A Dynamic QoS Mapping Algorithm for 5G-TSN Converged Networks Based on Weighted Fuzzy C-Means and Three-Way Decision Theory
Abstract
1. Introduction
- This paper employs WFCM clustering to capture variations in different QoS attributes across traffic flows effectively. During the iterative clustering process, attribute weights are dynamically adjusted based on their contribution to intra-cluster differentiation. Attributes with greater impact are assigned higher weights in the distance calculation. This adaptive weighting mechanism enhances clustering performance and reduces the computational complexity of the subsequent QoS mapping stage.
- A three-way decision-based evaluation mechanism is introduced to partition the 5QI set into core and boundary domains for each flow cluster. This method takes into account the relative membership degrees of 5QIs to each cluster and calculates threshold pairs along with associated evaluation metrics. By avoiding reliance on manually set absolute thresholds, the partitioning process becomes more adaptive and robust. This stage effectively prepares the foundation for balanced and flexible mapping while ensuring QoS consistency.
- Based on the results of WFCM clustering and three-way partitioning, WFCM-TDwQM performs QoS mapping from TSN flows to 5QI parameter groups using a dynamic weighting strategy. The mapping weight considers both the residual capacity of each 5QI and its QoS similarity to the target flow. This approach achieves a better balance between load distribution and QoS alignment, particularly under varying network load conditions.
2. 5G–TSN Converged Network
2.1. 5G–TSN Network Model
2.2. QoS Model
3. Algorithm Design
3.1. WFCM-Based Traffic Clustering
3.1.1. Computation of Composite QoS Weights in TSN Networks
CRITIC–Entropy-Based Weight Calculation
Fisher Criterion-Based Weight Calculation
Composite Weight Calculation
3.1.2. Attribute-Weighted Fuzzy C-Means Clustering for Traffic Flows
3.2. Dynamic Weighted QoS Mapping Based on Three-Way Decisions
3.2.1. Three-Way Decision-Based 5QI Region Partitioning
3.2.2. Dynamic Weighted QoS Mapping in 5G-TSN Networks
3.3. Time Complexity Analysis
4. Simulation and Discussion of Results
4.1. Experimental Setup
4.2. Determination of Cluster Number and Weighting Parameter
4.2.1. Cluster Count C
4.2.2. Proportion Parameter r
4.3. Comparison of Multiple Algorithms Under Varying Loads in Single Network Scenario
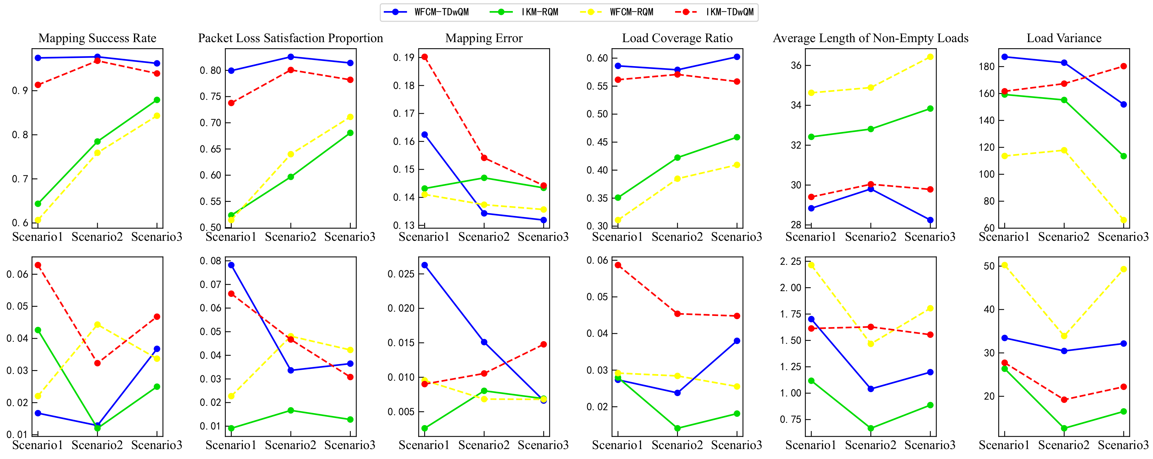
4.4. Multi-Scenario Comparison of Multiple Algorithms Under Varying Load Levels
5. Conclusions
Author Contributions
Funding
Institutional Review Board Statement
Informed Consent Statement
Data Availability Statement
Conflicts of Interest
References
- Underberg, L.; Kays, R.; Dietrich, S.; Fohler, G. Towards hybrid wired-wireless networks in industrial applications. In Proceedings of the 2018 IEEE Industrial Cyber-Physical Systems (ICPS), St. Petersburg, Russia, 15–18 May 2018; pp. 768–773. [Google Scholar]
- John, J.; Noor-A-Rahim, M.; Zanbouri, K.; Sreenan, C.J.; Pesch, D.; Poor, H.V. Industry 4.0 and Beyond: The Role of 5G, WiFi 7, and Time-Sensitive Networking (TSN) in Enabling Smart Manufacturing. Future Internet 2024, 16, 345. [Google Scholar] [CrossRef]
- Seol, Y.; Hyeon, D.; Min, J.; Kim, M.; Paek, J. Timely Survey of Time-Sensitive Networking: Past and Future Directions. IEEE Access 2021, 9, 142506–142527. [Google Scholar] [CrossRef]
- Zhang, T.; Li, X.; Xiong, D.; Xie, G.; Lin, K.; Liu, H.; Reisslein, M. Time-Sensitive Networking (TSN) for Industrial Automation: Current Advances and Future Directions. ACM Comput. Surv. 2024, 57, 1–38. [Google Scholar] [CrossRef]
- Chen, H.Y.; Lee, C.H. Analysis of the number of hops in wired-wireless heterogeneous networks. In Proceedings of the 2012 IEEE Wireless Communications and Networking Conference (WCNC), Paris, France, 1–4 April 2012; pp. 1806–1810. [Google Scholar]
- Mourtzis, D.; Angelopoulos, J.; Panopoulos, N. Smart manufacturing and tactile Internet based on 5G in the context of Industry 4.0: Analysis and recommendations. Electronics 2021, 10, 3175. [Google Scholar] [CrossRef]
- Gundall, M.; Huber, C.; Rost, P.; Mannweiler, C.; Gartzien, K.; Müller, J.; Pichler, M.; Ruediger, A.; Meissner, G.; Fisseni, B.; et al. Integration of 5G with TSN as prerequisite for a highly flexible future industrial automation: Time synchronization based on IEEE 802.1AS. In Proceedings of the IECON 2020 The 46th Annual Conference of the IEEE Industrial Electronics Society, Singapore, 18–21 October 2020; pp. 3823–3830. [Google Scholar]
- Hu, B.; Gharavi, H. A Hybrid Wired/Wireless Deterministic Network for Smart Grid. IEEE Wirel. Commun. 2021, 28, 138–143. [Google Scholar] [CrossRef]
- Zhang, Y.; Xu, Q.; Guan, X.P.; Chen, C. Wireless/wired integrated transmission for industrial cyber-physical systems: Risk-sensitive co-design of 5G and TSN protocols. Sci. China Inf. Sci. 2022, 65, 110204. [Google Scholar] [CrossRef]
- Xu, Y.; Gui, G.; Gacanin, H.; Ohtsuki, T.; Adachi, F. A Survey on Resource Allocation for 5G Heterogeneous Networks: Current Status, Challenges, and Solutions. IEEE Commun. Surv. Tutor. 2021, 23, 668–695. [Google Scholar] [CrossRef]
- Wang, Z.; Li, Z.; Long, C.; Zheng, Y.; Ai, B.; Song, X. Time Synchronization for 5G and TSN Integrated Networking. IEEE J. Sel. Areas Commun. 2025, 43, 2969–2980. [Google Scholar] [CrossRef]
- Al-Shaikhli, A.; Esmailpour, A.; Nasser, N. Quality of Service Interworking over Heterogeneous Networks in 5G. In Proceedings of the 2016 IEEE International Conference on Communications (ICC), Kuala Lumpur, Malaysia, 22–27 May 2016; pp. 1–6. [Google Scholar]
- Farid, F.; Shahrestani, S.; Ruan, C. QoS Evaluation of Heterogeneous Networks: Application-Based Approach. Int. J. Comput. Netw. Commun. 2016, 8, 47–59. [Google Scholar] [CrossRef]
- Ambrosy, N.; Markwart, C.; Halfmann, R.; Underberg, L. 5G QoS model for Time-Sensitive Networking. at-Automatisierungstechnik 2024, 72, 308–319. [Google Scholar] [CrossRef]
- Loh, F.; Raithel, F.; Raffeck, S.; Seufert, A.; Fröhler, R.; Heller, C.; Hoßfeld, T. QoS and QoE Study of the European 5G Mobile Networks for Next Generation of Applications. IEEE Commun. Mag. 2025, 63, 78–84. [Google Scholar] [CrossRef]
- Slamnik-Kriještorac, N.; Kremo, H.; Ruffini, M. Sharing Distributed and Heterogeneous Resources Toward End-to-End 5G Networks: A Comprehensive Survey and a Taxonomy. IEEE Commun. Surv. Tutor. 2020, 22, 1592–1628. [Google Scholar] [CrossRef]
- Farid, F.; Shahrestani, S.; Ruan, C. A Dynamic Model for Quality of Service Evaluation of Heterogeneous Networks. Int. J. Wirel. Netw. Broadband Technol. 2020, 9, 17–42. [Google Scholar] [CrossRef]
- Gures, E.; Shayea, I.; Alhammadi, A.; Ergen, M.; Mohamad, H. A Comprehensive Survey on Mobility Management in 5G Heterogeneous Networks: Architectures, Challenges and Solutions. IEEE Access 2020, 8, 195883–195913. [Google Scholar] [CrossRef]
- Larrañaga, A.; Lucas-Estañ, M.C.; Garcia-Saavedra, A.; Gijón, C.; Golfarelli, M.; Feist, V.; Rossi, M.; Testi, C.; Papadopoulos, P.; Sathiaseelan, A.; et al. Analysis of 5G-TSN Integration to Support Industry 4.0. In Proceedings of the 2020 25th IEEE International Conference on Emerging Technologies and Factory Automation (ETFA), Vienna, Austria, 8–11 September 2020; pp. 1111–1114. [Google Scholar]
- Ba, X. QoS-Forecasting-Based Intelligent Flow-Control Scheme for Multi-Connectivity in 5G Heterogeneous Networks. IEEE Access 2021, 9, 104304–104315. [Google Scholar] [CrossRef]
- Dao, N.N.; Tu, N.H.; Hoang, T.D.; Nguyen, T.H.; Le, L.B. A review on new technologies in 3GPP standards for 5G access and beyond. Comput. Netw. 2024, 245, 110370. [Google Scholar] [CrossRef]
- Wang, X.; Li, Z.; Sun, M.; Liu, Y.; Zhao, Y.; Tian, H. Reinforcement Learning-Based Particle Swarm Optimization for End-to-End Traffic Scheduling in TSN-5G Networks. IEEE/ACM Trans. Netw. 2023, 31, 3254–3268. [Google Scholar] [CrossRef]
- Zhang, Y.; Li, M.; Xu, Q.; Chen, C.; Guan, X. Seamless Scheduling for NFV-Enabled 5G-TSN Network Based on Full-Path AoI. IEEE Trans. Ind. Inform. 2024, 20, 13513–13525. [Google Scholar] [CrossRef]
- Krummacker, F.C.; Fink, P.; Leuthold, G.; Wisniewski, L.; Jasperneite, J. Analysis of 5G Channel Access for Collaboration with TSN Concluding at a 5G Scheduling Mechanism. Network 2022, 2, 440–455. [Google Scholar] [CrossRef]
- Satka, Z.; Pantzar, M.; Magnusson, C. Developing a Translation Technique from 5G QoS Flow to TSN QoS Parameters. In Proceedings of the 2022 18th IEEE International Conference on Factory Communication Systems (WFCS), Pavia, Italy, 27–29 April 2022; pp. 1–4. [Google Scholar]
- Cheng, S.T.; Chen, Y.; Liang, Z.H.; Zhang, H.T.; Huang, Y. On self-adaptive 5G network slice QoS management via intelligent filtering and deep reinforcement learning. Wirel. Netw. 2023, 29, 3429–3451. [Google Scholar] [CrossRef]
- Satka, Z.; Ashjaei, M.; Fotouhi, H.; Daneshtalab, M.; Sjödin, M.; Mubeen, S. QoS-MAN: A novel QoS mapping algorithm for TSN-5G flows. In Proceedings of the 2022 IEEE 28th International Conference on Embedded and Real-Time Computing Systems and Applications (RTCSA), Taipei, Taiwan, 23–25 August 2022; pp. 220–227. [Google Scholar]
- Adamuz-Hinojosa, O.; Delgado-Ferro, F.; Navarro-Ortiz, J.; Muñoz, P.; Ameigeiras, P. Unleashing 5G Seamless Integration with TSN for Industry 5.0: Frame Forwarding and QoS Treatment. IEEE Open J. Commun. Soc. 2025, 6, 4874–4884. [Google Scholar] [CrossRef]
- Luque-Schempp, F.; Panizo, L.; Gallardo, M.d.M.; Merino, P. AutomAdapt: Zero Touch Configuration of 5G QoS Flows Extended for Time-Sensitive Networking. IEEE Access 2023, 11, 82960–82977. [Google Scholar] [CrossRef]
- Kumar, D.; Dilip, G.; Krishna, A. Enhanced Rough K-Means Based Flow Aggregation for QoS Mapping in Heterogeneous Network Environments. IEEE Trans. Netw. Serv. Manag. 2020, 17, 1565–1579. [Google Scholar]
- Cai, Y.; Zhang, X.; Wang, X.; Chen, X. Dynamic QoS Mapping and Adaptive Semi-Persistent Scheduling in 5G-TSN Integrated Networks. China Commun. 2023, 20, 340–355. [Google Scholar] [CrossRef]
- Mannweiler, C.; Gajic, B.; Rost, P.; Ganesan, R.S.; Markwart, C.; Halfmann, R.; Gebert, J.; Wich, A. Reliable and Deterministic Mobile Communications for Industry 4.0: Key Challenges and Solutions for the Integration of the 3GPP 5G System with IEEE Time-Sensitive Networking. In Proceedings of the Mobile Communication - Technologies and Applications, 24. ITG-Symposium, Osnabrueck, Germany, 15–16 May 2019; pp. 1–6. [Google Scholar]
- 5G ACIA. Integration of 5G with time-sensitive networking for industrial communications. In White Paper; 5G ACIA: Frankfurt, Germany, 2021. [Google Scholar]
- Gao, W.; Liang, Z.; Tang, Z.; Li, X.; Zhang, X. Integrating 5G-U with Time-Sensitive Networking for Industrial Internet: Architectures and Technologies. J. Commun. 2021, 42, 43–54. [Google Scholar]
- Atiq, M.K.; Muzaffar, R.; Seijo, Ó.; Val, I.; Bernhard, H.-P. When IEEE 802.11 and 5G meet time-sensitive networking. IEEE Open J. Ind. Electron. Soc. 2021, 3, 14–36. [Google Scholar] [CrossRef]
- Zhang, H.; Huang, C.; Zhou, J.; Chen, L. QoS-Aware Virtualization Resource Management Mechanism in 5G Backhaul Heterogeneous Networks. IEEE Access 2020, 8, 19479–19489. [Google Scholar] [CrossRef]
- Zhang, Y.; Xu, Q.; Li, M.; Chen, C.; Guan, X. QoS-Aware Mapping and Scheduling for Virtual Network Functions in Industrial 5G-TSN Network. In Proceedings of the 2021 IEEE Global Communications Conference (GLOBECOM), Madrid, Spain, 7–11 December 2021; pp. 1–6. [Google Scholar]
- Sasiain, J.; Franco, D.; Atutxa, A.; Astorga, J.; Jacob, E. Toward the Integration and Convergence Between 5G and TSN Technologies and Architectures for Industrial Communications: A Survey. IEEE Commun. Surv. Tutor. 2025, 27, 259–321. [Google Scholar] [CrossRef]
- Popovski, P.; Trillingsgaard, K.F.; Simeone, O.; Durisi, G. 5G Wireless Network Slicing for eMBB, URLLC, and mMTC: A Communication-Theoretic View. IEEE Access 2018, 6, 55765–55779. [Google Scholar] [CrossRef]
- Pedersen, K.I.; Maldonado, R.; Pocovi, G.; Juan, E.; Lauridsen, M.; Kovacs, I.Z.; Brix, M.; Wigard, J. A tutorial on radio system-level simulations with emphasis on 3GPP 5G-Advanced and beyond. IEEE Commun. Surv. Tutor. 2024, 26, 2290–2325. [Google Scholar] [CrossRef]
- Zanbouri, A.; Noor-A-Rahim, M.; Pesch, D. Scalability Analysis of 5G-TSN Applications in Indoor Factory Settings. In Proceedings of the 2025 IEEE Wireless Communications and Networking Conference (WCNC), Milan, Italy, 24–27 March 2025; pp. 1–6. [Google Scholar]
- Kang, Y.; Yi, Y.; Park, J.; Choi, S.; Lee, H. Time-Sensitive Networking Technologies for Industrial Wireless Communication Systems. Energies 2021, 14, 4497. [Google Scholar] [CrossRef]
- Debnath, R.; Comsa, S.; Michish, D.; Schott, L.; Schmidt, T.C.; Wählisch, M. 5GTQ: QoS-Aware 5G-TSN Simulation Framework. In Proceedings of the 2023 IEEE 98th Vehicular Technology Conference (VTC2023-Fall), Hong Kong, Hong Kong, 10–13 October 2023; pp. 1–7. [Google Scholar]
- Nasrallah, A.; Thyagaturu, A.S.; Alharbi, Z.; Wang, C.; Shao, X.; Reisslein, M.; ElBakoury, H. Ultra-Low Latency (ULL) Networks: The IEEE TSN and IETF DetNet Standards and Related 5G ULL Research. IEEE Commun. Surv. Tutor. 2019, 21, 88–145. [Google Scholar] [CrossRef]
- Wu, Z.; Hou, Y.; Mu, G.; Zhu, Y.; Xiong, W. Hybrid Traffic Scheduling in 5G and TSN Networks for Virtual Power Plants: A Philosophy Based on Synthetic and Real Data. Appl. Sci. 2023, 13, 7953. [Google Scholar] [CrossRef]
- Ambrosy, N.; Underberg, L.; Jasperneite, J.; Jumar, U. Traffic priority mapping for a joint 5G-TSN QoS model. In Proceedings of the 2022 Kommunikation in der Automation: Beitrage des Jahreskolloquiums (KommA 2022), Lemgo, Germany, 3 November 2022; pp. 28–38. [Google Scholar]
- Lu, H.; Zhang, X.; Xue, L.; Pan, L.; Wang, N.; Qiu, Z. Selection of Agricultural Machinery Maintenance Strategy Based on CRITIC-Entropy Weight and GRA-TOPSIS. Processes 2022, 10, 266. [Google Scholar] [CrossRef]
- Zhang, D.; Li, W.; Zhao, J. A Weighted Fuzzy C-Means Clustering Algorithm and Its Application in Image Segmentation. Comput. Appl. Softw. 2016, 33, 273–277. [Google Scholar]
- Huang, S.; Guo, Y.; Yang, N.; Zhou, J.; Xu, K. A weighted fuzzy C-means clustering method with density peak for anomaly detection in IoT-enabled manufacturing process. J. Intell. Manuf. 2021, 32, 1845–1861. [Google Scholar] [CrossRef]
- Zhu, J.; Wang, G.; Li, H.; Li, D.; Jiao, L. A Probabilistic Linguistic Three-Way Decision via Fuzzy C-Means Clustering. IEEE Trans. Fuzzy Syst. 2023, 31, 2821–2835. [Google Scholar] [CrossRef]
- Zhang, K.; Tian, D.; Pei, T.; Wang, J.; Fan, J. A Three-Way C-Means Algorithm. Appl. Soft Comput. 2019, 85, 105536. [Google Scholar] [CrossRef]
- Maji, P.K.; Pal, S.K. A Hybrid Clustering Algorithm Using Rough and Fuzzy Sets. Fuzzy Sets Syst. 2008, 159, 2923–2937. [Google Scholar] [CrossRef]
- Larrañaga-Zumeta, A.; Lucas-Estañ, M.C.; Gozálvez, J.; Arriola, A. 5G configured grant scheduling for seamless integration with TSN industrial networks. Comput. Commun. 2024, 226–227, 107930. [Google Scholar] [CrossRef]
- Rodini, F. QoS/QoE Developments in 4G-IoT & 5G Technologies. In Presentation from Qualcomm, ITU Workshop on Telecommunications Service Quality; International Telecommunication Union: Geneva, Switzerland, 2017. [Google Scholar]

















| TSN Traffic Types | PCP of TSN Traffic | 5QI Resource Type | 
|---|---|---|
| Class A (high priority) | 7, 6, 5, 4, 3 | DC-GBR | 
| Class B (medium priority) | 2, 1 | GBR | 
| Class C (low priority) | 0 | NON-GBR | 
| TSN Traffic Proportion (%) | TSN Traffic Type Distribution (%) | |
|---|---|---|
| Scenario 1 | 3:7:7:6:3:5:9:9:51 | 26:23:51 | 
| Scenario 2 | 2:6:6:5:2:8:15:15:41 | 21:38:41 | 
| Scenario 3 | 2:6:6:5:2:10:19:19:31 | 21:48:31 | 
| Parameter | Value | 
|---|---|
| Maximum Number of PDU Sessions | 10 | 
| Load Upper Bound per 5QI | 4× Number of PDU Sessions | 
| Clustering Convergence Threshold | 0.01 | 
| Minimum Distance Threshold | 0.05 | 
| Relative Distance Threshold | 1.5 | 
| Disclaimer/Publisher’s Note: The statements, opinions and data contained in all publications are solely those of the individual author(s) and contributor(s) and not of MDPI and/or the editor(s). MDPI and/or the editor(s) disclaim responsibility for any injury to people or property resulting from any ideas, methods, instructions or products referred to in the content. | 
© 2025 by the authors. Licensee MDPI, Basel, Switzerland. This article is an open access article distributed under the terms and conditions of the Creative Commons Attribution (CC BY) license (https://creativecommons.org/licenses/by/4.0/).
Share and Cite
Wu, Y.; Xu, F.; Ning, L.; Liu, X.; Chen, H.; Lu, X.; Zhao, C. A Dynamic QoS Mapping Algorithm for 5G-TSN Converged Networks Based on Weighted Fuzzy C-Means and Three-Way Decision Theory. Sensors 2025, 25, 6648. https://doi.org/10.3390/s25216648
Wu Y, Xu F, Ning L, Liu X, Chen H, Lu X, Zhao C. A Dynamic QoS Mapping Algorithm for 5G-TSN Converged Networks Based on Weighted Fuzzy C-Means and Three-Way Decision Theory. Sensors. 2025; 25(21):6648. https://doi.org/10.3390/s25216648
Chicago/Turabian StyleWu, Yuhang, Fangmin Xu, Lina Ning, Xiaokai Liu, Hongyuan Chen, Xingbo Lu, and Chenglin Zhao. 2025. "A Dynamic QoS Mapping Algorithm for 5G-TSN Converged Networks Based on Weighted Fuzzy C-Means and Three-Way Decision Theory" Sensors 25, no. 21: 6648. https://doi.org/10.3390/s25216648
APA StyleWu, Y., Xu, F., Ning, L., Liu, X., Chen, H., Lu, X., & Zhao, C. (2025). A Dynamic QoS Mapping Algorithm for 5G-TSN Converged Networks Based on Weighted Fuzzy C-Means and Three-Way Decision Theory. Sensors, 25(21), 6648. https://doi.org/10.3390/s25216648
 
         
                                                



 
       