event-triggered observer-based control of uncertain nonlinear fuzzy systems subject to unknown inputs. IEEE Access 2025, 13, 156359–156374. [Google Scholar] [CrossRef]
- Echreshavi, Z.; Farbood, M.; Shasadeghi, M.; Mobayen, S. Robust event-triggered data-driven control subject to control constraints. Soft Comput. 2024, 28, 13083–13096. [Google Scholar] [CrossRef]
- Echreshavi, Z.; Farbood, M.; Shasadeghi, M.; Mobayen, S. Data-driven adaptive event-triggered terminal sliding mode control for nonlinear systems with prescribed performance. Int. J. Robust Nonlinear Control 2025, 1–15. [Google Scholar] [CrossRef]
- Yang, Z.; Zhao, Y.; Gao, F. Fixed-time stabilization for a wheeled mobile robot with actuator dead-zones. IAENG Int. J. Comput. Sci. 2021, 48, 514–518. [Google Scholar]
- Xu, P. Fixed time control of dynamic positioning ship with unknown interference. Open J. Appl. Sci. 2020, 10, 246–257. [Google Scholar] [CrossRef]
- Wang, L.; Du, H.; Zhang, W.; Wu, D.; Zhu, W. Implementation of integral fixed-time sliding mode controller for speed regulation of PMSM servo system. Nonlinear Dyn. 2020, 102, 185–196. [Google Scholar] [CrossRef]
- Yin, C.; Ding, Y.; Sun, H. Nonsingular Fast Predefined Time Convergence Sliding Mode Control for Construction Robot. ISA Trans. 2025, 161, 109–121. [Google Scholar] [CrossRef]
- Chavoshi, H.; Sedgh, A.; Khaloozadeh, H. Resilience PI controller design for mitigating weak denial-of-service attacks in cyber-physical systems. IET Cyber-Phys. Syst. Theory Appl. 2025, 10, 70002. [Google Scholar] [CrossRef]
- Yin, C.; Yi, P.; Bu, X. Neural network-based guaranteed performance sliding mode security control of nonlinear cyber-physical systems. Eng. Appl. Artif. Intell. 2025, 157, 111423. [Google Scholar] [CrossRef]
- Munoz-Vazquez, A.J.; Sánchez-Torres, J.D.; Jimenez-Rodriguez, E.; Loukianov, A.G. Predefined-time robust stabilization of robotic manipulators. IEEE/ASME Trans. Mechatron. 2019, 24, 1033–1040. [Google Scholar] [CrossRef]
- Wang, Y.; Feng, Y.; Zhang, X.; Liang, J. A new reaching law for anti-disturbance sliding-mode control of PMSM speed regulation system. IEEE Trans. Power Electron. 2020, 35, 4117–4126. [Google Scholar] [CrossRef]
- Raoufi, M.; Habibi, H.; Yazdani, A.; Wang, H. Robust prescribed trajectory tracking control of a robot manipulator using adaptive finite-time sliding mode and extreme learning machine method. Robotics 2022, 11, 111. [Google Scholar] [CrossRef]
- Huang, G.B.; Zhu, Q.Y.; Siew, C.K. Extreme learning machine: Theory and applications. Neurocomputing 2006, 70, 489–501. [Google Scholar] [CrossRef]
- Levant, A. Sliding order and sliding accuracy in sliding mode control. Int. J. Control 1993, 58, 1247–1263. [Google Scholar] [CrossRef]
- Forbes, J.R. L2-gain and passivity techniques in nonlinear control. IEEE Control Syst. Mag. 2017, 37, 75–76. [Google Scholar]






















| Lyapunov Candidate | Upper of Convergence Time | |
|---|---|---|
| Asymptotically stable system | ||
| Finite-time stability | ||
| Fixed-time stability | ||
| Predefined-time stability |
| Parametric | Notation | Value | Unit |
|---|---|---|---|
| Number of motor poles | p | 6 | / |
| Resistance | R | 1.55 | Ω |
| Stator inductance | 5 × 10−3 | H | |
| d-axis inductor | 6.71 × 10−3 | H | |
| q-axis inductor | 6.71 × 10−3 | H | |
| Permanent magnet chain | 0.175 | Wb | |
| Inertia moment | 0.0002 | kg·m2 | |
| Damping factor | 0.0003 | N·m·s | |
| Parametric perturbance | 20 sin(t) | / | |
| 10 sin(t) | / | ||
| 10 sin(t) | / |
| Controller | Case 1 | Case 2 | Case 3 | ||||||
|---|---|---|---|---|---|---|---|---|---|
| CT | SSE | CEC | CT | SSE | CEC | CT | SSE | CEC | |
| PTSMAC | 0.030 s | 0.007 | 3.8732 × 106 | 0.05 s | 0.006 | 0.0709 × 104 | 0.042 s | 0.025 | 0.3332 × 104 |
| STSMC+ESO | 0.320 s | 0.630 | 3.8668 × 106 | 0.01 s | 0.20 | 1.0243 × 104 | 0.016 s | 0.015 | 3.8167 × 104 |
| BSLGC+ESO | 0.102 s | 0.003 | 3.8669 × 106 | 0.01 s | 0.10 | 0.0569 × 104 | 0.012 s | 0.001 | 3.8331 × 104 |
| SMSC+ESO | 0.068 s | 0.140 | 3.8684 × 106 | 0.06 s | 3.00 | 0.0719 × 104 | 0.084 s | 0.037 | 3.8349 × 104 |
| PI | 0.450 s | 16.800 | 3.8646 × 106 | 0.01 s | 0.4 | 17.7741 × 104 | 0.013 s | 0.027 | 3.9071 × 104 |
Disclaimer/Publisher’s Note: The statements, opinions and data contained in all publications are solely those of the individual author(s) and contributor(s) and not of MDPI and/or the editor(s). MDPI and/or the editor(s) disclaim responsibility for any injury to people or property resulting from any ideas, methods, instructions or products referred to in the content. |
© 2025 by the authors. Licensee MDPI, Basel, Switzerland. This article is an open access article distributed under the terms and conditions of the Creative Commons Attribution (CC BY) license (https://creativecommons.org/licenses/by/4.0/).
Share and Cite
Wang, Z.; Zhang, S.; Jiang, Y.; Yin, C. Practical Predefined-Time Sliding-Mode Adaptive Resilient Control for PMSM Cyber–Physical Systems. Sensors 2025, 25, 7380. https://doi.org/10.3390/s25237380
Wang Z, Zhang S, Jiang Y, Yin C. Practical Predefined-Time Sliding-Mode Adaptive Resilient Control for PMSM Cyber–Physical Systems. Sensors. 2025; 25(23):7380. https://doi.org/10.3390/s25237380
Chicago/Turabian StyleWang, Zhenzhong, Shu Zhang, Yun Jiang, and Chunwu Yin. 2025. "Practical Predefined-Time Sliding-Mode Adaptive Resilient Control for PMSM Cyber–Physical Systems" Sensors 25, no. 23: 7380. https://doi.org/10.3390/s25237380
APA StyleWang, Z., Zhang, S., Jiang, Y., & Yin, C. (2025). Practical Predefined-Time Sliding-Mode Adaptive Resilient Control for PMSM Cyber–Physical Systems. Sensors, 25(23), 7380. https://doi.org/10.3390/s25237380

