Analysis of the Dick Effect for AI-Based Dynamic Gravimeters
Abstract
1. Introduction
2. Time-Domain Analysis of Dead-Time-Induced Gravity-Measurement Noise
2.1. Principle of Dynamic Hybrid Measurement and How Dead Time Is Induced
2.2. Dynamic Gravity-Measurement Data-Processing Flow
2.3. Source of Dynamic Gravity Data
2.4. Method and Results of Dynamic Gravity-Measurement Data with Dead Time
3. Frequency-Domain Analysis of Dead-Time-Induced Gravity-Measurement Noise
3.1. Derivation Between Gravity Noise and PSD
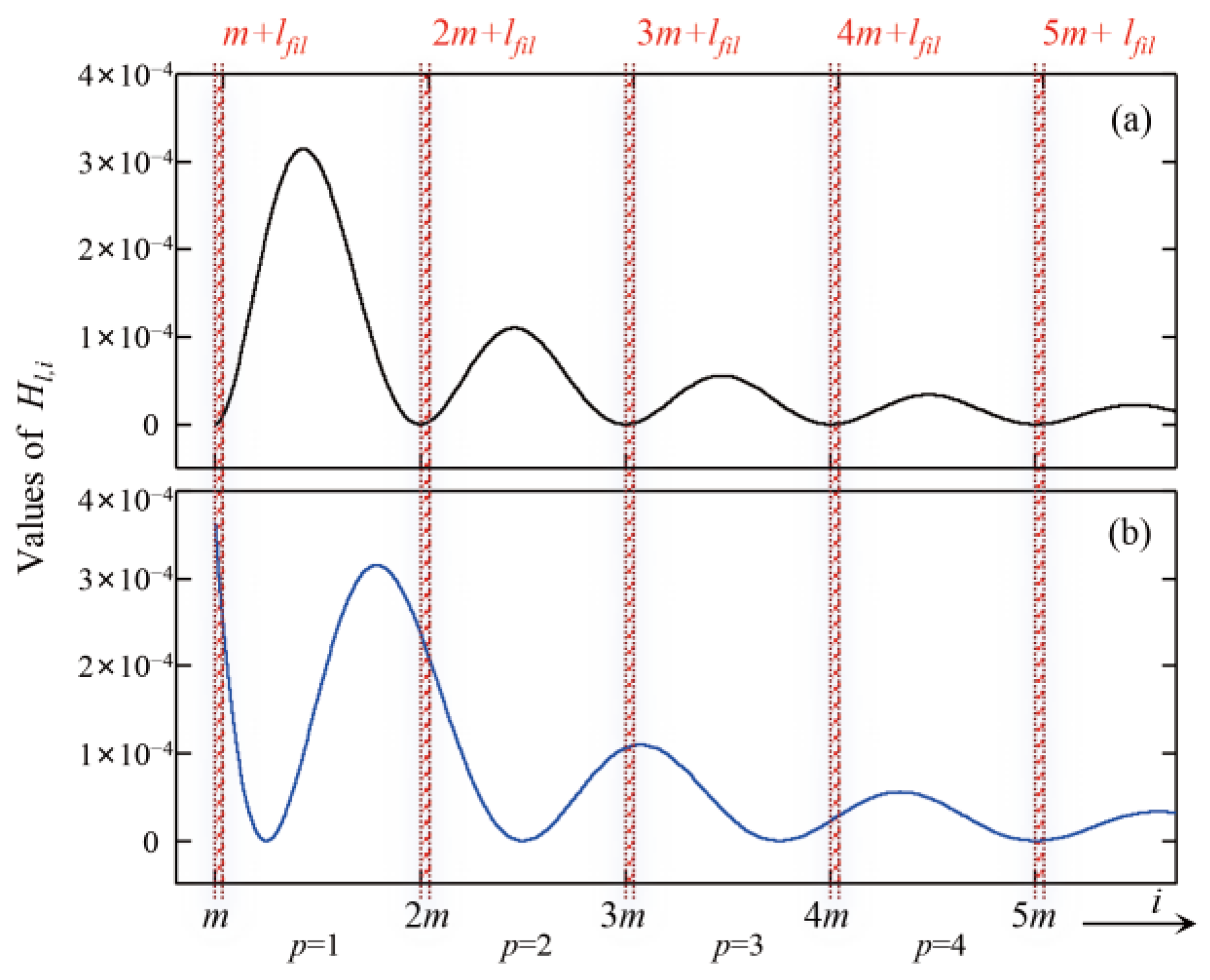
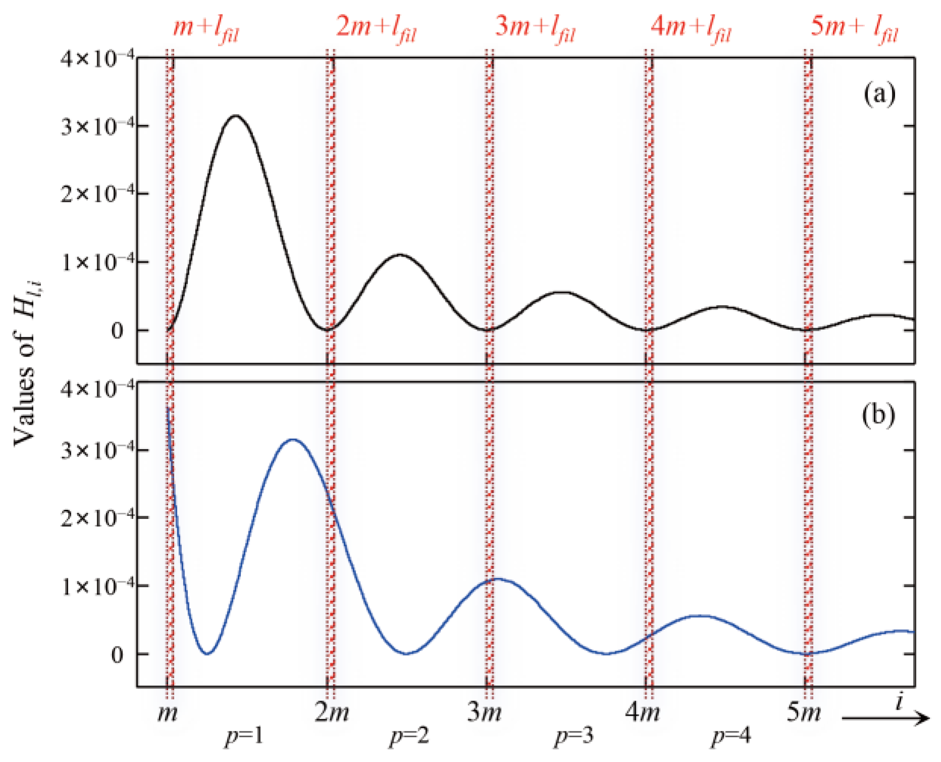
3.2. Analysis of the Mechanism of Dead-Time-Induced Gravity Noise
3.3. Verification with Actual PSD and Noise Distribution
4. Conclusions and Discussion
Author Contributions
Funding
Institutional Review Board Statement
Informed Consent Statement
Data Availability Statement
Acknowledgments
Conflicts of Interest
Appendix A
Appendix B
References
- Velicogna, I.; Wahr, J. Measurements of Time-Variable Gravity Show Mass Loss in Antarctica. Science 2006, 311, 1754–1756. [Google Scholar] [CrossRef]
- Battelier, B.; Barrett, B.; Fouché, L.; Chichet, L.; Antoni-Micollier, L.; Porte, H.; Napolitano, F.; Lautier, J.; Landragin, A.; Bouyer, P. Development of Compact Cold-Atom Sensors for Inertial Navigation. In Proceedings of the SPIE Photonics Europe, Brussels, Belgium, 29 April 2016; p. 990004. [Google Scholar]
- Nabighian, M.N.; Ander, M.E.; Grauch, V.J.S.; Hansen, R.O.; LaFehr, T.R.; Li, Y.; Pearson, W.C.; Peirce, J.W.; Phillips, J.D.; Ruder, M.E. Historical Development of the Gravity Method in Exploration. Geophysics 2005, 70, 63ND–89ND. [Google Scholar] [CrossRef]
- Davis, K.; Li, Y.; Batzle, M. Time-Lapse Gravity Monitoring: A Systematic 4D Approach with Application to Aquifer Storage and Recovery. Geophysics 2008, 73, WA61–WA69. [Google Scholar] [CrossRef]
- Cladé, P.; De Mirandes, E.; Cadoret, M.; Guellati-Khélifa, S.; Schwob, C.; Nez, F.; Julien, L.; Biraben, F. Determination of the Fine Structure Constant Based on Bloch Oscillations of Ultracold Atoms in a Vertical Optical Lattice. Phys. Rev. Lett. 2006, 96, 033001. [Google Scholar] [CrossRef]
- Lamporesi, G.; Bertoldi, A.; Cacciapuoti, L.; Prevedelli, M.; Tino, G.M. Determination of the Newtonian Gravitational Constant Using Atom Interferometry. Phys. Rev. Lett. 2008, 100, 050801. [Google Scholar] [CrossRef] [PubMed]
- Le Gouët, J.; Mehlstäubler, T.E.; Kim, J.; Merlet, S.; Clairon, A.; Landragin, A.; Pereira Dos Santos, F. Limits to the Sensitivity of a Low Noise Compact Atomic Gravimeter. Appl. Phys. B 2008, 92, 133–144. [Google Scholar] [CrossRef]
- Merlet, S.; Le Gouët, J.; Bodart, Q.; Clairon, A.; Landragin, A.; Pereira Dos Santos, F.; Rouchon, P. Operating an Atom Interferometer beyond Its Linear Range. Metrologia 2009, 46, 87–94. [Google Scholar] [CrossRef]
- Barrett, B.; Antoni-Micollier, L.; Chichet, L.; Battelier, B.; Lévèque, T.; Landragin, A.; Bouyer, P. Dual Matter-Wave Inertial Sensors in Weightlessness. Nat. Commun. 2016, 7, 13786. [Google Scholar] [CrossRef]
- Ménoret, V.; Vermeulen, P.; Le Moigne, N.; Bonvalot, S.; Bouyer, P.; Landragin, A.; Desruelle, B. Gravity Measurements below 10−9 g with a Transportable Absolute Quantum Gravimeter. Sci. Rep. 2018, 8, 12300. [Google Scholar] [CrossRef]
- Gong, W.; Li, A.; Huang, C.; Che, H.; Feng, C.; Qin, F. Effects and Prospects of the Vibration Isolation Methods for an Atomic Interference Gravimeter. Sensors 2022, 22, 583. [Google Scholar] [CrossRef]
- Che, H.; Li, A.; Zhou, Z.; Gong, W.; Ma, J.; Qin, F. An Approach of Vibration Compensation for Atomic Gravimeter under Complex Vibration Environment. Sensors 2023, 23, 3535. [Google Scholar] [CrossRef]
- Gong, W.; Li, A.; Luo, J.; Che, H.; Ma, J.; Qin, F. A Vibration Compensation Approach for Atom Gravimeter Based on Improved Sparrow Search Algorithm. IEEE Sens. J. 2023, 23, 5911–5919. [Google Scholar] [CrossRef]
- Qiao, Z.; Shen, Z.; Hu, R.; Li, L.; Yuan, P.; Wu, G.; Yuan, Y.; Zhou, Y.; Wu, B.; Lin, Q. A Vibration Compensation Approach for Shipborne Atomic Gravimeter Based on Particle Swarm Organization. Sci. Rep. 2025, 15, 8864. [Google Scholar] [CrossRef] [PubMed]
- Geiger, R.; Ménoret, V.; Stern, G.; Zahzam, N.; Cheinet, P.; Battelier, B.; Villing, A.; Moron, F.; Lours, M.; Bidel, Y.; et al. Detecting Inertial Effects with Airborne Matter-Wave Interferometry. Nat. Commun. 2011, 2, 474. [Google Scholar] [CrossRef] [PubMed]
- Bidel, Y.; Carraz, O.; Charrière, R.; Cadoret, M.; Zahzam, N.; Bresson, A. Compact Cold Atom Gravimeter for Field Applications. Appl. Phys. Lett. 2013, 102, 144107. [Google Scholar] [CrossRef]
- Bidel, Y.; Zahzam, N.; Blanchard, C.; Bonnin, A.; Cadoret, M.; Bresson, A.; Rouxel, D.; Lequentrec-Lalancette, M.F. Absolute Marine Gravimetry with Matter-Wave Interferometry. Nat. Commun. 2018, 9, 627. [Google Scholar] [CrossRef] [PubMed]
- Bidel, Y.; Zahzam, N.; Bresson, A.; Blanchard, C.; Cadoret, M.; Olesen, A.V.; Forsberg, R. Absolute Airborne Gravimetry with a Cold Atom Sensor. J. Geod. 2020, 94, 20. [Google Scholar] [CrossRef]
- Bidel, Y.; Zahzam, N.; Bresson, A.; Blanchard, C.; Bonnin, A.; Bernard, J.; Cadoret, M.; Jensen, T.E.; Forsberg, R.; Salaun, C.; et al. Airborne Absolute Gravimetry With a Quantum Sensor, Comparison With Classical Technologies. JGR Solid Earth 2023, 128, e2022JB025921. [Google Scholar] [CrossRef]
- Guo, J.; Ma, S.; Zhou, C.; Liu, J.; Wang, B.; Pan, D.; Mao, H. Vibration Compensation for a Vehicle-Mounted Atom Gravimeter. IEEE Sens. J. 2022, 22, 12939–12946. [Google Scholar] [CrossRef]
- Zhang, J.-Y.; Xu, W.-J.; Sun, S.-D.; Shu, Y.-B.; Luo, Q.; Cheng, Y.; Hu, Z.-K.; Zhou, M.-K. A Car-Based Portable Atom Gravimeter and Its Application in Field Gravity Survey. AIP Adv. 2021, 11, 115223. [Google Scholar] [CrossRef]
- Zhou, Y.; Zhang, C.; Chen, P.; Cheng, B.; Zhu, D.; Wang, K.; Wang, X.; Wu, B.; Qiao, Z.; Lin, Q.; et al. A Testing Method for Shipborne Atomic Gravimeter Based on the Modulated Coriolis Effect. Sensors 2023, 23, 881. [Google Scholar] [CrossRef]
- Wu, B.; Zhang, C.; Wang, K.; Cheng, B.; Zhu, D.; Li, R.; Wang, X.; Lin, Q.; Qiao, Z.; Zhou, Y. Marine Absolute Gravity Field Surveys Based on Cold Atomic Gravimeter. IEEE Sens. J. 2023, 23, 24292–24299. [Google Scholar] [CrossRef]
- Qiao, Z.-K.; Yuan, P.; Zhang, J.-J.; Zhang, Z.-Y.; Li, L.-L.; Zhu, D.; Jiang, M.-R.; Shi, H.-Y.; Hu, R.; Zhou, F.; et al. Error Analysis and Filtering Methods for Absolute Ocean Gravity Data. IEEE Sens. J. 2023, 23, 14346–14355. [Google Scholar] [CrossRef]
- Chen, P.; Peng, S.; Wang, J.; Gao, M.; Lv, X.; Yang, D.; Jin, Z.; Wang, Y.; Tang, X.; Wu, B.; et al. An Airborne Design of Inertial Stabilized Platform for Cold Atom Gravimeter. IEEE Sens. J. 2025, 25, 13102–13116. [Google Scholar] [CrossRef]
- Zhai, C.; Wang, J.; Zhou, J.; Wang, Y.; Tang, X.; Zhou, Y.; Zhang, C.; Li, R.; Shu, Q.; Wang, K.; et al. Airborne absolute gravity measurements based on quantum gravimeter. Acta Phys. Sin. 2025, 74, 070302. [Google Scholar] [CrossRef]
- Ge, G.; Chen, X.; Li, J.; Zhang, D.; He, M.; Wang, W.; Zhou, Y.; Zhong, J.; Tang, B.; Fang, J.; et al. Accuracy Improvement of a Compact 85Rb Atom Gravimeter by Suppressing Laser Crosstalk and Light Shift. Sensors 2023, 23, 6115. [Google Scholar] [CrossRef]
- Zhou, Y.; Wang, W.; Ge, G.; Li, J.; Zhang, D.; He, M.; Tang, B.; Zhong, J.; Zhou, L.; Li, R.; et al. High-Precision Atom Interferometer-Based Dynamic Gravimeter Measurement by Eliminating the Cross-Coupling Effect. Sensors 2024, 24, 1016. [Google Scholar] [CrossRef] [PubMed]
- Xu, A.; Kong, D.; Fu, Z.; Wang, Z.; Lin, Q. Vibration Compensation of an Atom Gravimeter. Chin. Opt. Lett. 2019, 17, 070201. [Google Scholar] [CrossRef]
- Cheiney, P.; Fouché, L.; Templier, S.; Napolitano, F.; Battelier, B.; Bouyer, P.; Barrett, B. Navigation-Compatible Hybrid Quantum Accelerometer Using a Kalman Filter. Phys. Rev. Appl. 2018, 10, 034030. [Google Scholar] [CrossRef]
- Zhu, D.; Xu, H.; Zhou, Y.; Wu, B.; Cheng, B.; Wang, K.-N.; Chen, P.-J.; Gao, S.-T.; Weng, K.-X.; Wang, H.-L.; et al. Data processing of shipborne absolute gravity measurement based on extended Kalman filter algorithm. Acta Phys. Sin. 2022, 71, 133702. [Google Scholar] [CrossRef]
- Huang, C.-F.; Li, A.; Qin, F.-J.; Fang, J.; Chen, X. An Atomic Gravimeter Dynamic Measurement Method Based on Kalman Filter. Meas. Sci. Technol. 2023, 34, 015013. [Google Scholar] [CrossRef]
- Huang, C.; Li, A.; Qin, F.; Gong, W.; Che, H. Temperature Drift Modeling and Compensation of Accelerometer Applied in Atom Gravimeter. IEEE Sens. J. 2023, 23, 29053–29062. [Google Scholar] [CrossRef]
- Lautier, J.; Volodimer, L.; Hardin, T.; Merlet, S.; Lours, M.; Pereira Dos Santos, F.; Landragin, A. Hybridizing Matter-Wave and Classical Accelerometers. Appl. Phys. Lett. 2014, 105, 144102. [Google Scholar] [CrossRef]
- Santarelli, G.; Audoin, C.; Makdissi, A.; Laurent, P.; Dick, G.J.; Clairon, A. Frequency Stability Degradation of an Oscillator Slaved to a Periodically Interrogated Atomic Resonator. IEEE Trans. Ultrason. Ferroelectr. Freq. Control 1998, 45, 887–894. [Google Scholar] [CrossRef]
- Greenhall, C.A. A Derivation of the Long-Term Degradation of a Pulsed Atomic Frequency Standard from a Control-Loop Model. IEEE Trans. Ultrason. Ferroelectr. Freq. Control 1998, 45, 895–898. [Google Scholar] [CrossRef]
- Lo Presti, L.; Rovera, D.; De Marchi, A. A Simple Analysis of the Dick Effect in Terms of Phase Noise Spectral Densities. IEEE Trans. Ultrason. Ferroelectr. Freq. Control 1998, 45, 899–905. [Google Scholar] [CrossRef]
- Audoin, C.; Santarelli, G.; Makdissi, A.; Clairon, A. Properties of an Oscillator Slaved to a Periodically Interrogated Atomic Resonator. IEEE Trans. Ultrason. Ferroelectr. Freq. Control 1998, 45, 877–886. [Google Scholar] [CrossRef]
- Venkataramani, R.; Bresler, Y. Perfect Reconstruction Formulas and Bounds on Aliasing Error in Sub-Nyquist Nonuniform Sampling of Multiband Signals. IEEE Trans. Inf. Theory 2000, 46, 2173–2183. [Google Scholar] [CrossRef]
- Joyet, A.; Mileti, G.; Dudle, G.; Thomann, P. Theoretical Study of the Dick Effect in a Continuously Operated Ramsey Resonator. IEEE Trans. Instrum. Meas. 2001, 50, 150–156. [Google Scholar] [CrossRef]
- Cheinet, P.; Canuel, B.; Pereira Dos Santos, F.; Gauguet, A.; Yver-Leduc, F.; Landragin, A. Measurement of the Sensitivity Function in a Time-Domain Atomic Interferometer. IEEE Trans. Instrum. Meas. 2008, 57, 1141–1148. [Google Scholar] [CrossRef]








Disclaimer/Publisher’s Note: The statements, opinions and data contained in all publications are solely those of the individual author(s) and contributor(s) and not of MDPI and/or the editor(s). MDPI and/or the editor(s) disclaim responsibility for any injury to people or property resulting from any ideas, methods, instructions or products referred to in the content. |
© 2025 by the authors. Licensee MDPI, Basel, Switzerland. This article is an open access article distributed under the terms and conditions of the Creative Commons Attribution (CC BY) license (https://creativecommons.org/licenses/by/4.0/).
Share and Cite
Wang, W.-Z.; Chen, X.; Li, J.-T.; Zhang, D.-F.; Xu, W.-H.; Wei, J.-Y.; Zhong, J.-Q.; Tang, B.; Zhou, L.; Wang, J.; et al. Analysis of the Dick Effect for AI-Based Dynamic Gravimeters. Sensors 2025, 25, 7167. https://doi.org/10.3390/s25237167
Wang W-Z, Chen X, Li J-T, Zhang D-F, Xu W-H, Wei J-Y, Zhong J-Q, Tang B, Zhou L, Wang J, et al. Analysis of the Dick Effect for AI-Based Dynamic Gravimeters. Sensors. 2025; 25(23):7167. https://doi.org/10.3390/s25237167
Chicago/Turabian StyleWang, Wen-Zhang, Xi Chen, Jin-Ting Li, Dan-Fang Zhang, Wei-Hao Xu, Jia-Yi Wei, Jia-Qi Zhong, Biao Tang, Lin Zhou, Jin Wang, and et al. 2025. "Analysis of the Dick Effect for AI-Based Dynamic Gravimeters" Sensors 25, no. 23: 7167. https://doi.org/10.3390/s25237167
APA StyleWang, W.-Z., Chen, X., Li, J.-T., Zhang, D.-F., Xu, W.-H., Wei, J.-Y., Zhong, J.-Q., Tang, B., Zhou, L., Wang, J., & Zhan, M.-S. (2025). Analysis of the Dick Effect for AI-Based Dynamic Gravimeters. Sensors, 25(23), 7167. https://doi.org/10.3390/s25237167

