Validity of a Convolutional Neural Network-Based, Markerless Pose Estimation System Compared to a Marker-Based 3D Motion Analysis System for Gait Assessment—A Pilot Study
Abstract
1. Introduction
2. Materials and Methods
2.1. Study Participants
2.2. Study Devices
2.3. Study Setup
2.4. Markerless Motion Capturing
2.5. Reference Standard: Marker-Based Motion Capturing
2.6. Data Processing
2.7. Analyzed Gait Parameters
2.8. Statistical and Graphical Analysis
3. Results
3.1. Gait Event Detection—Initial Contact and Toe-Off
3.2. Sagittal Analysis
3.2.1. Statistical Analysis of Sagittal Plane Gait Parameters
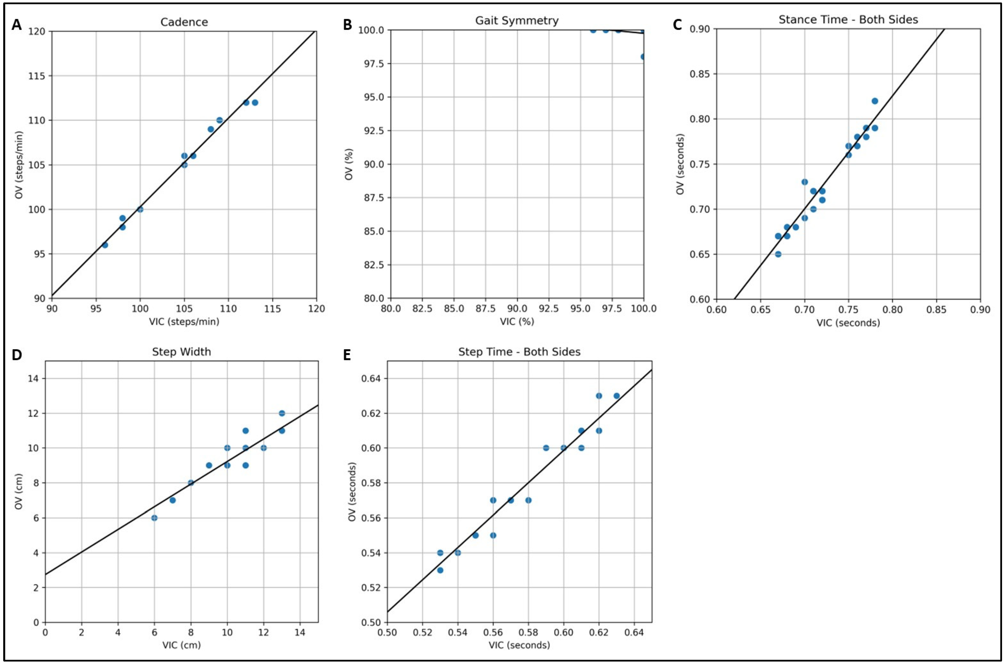
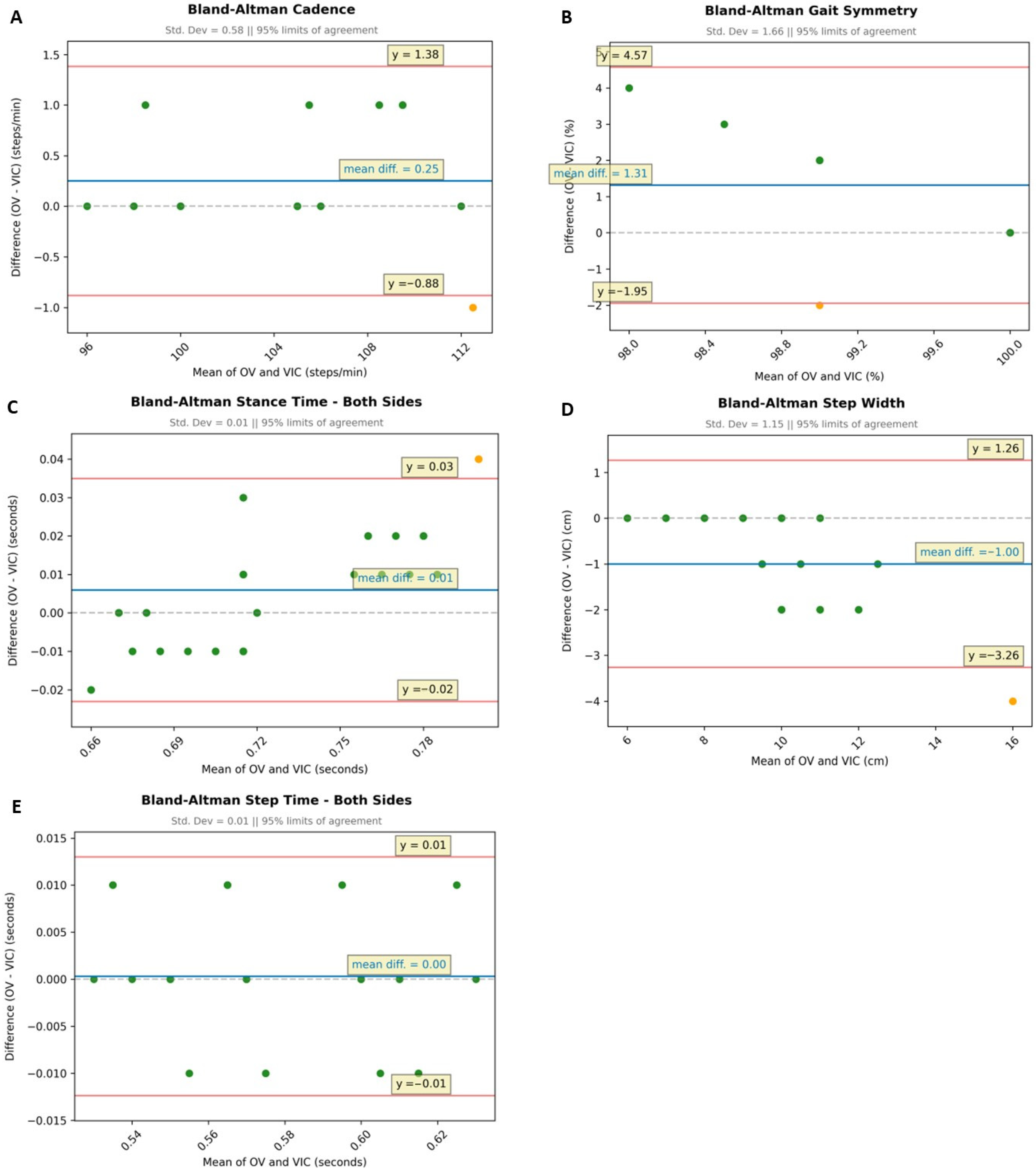
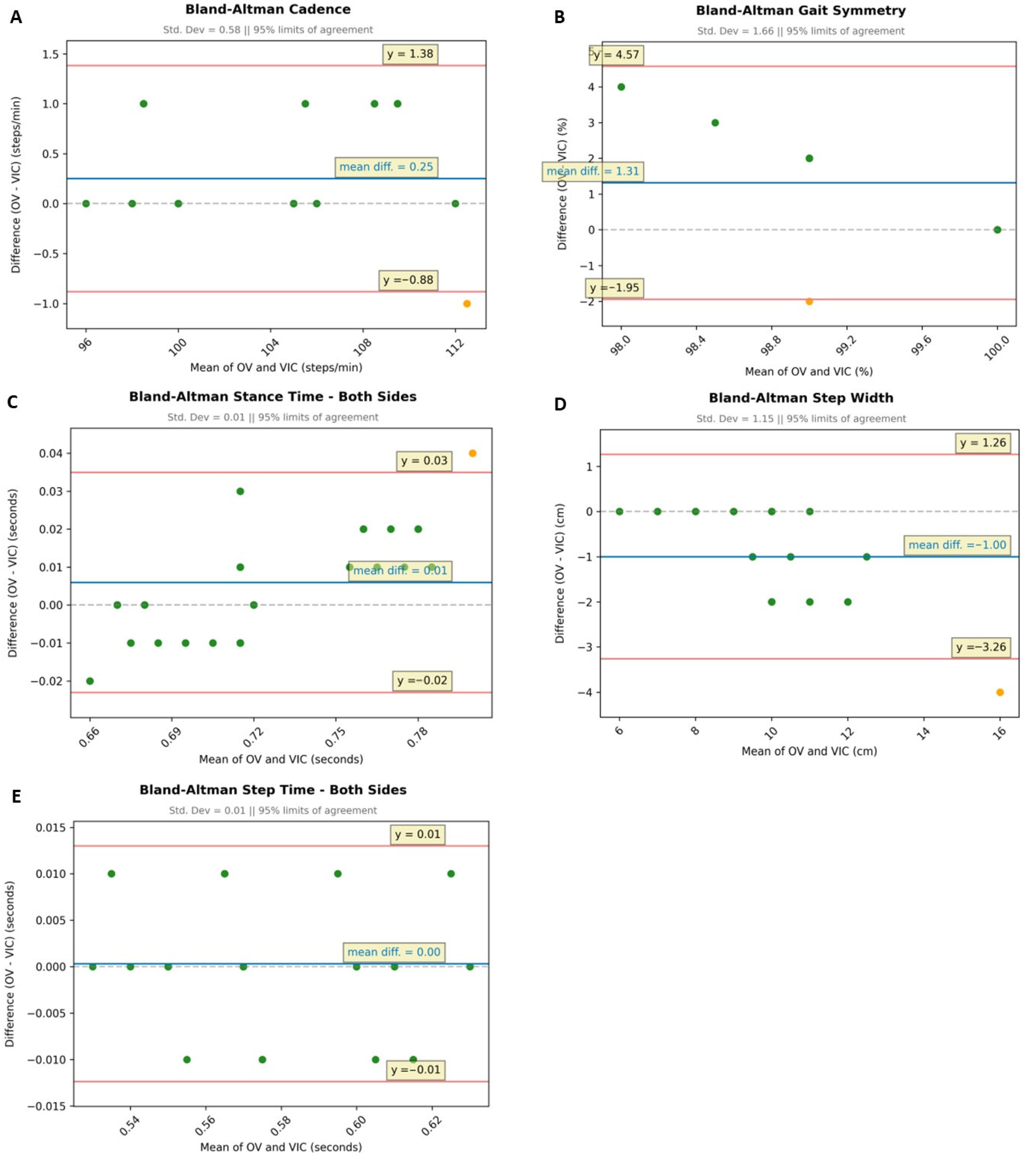
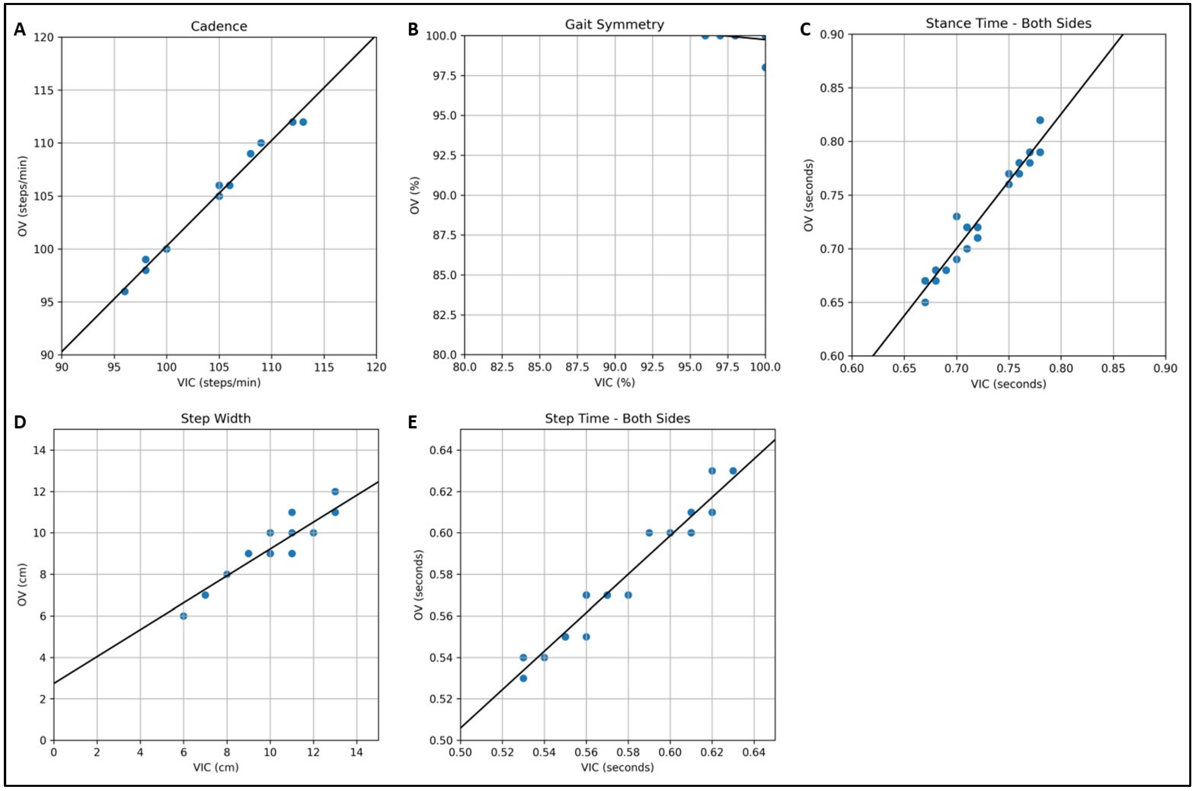
3.2.2. Graphical Analysis of Sagittal Plane Gait Parameters
3.3. Frontal Analysis
3.3.1. Statistical Analysis of Frontal Plane Gait Parameters
3.3.2. Graphical Analysis of Frontal Plane Gait Parameters
4. Discussion
5. Conclusions
Author Contributions
Funding
Institutional Review Board Statement
Informed Consent Statement
Data Availability Statement
Conflicts of Interest
Abbreviations
| AI | Artificial intelligence |
| CCC | Concordance Correlation Coefficient |
| CNN | Convolutional Neural Network |
| CV | Coefficient of Variation |
| ICC | Interclass-Correlation-Coefficient |
| LoA | Limit of agreement |
| ML | Machine learning |
| OV | Orthelligent® Vision (markerless system) |
| SD | Standard deviation |
| VIC | Vicon (marker-based system) |
References
- Armand, S.; Sawacha, Z.; Goudriaan, M.; Horsak, B.; van der Krogt, M.; Huenaerts, C.; Daly, C.; Kranzl, A.; Boehm, H.; Petrarca, M.; et al. Current Practices in Clinical Gait Analysis in Europe: A Comprehensive Survey-Based Study from the European Society for Movement Analysis in Adults and Children (ESMAC) Standard Initiative. Gait Posture 2024, 111, 65–74. [Google Scholar] [CrossRef] [PubMed]
- Hulleck, A.A.; Mohan, D.M.; Abdallah, N.; Rich, M.E.; Khalaf, K. Present and Future of Gait Assessment in Clinical Practice: Towards the Application of Novel Trends and Technologies. Front. Méd. Technol. 2022, 4, 901331. [Google Scholar] [CrossRef]
- Klöpfer-Krämer, I.; Brand, A.; Wackerle, H.; Müßig, J.; Kröger, I.; Augat, P. Gait Analysis—Available Platforms for Outcome Assessment. Injury 2020, 51, S90–S96. [Google Scholar] [CrossRef]
- Baker, R. Gait Analysis Methods in Rehabilitation. J. Neuroeng. Rehabil. 2006, 3, 4. [Google Scholar] [CrossRef]
- Vij, N.; Leber, C.; Schmidt, K. Current Applications of Gait Analysis after Total Knee Arthroplasty: A Scoping Review. J. Clin. Orthop. Trauma 2022, 33, 102014. [Google Scholar] [CrossRef] [PubMed]
- Warmerdam, E.; Orth, M.; Pohlemann, T.; Ganse, B. Gait Analysis to Monitor Fracture Healing of the Lower Leg. Bioengineering 2023, 10, 255. [Google Scholar] [CrossRef] [PubMed]
- Habersack, A.; Kraus, T.; Kruse, A.; Regvar, K.; Maier, M.; Svehlik, M. Gait Pathology in Subjects with Patellofemoral Instability: A Systematic Review. Int. J. Environ. Res. Public Health 2022, 19, 10491. [Google Scholar] [CrossRef]
- Moro, M.; Marchesi, G.; Hesse, F.; Odone, F.; Casadio, M. Markerless vs. Marker-Based Gait Analysis: A Proof of Concept Study. Sensors 2022, 22, 2011. [Google Scholar] [CrossRef]
- Menychtas, D.; Petrou, N.; Kansizoglou, I.; Giannakou, E.; Grekidis, A.; Gasteratos, A.; Gourgoulis, V.; Douda, E.; Smilios, I.; Michalopoulou, M.; et al. Gait Analysis Comparison between Manual Marking, 2D Pose Estimation Algorithms, and 3D Marker-Based System. Front. Rehabil. Sci. 2023, 4, 1238134. [Google Scholar] [CrossRef]
- Roggio, F.; Trovato, B.; Sortino, M.; Musumeci, G. A Comprehensive Analysis of the Machine Learning Pose Estimation Models Used in Human Movement and Posture Analyses: A Narrative Review. Heliyon 2024, 10, e39977. [Google Scholar] [CrossRef]
- Hii, C.S.T.; Beng, G.K.; Zainal, N.; Norlinah, M.I.; Azmin, S.; Desa, S.; van de Warrenburg, B.; Woon, Y.H. Automated Gait Analysis Based on a Marker-Free Pose Estimation Model. Sensors 2023, 23, 6489. [Google Scholar] [CrossRef]
- Wade, L.; Needham, L.; McGuigan, P.; Bilzon, J. Applications and Limitations of Current Markerless Motion Capture Methods for Clinical Gait Biomechanics. PeerJ 2022, 10, e12995. [Google Scholar] [CrossRef]
- Cheng, X.; Jiao, Y.; Meiring, R.M.; Sheng, B.; Zhang, Y. Reliability and Validity of Current Computer Vision Based Motion Capture Systems in Gait Analysis: A Systematic Review. Gait Posture 2025, 120, 150–160. [Google Scholar] [CrossRef] [PubMed]
- Stenum, J.; Cherry-Allen, K.M.; Pyles, C.O.; Reetzke, R.D.; Vignos, M.F.; Roemmich, R.T. Applications of Pose Estimation in Human Health and Performance across the Lifespan. Sensors 2021, 21, 7315. [Google Scholar] [CrossRef]
- Vun, D.S.Y.; Bowers, R.; McGarry, A. Vision-Based Motion Capture for the Gait Analysis of Neurodegenerative Diseases: A Review. Gait Posture 2024, 112, 95–107. [Google Scholar] [CrossRef]
- Leboeuf, F.; Baker, R.; Barré, A.; Reay, J.; Jones, R.; Sangeux, M. The Conventional Gait Model, an Open-Source Implementation That Reproduces the Past but Prepares for the Future. Gait Posture 2019, 69, 126–129. [Google Scholar] [CrossRef] [PubMed]
- Armand, S.; Sangeux, M.; Baker, R. Optimal Markers’ Placement on the Thorax for Clinical Gait Analysis. Gait Posture 2014, 39, 147–153. [Google Scholar] [CrossRef] [PubMed]
- O’Connor, C.M.; Thorpe, S.K.; O’Malley, M.J.; Vaughan, C.L. Automatic Detection of Gait Events Using Kinematic Data. Gait Posture 2007, 25, 469–474. [Google Scholar] [CrossRef]
- Lindemann, U. Spatiotemporal Gait Analysis of Older Persons in Clinical Practice and Research. Z. Gerontol. Geriatr. 2020, 53, 171–178. [Google Scholar] [CrossRef]
- Beauchet, O.; Allali, G.; Sekhon, H.; Verghese, J.; Guilain, S.; Steinmetz, J.-P.; Kressig, R.W.; Barden, J.M.; Szturm, T.; Launay, C.P.; et al. Guidelines for Assessment of Gait and Reference Values for Spatiotemporal Gait Parameters in Older Adults: The Biomathics and Canadian Gait Consortiums Initiative. Front. Hum. Neurosci. 2017, 11, 353. [Google Scholar] [CrossRef]
- Russo, M.; Amboni, M.; Pisani, N.; Volzone, A.; Calderone, D.; Barone, P.; Amato, F.; Ricciardi, C.; Romano, M. Biomechanics Parameters of Gait Analysis to Characterize Parkinson’s Disease: A Scoping Review. Sensors 2025, 25, 338. [Google Scholar] [CrossRef] [PubMed]
- Chang, M.C.; Lee, B.J.; Joo, N.-Y.; Park, D. The Parameters of Gait Analysis Related to Ambulatory and Balance Functions in Hemiplegic Stroke Patients: A Gait Analysis Study. BMC Neurol. 2021, 21, 38. [Google Scholar] [CrossRef] [PubMed]
- Koch, R.; Spörl, E. Statistische Verfahren Zum Vergleich Zweier Messmethoden Und Zur Kalibrierung: Konkordanz-, Korrelations- Und Regressionsanalyse Am Beispiel Der Augeninnendruckmessung. Klin. Monatsblätter Augenheilkd. 2007, 224, 52–57. [Google Scholar] [CrossRef]
- Grouven, U.; Bender, R.; Ziegler, A.; Lange, S. Vergleich von Messmethoden. Dtsch. Med. Wochenschr. 2007, 132, e69–e73. [Google Scholar] [CrossRef]
- Bland, J.; Altman, D. Statistical Methods for Assessing Agreement between Two Methods of Clinical Measurement. Lancet 1986, 1, 307–310. [Google Scholar] [CrossRef] [PubMed]
- Altman, D.G.; Bland, J.M. Measurement in Medicine: The Analysis of Method Comparison Studies. Statistician 1983, 32, 307. [Google Scholar] [CrossRef]
- Lin, L.I. A Concordance Correlation Coefficient to Evaluate Reproducibility. Biometrics 1989, 45, 255–268. [Google Scholar] [CrossRef]
- McBride, G.B. A Proposal for Strength-of-Agreement Criteria for Lin’s Concordance Correlation Coefficient; National Institute of Water & Atmospheric Research Ltd.: Hamilton, New Zealand, 2005; NIWA Client Report: HAM2005-062 2005. [Google Scholar]
- Parker, R.A.; Scott, C.; Inácio, V.; Stevens, N.T. Using Multiple Agreement Methods for Continuous Repeated Measures Data: A Tutorial for Practitioners. BMC Méd. Res. Methodol. 2020, 20, 154. [Google Scholar] [CrossRef]
- Ino, T.; Samukawa, M.; Ishida, T.; Wada, N.; Koshino, Y.; Kasahara, S.; Tohyama, H. Validity of AI-Based Gait Analysis for Simultaneous Measurement of Bilateral Lower Limb Kinematics Using a Single Video Camera. Sensors 2023, 23, 9799. [Google Scholar] [CrossRef]
- Matsuda, T.; Fujino, Y.; Makabe, H.; Morisawa, T.; Takahashi, T.; Kakegawa, K.; Matsumoto, T.; Kiyohara, T.; Torimoto, Y.; Miwa, M.; et al. Validity Verification of Human Pose-Tracking Algorithms for Gait Analysis Capability. Sensors 2024, 24, 2516. [Google Scholar] [CrossRef]
- Mehdizadeh, S.; Mehdizadeh, S.; Nabavi, H.; Nabavi, H.; Sabo, A.; Sabo, A.; Sabo, A.; Arora, T.; Arora, T.; Iaboni, A.; et al. Concurrent Validity of Human Pose Tracking in Video for Measuring Gait Parameters in Older Adults: A Preliminary Analysis with Multiple Trackers, Viewing Angles, and Walking Directions. J. Neuroeng. Rehabil. 2021, 18, 139. [Google Scholar] [CrossRef]
- Yamamoto, M.; Shimatani, K.; Hasegawa, M.; Kurita, Y.; Ishige, Y.; Takemura, H. Accuracy of Temporo-Spatial and Lower Limb Joint Kinematics Parameters Using OpenPose for Various Gait Patterns with Orthosis. IEEE Trans. Neural Syst. Rehabil. Eng. 2021, 29, 2666–2675. [Google Scholar] [CrossRef] [PubMed]
- Stenum, J.; Stenum, J.; Stenum, J.; Rossi, C.; Rossi, C.; Roemmich, R.T.; Roemmich, R.T. Two-Dimensional Video-Based Analysis of Human Gait Using Pose Estimation. PLoS Comput. Biol. 2021, 17, e1008935. [Google Scholar] [CrossRef]
- Payton, C.; Bartlett, R. Biomechanical Evaluation of Movement in Sport and Exercise; Routledge: London, UK, 2008; ISBN 9780415434683. [Google Scholar]
- Zeni, J.A.; Richards, J.G.; Higginson, J.S. Two Simple Methods for Determining Gait Events during Treadmill and Overground Walking Using Kinematic Data. Gait Posture 2008, 27, 710–714. [Google Scholar] [CrossRef]
- Saiki, Y.; Kabata, T.; Ojima, T.; Kajino, Y.; Kubo, N.; Tsuchiya, H. Reliability and Validity of Pose Estimation Algorithm for Measurement of Knee Range of Motion after Total Knee Arthroplasty. Bone Jt. Res. 2023, 12, 313–320. [Google Scholar] [CrossRef]
- Sakane, N.; Yamauchi, K.; Kutsuna, I.; Suganuma, A.; Domichi, M.; Hirano, K.; Wada, K.; Ishimaru, M.; Hosokawa, M.; Izawa, Y.; et al. Application of Machine Learning for Detecting High Fall Risk in Middle-Aged Workers Using Video-Based Analysis of the First 3 Steps. J. Occup. Health 2025, 67, uiae075. [Google Scholar] [CrossRef] [PubMed]
- Hassine, S.B.; Balti, A.; Abid, S.; Khelifa, M.M.B.; Sayadi, M. Markerless Vision-Based Knee Osteoarthritis Classification Using Machine Learning and Gait Videos. Front. Signal Process. 2024, 4, 1479244. [Google Scholar] [CrossRef]






| Parameter [Unit] | Description | Calculation | Clinical Relevance |
|---|---|---|---|
| Gait symmetry [%] | The gait symmetry indicates how symmetrical the left and right step length is. The higher the value, the better. | Calculated using step length differences between sides (lateral). | Early marker for motor dysfunctions or insidious neurological diseases. |
| Cadence [steps/min] | The gait cadence indicates the total number of steps taken within a minute during the analysis. | Early biomarker for neurodegenerative diseases and predictor for fall risk, especially in geriatric populations. | |
| Double support left/right [%] | The gait double support indicates proportion of time that both feet of the patient are on the ground during the analysis. | Calculated in percentage and shows the part where both feet are on the ground. | Highly sensitive gait parameter for the detection of asymmetric gait patterns, as they occur in many neurological and orthopedic diseases. |
| Gait variability left/right [%] | The gait variability indicates step-to-step length fluctuation of left/right leg during the analysis. | Derived from the standard deviation and mean of the step length. | Early marker for neurodegenerative diseases (Parkinson’s, dementia) and fall risk indicator. |
| Step length Left/Right [cm] | The gait step length indicates the average distance between the point of initial contact of the left/right foot and the point of initial contact of the other foot during the analysis. | Distance between the toes of the left and right leg during the initial contact. | Central gait parameter that is used both in diagnostics and for progress assessments. |
| Step time left/right [s] | The gait step time indicates the average time elapsed from initial contact of the left/right foot to initial contact of the other foot during the analysis. | Difference between the gait events terminal swing and terminal stance. | Central gait parameter that is used both in diagnostics and for progress assessments. |
| Stance time left/right [%] | The gait stance time indicates the average percentage of time during which the left/right foot is in contact with the ground during the analysis. | Calculated in percentage of a gait cycle using the pre-swing and the initial contact. | Another central gait parameter used in diagnostics, progression assessment, fall risk assessment, and therapy management. |
| Step width [cm] | The step width indicates the average frontal plane distance between the point of initial contact of the left/right foot and the point of initial contact of the other foot during the analysis. | The distance between left and right heel in frontal plane. | Assessment of stability and balance control. |
| Concordance Correlation Coefficient | Heuristic Meaning |
|---|---|
| <0.10 | none |
| 0.10–0.40 | weak |
| 0.41–0.60 | moderate |
| 0.61–0.80 | strong |
| 0.81–1.00 | almost complete |
| Gait Event | Leg | Mean Absolute Error ± SD (VIC—OV) |
|---|---|---|
| Initial contact | Left | 8 ms ± 11.49 ms |
| Right | 5.21 ms ± 14.81 ms | |
| Toe-off | Left | 3.19 ms ± 14.01 ms |
| Right | 6.81 ms ± 14.53 ms |
| Metric | Device | Mean | SD | CCC [Heuristic Meaning] | CV [%] | Limits of Agreement |
|---|---|---|---|---|---|---|
| Cadence [steps/min] | VIC | 104.312 | ±5.009 | 0.996 [almost complete] | 4.802 | 0.08/−0.93 |
| OV | 104.250 | ±4.969 | 4.766 | |||
| Gait symmetry [%] | VIC | 97.000 | ±2.784 | 0.527 [moderate] | 2.870 | 4.21/−6.21 |
| OV | 96.000 | ±2.716 | 2.829 | |||
| Gait variability [%] | VIC | 3.031 | ±1.531 | 0.624 [strong] | 50.494 | 3.09/−1.34 |
| OV | 3.906 | ±1.487 | 38.057 | |||
| Step time [s] | VIC | 0.576 | ±0.029 | 0.974 [almost complete] | 5.036 | 0.01/−0.01 |
| OV | 0.576 | ±0.029 | 4.980 | |||
| Stance time [s] | VIC | 0.723 | ±0.038 | 0.947 [almost complete] | 5.293 | 0.03/−0.02 |
| OV | 0.724 | ±0.040 | 5.512 | |||
| Step length [cm] | VIC | 62.188 | ±3.292 | 0.892 [almost complete] | 5.294 | 3.54/−1.79 |
| OV | 63.062 | ±3.473 | 5.507 | |||
| Double support [s] | VIC | 0.293 | ±0.024 | 0.734 [strong] | 8.198 | 0.04/−0.03 |
| OV | 0.296 | ±0.023 | 7.677 |
| Metric | Device | Mean | SD | CCC [Heuristic Meaning] | CV [%] | Limits of Agreement |
|---|---|---|---|---|---|---|
| Step width [cm] | VIC | 10.625 | ±2.666 | 0.805 [strong/almost complete] | 25.095 | 1.26/−3.26 |
| OV | 9.625 | ±1.833 | 19.043 | |||
| Step time [s] | VIC | 0.576 | ±0.029 | 0.975 [almost complete] | 4.951 | 0.01/−0.01 |
| OV | 0.577 | ±0.028 | 4.777 | |||
| Stance time [s] | VIC | 0.723 | ±0.038 | 0.936 [almost complete] | 5.274 | 0.03/−0.02 |
| OV | 0.728 | ±0.050 | 6.850 | |||
| Cadence [steps/min] | VIC | 104.312 | ±5.009 | 0.993 [almost complete] | 4.802 | 1.38/−0.88 |
| OV | 104.562 | ±5.025 | 4.805 | |||
| Gait symmetry [%] | VIC | 97.000 | ±2.784 | 0.108 [weak] | 2.870 | 4.57/−1.95 |
| OV | 99.875 | ±0.484 | 0.485 |
Disclaimer/Publisher’s Note: The statements, opinions and data contained in all publications are solely those of the individual author(s) and contributor(s) and not of MDPI and/or the editor(s). MDPI and/or the editor(s) disclaim responsibility for any injury to people or property resulting from any ideas, methods, instructions or products referred to in the content. |
© 2025 by the authors. Licensee MDPI, Basel, Switzerland. This article is an open access article distributed under the terms and conditions of the Creative Commons Attribution (CC BY) license (https://creativecommons.org/licenses/by/4.0/).
Share and Cite
Ksoll, K.; Krätschmer, R.; Stöcker, F. Validity of a Convolutional Neural Network-Based, Markerless Pose Estimation System Compared to a Marker-Based 3D Motion Analysis System for Gait Assessment—A Pilot Study. Sensors 2025, 25, 6551. https://doi.org/10.3390/s25216551
Ksoll K, Krätschmer R, Stöcker F. Validity of a Convolutional Neural Network-Based, Markerless Pose Estimation System Compared to a Marker-Based 3D Motion Analysis System for Gait Assessment—A Pilot Study. Sensors. 2025; 25(21):6551. https://doi.org/10.3390/s25216551
Chicago/Turabian StyleKsoll, Korbinian, Rafael Krätschmer, and Fabian Stöcker. 2025. "Validity of a Convolutional Neural Network-Based, Markerless Pose Estimation System Compared to a Marker-Based 3D Motion Analysis System for Gait Assessment—A Pilot Study" Sensors 25, no. 21: 6551. https://doi.org/10.3390/s25216551
APA StyleKsoll, K., Krätschmer, R., & Stöcker, F. (2025). Validity of a Convolutional Neural Network-Based, Markerless Pose Estimation System Compared to a Marker-Based 3D Motion Analysis System for Gait Assessment—A Pilot Study. Sensors, 25(21), 6551. https://doi.org/10.3390/s25216551

