A Closed-Form Dual Quaternion Model for Drift Correction in TLS Pose-Circuits
Highlights
- Linear dual quaternion interpolation is the most efficient solution for distributing the closure error along a circuit of 3D poses.
- Our CSI (Constant Smooth Interpolation) method unifies the translation and rotation correction of an entire circuit of poses in a single step.
- Easy implementation. It is possible to correct the closure error of the circuit just by linearly interpolating eight parameters.
- The interpolation can be performed fast and without losing the property of the shortest path on the manifold of the 3D poses.
Abstract
1. Introduction
2. Materials and Methods
2.1. Datasets
2.2. Proposed Global Refinement Method
3. Results
4. Conclusions
Supplementary Materials
Author Contributions
Funding
Institutional Review Board Statement
Informed Consent Statement
Data Availability Statement
Acknowledgments
Conflicts of Interest
Abbreviations
| CSI | Constant Smooth Interpolation |
| GRM | Global Refinement Model |
| ICP | Iterative Closest Point |
| LS | Least Squares |
| SLERP | Spherical Linear Interpolation |
| TLS | Terrestrial Laser Scanner |
| UFPR | Universidade Federal do Paraná |
References
- Han, J.; Liu, K.; Li, W.; Zhang, F.; Xia, X.-G. Generating inverse feature space for class imbalance in point cloud semantic segmentation. IEEE Trans. Pattern Anal. Mach. Intell. 2025, 47, 5778–5793. [Google Scholar] [CrossRef] [PubMed]
- Sun, Y.; Lu, B.; Liu, Y.; Yang, Z.; Behera, A.; Song, R.; Yuan, H.; Jiang, H. Exploiting label uncertainty for enhanced 3d object detection from point clouds. IEEE Trans. Intell. Transp. Syst. 2024, 25, 6074–6089. [Google Scholar] [CrossRef]
- Kavan, L.; Collins, S.; O’Sullivan, C.; Zara, J. Dual Quaternions for Rigid Transformation Blending; Technical Report TCD-CS-2006–46; Trinity College Dublin: Dublin, Ireland, 2006. [Google Scholar]
- Shoemake, K. Animating rotation with quaternion curves. ACM SIGGRAPH Comput. Graph. 1985, 19, 245–254. [Google Scholar] [CrossRef]
- Theiler, P.W.; Wegner, J.D.; Schindler, K. Globally consistent registration of terrestrial laser scans via graph optimization. ISPRS J. Photogramm. Remote Sens. 2015, 109, 126–138. [Google Scholar] [CrossRef]
- Lu, F.; Milios, E. Globally consistent range scan alignment for environment mapping. Auton. Robot. 1997, 4, 333–349. [Google Scholar] [CrossRef]
- Dong, Z.; Yang, B.; Liang, F.; Huang, R.; Scherer, S. Hierarchical registration of unordered TLS point clouds based on binary shape context descriptor. ISPRS J. Photogramm. Remote Sens. 2018, 144, 61–79. [Google Scholar] [CrossRef]
- Dong, Z.; Yang, B.; Liu, Y.; Liang, F.; Li, B.; Zang, Y. A novel binary shape context for 3D local surface description. ISPRS J. Photogramm. Remote Sens. 2017, 130, 431–452. [Google Scholar] [CrossRef]
- Huber, D.F.; Hebert, M. Fully automatic registration of multiple 3D data sets. Image Vis. Comput. 2003, 21, 637–650. [Google Scholar] [CrossRef]
- Williams, J.; Bennamoun, M. Simultaneous registration of multiple corresponding point sets. Comput. Vis. Image Underst. 2001, 81, 117–142. [Google Scholar] [CrossRef]
- Shao, J.; Zhang, W.; Mellado, N.; Grussenmeyer, P.; Li, R.; Chen, Y.; Wan, P.; Zhang, X.; Cai, S. Automated markerless registration of point clouds from TLS and structured light scanner for heritage documentation. J. Cult. Heritage 2019, 35, 16–24. [Google Scholar] [CrossRef]
- Pulli, K. Multiview registration for large data sets. In Proceedings of the Second International Conference on 3-D Digital Imaging and Modeling (Cat. No.PR00062), Ottawa, ON, Canada, 8 October 1999; pp. 160–168. [Google Scholar]
- Torsello, A.; Rodola, E.; Albarelli, A. Multiview registration via graph diffusion of dual quaternions. In Proceedings of the 2011 IEEE Conference on Computer Vision and Pattern Recognition (CVPR), Colorado Springs, CO, USA, 20–25 June 2011; pp. 2441–2448. [Google Scholar]
- Pavan, N.L.; dos Santos, D.R.; Khoshelham, K. Global registration of terrestrial laser scanner point clouds using plane-to-plane correspondences. Remote Sens. 2020, 12, 1127. [Google Scholar] [CrossRef]
- Borrmann, D.; Elseberg, J.; Lingemann, K.; Nüchter, A.; Hertzberg, J. Globally consistent 3D mapping with scan matching. Robot. Auton. Syst. 2008, 56, 130–142. [Google Scholar] [CrossRef]
- Vlaminck, M.; Luong, H.; Philips, W. Have I seen this place before? A fast and robust loop detection and correction method for 3D lidar SLAM. Sensors 2019, 19, 23. [Google Scholar] [CrossRef] [PubMed]
- Benevides, R.A.L.; dos Santos, D.R.; Pavan, N.L.; Veiga, L.A.K. Advancing Global Pose Refinement: A Linear, Parameter-Free Model for Closed Circuits via Quaternion Interpolation. Sensors 2024, 24, 5112. [Google Scholar] [CrossRef] [PubMed]
- Ramezani, M.; Tinchev, G.; Iuganov, E.; Fallon, M. Online LiDAR-SLAM for legged robots with robust registration and deep-learned loop closure. In Proceedings of the 2020 IEEE International Conference on Robotics and Automation (ICRA), Paris, France, 31 May–31 August 2020; pp. 4158–4164. [Google Scholar]
- Lu, G. Deep unsupervised visual odometry via bundle adjusted pose graph optimization. In Proceedings of the 2023 IEEE International Conference on Robotics and Automation (ICRA), London, UK, 29 May–2 June 2023. [Google Scholar]
- Li, X.; Ling, H. PoGO-Net: Pose graph optimization with graph neural networks. In Proceedings of the 2021 IEEE/CVF International Conference on Computer Vision (ICCV), Montreal, QC, Canada, 10–17 October 2021; pp. 5875–5885. [Google Scholar]
- Jin, S.; Armeni, I.; Pollefeys, M.; Baráth, D. Multiway point cloud mosaicking with diffusion and global optimization. In Proceedings of the 2024 IEEE/CVF Conference on Computer Vision and Pattern Recognition (CVPR), Seattle, WA, USA, 16–22 June 2024; pp. 20838–20849. [Google Scholar]
- Wang, Y.; Wang, Y.; Wu, K.; Yang, H.; Zhang, H. A dual quaternion-based, closed-form pairwise registration algorithm for point clouds. ISPRS J. Photogramm. Remote Sens. 2014, 94, 63–69. [Google Scholar] [CrossRef]
- Zhou, Q.-Y.; Park, J.; Koltun, V. Fast global registration. In Computer Vision—ECCV 2016; Springer: Cham, Switzerland, 2016; pp. 766–782. [Google Scholar]
- Segal, A.; Haehnel, D.; Thrun, S. Generalized-icp. In Proceedings of the Robotics: Science and Systems, Seattle, WA, USA, 28 June–1 July 2009; p. 435. [Google Scholar]
- Kenwright, B. A beginners guide to dual-quaternions: What they are, how they work, and how to use them for 3D character hierarchies. In Proceedings of the 20th International Conference in Central Europe on Computer Graphics, Visualization and Computer Vision 2012, Plzen, Czech Republic, 26–28 June 2012. [Google Scholar]
- Kummerle, R.; Grisetti, G.; Strasdat, H.; Konolige, K.; Burgard, W. G2o: A general framework for graph optimization. In Proceedings of the 2011 IEEE International Conference on Robotics and Automation, Shanghai, China, 9–13 May 2011; pp. 3607–3613. [Google Scholar]
- Budaj, M.; Mudrák, S. Therion–digital cave maps therion–cartographie souterraine digitale. In Proceedings of the 4th European Speleological Congress, Banska Bystrica, Slovakia, 2008; Available online: https://therion.speleo.sk/downloads/tharticle-vercors-2008.pdf (accessed on 7 October 2025).
- Aldrich, J. Doing least squares: Perspectives from Gauss and Yule. Int. Stat. Rev./Rev. Int. Stat. 1998, 66, 61–81. [Google Scholar] [CrossRef]










| Environment | Dataset | No. of Scans | Pts./Scan | Application | Mean Overlap | Mean Station Distance | TLS |
|---|---|---|---|---|---|---|---|
| Indoor | Theater | 15 | 10 M | BIM | 81% | 7 m | Leica BLK 360 |
| Outdoor | Crater | 9 | 9 M | Environmental Surveillance | 63% | 6 m | Leica BLK 360 |
| Wood | 11 | 15 M | Forestry | 68% | 8 m | Leica BLK 360 | |
| UFPR | 51 | 12 M | Urban Surveying | 75% | 6 m | Leica BLK 360 | |
| Bremen | 13 | 20 M | Urban Surveying | 69% | 39 m | Riegl VZ400 | |
| Arch | 5 | 26 M | Heritage Documentation | 52% | 17 m | Faro Focus 3D | |
| Facade | 7 | 25 M | Urban Surveying | 74% | 4 m | Faro Focus 3D | |
| Courtyard | 8 | 13 M | Archeology | 79% | 11 m | Faro Focus 3D |
| Dataset | Model | Total Error (m) | MAE (m) | RMSE (m) |
|---|---|---|---|---|
| Crater (n = 9 poses) | Original | 0.035 | 0.004 | 0.005 |
| LS | 0.162 | 0.018 | 0.022 | |
| SLERP | 0.072 | 0.008 | 0.011 | |
| SLERP + LS | 0.018 | 0.002 | 0.002 | |
| CSI | 0.033 | 0.004 | 0.005 | |
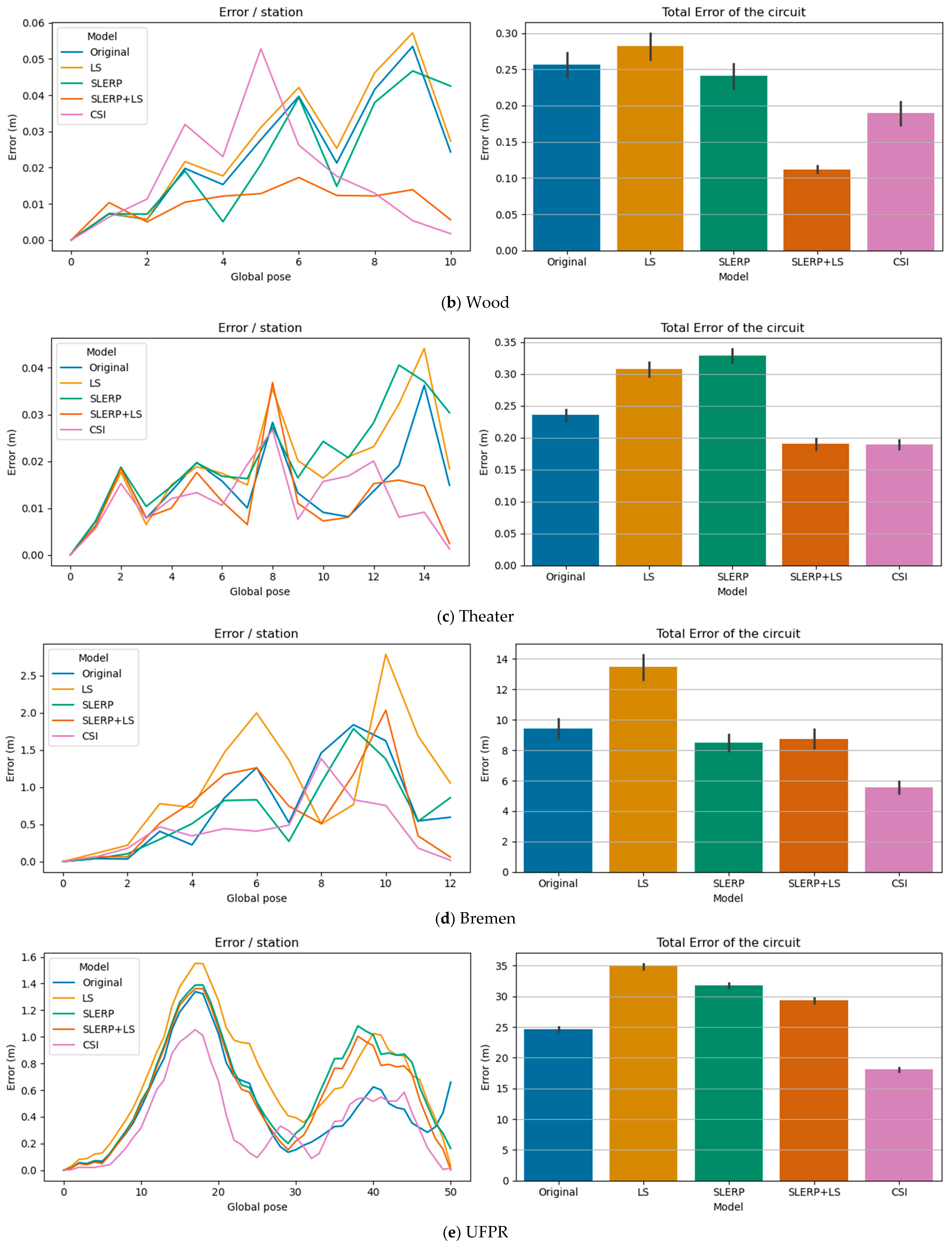
| Wood (n = 11 poses) | Original | 0.256 | 0.023 | 0.029 |
| LS | 0.282 | 0.026 | 0.032 | |
| SLERP | 0.241 | 0.022 | 0.029 | |
| SLERP + LS | 0.112 | 0.010 | 0.012 | |
| CSI | 0.189 | 0.017 | 0.024 | |
| Theater (n = 16 poses) | Original | 0.236 | 0.015 | 0.018 |
| LS | 0.308 | 0.019 | 0.023 | |
| SLERP | 0.329 | 0.021 | 0.024 | |
| SLERP + LS | 0.190 | 0.012 | 0.015 | |
| CSI | 0.190 | 0.012 | 0.014 | |
| Bremen (n = 13 poses) | Original | 9.411 | 0.724 | 0.984 |
| LS | 13.460 | 1.035 | 1.347 | |
| SLERP | 8.492 | 0.653 | 0.868 | |
| SLERP + LS | 8.744 | 0.673 | 0.928 | |
| CSI | 5.563 | 0.428 | 0.591 | |
| UFPR (n = 51 poses) | Original | 24.685 | 0.484 | 0.605 |
| LS | 34.890 | 0.684 | 0.807 | |
| SLERP | 31.795 | 0.623 | 0.745 | |
| SLERP + LS | 29.331 | 0.575 | 0.703 | |
| CSI | 18.096 | 0.355 | 0.465 | |
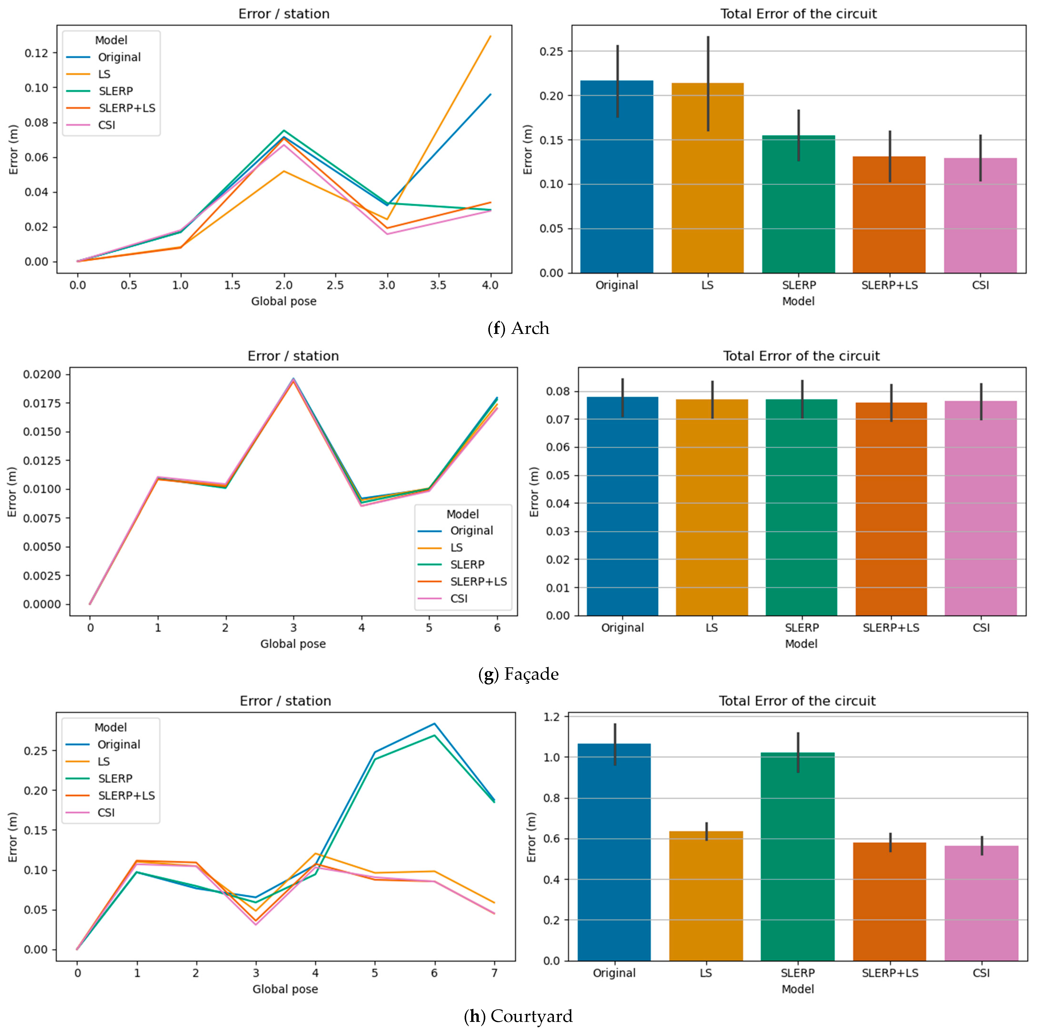
| Arch (n = 5 poses) | Original | 0.216 | 0.043 | 0.062 |
| LS | 0.212 | 0.043 | 0.071 | |
| SLERP | 0.155 | 0.031 | 0.045 | |
| SLERP + LS | 0.131 | 0.026 | 0.040 | |
| CSI | 0.129 | 0.026 | 0.038 | |
| Façade (n = 7 poses) | Original | 0.078 | 0.011 | 0.014 |
| LS | 0.077 | 0.011 | 0.013 | |
| SLERP | 0.077 | 0.011 | 0.014 | |
| SLERP + LS | 0.076 | 0.011 | 0.013 | |
| CSI | 0.076 | 0.011 | 0.013 | |
| Courtyard (n = 8 poses) | Original | 1.063 | 0.133 | 0.172 |
| LS | 0.636 | 0.079 | 0.094 | |
| SLERP | 1.021 | 0.128 | 0.165 | |
| SLERP + LS | 0.581 | 0.073 | 0.088 | |
| CSI | 0.566 | 0.071 | 0.086 |
| Circuit/GRM | LS | SLERP | SLERP + LS | CSI |
|---|---|---|---|---|
| Crater | +367% | +108% | −49% | −5% |
| Wood | +10% | −6% | −56% | −26% |
| Theater | +31% | +40% | −19% | −20% |
| Bremen | +43% | −10% | −7% | −41% |
| UFPR | +41% | +29% | +19% | −27% |
| Arch | −1% | −28% | −39% | −40% |
| Façade | −1% | −1% | −2% | −2% |
| Courtyard | −40% | −4% | −45% | −47% |
| Average | +56% | +16% | −25% | −26% |
Disclaimer/Publisher’s Note: The statements, opinions and data contained in all publications are solely those of the individual author(s) and contributor(s) and not of MDPI and/or the editor(s). MDPI and/or the editor(s) disclaim responsibility for any injury to people or property resulting from any ideas, methods, instructions or products referred to in the content. |
© 2025 by the authors. Licensee MDPI, Basel, Switzerland. This article is an open access article distributed under the terms and conditions of the Creative Commons Attribution (CC BY) license (https://creativecommons.org/licenses/by/4.0/).
Share and Cite
Benevides, R.A.L.; Dos Santos, D.R.; Veiga, L.A.K. A Closed-Form Dual Quaternion Model for Drift Correction in TLS Pose-Circuits. Sensors 2025, 25, 7126. https://doi.org/10.3390/s25237126
Benevides RAL, Dos Santos DR, Veiga LAK. A Closed-Form Dual Quaternion Model for Drift Correction in TLS Pose-Circuits. Sensors. 2025; 25(23):7126. https://doi.org/10.3390/s25237126
Chicago/Turabian StyleBenevides, Rubens Antonio Leite, Daniel Rodrigues Dos Santos, and Luis Augusto Koenig Veiga. 2025. "A Closed-Form Dual Quaternion Model for Drift Correction in TLS Pose-Circuits" Sensors 25, no. 23: 7126. https://doi.org/10.3390/s25237126
APA StyleBenevides, R. A. L., Dos Santos, D. R., & Veiga, L. A. K. (2025). A Closed-Form Dual Quaternion Model for Drift Correction in TLS Pose-Circuits. Sensors, 25(23), 7126. https://doi.org/10.3390/s25237126

