Adaptive Channel Estimation for Semi-Passive IRS with Optimized Sensor Deployment
Abstract
1. Introduction
2. System Model and Transmission Scheme
2.1. System and Channel Model
2.2. Transmission Scheme
3. Adaptive Channel Estimation Algorithm Based on Compressed Sensing
| Algorithm 1 A semi-passive IRS-based channel estimation algorithm with adaptive capability |
|
4. PSO-Based Deployment Optimization of IRS Active Sensors Assisted by the ACSCE Algorithm
| Algorithm 2 PSO-based deployment scheme for IRS active sensors |
|
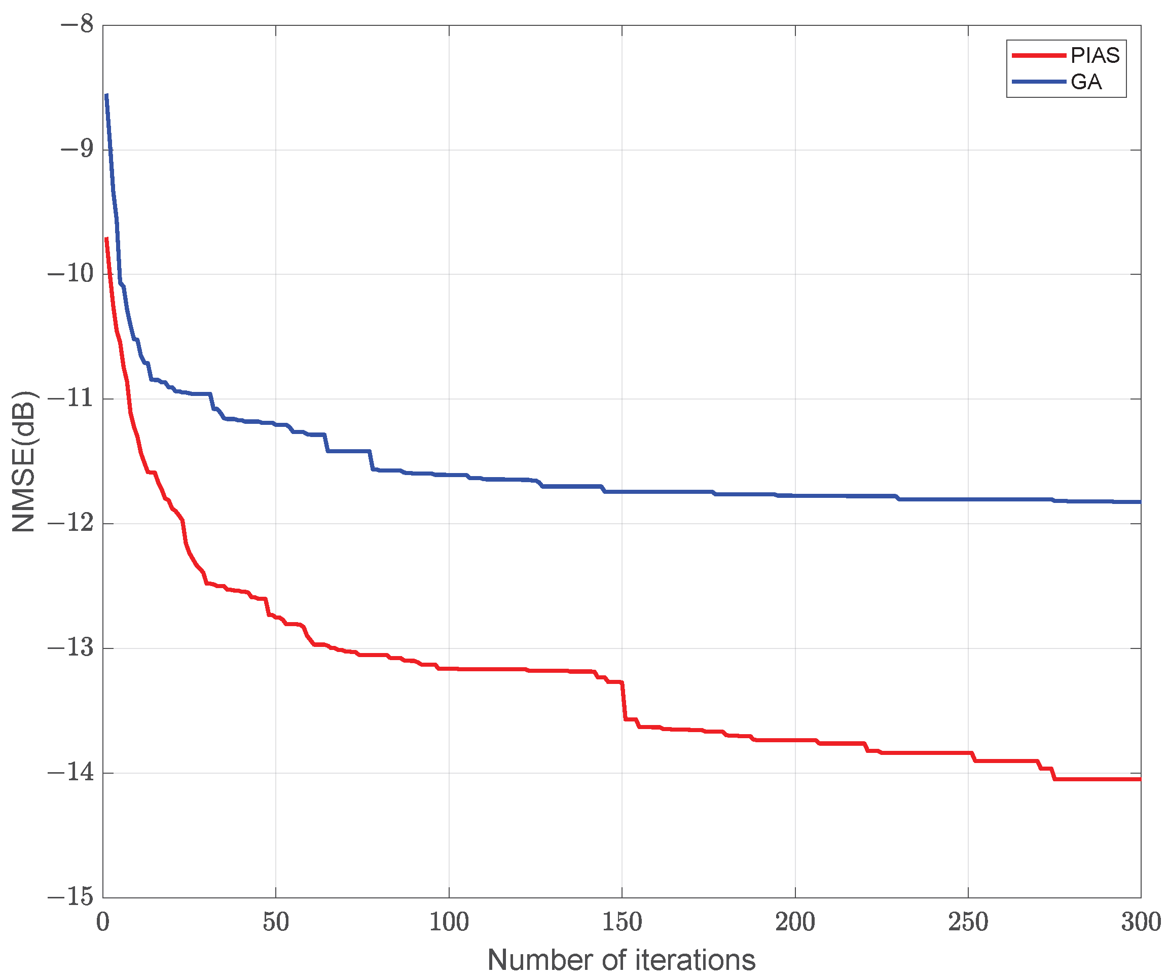
5. Numerical Results
6. Conclusions
Author Contributions
Funding
Institutional Review Board Statement
Informed Consent Statement
Data Availability Statement
Conflicts of Interest
References
- Tang, W.; Chen, M.Z.; Chen, X.; Dai, J.Y.; Han, Y.; Di Renzo, M.; Zeng, Y.; Jin, S.; Cheng, Q.; Cui, T.J. Wireless communications with reconfigurable intelligent surface: Path loss modeling and experimental measurement. IEEE Trans. Wirel. Commun. 2020, 20, 421–439. [Google Scholar] [CrossRef]
- Liu, R.; Li, M.; Luo, H.; Liu, Q.; Swindlehurst, A.L. Integrated sensing and communication with reconfigurable intelligent surfaces: Opportunities, applications, and future directions. IEEE Wirel. Commun. 2023, 30, 50–57. [Google Scholar] [CrossRef]
- Noh, S.; Lee, J.; Lee, G.; Seo, K.; Sung, Y.; Yu, H. Channel estimation techniques for RIS-assisted communication: Millimeter-wave and sub-THz systems. IEEE Veh. Technol. Mag. 2022, 17, 64–73. [Google Scholar] [CrossRef]
- Wei, X.; Shen, D.; Dai, L. Channel estimation for RIS assisted wireless communications—Part I: Fundamentals, solutions, and future opportunities. IEEE Commun. Lett. 2021, 25, 1398–1402. [Google Scholar] [CrossRef]
- Ni, W.; Zheng, A.; Wang, W.; Niyato, D.; Al-Dhahir, N.; Debbah, M. From single to multi-functional RIS: Architecture, key technologies, challenges, and applications. IEEE Netw. 2024, 39, 38–46. [Google Scholar] [CrossRef]
- Chen, Z.; Chen, G.; Tang, J.; Zhang, S.; So, D.K.; Dobre, O.A.; Wong, K.K.; Chambers, J. Reconfigurable-intelligent-surface-assisted B5G/6G wireless communications: Challenges, solution, and future opportunities. IEEE Commun. Mag. 2022, 61, 16–22. [Google Scholar] [CrossRef]
- Jin, W.; Zhang, J.; Wen, C.K.; Jin, S. Amplitude correlation and structured sparsity inspired compressed sensing for channel estimation in RIS-aided MU-MISO systems. IEEE Trans. Wirel. Commun. 2025. Early Access. [Google Scholar] [CrossRef]
- Khan, W.U.; Mahmood, A.; Jamshed, M.A.; Lagunas, E.; Ahmed, M.; Chatzinotas, S. Beyond diagonal RIS for 6G non-terrestrial networks: Potentials and challenges. IEEE Netw. 2024, 39, 80–89. [Google Scholar] [CrossRef]
- Rihan, M.; Zappone, A.; Buzzi, S.; Fodor, G.; Debbah, M. Passive versus active reconfigurable intelligent surfaces for integrated sensing and communication: Challenges and opportunities. IEEE Netw. 2023, 38, 218–226. [Google Scholar] [CrossRef]
- Wei, X.; Shen, D.; Dai, L. Channel estimation for RIS assisted wireless communications—Part II: An improved solution based on double-structured sparsity. IEEE Commun. Lett. 2021, 25, 1403–1407. [Google Scholar] [CrossRef]
- Jeong, S.; Farhang, A.; Perović, N.S.; Flanagan, M.F. Joint CFO and channel estimation for RIS-aided multi-user massive MIMO systems. IEEE Trans. Veh. Technol. 2023, 72, 11800–11813. [Google Scholar] [CrossRef]
- Peng, Q.; Wu, Q.; Chen, W.; Ma, S.; Zhao, M.; Dobre, O. Semi-Passive Intelligent Reflecting Surface Enabled Sensing Systems. arXiv. arXiv 2024, arXiv:2402.03042. [Google Scholar]
- Jin, Y.; Zhang, J.; Zhang, X.; Xiao, H.; Ai, B.; Ng, D.W.K. Channel estimation for semi-passive reconfigurable intelligent surfaces with enhanced deep residual networks. IEEE Trans. Veh. Technol. 2021, 70, 11083–11088. [Google Scholar] [CrossRef]
- Zheng, B.; Zhang, R. Intelligent reflecting surface-enhanced OFDM: Channel estimation and reflection optimization. IEEE Wirel. Commun. Lett. 2019, 9, 518–522. [Google Scholar] [CrossRef]
- Zheng, B.; You, C.; Zhang, R. Intelligent reflecting surface assisted multi-user OFDMA: Channel estimation and training design. IEEE Trans. Wirel. Commun. 2020, 19, 8315–8329. [Google Scholar] [CrossRef]
- Liu, S.; Gao, Z.; Zhang, J.; Di Renzo, M.; Alouini, M.S. Deep denoising neural network assisted compressive channel estimation for mmWave intelligent reflecting surfaces. IEEE Trans. Veh. Technol. 2020, 69, 9223–9228. [Google Scholar] [CrossRef]
- Yang, S.; Lyu, W.; Wang, D.; Zhang, Z. Separate channel estimation with hybrid RIS-aided multi-user communications. IEEE Trans. Veh. Technol. 2022, 72, 1318–1324. [Google Scholar] [CrossRef]
- Jian, M.; Zhao, Y. A modified off-grid SBL channel estimation and transmission strategy for RIS-assisted wireless communication systems. In Proceedings of the 2020 International Wireless Communications and Mobile Computing (IWCMC), Limassol, Cyprus, 15–19 June 2020; pp. 1848–1853. [Google Scholar]
- Taha, A.; Alrabeiah, M.; Alkhateeb, A. Enabling large intelligent surfaces with compressive sensing and deep learning. IEEE Access 2021, 9, 44304–44321. [Google Scholar] [CrossRef]
- Gao, Z.; Wan, Z.; Zheng, D.; Tan, S.; Masouros, C.; Ng, D.W.K.; Chen, S. Integrated sensing and communication with mmWave massive MIMO: A compressed sampling perspective. IEEE Trans. Wirel. Commun. 2022, 22, 1745–1762. [Google Scholar] [CrossRef]
- Li, X.; Shan, C.; Zhao, H.; Yuan, W.; Zhang, R. A Modified Structured SAMP Channel Estimation Method for FDD MIMO-OTFS Systems. IEEE Wirel. Commun. Lett. 2024, 13, 3005–3009. [Google Scholar] [CrossRef]
- Ge, L.; Zhang, Y.; Chen, G.; Tong, J. Compression-based LMMSE channel estimation with adaptive sparsity for massive MIMO in 5G systems. IEEE Syst. J. 2019, 13, 3847–3857. [Google Scholar] [CrossRef]
- Huang, S.; Zhu, J. Recovery of sparse signals using OMP and its variants: Convergence analysis based on RIP. Inverse Probl. 2011, 27, 035003. [Google Scholar] [CrossRef]
- Shi, X.; Wang, J.; Song, J. Triple-structured compressive sensing-based channel estimation for RIS-aided MU-MIMO systems. IEEE Trans. Wirel. Commun. 2022, 21, 11095–11109. [Google Scholar] [CrossRef]
- Gutiérrez, A.R.; Reyna, A.; Balderas, L.I.; Panduro, M.A.; Méndez, A.L. Nonuniform antenna array with nonsymmetric feeding network for 5G applications. IEEE Antennas Wirel. Propag. Lett. 2021, 21, 346–350. [Google Scholar] [CrossRef]
- Chen, J.; Liang, Y.C.; Cheng, H.V.; Yu, W. Channel Estimation for Reconfigurable Intelligent Surface Aided Multi-User mmWave MIMO Systems. IEEE Trans. Wirel. Commun. 2023, 22, 6853–6869. [Google Scholar] [CrossRef]
- Davenport, M.A.; Needell, D.; Wakin, M.B. Signal space CoSaMP for sparse recovery with redundant dictionaries. IEEE Trans. Inf. Theory 2013, 59, 6820–6829. [Google Scholar] [CrossRef]
- Hu, X.; Zhang, R.; Zhong, C. Semi-passive elements assisted channel estimation for intelligent reflecting surface-aided communications. IEEE Trans. Wirel. Commun. 2021, 21, 1132–1142. [Google Scholar] [CrossRef]
- Chen, X.; Shi, J.; Yang, Z.; Wu, L. Low-complexity channel estimation for intelligent reflecting surface-enhanced massive MIMO. IEEE Wirel. Commun. Lett. 2021, 10, 996–1000. [Google Scholar] [CrossRef]
- Binelo, M.O.; de Almeida, A.L.; Cavalcanti, F.R.P. MIMO array capacity optimization using a genetic algorithm. IEEE Trans. Veh. Technol. 2011, 60, 2471–2481. [Google Scholar] [CrossRef]
- Cho, H.; Jo, H.W.; Kim, J.W.; Kim, K.S.; Oh, J.I.; Yu, J.W. Shorted trapezoidal SIW antenna with quasi-hemispherical pattern for 2D wide scanning planar phased array antenna. IEEE Trans. Antennas Propag. 2022, 70, 7211–7216. [Google Scholar] [CrossRef]
- Wang, S.; Wang, W.; Zheng, Y. Dual-Functional Quasi-Uniform Beam-Scanning Antenna Array with Endfire Radiation Capability for Integrated Sensing and Communication Applications. IEEE Trans. Veh. Technol. 2025. Early Access. [Google Scholar] [CrossRef]






Disclaimer/Publisher’s Note: The statements, opinions and data contained in all publications are solely those of the individual author(s) and contributor(s) and not of MDPI and/or the editor(s). MDPI and/or the editor(s) disclaim responsibility for any injury to people or property resulting from any ideas, methods, instructions or products referred to in the content. |
© 2025 by the authors. Licensee MDPI, Basel, Switzerland. This article is an open access article distributed under the terms and conditions of the Creative Commons Attribution (CC BY) license (https://creativecommons.org/licenses/by/4.0/).
Share and Cite
Han, Z.; Wang, H.; Wang, Y.; Fan, Z. Adaptive Channel Estimation for Semi-Passive IRS with Optimized Sensor Deployment. Sensors 2025, 25, 6797. https://doi.org/10.3390/s25216797
Han Z, Wang H, Wang Y, Fan Z. Adaptive Channel Estimation for Semi-Passive IRS with Optimized Sensor Deployment. Sensors. 2025; 25(21):6797. https://doi.org/10.3390/s25216797
Chicago/Turabian StyleHan, Zhiyu, Hanning Wang, Yafeng Wang, and Zhuo Fan. 2025. "Adaptive Channel Estimation for Semi-Passive IRS with Optimized Sensor Deployment" Sensors 25, no. 21: 6797. https://doi.org/10.3390/s25216797
APA StyleHan, Z., Wang, H., Wang, Y., & Fan, Z. (2025). Adaptive Channel Estimation for Semi-Passive IRS with Optimized Sensor Deployment. Sensors, 25(21), 6797. https://doi.org/10.3390/s25216797

