Enhancing Robotic Antenna Measurements with Composite-Plane Range Extension and Localized Sparse Sampling
Highlights
- Portable robotic antenna measurement framework integrating range extension techniques with localized, SVD-based sparse sampling for angular sectors of interest.
- Larger effective scan area than the robot’s reach and fewer samples in target sectors, while accuracy is maintained.
- Practical approach to employ medium-size robots for in situ characterization of electrically large or tilted-beam antennas without complex systems or intricate calibrations.
- Demonstrates that the proposed approach can decouple system reach from time-to-measure, informing the design of future cost-effective, portable and accurate robotic antenna metrology setups.
Abstract
1. Introduction
2. Methodology
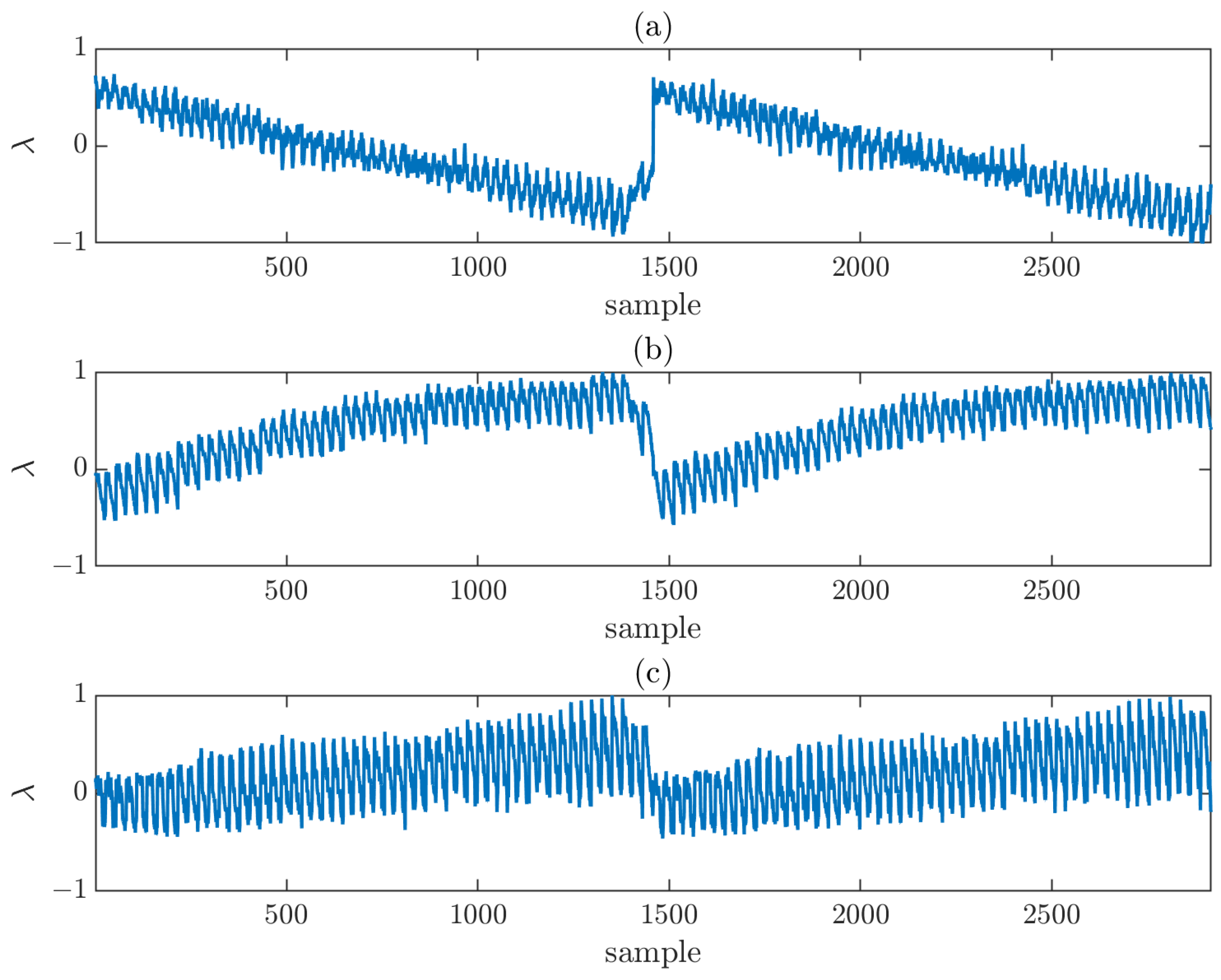
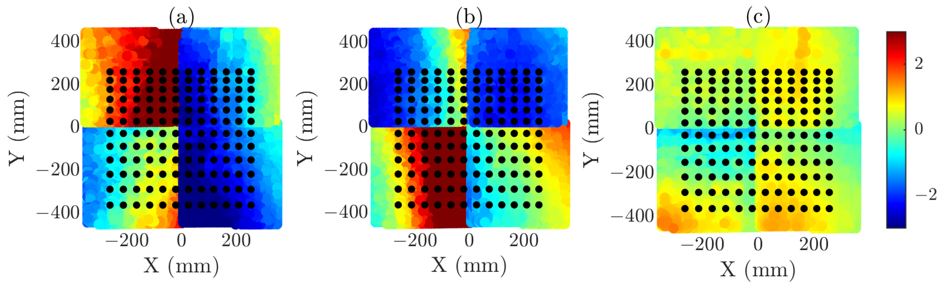
2.1. Composite-Plane Technique
2.2. Reduced Angular Pattern Domain Technique
3. Numerical Example
4. Experimental Validation at 10 GHz
- Complete single-plane acquisition (regularly sampled).
- Complete composite-plane acquisition (regularly sampled).
- Reduced grid for single-plane acquisition.
- Reduced grid for composite-plane acquisition.
5. Discussion
Author Contributions
Funding
Institutional Review Board Statement
Informed Consent Statement
Data Availability Statement
Conflicts of Interest
Abbreviations
| UAV | Unmanned aerial vehicle |
| OTS | Optical tracking system |
| PNF | Planar near-field |
| SVD | Singular value decomposition |
| AUT | Antenna under test |
| IR | Infrared |
| OEWG | Open ended waveguide |
| PWS | Plane wave spectrum |
References
- Martinez-de Rioja, E.; Arboleya, A.; Varela, F.R.; Fontá, C. Dual-Band Electromagnetic Skin With Independent Reflection Performance at 28 GHz and 39 GHz for 5G Millimeter-Wave Communications. IEEE Antennas Wirel. Propag. Lett. 2024, 23, 3138–3142. [Google Scholar] [CrossRef]
- Wu, Q.Y.; Wu, L.H.; Ben, C.Q.; Lian, J.W. Millimeter-Wave Miniaturized Substrate-Integrated Waveguide Multibeam Antenna Based on Multi-Layer E-Plane Butler Matrix. Electronics 2025, 14, 2553. [Google Scholar] [CrossRef]
- Hum, S.V.; Perruisseau-Carrier, J. Reconfigurable Reflectarrays and Array Lenses for Dynamic Antenna Beam Control: A Review. IEEE Trans. Antennas Propag. 2014, 62, 183–198. [Google Scholar] [CrossRef]
- Amri, M.M.; Tran, N.M.; Choi, K.W. Reconfigurable Intelligent Surface-aided Wireless Communications: Adaptive Beamforming and Experimental Validations. IEEE Access 2021, 9, 147442–147457. [Google Scholar] [CrossRef]
- Matos, S.A.; Teixeira, J.P.; Costa, J.R.; Fernandes, C.A.; Nachabe, N.; Luxey, C.; Titz, D.; Gianesello, F.; del Rio, C.; Arboleya, A.; et al. 3-D-Printed Transmit-Array Antenna for Broadband Backhaul 5G Links at V-Band. IEEE Antennas Wirel. Propag. Lett. 2020, 19, 977–981. [Google Scholar] [CrossRef]
- Bhadravathi Ghouse, P.S.; Mane, P.R.; Ali, T.; Golapuram Dattathreya, G.S.; Puthenveettil Gopi, S.; Pathan, S.; Anguera, J. A Low-Profile Circularly Polarized Millimeter-Wave Broadband Antenna Analyzed with a Link Budget for IoT Applications in an Indoor Scenario. Sensors 2024, 24, 1569. [Google Scholar] [CrossRef] [PubMed]
- Han, S.; Chih-Lin, I.; Xu, Z.; Rowell, C. Large-scale antenna systems with hybrid analog and digital beamforming for millimeter wave 5G. IEEE Commun. Mag. 2015, 53, 186–194. [Google Scholar] [CrossRef]
- Li, H.; Yu, J.; Diao, Y.; Liu, K. Platform Integrated Multiband MIMO Antennas for 5G Mobile Communications. IEEE Trans. Veh. Technol. 2023, 72, 11951–11962. [Google Scholar] [CrossRef]
- Breinbjerg, O.; Sierra-Castañer, M. Antenna Measurement Challenges and Opportunities. Rev. Electromagn. 2023, 2, 23003. [Google Scholar] [CrossRef]
- García-Fernández, M.; Álvarez López, Y.; Arboleya, A.; González-Valdés, B.; Rodríguez-Vaqueiro, Y.; De Cos Gómez, M.E.; Las-Heras Andrés, F. Antenna Diagnostics and Characterization Using Unmanned Aerial Vehicles. IEEE Access 2017, 5, 23563–23575. [Google Scholar] [CrossRef]
- Eibert, T.F.; Punzet, S.; Mittereder, T.; Faul, F.T.; Paulus, A.H. UAV-Based Near-Field Measurements at a Doppler Very High Frequency Omnidirectional Radio Range. In Proceedings of the 2023 17th European Conference on Antennas and Propagation (EuCAP), Florence, Italy, 26–31 March 2023; pp. 1–5. [Google Scholar] [CrossRef]
- Fritzel, T.; Steiner, H.J.; Strauß, R. Laser tracker metrology for UAV-based antenna measurements. In Proceedings of the 2018 IEEE Conference on Antenna Measurements and Applications (CAMA), Västerås, Sweden, 3–6 September 2018; pp. 1–3. [Google Scholar] [CrossRef]
- Faul, F.T.; Eibert, T.F. Setup and Error Analysis of a Fully Coherent UAV-based Near-Field Measurement System. In Proceedings of the 2021 15th European Conference on Antennas and Propagation (EuCAP), Dusseldorf, Germany, 22–26 March 2021; pp. 1–4. [Google Scholar] [CrossRef]
- Faul, F.T.; Steiner, H.J.; Eibert, T.F. Near-Field Antenna Measurements with Manual Collection of the Measurement Samples. Adv. Radio Sci. 2020, 18, 17–22. [Google Scholar] [CrossRef]
- Arboleya, A.; Laviada, J.; Álvarez López, Y.; Álvarez Narciandi, G.; Las-Heras, F.; Luxey, C.; Titz, D.; Bisognin, A. Freehand System for Probe-Fed Antenna Diagnostics by Means of Amplitude-Only Acquisitions. IEEE Trans. Instrum. Meas. 2024, 73, 1–4. [Google Scholar] [CrossRef]
- Gordon, J.A.; Novotny, D.R.; Francis, M.H.; Wittmann, R.C.; Butler, M.L.; Curtin, A.E.; Guerrieri, J.R. Millimeter-Wave Near-Field Measurements Using Coordinated Robotics. IEEE Trans. Antennas Propag. 2015, 63, 5351–5362. [Google Scholar] [CrossRef]
- Boehm, L.; Boegelsack, F.; Hitzler, M.; Waldschmidt, C. An automated millimeter-wave antenna measurement setup using a robotic arm. In Proceedings of the 2015 IEEE International Symposium on Antennas and Propagation & USNC/URSI National Radio Science Meeting, Vancouver, BC, USA, 19–24 July 2015; pp. 2109–2110. [Google Scholar] [CrossRef]
- Moch, R.; Heberling, D. Robot-Based Antenna and Radar Measurement System at the RWTH Aachen University. In Proceedings of the 2020 Antenna Measurement Techniques Association Symposium (AMTA), Newport, RI, USA, 2–5 November 2020; pp. 1–5. [Google Scholar]
- Hatzis, J.; Pelland, P.; Hindman, G. Implementation of a combination planar and spherical near-field antenna measurement system using an industrial 6-axis robot. In Proceedings of the AMTA 2016 Proceedings, Austin, TX, USA, 28 October–1 November 2016; pp. 1–6. [Google Scholar] [CrossRef]
- Next Phase Measurements. Single Robot System. Available online: https://nextphasemeasurements.com/robot-systems/single-robot/ (accessed on 24 November 2024).
- Next Phase Measurements. Multi Robot Systems. Available online: https://nextphasemeasurements.com/robot-systems/multi-robot-sysm/ (accessed on 24 November 2024).
- Novotny, D.R.; Gordon, J.A.; Allman, M.S.; Guerrieri, J.R.; Curtin, A.E. Three antenna ranges based on articulated robotic arms at the national institute of standards and technology: Usability for over-the-air and standard near-field measurements. In Proceedings of the 2017 IEEE Conference on Antenna Measurements & Applications (CAMA), Tsukuba, Japan, 4–6 December 2017; pp. 1–4. [Google Scholar] [CrossRef]
- Slater, P.A.; Downey, J.M.; Piasecki, M.T.; Schoenholz, B.L. Portable Laser Guided Robotic Metrology System. In Proceedings of the 2019 Antenna Measurement Techniques Association Symposium (AMTA), San Diego, CA, USA, 6–11 October 2019; pp. 1–6. [Google Scholar] [CrossRef]
- Fontá, C.; Varela, F.R.; Arboleya, A.; Martinez-De-Rioja, E. Robotic Arm-Based Antenna Measurement System. In Proceedings of the 2024 IEEE International Symposium on Antennas and Propagation and INC/USNC-URSI Radio Science Meeting (AP-S/INC-USNC-URSI), Florence, Italy, 14–19 July 2024; pp. 1097–1098. [Google Scholar] [CrossRef]
- Romero, C.F.; Arboleya, A.; Varela, F.R.; Martinez-de Rioja, E.; Castañer, M.S. Advanced In-Situ Antenna Measurement System Employing a Robotic Arm and Composite Planar Surfaces. In Proceedings of the 2025 19th European Conference on Antennas and Propagation (EuCAP), Stockholm, Sweden, 30 March–4 April 2025; pp. 1–5. [Google Scholar] [CrossRef]
- Bucci, O.; Franceschetti, G. On the spatial bandwidth of scattered fields. IEEE Trans. Antennas Propag. 1987, 35, 1445–1455. [Google Scholar] [CrossRef]
- Bucci, O.M.; Gennarelli, C.; Savarese, C. Representation of electromagnetic fields over arbitrary surfaces by a finite and nonredundant number of samples. IEEE Trans. Antennas Propag. 1998, 46, 351–359. [Google Scholar] [CrossRef]
- Caccioppoli, N.; Gennarelli, C.; Riccio, G.; Savarese, C. The planar wide-mesh grid: An effective scanning for far-field reconstruction. In Proceedings of the 2005 IEEE Antennas and Propagation Society International Symposium, Washington, DC, USA, 3–8 July 2005. [Google Scholar] [CrossRef]
- D’Agostino, F.; De Colibus, I.; Ferrara, F.; Gennarelli, C.; Guerriero, R.; Migliozzi, M. Far-field pattern reconstruction from near-field data collected via a nonconventional plane-rectangular scanning: Experimental testing. Int. J. Antennas Propag. 2014, 2014, 763687. [Google Scholar] [CrossRef]
- Saporetti, M.A.; Foged, L.J.; D’Agostino, F.; Ferrara, F.; Gennarelli, C.; Guerriero, R.; Trenta, D. Experimental Validation of Minimum Redundancy Scanning Schemes in PNF Measurements at V band. In Proceedings of the 2019 Antenna Measurement Techniques Association Symposium (AMTA), San Diego, CA, USA, 6–11 October 2019. [Google Scholar] [CrossRef]
- Alvarez, Y.; Sarkar, T.K.; Las-Heras, F. Improvement of the sources reconstruction techniques: Analysis of the SVD algorithm and the RWG basis functions. In Proceedings of the IEEE Antennas and Propagation Society International Symposium, Honolulu, HI, USA, 9–15 June 2007; pp. 5644–5647. [Google Scholar] [CrossRef]
- Hansen, T.B.; Paulus, A.; Eibert, T.F. On the condition number of a normal matrix in near-field to far-field transformations. IEEE Trans. Antennas Propag. 2019, 67, 2028–2033. [Google Scholar] [CrossRef]
- Capozzoli, A.; Curcio, C.; Liseno, A. Multi-Frequency Planar Near-Field Scanning by Means of Singular-Value Decomposition (SVD) Optimization. IEEE Antennas Propag. Mag. 2011, 53, 212–221. [Google Scholar] [CrossRef]
- Capozzoli, A.; Curcio, C.; Liseno, A. Different Metrics for Singular Value Optimization in Near-Field Antenna Characterization. Sensors 2021, 21, 2122. [Google Scholar] [CrossRef]
- Varela, F.R.; Castañer, M.S.; Saccardi, F.; Scialacqua, L.; Foged, L. Planar Wide Mesh Scanning using Multi-Probe Systems. In Proceedings of the 2023 Antenna Measurement Techniques Association Symposium (AMTA), Renton, WA, USA, 8–13 October 2023. [Google Scholar]
- Gregson, S.F.; McCormick, J.; Parini, C.G. Principles of Planar Near-Field Antenna Measurements; The Institution of Engineering and Technology: London, UK, 2007. [Google Scholar] [CrossRef]
- IEEE Std 1720-2012; IEEE Recommended Practice for Near-Field Antenna Measurements. IEEE: New York City, NY, USA, 2012. [CrossRef]
- Capozzoli, A.; Curcio, C.; Liseno, A.; Vinetti, P. Field sampling and field reconstruction: A new perspective. Radio Sci. 2010, 45, 31. [Google Scholar] [CrossRef]
- Capozzoli, A.; Celentano, L.; Curcio, C.; Liseno, A.; Savarese, S. Optimized Trajectory Tracking of a Class of Uncertain Systems Applied to Optimized Raster Scanning in Near-Field Measurements. IEEE Access 2018, 6, 8666–8681. [Google Scholar] [CrossRef]
- Rodríguez Varela, F.; Arboleya, A.; Fontá Romero, C.; Martinez-de Rioja, E.; Calatayud Maeso, J. Fast Planar Near-Field Measurements of Reduced Angular Pattern Domains. IEEE Trans. Antennas Propag. 2025, 73, 2160–2169. [Google Scholar] [CrossRef]
- Farouq, M.; Serhir, M.; Picard, D. Matrix method for antenna plane wave spectrum calculation using irregularly distributed near-field data: Application to far-field assessment. Prog. Electromagn. Res. M 2015, 42, 71–83. [Google Scholar] [CrossRef]














| N = 6 | N = 9 | N = 12 | N = 54 | |
|---|---|---|---|---|
| No OTS correction | 2.448 | 2.433 | 3.698 | 2.196 |
| OTS correction | 0.499 | 0.094 | 0.003 | 0.001 |
| N = 6 | N = 9 | N = 12 | N = 54 | |
|---|---|---|---|---|
| No OTS correction | 9.363 | 9.608 | 15.903 | 9.388 |
| OTS correction | 0.548 | 0.094 | 0.004 | 0.002 |
| N = 6 | N = 9 | N = 12 | N = 54 | |
|---|---|---|---|---|
| No OTS correction | 41.61 | 40.60 | 72.37 | 43.13 |
| OTS correction | 0.648 | 0.095 | 0.006 | 0.002 |
| N = 12 | |
|---|---|
| Nominal coord., single-plane | 0.255 |
| Nominal coord., composite-plane | 12.90 |
| OTS coord., single-plane | 0.001 |
| OTS coord., composite-plane | 1.679 |
Disclaimer/Publisher’s Note: The statements, opinions and data contained in all publications are solely those of the individual author(s) and contributor(s) and not of MDPI and/or the editor(s). MDPI and/or the editor(s) disclaim responsibility for any injury to people or property resulting from any ideas, methods, instructions or products referred to in the content. |
© 2025 by the authors. Licensee MDPI, Basel, Switzerland. This article is an open access article distributed under the terms and conditions of the Creative Commons Attribution (CC BY) license (https://creativecommons.org/licenses/by/4.0/).
Share and Cite
Fontá Romero, C.; Arboleya, A.; Rodríguez Varela, F.; Sierra Castañer, M. Enhancing Robotic Antenna Measurements with Composite-Plane Range Extension and Localized Sparse Sampling. Sensors 2025, 25, 7200. https://doi.org/10.3390/s25237200
Fontá Romero C, Arboleya A, Rodríguez Varela F, Sierra Castañer M. Enhancing Robotic Antenna Measurements with Composite-Plane Range Extension and Localized Sparse Sampling. Sensors. 2025; 25(23):7200. https://doi.org/10.3390/s25237200
Chicago/Turabian StyleFontá Romero, Celia, Ana Arboleya, Fernando Rodríguez Varela, and Manuel Sierra Castañer. 2025. "Enhancing Robotic Antenna Measurements with Composite-Plane Range Extension and Localized Sparse Sampling" Sensors 25, no. 23: 7200. https://doi.org/10.3390/s25237200
APA StyleFontá Romero, C., Arboleya, A., Rodríguez Varela, F., & Sierra Castañer, M. (2025). Enhancing Robotic Antenna Measurements with Composite-Plane Range Extension and Localized Sparse Sampling. Sensors, 25(23), 7200. https://doi.org/10.3390/s25237200

