Hybrid GA-PSO Optimization for Controller Placement in Large-Scale Smart City IoT Networks
Abstract
1. Introduction
- The proposed GA-PSO algorithm uses a multi-objective fitness function that reduces latency, controls load imbalance, reduces energy consumption, and enhances fault tolerance, which results in more reliable and energy-efficient IoT operations.
- A real city-based IoT network model of Kaunas (Lithuania) has been setup, comprising 2000 nodes, 10 controllers, and 2 communication ranges of 1000 m and 3000 m, to evaluate performance under valid geographic and density conditions.
- The algorithm’s performance is evaluated across three network scenarios: normal operation, random node failures, and traffic surges, to evaluate its robustness and adaptability in dynamic smart city environments.
- The comparative analysis with K-Means and random placement strategies illustrates the edge of the hybrid GA-PSO approach in terms of latency reduction, load balancing, energy efficiency, and redundancy.
- The paper provides outcomes that validate the proposed method’s applicability for large smart city IoT networks.
2. Related Work
2.1. Hybrid DEWO Algorithm for Controller Placement
2.2. GWOAP Algorithm for Load Management in SDN-IoT Networks
2.3. Multiple Distributed Controller Load Balancing (MDCLB) Algorithm for SDN-IoT Networks
2.4. Enhanced Sunflower Optimization (ESFO) and POCO Tool for Controller Placement in SD-IoT
2.5. An Optimized Submodularity-Based Approach
2.6. IoT-Aware VNF Placement (IVP) for Smart City Networks
2.7. PACSA-MSCP Algorithm
2.8. PHCPA Algorithm
2.9. Multi-Objective Marine Predator Algorithm (MOMPA)
2.10. Hybrid HSA-PSO Algorithm for Multi-Controller Placement in SDN
3. Proposed Work
- init_network.m;
- hybrid_ga_pso_controller_placement.m;
- evaluate_performance.m.
- init_network.m
- hybrid_ga_pso_controller_placement.m
- evaluate_performance.m
- Normal Operation: In this scenario, no node failures occur. The script invokes the function evaluateMetrics using the optimized controllers, current node positions, and traffic matrix. This function computes main network performance metrics including latency, load balancing, packet loss, energy consumption, scalability, redundancy, and fault tolerance.
- Random Failures: To simulate network instability, a percentage of nodes are randomly designated as failed based on a predefined failure probability (failProb), which is 5%. The failed nodes are excluded from the performance evaluation. The metrics are recalculated considering only the active nodes, which reflect the network’s robustness under partial node failures.
- Traffic Spikes: To mimic real-world traffic surges, 10% of the nodes are randomly selected as spike nodes. Their traffic demand is doubled in the traffic matrix. The script evaluates the network metrics under this increased load, providing insight into the controller placement’s ability to handle sudden traffic spikes.
4. Results and Discussion
- init_network.m
- hybrid_ga_pso_controller_placement.m
- evaluate_performance.m
5. Conclusions
Author Contributions
Funding
Institutional Review Board Statement
Informed Consent Statement
Data Availability Statement
Conflicts of Interest
References
- Ali, J.; Roh, B.-H. An Effective Approach for Controller Placement in Software-Defined Internet-of-Things (SD-IoT). Sensors 2022, 22, 2992. [Google Scholar] [CrossRef]
- Oktian, Y.E.; Lee, S.G.; Lee, H.; Kim, J. Distributed SDN Controller System: A Survey on Design Choice. Comput. Netw. 2017, 121, 100–111. [Google Scholar] [CrossRef]
- Tyagi, V.; Singh, S. Network Resource Management Mechanisms in SDN Enabled WSNs: A Comprehensive Review. Comput. Sci. Rev. 2023, 49, 100569. [Google Scholar] [CrossRef]
- Almadani, B.; Beg, A.; Mahmoud, A. DSF: A Distributed SDN Control Plane Framework for the East/West Interface. IEEE Access 2021, 9, 26735–26754. [Google Scholar] [CrossRef]
- Kashif, H.; Khan, M.N.; Awais, Q. Selection of Network Protocols for Internet of Things Applications: A Review. In Proceedings of the 2020 IEEE 14th International Conference on Semantic Computing (ICSC), San Diego, CA, USA, 3–5 February 2020; IEEE: Los Alamitos, CA, USA; pp. 359–362. [Google Scholar]
- Wang, Z.; Li, Y.; Guan, S. A Robust-Link Controller Placement Model for Large-Scale Software Defined Networks. Trans. Emerg. Telecommun. Technol. 2023, 34, e4765. [Google Scholar] [CrossRef]
- Liao, L.; Leung, V.C.M.; Li, Z.; Chao, H.-C. Genetic Algorithms with Variant Particle Swarm Optimization Based Mutation for Generic Controller Placement in Software-Defined Networks. Symmetry 2021, 13, 1133. [Google Scholar] [CrossRef]
- Lietuvai.lt. Kaunas. Lietuvai.lt. Available online: https://lietuvai.lt/wiki/Kaunas (accessed on 27 June 2025).
- A Geofabrik GmbH. Download Server: Lithuania—Geofabrik. Geofabrik. Available online: https://download.geofabrik.de/europe/lithuania.html (accessed on 30 June 2025).
- Malik, H.; Khan, S.Z.; Leonel Redondo Sarmiento, J.; Kuusik, A.; Alam, M.M.; Le Moullec, Y.; Parand, S. NB-IoT Network Field Trial: Indoor, Outdoor and Underground Coverage Campaign. In Proceedings of the 2019 15th International Wireless Communications and Mobile Computing Conference (IWCMC), Tangier, Morocco, 24–28 June 2019; pp. 1–6. [Google Scholar]
- MokoSmart. What Is Narrowband IoT (NB-IoT)? MokoSmart. 28 February 2024. Available online: https://www.mokosmart.com/what-is-narrowband-iot-nb-iot/ (accessed on 30 June 2025).
- Heller, B.; Sherwood, R.; McKeown, N. The Controller Placement Problem. In Proceedings of the First Workshop on Hot Topics in Software Defined Networks (HotSDN ’12), Helsinki, Finland, 13–17 August 2012; pp. 7–12. [Google Scholar]
- Keshari, S.K.; Kansal, V.; Kumar, S. An Intelligent Way for Optimal Controller Placements in Software-Defined–IoT Networks for Smart Cities. Comput. Ind. Eng. 2021, 162, 107667. [Google Scholar] [CrossRef]
- Keshari, S.K.; Kansal, V.; Kumar, S. A Cluster-Based Intelligent Method to Manage Load of Controllers in SDN-IoT Networks for Smart Cities. Scal. Comput. Pract. Exper. 2021, 22, 247–257. [Google Scholar] [CrossRef]
- Babbar, H.; Rani, S.; Gupta, D.; Aljahdali, H.M.; Singh, A.; Al-Turjman, F. Load Balancing Algorithm on the Immense Scale of Internet of Things in SDN for Smart Cities. Sustainability 2021, 13, 9587. [Google Scholar] [CrossRef]
- Hans, S.; Ghosh, S.; Kataria, A.; Karar, V.; Sharma, S. Controller Placement in Software Defined Internet of Things Using Optimization Algorithm. Comput. Mater. Contin. 2022, 70, 5073–5089. [Google Scholar] [CrossRef]
- Tran, A.K.; Piran, M.J.; Pham, C. SDN Controller Placement in IoT Networks: An Optimized Submodularity-Based Approach. Sensors 2019, 19, 5474. [Google Scholar] [CrossRef]
- Rafique, Y.; Leivadeas, A.; Ibnkahla, M. An IoT-Aware VNF Placement Proof of Concept in a Hybrid Edge-Cloud Smart City Environment. In Proceedings of the 2022 IEEE Wireless Communications and Networking Conference (WCNC), Austin, TX, USA, 10–13 April 2022; pp. 1395–1400. [Google Scholar]
- Faragardi, H.R.; Vahabi, M.; Fotouhi, H.; Nolte, T.; Fahringer, T. An Efficient Placement of Sinks and SDN Controller Nodes for Optimizing the Design Cost of Industrial IoT Systems. Softw. Pract. Exper. 2018, 48, 1893–1919. [Google Scholar] [CrossRef]
- Firouz, N.; Masdari, M.; Sangar, A.B.; Majidzadeh, K. A Novel Controller Placement Algorithm Based on Network Portioning Concept and a Hybrid Discrete Optimization Algorithm for Multi-Controller Software-Defined Networks. Cluster Comput. 2021, 24, 2511–2544. [Google Scholar] [CrossRef]
- Firouz, N.; Masdari, M.; Sangar, A.B.; Majidzadeh, K. A Hybrid Multi-Objective Algorithm for Imbalanced Controller Placement in Software-Defined Networks. J. Netw. Syst. Manag. 2022, 30, 51. [Google Scholar] [CrossRef]
- Radam, N.S.; Al-Janabi, S.T.F.; Jasim, K.S. Multi-Controllers Placement Optimization in SDN by the Hybrid HSA-PSO Algorithm. Computers 2022, 11, 111. [Google Scholar] [CrossRef]
- Hassanat, A.; Almohammadi, K.; Alkafaween, E.; Abunawas, E.; Hammouri, A.; Prasath, V.B.S. Choosing Mutation and Crossover Ratios for Genetic Algorithms—A Review with a New Dynamic Approach. Information 2019, 10, 390. [Google Scholar] [CrossRef]
- Milovanovic, M.J.; Raicevic, S.S.; Klimenta, D.O.; Raicevic, N.B.; Perovic, B.D. Determination of Optimal Locations and Parameters of Passive Harmonic Filters in Unbalanced Systems Using the Multiobjective Genetic Algorithm. Elektron. Ir Elektrotechnika 2024, 30, 28–37. [Google Scholar] [CrossRef]
- Jain, M.; Saihjpal, V.; Singh, N.; Singh, S.B. An Overview of Variants and Advancements of PSO Algorithm. Appl. Sci. 2022, 12, 8392. [Google Scholar] [CrossRef]
- Chung, Y.; Kia, S.S. A Distributed Service-Matching Coverage via Heterogeneous Agents. IEEE Robot. Autom. Lett. 2022, 7, 4400–4407. [Google Scholar] [CrossRef]
- Wang, G.; Zhao, Y.; Huang, J.; Duan, Q.; Li, J. A K-Means-Based Network Partition Algorithm for Controller Placement in Software Defined Network. In Proceedings of the 2016 IEEE International Conference on Communications (ICC), Kuala Lumpur, Malaysia, 22–27 May 2016; pp. 1–6. [Google Scholar]
- Koesnadi, F.X.K.; Chung, S.-H. Improved Cell Allocation Strategies Using K-Means Clustering in Congested 6TiSCH Environments. Sensors 2024, 24, 5608. [Google Scholar] [CrossRef]
- Wang, W.-C.; Dwijendra, N.K.A.; Sayed, B.T.; Alvarez, J.R.N.; Al-Bahrani, M.; Alviz-Meza, A.; Cárdenas-Escrocia, Y. Internet of Things Energy Consumption Optimization in Buildings: A Step toward Sustainability. Sustainability 2023, 15, 6475. [Google Scholar] [CrossRef]















| Topology | Improvement Over PSO | Improvement Over FFA |
|---|---|---|
| TataNld | 7.82% | 2.35% |
| Deutsche | 20.25% | 3.55% |
| Algorithm | Average Improvement Over MDCLB |
|---|---|
| DLBNB | 5% |
| ESMLB | 3% |
| Algorithm | Average Latency (Miles) | Improvement Over Proposed Algorithm |
|---|---|---|
| Proposed | 400 | – |
| PSO | 514 | 22.2% |
| Hybrid SD | 1733 | 76.9% |
| PASIN | 4944 | 91.89% |
| Network Size | Execution Time (Seconds) |
|---|---|
| 100 | 13 |
| 200 | 36 |
| 300 | 79 |
| 400 | 158 |
| Application | Bandwidth (Mbps) | Latency (ms) | Device Density (/Km2) |
|---|---|---|---|
| Autonomous Traffic | 0.05–10 | 10 | 12,000 |
| Road Safety | 0.005 | 10–100 | 3000 |
| City Surveillance | 20–100 | 10 | 60 |
| Structural Health | 50–100 | 1–20 | >60,000 |
| Home Energy | 0.001–0.1 | 200–300 | 6000 |
| Smart Grids | 0.001–1.5 | 1–20 | 6000 |
| Connected Ambulance | 1000 | 10 | 60 |
| Remote Monitoring | 5 | 250 | 60,000 |
| Problem Scale | PACSA-MSCP Time | CPLEX Time |
|---|---|---|
| Small-scale | 4.2 min | 2 h |
| Large-scale | 29.2 min | 10 h |
| Algorithm | Metrics Considered | Strengths | Limitations | |
|---|---|---|---|---|
| 2.1 | DEWO (Hybrid Differential Evolution + Whale Optimization) | Latency, Fault tolerance, Link failure minimization | Improved QoS, Reduced link failure | Clustering imbalance, Static simulation |
| 2.2 | GWOAP (Grey Wolf Optimization + Affinity Propagation) | Load distribution, Communication cost | Effective load distribution | No real-world validation, Ignores energy and latency metrics |
| 2.3 | MDCLB (Multiple Distributed Controller Load Balancing) | Load balance | Reduced packet loss, minimized response time, Reduced control overhead | Static load scenario, Ignores latency and scalability |
| 2.4 | ESFO + POCO (Enhanced Sunflower Optimization + POCO Tool) | Latency, load balancing | Significant latency reduction | Simulation only, Limited scalability tested |
| 2.5 | Submodularity-Based Optimization | Execution time, Controller count, Latency | Better execution time | Not validated in dynamic or real-time scenarios |
| 2.6 | IVP (IoT-aware VNF Placement) | Latency | Adapts to both static and dynamic traffic | Complexity |
| 2.7 | PACSA-MSCP (Ant Colony + Simulated Annealing) | Execution time, deployment cost | Fast execution, Lower deployment cost | Increased algorithmic complexity, Sensitive to node placement |
| 2.8 | PHCPA (Partitioned Hybrid Controller Placement Algorithm) | Latency | Fast execution and convergence | Ignores scalability, Fault tolerance |
| 2.9 | MOMPA (Multi-Objective Marine Predator Algorithm) | Latency, Load balance | Improve network performance | Computational complexity, Ignores fault tolerance |
| 2.10 | HSA-PSO (Hybrid Harmony Search Algorithm + Particle Swarm Optimization) | Propagation delay, Round Trip Time (RTT), Reliability | Reduces propagation delay, improved RTT, increases reliability | Only simulation based; lacks validation under dynamic or real-time network conditions |
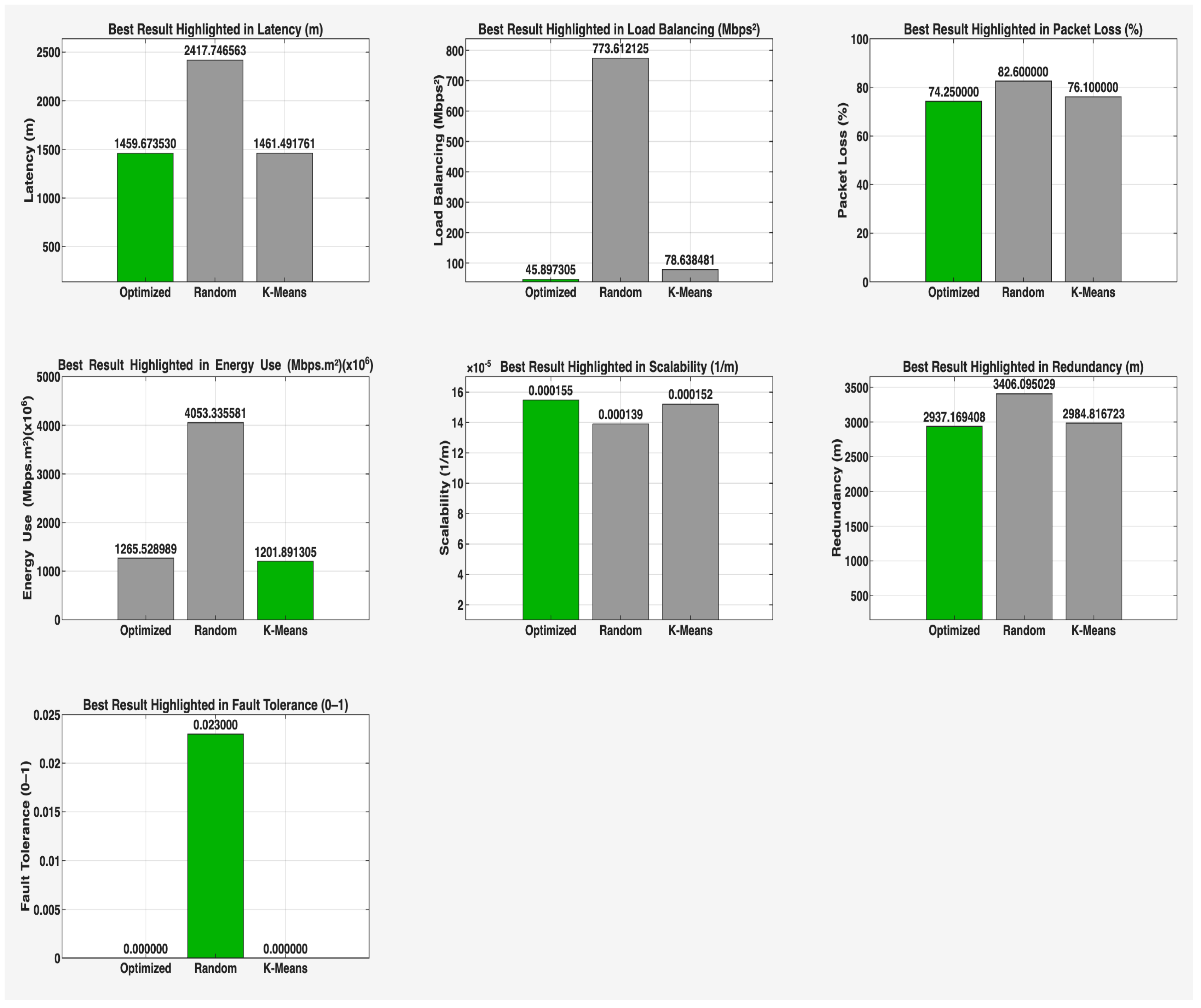
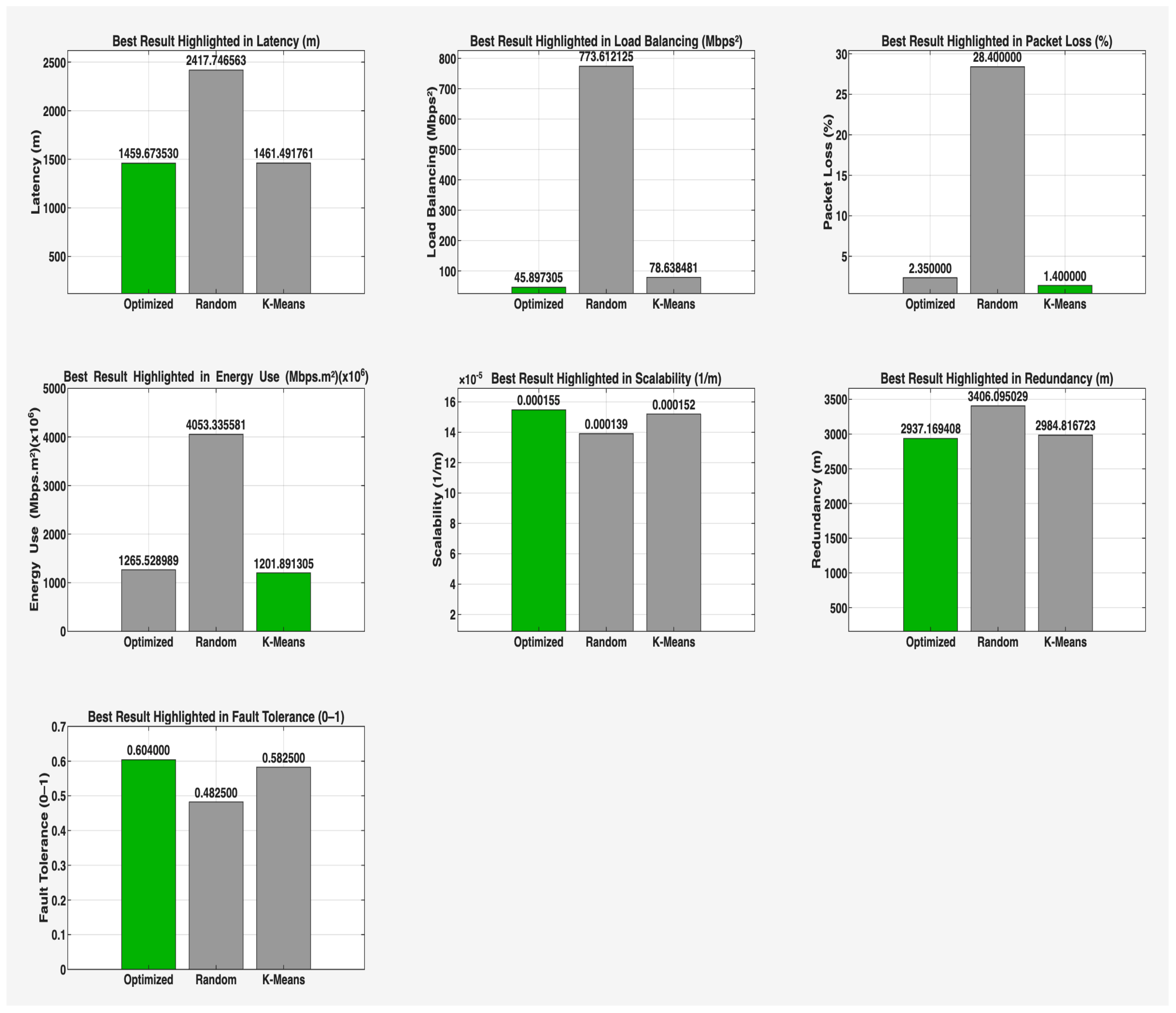
| Metric | Optimized | Random | K-Means | |||
|---|---|---|---|---|---|---|
| 1000 m | 3000 m | 1000 m | 3000 m | 1000 m | 3000 m | |
| Same Result | Same Result | Same Result | ||||
| Latency (m) | 1459.67 | 2417.74 | 1461.49 | |||
| Load Variance (Mbps2) | 45.89 | 773.61 | 78.63 | |||
| Packet Loss (%) | 74.25 | 2.35 | 82.50 | 28.40 | 76.10 | 1.40 |
| Energy Use (Mbps.m2) (×) | 1265.52 | 4053.33 | 1201.89 | |||
| Scalability (1/m) | 0.000155 | 0.000139 | 0.000152 | |||
| Redundancy (m) | 2937.16 | 3406.09 | 2984.81 | |||
| Fault Tolerance (fraction 0–1) | 0.00 | 0.60 | 0.023 | 0.48 | 0.00 | 0.58 |
| Controller No: | Optimized (1000 m) | Random (1000 m) | K-Means (1000 m) | Optimized (3000 m) | Random (3000 m) | K-Means (3000 m) |
|---|---|---|---|---|---|---|
| 1 | 70 | 29 | 9 | 209 | 123 | 136 |
| 2 | 44 | 20 | 38 | 203 | 62 | 179 |
| 3 | 35 | 61 | 51 | 191 | 257 | 243 |
| 4 | 49 | 49 | 34 | 186 | 113 | 173 |
| 5 | 85 | 18 | 36 | 237 | 109 | 167 |
| 6 | 39 | 25 | 38 | 167 | 177 | 176 |
| 7 | 39 | 33 | 47 | 173 | 126 | 190 |
| 8 | 32 | 31 | 75 | 162 | 171 | 238 |
| 9 | 40 | 40 | 64 | 173 | 225 | 211 |
| 10 | 82 | 42 | 86 | 252 | 69 | 259 |
| Covered Nodes | 515 | 348 | 478 | 1953 | 1432 | 1972 |
| Uncovered Nodes | 1485 | 1652 | 1522 | 47 | 568 | 28 |
| Coverage (%) | 25.75 | 17.4 | 23.9 | 97.65 | 71.6 | 98.6 |
Disclaimer/Publisher’s Note: The statements, opinions and data contained in all publications are solely those of the individual author(s) and contributor(s) and not of MDPI and/or the editor(s). MDPI and/or the editor(s) disclaim responsibility for any injury to people or property resulting from any ideas, methods, instructions or products referred to in the content. |
© 2025 by the authors. Licensee MDPI, Basel, Switzerland. This article is an open access article distributed under the terms and conditions of the Creative Commons Attribution (CC BY) license (https://creativecommons.org/licenses/by/4.0/).
Share and Cite
Memon, S.A.; Andriukaitis, D.; Navikas, D.; Markevičius, V.; Valinevičius, A.; Žilys, M.; Prauzek, M.; Konecny, J.; Li, Z.; Sledevič, T.; et al. Hybrid GA-PSO Optimization for Controller Placement in Large-Scale Smart City IoT Networks. Sensors 2025, 25, 7119. https://doi.org/10.3390/s25237119
Memon SA, Andriukaitis D, Navikas D, Markevičius V, Valinevičius A, Žilys M, Prauzek M, Konecny J, Li Z, Sledevič T, et al. Hybrid GA-PSO Optimization for Controller Placement in Large-Scale Smart City IoT Networks. Sensors. 2025; 25(23):7119. https://doi.org/10.3390/s25237119
Chicago/Turabian StyleMemon, Sheeraz Ali, Darius Andriukaitis, Dangirutis Navikas, Vytautas Markevičius, Algimantas Valinevičius, Mindaugas Žilys, Michal Prauzek, Jaromir Konecny, Zhixiong Li, Tomyslav Sledevič, and et al. 2025. "Hybrid GA-PSO Optimization for Controller Placement in Large-Scale Smart City IoT Networks" Sensors 25, no. 23: 7119. https://doi.org/10.3390/s25237119
APA StyleMemon, S. A., Andriukaitis, D., Navikas, D., Markevičius, V., Valinevičius, A., Žilys, M., Prauzek, M., Konecny, J., Li, Z., Sledevič, T., Frivaldsky, M., & Klimenta, D. (2025). Hybrid GA-PSO Optimization for Controller Placement in Large-Scale Smart City IoT Networks. Sensors, 25(23), 7119. https://doi.org/10.3390/s25237119

