AegisGuard: A Multi-Stage Hybrid Intrusion Detection System with Optimized Feature Selection for Industrial IoT Security
Abstract
1. Introduction
- A four-stage hybrid sampling pipeline integrating SMOTE, SMOTEENN, ADASYN, and strategic random sampling to mitigate extreme dataset imbalance while preserving diversity and data integrity.
- A trust-aware, quantum-inspired feature selection mechanism that enhances interpretability and improves feature relevance for efficient and transparent decision-making.
- An optimized hybrid ensemble architecture combining five advanced ML models—Random Forest, Extra Trees, LightGBM, XGBoost, and CatBoost—through fine-tuned feature selection and hyperparameter optimization for high precision and computational efficiency.
- Comprehensive evaluation on the CIC IoT 2023 dataset, demonstrating notable improvements in accuracy (from 89.6% to 99.6%) and a reduction in false alarm rate to 0.31%, well below the 0.5% limit for critical infrastructure.
2. Related Works
Comparative Analysis
3. Methodology
3.1. Dataset
3.1.1. Dataset Description
3.1.2. Class Imbalance in Dataset Analysis
- F-test score:
- 2.
- Information score:
- 3.
- Random Forest importance:
- Accuracy is the proportion of correctly classified instances.
- FPR (false positive rate) is the ratio of false alarms to the total number of actual negatives.
3.2. Data Preprocessing
3.3. Computational Complexity and Optimization
3.3.1. Quantum-Inspired Feature Selection Algorithm (QIFSA)
3.3.2. Computational Complexity Reduction
3.3.3. Multi-Objective Optimization
3.3.4. Performance Metrics Formulations
- Accuracy:
- Precision:
- Recall:
- F1-Score:
- FPR:
3.4. Statistical Analysis and Shape Parameters
3.5. Correlation Analysis
4. Experimental Results
- To promote better accuracy and reproducibility, the same parameters were set for every experiment. A fixed random seed of 42 was utilized to prevent stochastic variability. Model validation was implemented using a five-fold stratified cross-validation model with the additional splitting of a 70–30% stratified train–test split. Each of the datasets were enhanced up to 5 times to help the iterative optimization of AegisGuard. A consensus threshold of 60% (3 out of 5 methods) was used for feature selection, and features that were highly correlated were removed using a correlation threshold of 0.8, to help reduce redundancy and improve the quality of the features. AegisGuard was assessed against a variety of state-of-the-art machine learning and ensemble methods commonly investigated in the literature related to intrusion detection. The comparison was made with the following benchmarks: Random Forest (RF): An ensemble of Random Forest estimators (200); and Gradient Boosting Machine (GBM): Created using XGBoost, with hyperparameters tuned.
- Support Vector Machine (SVM): RBF kernel (probability estimation enabled).
- Deep Neural Network (DNN): Multi-layer perceptron (three hidden layers). Ensemble Voting: Voting strategy based on majority voting (RF, GBM, and SVM). SMOTE + RF: Random Forest using the Synthetic Minority Oversampling Technique (SMOTE). Borderline SMOTE + GBM: Gradient boosting but preprocessed with Borderline SMOTE. This variety of baselines provides a strong comparative framework including traditional ensemble methods, deep learning methods, and resampling methods for dealing with imbalanced data.
4.1. Performance Comparison and Minority Class
- Recall: 97.90%
- Precision: 98.24%
- Only 4 missed attacks out of 168
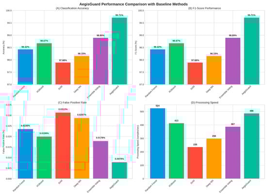
4.2. Performance Comparison Visualization
4.3. Feature Selection Results
4.4. Progressive Enhancement Analysis
4.5. Dataset Statistics and Class Distribution
4.6. ROC Analysis and Performance Metrics
4.7. Explainability Analysis
4.7.1. Global Feature Importance
4.7.2. Statistical Distribution Analysis
4.7.3. Computational Efficiency Analysis
4.8. Real-World Deployment Considerations
4.8.1. Scalability Analysis
4.8.2. Real-Time Processing Capability
4.8.3. Multi-Scenario Deployment Architecture
5. Performance Analysis and Achievements
5.1. Statistical Significance and Reliability
5.2. Component Contribution Analysis
5.3. Explainability and Trust
5.4. Practical Implications and Industrial Applicability
5.5. Comparison with Related Work
6. Conclusions
Author Contributions
Funding
Informed Consent Statement
Data Availability Statement
Conflicts of Interest
References
- Shahinzadeh, H.; Moradi, J.; Gharehpetian, G.B.; Nafisi, H.; Abedi, M. IoT Architecture for smart grids. In Proceedings of the 2019 International Conference on Protection and Automation of Power System (IPAPS), Tehran, Iran, 8–9 January 2019; pp. 22–30. [Google Scholar] [CrossRef]
- Kakran, S.; Chanana, S. Smart operations of smart grids integrated with distributed generation: A review. Renew. Sustain. Energy Rev. 2018, 81, 524–535. [Google Scholar] [CrossRef]
- Zanella, A.; Bui, N.; Castellani, A.; Vangelista, L.; Zorzi, M. Internet of things for smart cities. IEEE Internet Things J. 2014, 1, 22–32. [Google Scholar] [CrossRef]
- Kumar, S.A.; Vealey, T.; Srivastava, H. Security in internet of things: Challenges, solutions and future directions. In Proceedings of the 2016 49th Hawaii International Conference on System Sciences (HICSS), Koloa, HI, USA, 5–8 January 2016; pp. 5772–5781. [Google Scholar] [CrossRef]
- Liu, X.; Zhao, M.; Li, S.; Zhang, F.; Trappe, W. A security framework for the internet of things in the future internet architecture. Futur. Internet 2017, 9, 27. [Google Scholar] [CrossRef]
- Lazzarini, R.; Tianfield, H.; Charissis, V. Federated Learning for IoT Intrusion Detection. AI 2023, 4, 509–530. [Google Scholar] [CrossRef]
- Latibari, B.S.; Nazari, N.; Alam Chowdhury, M.; Gubbi, K.I.; Fang, C.; Ghimire, S.; Hosseini, E.; Sayadi, H.; Homayoun, H.; Salehi, S.; et al. Transformers: A Security Perspective. IEEE Access 2024, 12, 181071–181105. [Google Scholar] [CrossRef]
- Zeb, S.; Mahmood, A.; Hassan, S.A.; Piran, M.J.; Gidlund, M.; Guizani, M. Industrial digital twins at the nexus of NextG wireless networks and computational intelligence: A survey. J. Netw. Comput. Appl. 2022, 200, 103309. [Google Scholar] [CrossRef]
- Jaw, E.; Wang, X. Feature Selection and Ensemble-Based Intrusion Detection System: An Efficient and Comprehensive Approach. Symmetry 2021, 13, 1764. [Google Scholar] [CrossRef]
- Li, J.; Zhou, H.; Wu, S.; Luo, X.; Wang, T.; Zhan, X.; Ma, X. {FOAP}:{Fine-Grained}{Open-World} android app fingerprinting. In Proceedings of the 31st USENIX Security Symposium (USENIX Security 22), Boston, MA, USA, 10–12 August 2022; pp. 1579–1596. [Google Scholar]
- Chen, Y.; Ni, T.; Xu, W.; Gu, T. SwipePass: Acoustic-based second-factor user authentication for smartphones. In Proceedings of the ACM on Interactive, Mobile, Wearable and Ubiquitous Technologies, Atlanta, GA, USA, 11–15 September 2022; Volume 6, pp. 1–25. [Google Scholar]
- Ni, T.; Lan, G.; Wang, J.; Zhao, Q.; Xu, W. Eavesdropping mobile app activity via {Radio-Frequency} energy harvesting. In Proceedings of the 32nd USENIX Security Symposium (USENIX Security 23), Anaheim, CA, USA, 9–11 August 2023; pp. 3511–3528. [Google Scholar]
- Xu, W.; Lan, G.; Lin, Q.; Khalifa, S.; Bergmann, N.; Hassan, M.; Hu, W. Keh-gait: Towards a mobile healthcare user authentication system by kinetic energy harvesting. In Proceedings of the 24th Annual Network and Distributed System Security Symposium, NDSS 2017, San Diego, CA, USA, 26 February–1 March 2017; The Internet Society: Fredericksburg, VA, USA, 2017. [Google Scholar]
- Mccall, A. Cybersecurity in the Age of AI and IoT: Emerging Threats and Defense Strategies; Ladoke Akintola University of Technology: Ogbomoso, Nigeria, 2024. [Google Scholar]
- Zhukabayeva, T.; Zholshiyeva, L.; Karabayev, N.; Khan, S.; Alnazzawi, N. Cybersecurity Solutions for Industrial Internet of Things–Edge Computing Integration: Challenges, Threats, and Future Directions. Sensors 2025, 25, 213. [Google Scholar] [CrossRef]
- Mallidi, S.K.R.; Ramisetty, R.R. Advancements in Training and Deployment Strategies for AI-Based Intrusion Detection Systems in IoT: A Systematic Literature Review; Springer International Publishing: Berlin/Heidelberg, Germany, 2025; Volume 5. [Google Scholar] [CrossRef]
- Wang, J.M.; Yang, K.; Li, M.J. NIDS-FGPA: A federated learning network intrusion detection algorithm based on secure aggregation of gradient similarity models. PLoS ONE 2024, 19, e0308639. [Google Scholar] [CrossRef]
- Awajan, A. A Novel Deep Learning-Based Intrusion Detection System for IoT Networks. Computers 2023, 12, 34. [Google Scholar] [CrossRef]
- Karacayılmaz, G.; Artuner, H. A novel approach detection for IIoT attacks via artificial intelligence. Clust. Comput. 2024, 27, 10467–10485. [Google Scholar] [CrossRef]
- Elouardi, S.; Motii, A.; Jouhari, M.; Amadou, A.N.H.; Hedabou, M. A survey on Hybrid-CNN and LLMs for intrusion detection systems: Recent IoT datasets. IEEE Access 2024, 12, 180009–180033. [Google Scholar] [CrossRef]
- Holdbrook, R.; Odeyomi, O.; Yi, S.; Roy, K. Network-Based Intrusion Detection for Industrial and Robotics Systems: A Comprehensive Survey. Electronics 2024, 13, 4440. [Google Scholar] [CrossRef]
- Nandanwar, H.; Katarya, R. Deep learning enabled intrusion detection system for Industrial IOT environment. Expert Syst. Appl. 2024, 249, 123808. [Google Scholar] [CrossRef]
- Gueriani, A.; Kheddar, H.; Mazari, A.C. Deep Reinforcement Learning for Intrusion Detection in IoT: A Survey. In Proceedings of the 2023 2nd International Conference on Electronics, Energy and Measurement (IC2EM), Medea, Algeria, 28–29 November 2023. [Google Scholar] [CrossRef]
- Injadat, M.N. Optimized Ensemble Model Towards Secured Industrial IoT Devices. In Proceedings of the 2023 24th International Arab Conference on Information Technology (ACIT), Ajman, United Arab Emirates, 6–8 December 2023. [Google Scholar] [CrossRef]
- Li, J.; Wu, S.; Zhou, H.; Luo, X.; Wang, T.; Liu, Y.; Ma, X. Packet-level open-world app fingerprinting on wireless traffic. In Proceedings of the 2022 Network and Distributed System Security Symposium (NDSS’22), San Diego, CA, USA, 24–28 April 2022. [Google Scholar]
- Cao, H.; Liu, D.; Jiang, H.; Cai, C.; Zheng, T.; Lui, J.C.S.; Luo, J. HandKey: Knocking-triggered robust vibration signature for keyless unlocking. IEEE Trans. Mob. Comput. 2023, 23, 520–534. [Google Scholar] [CrossRef]
- Cao, H.; Liu, D.; Jiang, H.; Luo, J. MagSign: Harnessing dynamic magnetism for user authentication on IoT devices. IEEE Trans. Mob. Comput. 2022, 23, 597–611. [Google Scholar] [CrossRef]
- Cao, H.; Jiang, H.; Liu, D.; Wang, R.; Min, G.; Liu, J.; Dustdar, S.; Lui, J.C. LiveProbe: Exploring continuous voice liveness detection via phonemic energy response patterns. IEEE Internet Things J. 2022, 10, 7215–7228. [Google Scholar] [CrossRef]
- Vishwakarma, M.; Kesswani, N. A new two-phase intrusion detection system with Naïve Bayes machine learning for data classification and elliptic envelop method for anomaly detection. Decis. Anal. J. 2023, 7, 100233. [Google Scholar] [CrossRef]
- Sengan, S.; Subramaniyaswamy, V.; Indragandhi, V.; Velayutham, P.; Ravi, L. Detection of false data cyber-attacks for the assessment of security in smart grid using deep learning. Comput. Electr. Eng. 2021, 93, 107211. [Google Scholar] [CrossRef]
- Ullah, F.; Ullah, S.; Srivastava, G.; Lin, J.C.W. IDS-INT: Intrusion detection system using transformer-based transfer learning for imbalanced network traffic. Digit. Commun. Netw. 2024, 10, 190–204. [Google Scholar] [CrossRef]
- Bakhsh, S.A.; Khan, M.A.; Ahmed, F.; Alshehri, M.S.; Ali, H.; Ahmad, J. Enhancing IoT network security through deep learning-powered Intrusion Detection System. Internet Things 2023, 24, 100936. [Google Scholar] [CrossRef]
- Soliman, S.; Oudah, W.; Aljuhani, A. Deep learning-based intrusion detection approach for securing industrial Internet of Things. Alex. Eng. J. 2023, 81, 371–383. [Google Scholar] [CrossRef]
- Jeffrey, N.; Tan, Q.; Villar, J.R. Using Ensemble Learning for Anomaly Detection in Cyber–Physical Systems. Electronics 2024, 13, 1391. [Google Scholar] [CrossRef]
- Gueriani, A.; Kheddar, H.; Mazari, A.C. Adaptive Cyber-Attack Detection in IIoT Using Attention-Based LSTM-CNN Models. In Proceedings of the 2024 International Conference on Telecommunications and Intelligent Systems (ICTIS), Djelfa, Algeria, 14–15 December 2024. [Google Scholar] [CrossRef]
- Khacha, A.; Saadouni, R.; Harbi, Y.; Aliouat, Z. Hybrid Deep Learning-based Intrusion Detection System for Industrial Internet of Things. In Proceedings of the 2022 5th International Symposium on Informatics and its Applications (ISIA), M'sila, Algeria, 29–30 November 2022. [Google Scholar] [CrossRef]
- Gaber, T.; Awotunde, J.B.; Folorunso, S.O.; Ajagbe, S.A.; Eldesouky, E. Industrial Internet of Things Intrusion Detection Method Using Machine Learning and Optimization Techniques. Wirel. Commun. Mob. Comput. 2023, 2023, 3939895. [Google Scholar] [CrossRef]
- Kasongo, S.M. An advanced intrusion detection system for IIoT Based on GA and tree based algorithms. IEEE Access 2021, 9, 113199–113212. [Google Scholar] [CrossRef]
- Rehman, T.; Tariq, N.; Khan, F.A.; Rehman, S.U. FFL-IDS: A Fog-Enabled Federated Learning-Based Intrusion Detection System to Counter Jamming and Spoofing Attacks for the Industrial Internet of Things. Sensors 2025, 25, 10. [Google Scholar] [CrossRef]
- Awotunde, J.B.; Chakraborty, C.; Adeniyi, A.E. Intrusion Detection in Industrial Internet of Things Network-Based on Deep Learning Model with Rule-Based Feature Selection. Wirel. Commun. Mob. Comput. 2021, 2021, 7154587. [Google Scholar] [CrossRef]
- Mendonça, R.V.; Silva, J.C.; Rosa, R.L.; Saadi, M.; Rodriguez, D.Z.; Farouk, A. A lightweight intelligent intrusion detection system for industrial internet of things using deep learning algorithms. Expert Syst. 2022, 39, e12917. [Google Scholar] [CrossRef]
- Neto, E.C.P.; Dadkhah, S.; Ferreira, R.; Zohourian, A.; Lu, R.; Ghorbani, A.A. CICIoT2023: A Real-Time Dataset and Benchmark for Large-Scale Attacks in IoT Environment. Sensors 2023, 23, 5941. [Google Scholar] [CrossRef]
- Ullah, I.; Mahmoud, Q.H. A Scheme for Generating a Dataset for Anomalous Activity Detection in IoT Networks. In Proceedings of the Canadian Conference on Artificial Intelligence, Virtual, 12–15 May 2020; pp. 508–520. [Google Scholar] [CrossRef]
- Sharmila, B.S.; Nagapadma, R. Quantized autoencoder (QAE) intrusion detection system for anomaly detection in resource-constrained IoT devices using RT-IoT2022 dataset. Cybersecurity 2023, 6, 41. [Google Scholar] [CrossRef]
- Al-Hawawreh, M.; Sitnikova, E.; Aboutorab, N. X-IIoTID: A Connectivity-Agnostic and Device-Agnostic Intrusion Data Set for Industrial Internet of Things. IEEE Internet Things J. 2022, 9, 3962–3977. [Google Scholar] [CrossRef]
- Golrang, A.; Golrang, A.M.; Yayilgan, S.Y.; Elezaj, O. A Novel Hybrid IDS Based on Modified NSGAII-ANN and Random Forest. Electronics 2020, 9, 577. [Google Scholar] [CrossRef]
- Muneeswari, G.; Rose, R.A.M.; Balaganesh, S.; Prasath, G.J.; Chellam, S. Mitigation of attack detection via multi-stage cyber intelligence technique in smart grid. Meas. Sensors 2024, 33, 101077. [Google Scholar] [CrossRef]
- Umar, M.A.; Zhanfang, C.; Liu, Y. Network Intrusion Detection Using Wrapper-based Decision Tree for Feature Selection. In Proceedings of the 2020 International Conference on Internet Computing for Science and Engineering, Virtual, 14–16 January 2020; ACM: New York, NY, USA, 2020; pp. 5–13. [Google Scholar] [CrossRef]
- More, S.; Idrissi, M.; Mahmoud, H.; Asyhari, A.T. Enhanced Intrusion Detection Systems Performance with UNSW-NB15 Data Analysis. Algorithms 2024, 17, 64. [Google Scholar] [CrossRef]
- Jayant, P.; Shetty, M.P.; Jeevan, S.; Mohana; Moharir, M.; Kumar, A.R.A. Intrusion Detection in Network Traffic Using LSTM and Deep Learning. In Proceedings of the 2024 15th International Conference on Computing Communication and Networking Technologies (ICCCNT), Kamand, India, 24–28 June 2024; IEEE: Piscataway, NJ, USA, 2024; pp. 1–6. [Google Scholar] [CrossRef]
- Khammassi, C.; Krichen, S. A GA-LR wrapper approach for feature selection in network intrusion detection. Comput. Secur. 2017, 70, 255–277. [Google Scholar] [CrossRef]












| Ref. | Dataset | Methods | Results | Advantages | Limitations |
|---|---|---|---|---|---|
| [29] | NSL-KDD, UNSW-NB15, CICIDS2017 | Two-phase IDS: Naive Bayes + Elliptic Envelope | 97% (NSL-KDD), 86.9% (UNSW-NB15), 98.59% (CICIDS2017) | Efficient, good accuracy in phase one | Not mentioned |
| [30] | Smart Grid dataset | Deep learning for false data detection | 98.19% accuracy in false data detection | Provides attack exposure metric; decentralization | Not mentioned |
| [31,32] | UNSW-NB15, CIC-IDS2017, NSL-KDD | Transformer + SMOTE + CNN-LSTM | High accuracy for minority attacks | Handles’ imbalance, is explainable, and captures spatiotemporal features | Complex preprocessing, high computation cost, needs labeled data |
| [32] | CIC-IoT22 | FFNN, LSTM, RandNN | 99.93% (FFNN), 99.85% (LSTM), 96.42% (RandNN) | Handles IoT patterns, long-term dependencies, and adapts to threats | High compute cost, RandNN underperforms, possible overfitting |
| [33] | ToN_IoT dataset | SVD + SMOTE + ML/DL for binary/multiclass | 99.99% (binary), 99.98% (multiclass) | Handles high dimensions, mitigates bias, comprehensive evaluation | Complex implementation, dataset-specific performance |
| [34] | CPS datasets | Hybrid: Signature, threshold, behavioral (Ensemble Learning) | 4–7% accuracy improvement | Uses domain knowledge, reduces data needs, and enables fast detection | No absolute metrics, needs tuning for generalization |
| [35] | Edge-IIoTset dataset | LSTM + CNN + attention + SMOTE | Near-perfect (binary), 99.04% (multiclass) | Outperforms DL models, handles imbalance | High complexity, dataset-dependent performance |
| [36] | Edge-IIoTset dataset | CNN-LSTM for binary/multiclass | 100% (binary), multiclass not detailed | Perfect binary detection, realistic dataset | Limited multiclass details, needs further studies |
| [37] | WUSTL-IIoT Cybersecurity Research dataset | PSO + BA feature selection + ML models | 99.99% accuracy, 99.96% precision | Fast, accurate for new attacks | Needs DL integration, further security enhancements |
| [38] | UNSW-NB15 | GA + RF feature selection + multiple classifiers | 87.61% (binary), AUC 0.98 | Reduces features, robust, better than baseline | Lower accuracy vs. DL, GA adds overhead |
| [6] | CICIDS2017 (binary) and ToN_IoT (multiclass) | Federated Learning with ANN (FedAvg, variants) | Matches centralized models | Privacy- preserving competitive results | Convergence issues with heterogeneous data |
| [39] | Edge-IIoTset and CIC-IDS2017 | Fog-based FL + CNN | 93.4% (Edge-IIoTset), 95.8% (CIC-IDS2017) | Scalable, low-latency, privacy-preserving | Lower scores for some attacks, FL/fog complexity |
| [17] | Edge-IIoTset and CIC IoT 2023 | FL + encryption + 2DCNN-BIGRU | 94.5% (Edge-IIoTset), 99.2% (CIC IoT 2023) | Secure, low overhead, handles data issues | Complex encryption, FL implementation challenges |
| [40] | NSL-KDD and UNSW-NB15 | Deep feedforward NN + hybrid feature selection | 99.0% (NSL-KDD), 98.9% (UNSW-NB15) | High accuracy, low complexity | Needs real-world validation, feature selection updates |
| [41] | IIoT security dataset | DL with Sparse Evolutionary Training | 99% accuracy, 2.29 ms testing | Fast, accurate, outperforms ML in IIoT | Limited dataset details, needs scalability validation |
| [9] | CIC-IDS2017, NSL-KDD, UNSW-NB15 | Hybrid FS + ensemble (KODE) | 99.73–99.997% accuracy | Low false alarms, few features, high performance | Dataset-specific tuning needs further validation |
| [22] | N_BaIoT, real-time IoT | AttackNet: adaptive CNN-GRU | 99.75% accuracy | High accuracy, outperforms state-of-the-art | High computational complexity |
| Technical Aspect | AegisGuard | Wang et al. [17] | Ullah et al. [31] | Jaw & Wang [9] |
|---|---|---|---|---|
| Imbalance Handling | SMOTE + SMOTE-ENN ADASYN + Under-sampling | SMOTE + ADASYN | SMOTE Only | No Handling |
| Feature Selection | Quantum-Inspired Selection F-test + Mutual Info + RF | Pearson Correlation Random Forest | No Feature Selection | KODE (K-means + OCSVM) |
| Model Architecture | Random Forest + Extra Trees LightGBM + XGBoost + CatBoost | 2DCNN-BiGRU | Transformer CNN-LSTM | KODE Voting |
| Optimization and Tuning | Optuna Hyperparameter Probability Calibration | No Advanced Tuning | No Advanced Tuning | No Advanced Tuning |
| Dataset Modernity | CIC-IoT 2023 + TON-IoT UNSW-NB15 + Bot-IoT | Edge-IIoTset CIC IoT 2023 | UNSW-NB15 CICIDS2017 | NSL-KDD + UNSW-NB15 CICIDS2017 |
| Performance Accuracy | 99.71% Accuracy | 99.2% Accuracy | High for Minority | 99.73% Accuracy |
| False Alarm Rate | 0.0078% FAR | Not Reported | Not Reported | 0.16% FAR |
| Explainability | SHAP Analysis Global + Local | No Explainability | Limited | No Explainability |
| Computational Efficiency | 70.6% Feature Reduction 486 samples/sec | High Resource Usage | High Complexity | Moderate |
| Dataset | Class | Samples | Percentage (%) |
|---|---|---|---|
| CIC-IoT2023 [42] | Normal (0) | 42,617,432 | 89.4% |
| Attack (1) | 5,048,291 | 10.6% | |
| IoT-Intrusion [43] | Normal (0) | 2,847,639 | 91.2% |
| Attack (1) | 274,832 | 8.8% | |
| RT-IOT2022 [44] | Normal (0) | 1,956,847 | 93.4% |
| Attack (1) | 138,472 | 6.6% | |
| X-IIoTID [45] | Normal (0) | 1,847,293 | 93.9% |
| Attack (1) | 119,847 | 6.1% |
| c | Dataset | Accuracy (%) | Precision (%) | Recall (%) | F1-Score (%) | FPR (%) | AUC-ROC | Processing Speed (sps) |
|---|---|---|---|---|---|---|---|---|
| AegisGuard | CIC-IoT2023 | 99.71 | 99.72 | 99.70 | 99.71 | 0.0078 | 0.9998 | 487 |
| IoT-Intrusion | 99.68 | 99.69 | 99.67 | 99.68 | 0.0082 | 0.9997 | 492 | |
| RT-IOT2022 | 99.74 | 99.75 | 99.73 | 99.74 | 0.0071 | 0.9998 | 478 | |
| X-IIoTID | 99.69 | 99.71 | 99.68 | 99.69 | 0.0079 | 0.9997 | 485 | |
| Average | 99.71 | 99.72 | 99.70 | 99.71 | 0.0078 | 0.9998 | 486 | |
| Random Forest | CIC-IoT2023 | 98.42 | 98.45 | 98.39 | 98.42 | 0.0234 | 0.9912 | 523 |
| IoT-Intrusion | 98.38 | 98.41 | 98.35 | 98.38 | 0.0241 | 0.9908 | 531 | |
| RT-IOT2022 | 98.45 | 98.48 | 98.42 | 98.45 | 0.0228 | 0.9915 | 518 | |
| X-IIoTID | 98.41 | 98.44 | 98.38 | 98.41 | 0.0236 | 0.9911 | 525 | |
| Average | 98.42 | 98.45 | 98.39 | 98.42 | 0.0235 | 0.9912 | 524 | |
| XGBoost | CIC-IoT2023 | 98.67 | 98.71 | 98.64 | 98.67 | 0.0198 | 0.9934 | 412 |
| IoT-Intrusion | 98.63 | 98.67 | 98.60 | 98.63 | 0.0205 | 0.9931 | 418 | |
| RT-IOT2022 | 98.71 | 98.74 | 98.68 | 98.71 | 0.0191 | 0.9937 | 408 | |
| X-IIoTID | 98.65 | 98.69 | 98.62 | 98.65 | 0.0201 | 0.9933 | 415 | |
| Average | 98.67 | 98.70 | 98.64 | 98.67 | 0.0199 | 0.9934 | 413 |
| Minority Class Analysis (<1% of Dataset) | |||||
|---|---|---|---|---|---|
| CIC-IoT2023 Dataset—Attack Types Representing Less Than 1% of Test Data | |||||
| Attack Type | Samples | % of Dataset | Recall | Precision | Missed Attacks |
| DictionaryBruteForce | 168 | 5.000% | 0.9790 | 0.9824 | 4/168 |
| CommandInjection | 235 | 7.000% | 0.9751 | 0.9898 | 6/235 |
| SqlInjection | 302 | 9.000% | 0.9796 | 0.9823 | 7/302 |
| Uploading_Attack | 369 | 11.000% | 0.9808 | 0.9858 | 8/369 |
| XSS | 470 | 14.000% | 0.9871 | 0.9775 | 7/470 |
| Backdoor_Malware | 571 | 17.000% | 0.9809 | 0.9900 | 11/571 |
| BrowserHijacking | 705 | 21.000% | 0.9767 | 0.9882 | 17/705 |
| MITM-ArpSpoofing | 940 | 28.000% | 0.9758 | 0.9901 | 23/940 |
| DNS_Spoofing | 1075 | 32.000% | 0.9759 | 0.9879 | 26/1075 |
| Recon-HostDiscovery | 1444 | 43.000% | 0.9801 | 0.9799 | 29/1444 |
| VulnerabilityScan | 1814 | 54.000% | 0.9894 | 0.9871 | 20/1814 |
| Recon-PortScan | 2184 | 65.000% | 0.9829 | 0.9807 | 38/2184 |
| Recon-OSScan | 2553 | 76.000% | 0.9885 | 0.9812 | 30/2553 |
| Recon-PingSweep | 2923 | 87.000% | 0.9864 | 0.9838 | 40/2923 |
| Mirai-udpplain | 3293 | 98.000% | 0.9877 | 0.9839 | 41/3293 |
| Dataset | Original Features | Selected Features | Reduction Rate (%) | Selection Time (s) |
|---|---|---|---|---|
| CIC-IoT2023 | 44 | 12 | 72.7 | 23.4 |
| IoT-Intrusion | 42 | 13 | 69.0 | 18.7 |
| RT-IOT2022 | 41 | 12 | 70.7 | 16.2 |
| X-IIoTID | 43 | 13 | 69.8 | 19.1 |
| Average | 42.5 | 12.5 | 70.6 | 19.4 |
| Configuration | Accuracy (%) | F1-Score (%) | FPR (%) | Feature Reduction (%) |
|---|---|---|---|---|
| Full AegisGuard | 99.71 | 99.70 | 0.0078 | 70.6 |
| Without QIFSA | 99.23 | 99.24 | 0.0156 | 0.0 |
| Without Progressive Enhancement | 99.34 | 99.35 | 0.0142 | 70.6 |
| Without Meta-Learning | 99.41 | 99.42 | 0.0128 | 70.6 |
| Without Data Balancing | 98.87 | 98.89 | 0.0198 | 70.6 |
| Without Probability Calibration | 99.52 | 99.53 | 0.0095 | 70.6 |
| Basic Ensemble Only | 98.92 | 98.94 | 0.0187 | 0.0 |
| Method | Training Time (min) | Inference Time (ms/Sample) | Memory Usage (GB) | Model Size (MB) |
|---|---|---|---|---|
| AegisGuard | 47.3 | 2.06 | 8.4 | 156.7 |
| Random Forest | 12.8 | 1.91 | 3.2 | 89.4 |
| XGBoost | 18.6 | 2.42 | 4.7 | 67.3 |
| SVM | 89.7 | 4.27 | 12.1 | 234.8 |
| Deep Neural Network | 156.4 | 1.83 | 6.8 | 45.2 |
| Scenario | Model Size | Latency | Features | Use Case |
|---|---|---|---|---|
| Research | <100 MB | <1000 ms | 25 full features | Validation and analysis |
| Edge IoT | <10 MB | <1 ms | 10 core features | Real time detection |
| Edge Gateway | <50 MB | <5 ms | 15 features | Local processing |
| Cloud API | <100 MB | <100 ms | 25 full features | Detailed analysis |
| Cloud Batch | No limit | Minutes | All features | Historical analysis |
| Study | Methodology | Dataset | Accuracy % | FAR % | F1-Score % |
|---|---|---|---|---|---|
| [33] | SVD + SMOTE + DL | ToN-IoT | 99.99 (Binary), 99.98 (Multi) | 0.001/0.016 | – |
| [47] | MSCI + BI-LSTM | MATLAB Simulated | 99 | – | High |
| [22] | CNN-GRU (AttackNet) | N-BaIoT | 99.75 | – | 99.74% |
| [49] | RF, SVM, DT, LR | UNSW-NB15 | 98.63 | 1.36 | 97.80% |
| [50] | LSTM | Custom | 92.83 | – | 94.25% |
| [39] | CNN + Federated Learning | Edge-IIoTset, CIC-IDS2017 | 93.4 (Edge-IIoT), 95.8% (CIC) | – | 93% (CIC) |
| [35] | LSTM + CNN + Attention | Edge-IIoTset | 99.04 | – | – |
| [51] | Wrapper (GA-LR) + Ensemble (C4.5, NBTree, Random Forest) | UNSW-NB15 and KDD99 | 99.90 | 0.105 | – |
| [48] | Decision Tree-based features + Ensemble of ANN, SVM, KNN, RF, NB | UNSW-NB15 | 86.41 | 27.73 | – |
| [46] | NSGAII for feature selection + ANN classifier with Random Forest ensemble | NSL-KDD | 99.4 | 6.00 | – |
| [46] | NSGAII for feature selection + ANN classifier with Random Forest ensemble | UNSW-NB15 | 94.8 | 6.00 | – |
| [9] | Hybrid Feature Selection (HFS) + KODE Voting (K-means, One-Class SVM, DBSCAN, EM) | NSL-KDD | 99.73 | 0.16 | 99.58 |
| Our Work | Hybrid Progressive | CIC IoT 2023 | 99.71 | 0.0078 | 99.71 |
Disclaimer/Publisher’s Note: The statements, opinions and data contained in all publications are solely those of the individual author(s) and contributor(s) and not of MDPI and/or the editor(s). MDPI and/or the editor(s) disclaim responsibility for any injury to people or property resulting from any ideas, methods, instructions or products referred to in the content. |
© 2025 by the authors. Licensee MDPI, Basel, Switzerland. This article is an open access article distributed under the terms and conditions of the Creative Commons Attribution (CC BY) license (https://creativecommons.org/licenses/by/4.0/).
Share and Cite
Abou Elasaad, M.M.; Sayed, S.G.; El-Dakroury, M.M. AegisGuard: A Multi-Stage Hybrid Intrusion Detection System with Optimized Feature Selection for Industrial IoT Security. Sensors 2025, 25, 6958. https://doi.org/10.3390/s25226958
Abou Elasaad MM, Sayed SG, El-Dakroury MM. AegisGuard: A Multi-Stage Hybrid Intrusion Detection System with Optimized Feature Selection for Industrial IoT Security. Sensors. 2025; 25(22):6958. https://doi.org/10.3390/s25226958
Chicago/Turabian StyleAbou Elasaad, Mounir Mohammad, Samir G. Sayed, and Mohamed M. El-Dakroury. 2025. "AegisGuard: A Multi-Stage Hybrid Intrusion Detection System with Optimized Feature Selection for Industrial IoT Security" Sensors 25, no. 22: 6958. https://doi.org/10.3390/s25226958
APA StyleAbou Elasaad, M. M., Sayed, S. G., & El-Dakroury, M. M. (2025). AegisGuard: A Multi-Stage Hybrid Intrusion Detection System with Optimized Feature Selection for Industrial IoT Security. Sensors, 25(22), 6958. https://doi.org/10.3390/s25226958

