Next Article in Journal
Integration of Machine Vision and PLC-Based Control for Scalable Quality Inspection in Industry 4.0
Previous Article in Journal
Research on Optimization of RIS-Assisted Air-Ground Communication System Based on Reinforcement Learning
 
 
Font Type:
Arial Georgia Verdana
Font Size:
Aa Aa Aa
Line Spacing:
Column Width:
Background:
Article

Communication Disturbance Observer Based Delay-Tolerant Control for Autonomous Driving Systems

by
Xincheng Cao
,
Haochong Chen
,
Levent Guvenc
and
Bilin Aksun-Guvenc
*
Automated Driving Lab, Ohio State University, 1320 Kinnear Rd, Columbus, OH 43212, USA
*
Author to whom correspondence should be addressed.
Sensors 2025, 25(20), 6381; https://doi.org/10.3390/s25206381
Submission received: 9 September 2025 / Revised: 5 October 2025 / Accepted: 14 October 2025 / Published: 16 October 2025
(This article belongs to the Special Issue Sensor-Based Control and Navigation for Autonomous Vehicles)

Abstract

With the rapid growth of autonomous vehicle technologies, effective path-tracking control has become a critical component in ensuring safety and efficiency in complex traffic scenarios. When a high-level decision-making agent generates a collision-free path, a robust low-level controller is required to precisely follow this trajectory. However, connected autonomous vehicles (CAV) are inherently affected by communication delays and computation delays, which significantly degrade the performance of conventional controllers such as PID or other more advanced controllers like disturbance observers (DOB). While DOB-based designs have shown effectiveness in rejecting disturbances under nominal conditions, their performance deteriorates considerably in the presence of unknown time delays. To address this challenge, this paper proposes a delay-tolerant communication disturbance observer (CDOB) framework for path-tracking control in delayed systems. The proposed CDOB compensates for the adverse effects of time delays, maintaining accurate trajectory tracking even under uncertain and varying delay conditions. It is shown through a simulation study that the proposed control architecture maintains close alignment with the reference trajectory across various scenarios, including single-lane change, double-lane change, and Elastic Band-generated collision avoidance paths under various time delays. Simulation results further demonstrate that the proposed method outperforms conventional approaches in both tracking accuracy and delay robustness, making it well-suited for connected autonomous driving applications.

1. Introduction

With rapid urbanization and technological development, the number of privately owned vehicles has dramatically increased each year. These excessive numbers of private vehicles have led to traffic congestion and car accidents, which have gradually become a new set of challenges that every modern city must confront [1]. According to the Global Status Report on Road Safety released by the World Health Organization (W.H.O.), over 50 million people acquire injuries and 1.3 million individuals lose their lives in car accidents each year worldwide [2]. In the United States alone, over 2.3 million people are injured and around 40,000 lives are lost in car accidents [3]. Among these car accidents, around 75% are attributed to human errors, such as drowsy driving, driving under the influence (DUI), and distracted driving. The Automated Driving System (ADS) benefits from powerful and robust autonomous driving algorithms and has the potential to significantly reduce car accidents caused by human mistakes [4,5], thereby becoming a viable solution to these urgent traffic challenges. The Society of Automotive Engineers (SAE International) categorizes autonomous vehicles into six levels, ranging from Level 0 (fully manual driving) to Level 5 (fully autonomous driving) [6]. In particular, vehicles at SAE Levels 4 and 5 have the capability to dramatically decrease accidents caused by human mistakes since the algorithm has robust and steady performance in all traffic conditions [7].
In order to increase the level of autonomy of road vehicles, extensive research and testing have been conducted in the field in recent years [7,8], including both modular and model-based approaches along with end-to-end and model-free machine learning approaches. For the end-to-end and model-free machine learning approach, an autonomous driving agent that directly maps sensory inputs to control actions is trained [9,10,11,12,13]. By removing the complexity of traditional modular pipelines, this approach enables joint optimization across all processing stages and has the potential to achieve superior performance during ordinary driving situations, but the absence of hard-coded safety rules often raises concerns as these systems may generate unsafe behaviors in safety-critical situations. Another mainstream direction in autonomous driving research is the modular, model-based design paradigm [14,15,16,17,18,19], where the system is typically divided into a high-level decision-making module and a low-level controller. The high-level component is often based on deep reinforcement learning (DRL) or other machine learning approaches, while the low-level controller executes the planned actions. Nevertheless, a major limitation of this modular architecture is that the overall system performance strongly depends on the performance of each individual component. If one module underperforms, it can significantly degrade the effectiveness of the entire system. In fact, many recent studies have achieved significant progress at the high level by leveraging state-of-the-art DRL algorithms such as DDPG, PPO, and SAC. However, alongside these developments, new challenges and potential issues have also emerged. Despite the significant advances in high-level planning algorithms [20], which are now capable of generating collision-free and efficient paths even in complex traffic scenarios [21], the performance of low-level control systems sometimes remains unsatisfactory. Both the higher-level and traditional lower-level approaches referenced above are ill equipped to deal with variable time delays, which may involve a combination of perception processing, control and decision-making computation, and network (like the Control Area Network) and actuator delays. The main contribution of the delay compensation method proposed in this paper is that it will allow the previously referenced methods to be designed and implemented as if there was no delay by extracting even variable and unknown delays outside the decision-making and control feedback loop, thus avoiding the stability problem created by such delays.
To address these issues, plenty of research has already been conducted in this field to develop a robust path-tracking controller [22]. The optimization-based control approach is well-known and widely adopted in autonomous driving development [23]. The path-tracking problem is formulated as an optimization problem, where an objective function is designed to minimize tracking errors while satisfying system dynamics and safety constraints. The Control Lyapunov Function–Control Barrier Function–Quadratic Programming (CLF-CBF-QP) approach has also gained significant attention due to its ability to balance safety and stability in an optimization framework [24,25,26,27,28]. Similarly, Model Predictive Control (MPC) has also become a popular technique, as it provides an optimization-based closed-loop control solution that integrates both planning and control in real time [29,30,31].
Beyond optimization-based methods, various other traditional control approaches such as pure-pursuit controller [32,33], Stanley controller [34], disturbance observer (DOB) [35], and parameter-space multi-objective PID control [36] have been explored to ensure accurate and reliable path tracking. While these conventional control theories may perform well in simulation environments, their performance often deteriorates when implemented on real vehicles. This is largely due to the discrepancies between the vehicle model and the actual vehicle dynamics and the presence of inevitable communication delays and computation delays in connected autonomous vehicle (CAV) systems. Such delays can lead to degraded tracking accuracy, oscillatory responses, or even instability, especially when vehicles operate under dynamic and uncertain traffic conditions. Traditional control strategies, such as Proportional–Integral–Derivative (PID) controllers or standard disturbance observer (DOB) approaches, often struggle to maintain high tracking performance under these delay conditions. Therefore, there is a pressing need for an effective and delay-tolerant control method that can ensure precise path tracking and robust stability even when undesirable time delays are present. To address this challenge, this study proposes a communication disturbance observer (CDOB)-based delay-tolerant control framework that compensates for the adverse effects of time delays. In this framework, time delay is considered as a special kind of disturbance and CDOB is utilized to estimate and compensate for this delay-induced disturbance, which can effectively restore the system’s behavior to its delay-free equivalent. After the CDOB compensates for the delay, conventional robust control theories can be directly applied to achieve robust and accurate path tracking, even in the presence of unknown and varying delays. In this paper, parameter-space-based PID control is used as tracking controller with CDOB since it exhibits good robustness and tracking performance under delay-free conditions.
It should be noted that the standard DOB is used for model regulation and disturbance rejection. On the other hand, CDOB treats time delay as a special kind of disturbance (which is represented as D(s)) and tries to estimate and cancel out this time-delay-induced disturbance by effectively moving it outside the feedback loop. Since the time delay is treated as an effective disturbance, standard CDOB cannot effectively handle a system disturbance like road curvature in path-tracking applications. For this reason, standard CDOB could only be applied to command-following applications and could not handle road vehicles path-tracking applications. The modified CDOB proposed in this paper can both keep the delay outside the loop and consider a known disturbance like road curvature such that a feedback controller can reject it as a disturbance and follow the desired path.
The contributions of this paper are as follows:
  • In this paper, we introduce a novel delay-tolerant CDOB framework that models time delays as equivalent disturbances and actively rejects them through modified DOB design, enabling delay-free equivalent dynamics.
  • In this paper, we demonstrate the compatibility of the CDOB framework with traditional controllers, allowing robust designs such as parameter-space PID to be seamlessly integrated.
  • In this paper, we conduct quantitative evaluations under diverse delay scenarios, showing that the proposed method maintains high tracking accuracy and robustness where conventional PID control response deteriorates.
The remainder of this paper is organized as follows. Section 2 presents the methodologies applied in this study, including the linear path-tracking model, the formulation of the CDOB compensator, and the design strategy of the PID tracking controller used in the CDOB-based control framework. Section 3 demonstrates the simulation results of the proposed framework, which include path-tracking performance using standard DOB and the CDOB controller under various traffic conditions. Finally, Section 4 concludes the paper and outlines possible directions for future research.

2. Methodology

To develop a high-performance path-tracking controller for CAVs, we propose a modified CDOB-based control framework which models time delays as equivalent disturbances and actively rejects them. While the CDOB architecture is able to move the time delay out of the feedback loop for command-following applications, it fails in achieving this for disturbance rejection. Since the road curvature enters the feedback loop as a disturbance to be rejected for autonomous vehicle path following, CDOB is not able to compensate for time delays within the loop. A significant contribution of this paper is the development of a modified CDOB architecture that can move the time delay outside the feedback loop in the presence of a disturbance, which is typical in autonomous vehicle path following.
First, we present path generation and a linear path-tracking model known as the bicycle model to describe the lateral motion of the ego vehicle, which serves as the foundation for later controller design. Second, a time delay is intentionally introduced into this linear path-tracking model and we design a modified CDOB compensator to estimate and reject the delay-induced disturbance, effectively restoring the system’s delay-free behavior. It should be noted that such time delay naturally exists in real-life CAV path-tracking control due to sensor perception system delays, computational delays, drive-by-wire CAN (Control Area Network) bus delays and actuator delays. In order to show the effects of such delays on performance if they are not accounted for, a parameter-space-based PID path-tracking controller is designed under delay-free conditions as a benchmarking system. The modified CDOB compensator aims to take the time delay outside the control loop, hence guaranteeing the designed stability and performance albeit after a time delay. The PID benchmarking controller is then utilized in combination with the modified CDOB compensator to achieve robust and precise path tracking and show this built-in delay tolerance, as well as being used independently by itself to serve as a baseline for performance comparison if delay compensation is not used. The proposed modified CDOB system can be used in other sensor applications to compensate for the effect of sensor delays on overall feedback control system performance.

2.1. Path Generation

Path generation is critical for controller testing, as it provides a realistic reference for evaluating the controller’s tracking performance under conditions that closely resemble real-world driving scenarios. The overall procedure for obtaining such a reference path can be summarized as follows: (a) generate a limited number of sample waypoints to represent the general shape of the path; (b) create dense waypoints based on these samples to complete the path design; (c) apply segmentation to the dense waypoints to divide the path into several segments, ideally ensuring that each segment contains a minimal number of features (e.g., corners); and (d) perform polynomial-fit optimization to derive a smooth path expression that ensures continuous curvature within each segment and smooth transitions between adjacent segments. The detailed steps of this procedure are outlined in [28]. Through extensive observations, we find that real vehicles frequently perform lane-change maneuvers while driving as examples of path tracking. To reflect this behavior, we designed two commonly used lane-change patterns: a single-lane-change maneuver and a double-lane-change maneuver. Both patterns were incorporated into the path generation process to create realistic reference trajectories, enabling more comprehensive evaluation of the controller’s performance under typical driving scenarios. Figure 1 shows the optimized reference path and its path curvature for the single-lane-change maneuver, demonstrating the smoothness of such a path generated using this approach. Similarly, Figure 2 demonstrates the optimized reference path and its path curvature for the double-lane-change maneuver.
In addition, path-tracking controllers are often integrated with collision avoidance algorithms to ensure both accuracy and safety in autonomous driving systems. To capture this scenario, we employed the well-established traditional collision avoidance method, the Elastic Band algorithm [29], to generate a collision-free trajectory. This trajectory was then used as a reference path for the path-tracking controller, allowing us to evaluate its ability to accurately follow dynamically adjusted paths. Figure 3 shows the reference path and its corresponding path curvature for the collision avoidance scenario. In Figure 3, the straight path from zero to close to 100 m in the x direction is modified by the Elastic Band algorithm between 20 and 50 m in the x direction to avoid an obstacle.

2.2. Linear Path-Tracking Model

This section presents the linear path-tracking model that serves as the basis for the proposed control routine. The detailed derivation of this model can be found in [37]. Similar models that have been derived using a similar approach have also been applied to articulated vehicle configurations in the literature [38]. This linear path-tracking model contains two components: a linear lateral single-track model and a path-tracking model augmentation. The plane’s lateral motion of this single-track vehicle is illustrated in Figure 4, and the resulting linear single-track vehicle dynamic model is described in Equation (1). The overall model is given in Equation (2) through (5), with an explanation of the parameters used being presented in Table 1.
Equation (1) demonstrates the linear single-track model which describes the lateral dynamic behaviors of the vehicle.
β ˙ r ˙ = C f C r m V 1 + C r l r C f l f m V 2 C r l r C f l f I z C f l f 2 C r l r 2 I z V β r + C f M V C r M V C f l f I z C r l r I z δ f δ r + 0 1 I z M z
It can be observed that, for generality, the model presented in Equation (1) has both front- and rear-wheel steering angles δ f and δ r as inputs. The model also contains yaw moment disturbance M z . In our case, the vehicle is assumed to be front-wheel-steer only. To effectively employ this vehicle lateral dynamic model for path tracking, path-tracking heading error Ψ p and path-tracking error e y , which contain both deviation error and heading error, are introduced as
Ψ p ˙ r V ρ r e f
e y ˙ V β + l s r + V Ψ p l s V ρ r e f
Equations (2) and (3) demonstrate how to calculate the path-tracking heading error Ψ p and path-tracking error e y . Also, since the path-tracking error e y also depends on the road curvature, Equation (4) demonstrates how to calculate road curvature based on road shape. x p and y p are coordinates of the optimized path.
ρ r e f = d x p ( λ ) d λ d 2 y p ( λ ) d λ 2 d y p ( λ ) d λ d 2 x p ( λ ) d λ 2 d x p λ d λ 2 + d y p λ d λ 2 3 2
Equation (5) is the state space equation for the combined linear path-tracking model.
β ˙ r ˙ Δ ψ p ˙ e y ˙ = C f C r M V 1 + C r l r C f l f M V 2 0 0 C r l r C f l f I z C f l f 2 C r l r 2 I z V 0 0 0 1 0 0 V l s V 0 β r Δ ψ p e y + C f M V C r M V C f l f I z C r l r I z 0 0 0 0 δ f δ r + 0 0 V l s V ρ r e f + 0 1 I z 0 0 M z d
It can also be noticed that path curvature ρ r e f and yaw moment disturbance M z d enter the model as external disturbances. In practice, the yaw moment disturbance is often ignored as it is usually considered in a separate yaw stability control system [35,39]. Additionally, the preview distance l s is chosen to be a linear function of vehicle speed. It should also be noted that vehicle speed can be scheduled according to the reference path curvature to make sure vehicle lateral acceleration stays within an acceptable limit. The parameter values used in the simulations are also listed in parentheses in Table 1.

2.3. Modified Communication Disturbance Observer Design

2.3.1. Modified CDOB Framework

This section presents a general overview of the modified communication disturbance observer (CDOB), which is an approach inspired by the disturbance observer (DOB). Please see references [36,40,41] for more details on the CDOB. Given a time-delayed input–output system, as shown in Figure 5a, an equivalent system can be constructed as displayed in Figure 5b, where a term, D ( s ) , incorporates the time delay and is fed into the system as a disturbance. It must be noted that the value of the time delay is not necessarily known, which makes the CDOB a very useful method for practical applications.
Once it has been established that the unknown time delay can be remodeled as a disturbance, the concept of DOB can be used to estimate and compensate for the time delay. Figure 6 shows the basic structure of the CDOB consisting of a time delay estimation loop and a time delay compensation loop. Q ( s ) in the time delay estimation loop is a unity-gain low-pass filter of the appropriate order introduced to ensure that Q ( s ) / G n ( s ) is proper, hence ensuring that the scheme is implementable. Assuming that the analysis is carried out at low frequency where Q ( s ) = 1 , it can be derived that the output of the time-delay estimation loop yields D ¯ ( s ) which is an estimation of D ( s ) given by D = U U e T s , as shown in Figure 5, and is the difference between the input and its delayed version. The additional time-delay compensation loop cancels out the term containing time delay and yields the desired output form G n ( s ) U ( s ) that is not affected by the unknown time delay.
In this paper, the Butterworth approach is utilized to design the unity-gain low-pass filter Q ( s ) in the CDOB loop. Table 2 displays the parameters used in the design. Equations (6) and (7) demonstrate how to calculate the order and cut-off frequency of the proposed low-pass filter Q ( s ) . From the results, we notice that the minimum order of this low-pass filter is second. Then, these results are substituted into the second-order Butterworth low-pass filter equation, which results in Equation (8).
N log 10 α s / 10 1 10 α p / 10 1 2 log ω s ω p = 1.5008  ⁢
Ω c u t o f f = ω p ( 10 α p / 10 1 ) 1 2 N = 1001.6 r a d s
Q = 1 s 2 Ω c + 1.4142 s Ω c + 1
One final remark is that the CDOB can effectively restore the system’s behavior to its delay-free equivalent and usually needs to be applied together with an additional feedback controller. This feedback controller is used to take system references R s and delay-free feedback G n s U s as input and the generate control signal U ( s ) .
The feedback controller mentioned above can be of any design. We present an example design that features a speed-scheduled, parameter-space PID controller. The parameter-space method is discussed in detail in [36], as well as in reference [42] that focuses on application to autonomous path following. The form of the controller and its detailed design are presented in the following subsections.

2.3.2. Modification for Path Curvature Rejection

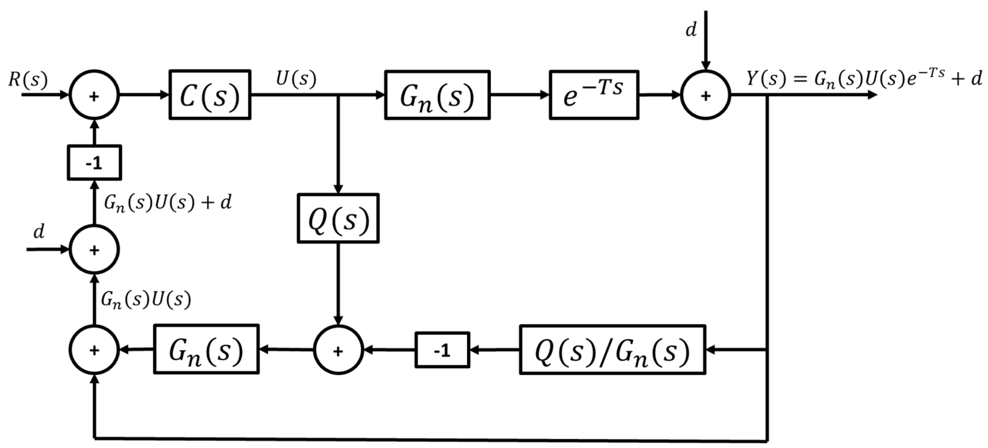
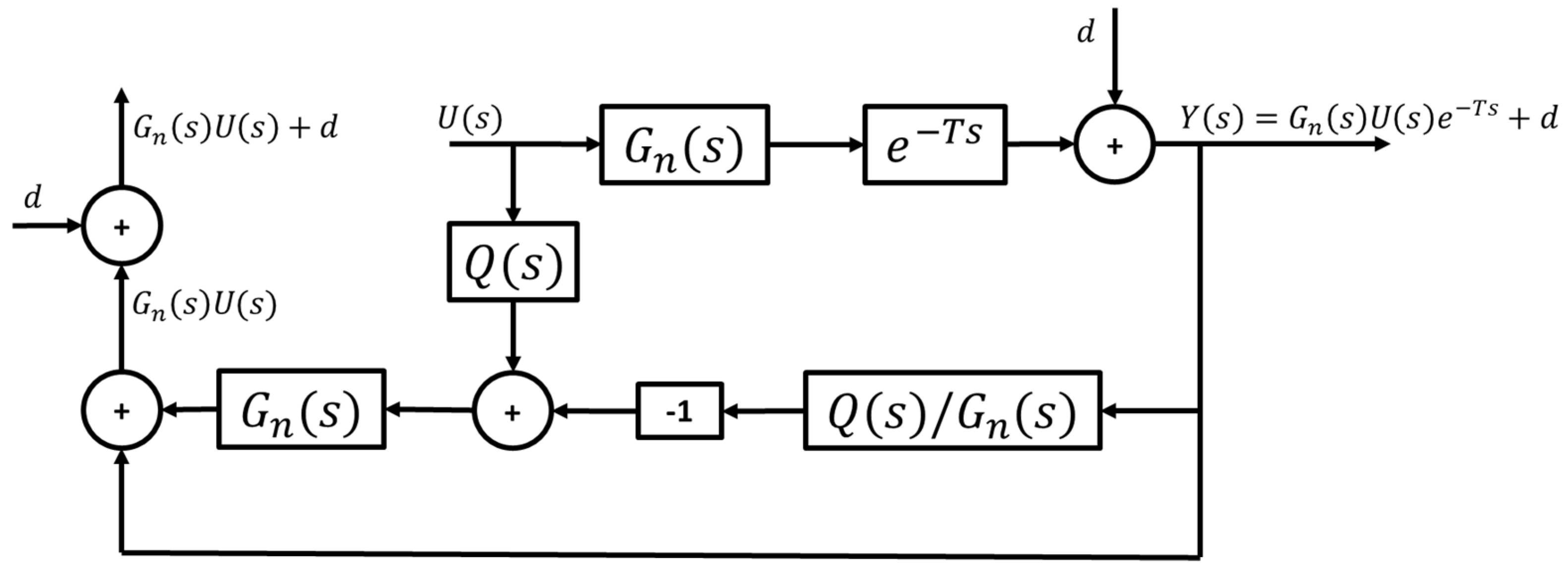
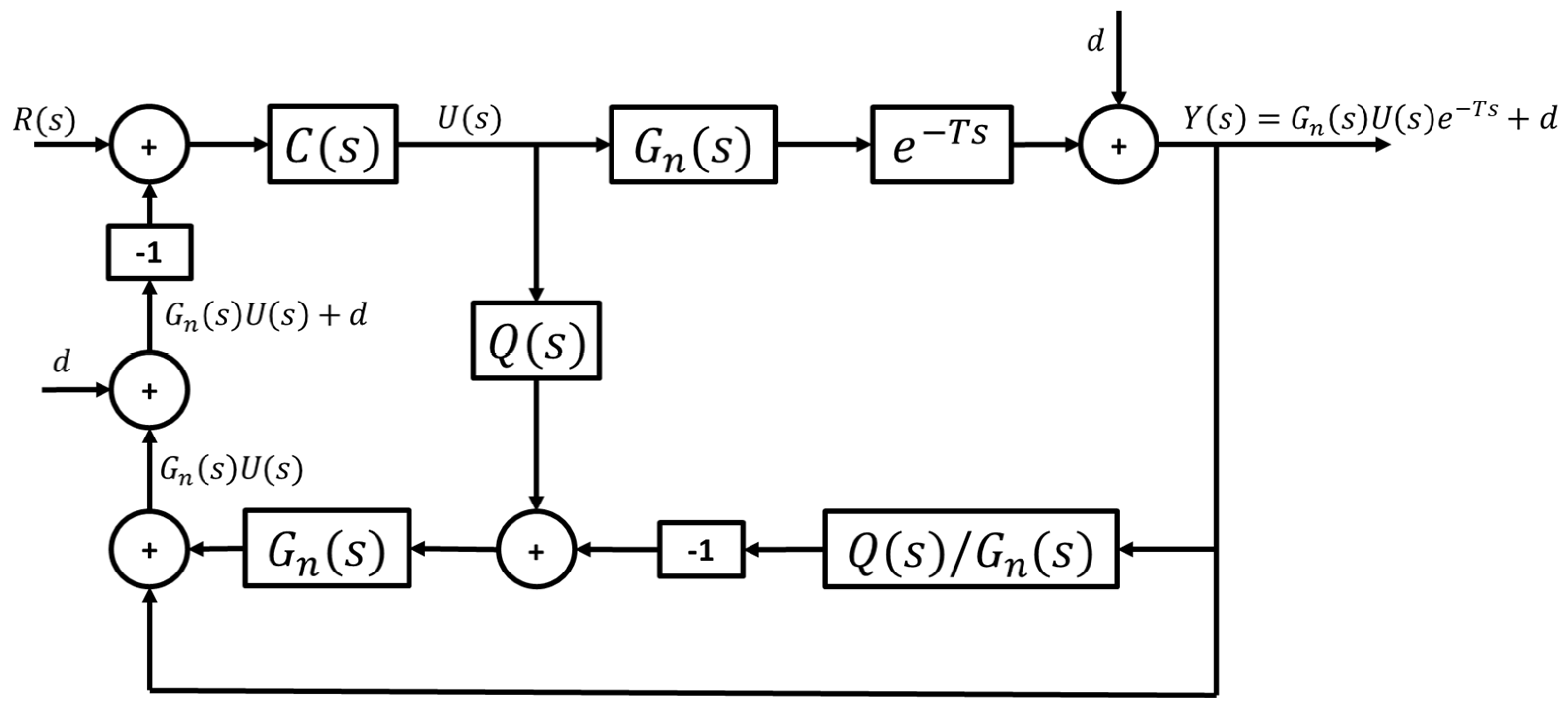
As mentioned in Section 2.2, the vehicle model used for path-tracking is derived such that reference path curvature enters the model as an external disturbance. Denoting the path curvature disturbance as d , the desired output of the CDOB hence becomes G n s U s + d . Adding this disturbance d into the CDOB block diagram as illustrated in Figure 7, however, does not yield the desired outcome, where the actual output remains in the form of G n ( s ) U ( s ) , lacking the disturbance term d .
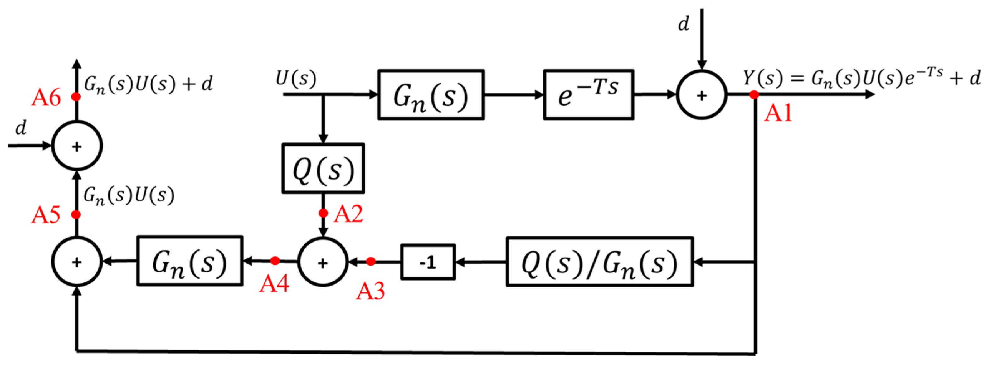
To account for the above issue, modifications must be made to the standard CDOB structure to accommodate the path curvature rejection requirement. Figure 8 shows the modified CDOB block diagram, where the same path curvature disturbance is added to the output of the CDOB delay compensation loop. It should be noted that this structure works because the curvature of the reference path, i.e., the, disturbance in CAV path following, is known. An analysis of the modified CDOB with expressions for signals at different locations in the block diagram of Figure 8 is presented in Appendix A.

2.3.3. Feedback Controller Design

As mentioned in Section 2.3.1, with the modified CDOB capable of outputting desired output form without the interference of time delay, a closed-loop control system is required to be constructed for this non-time-delayed disturbance rejection problem. In Figure 9, a generic feedback controller C ( s ) is added to generate input U ( s ) such that reference input R ( s ) can be tracked.
In this paper, a parameter-space PID controller is designed for precise and robust path following as C(s) in Figure 9. The reference input R ( s ) should be zero in this case, noting that the goal of the control system is to eliminate path-tracking error e y . The form of the controller is presented in Equation (9).
C s = k p + k i s + k d s
The controller gains ( k p , k i , k d ) are the parameters to be tuned. Since the controller is speed-scheduled, the tunable parameter set has four elements: ( V , k p , k i , k d ) . A D-stability region, as displayed in Figure 10, is established for desired pole placement of the closed-loop system. The D-stability region boundaries are chosen to satisfy desired maximum settling time, percent overshoot and natural frequency bounds for a dominantly second-order system.
An example of the admissible controller gain region at a certain scheduled speed is shown in Figure 11. In this example, the feasible region is defined as a 3-D space highlighted with yellow color. The three axes of this space specify k p , k i , k d controller gain values, respectively. It should be remarked that during the process of controller gain value selection, a general rule of thumb is to choose the gains to be as small as possible within the admissible region so that the control effort can be minimized. In practice, any point within the 3-D yellow region can be selected, as all such choices guarantee D-stability and therefore ensure both performance and robustness. In this work, we selected k p , k i , k d values located closer to the center of the admissible region, since this choice provides greater robustness against parameter variations and modeling uncertainties. Stability analysis of the proposed and developed delay tolerant control architecture is presented in Appendix B.

3. Results

3.1. Simulation Study

Simulation studies are first performed to demonstrate the efficacy of the proposed control design. A Simulink model is constructed to simulate the motions of the vehicle. The parameter values used in the simulations are listed in Table 1. The example reference path shown in Figure 1, Figure 2 and Figure 3 is used as the desired path in this experiment. The single-lane-change motion simulation results for the combined modified CDOB with PID control system and the PID-only cases are displayed in Figure 12 and Figure 13.
It can be observed that the vehicle is able to track the reference path satisfactorily with reasonably small path-tracking errors by applying smooth steering inputs under the control of CDOB with PID. However, under PID-only conditions, the tracking operation will fail in a very early stage without the CDOB feature even with only 0.01s delay. This is due to the detrimental effect of time delay on system stability. The PID no-delay case, which is the desired result, is shown in Figure 12b. The PID+CDOB compensated path-following responses for different time-delay values displayed in Figure 12a are all very similar to this ideal PID with no delay response, showing the efficacy of the proposed system. The PID results with different delay values in Figure 12b all end with the vehicle running off the path at up to 2 m in the X direction. The path-tracking errors shown in Figure 13 demonstrate this more clearly. Figure 13a shows that the PID+CDOB system can follow the path with relatively small error even though error values increase with increases in time delay. The PID-only results in Figure 13b show that the path-tracking error becomes oscillatory and unstable, showing the need for time-delay compensation.
Similarly, we perform the same test using the double-lane-change trajectory shown in Figure 2. The double-lane-change motion simulation results for the combined modified CDOB and PID control system and PID only are displayed in Figure 14 and Figure 15.
Just like the single-lane-change tracking results, the proposed the CDOB+PID framework closely follows the reference path even with delays up to 0.3 s, whereas the PID-only controller exhibits significant trajectory deviations and eventually fails to track the path even with 0.01 s time delay. This is further reflected in the path-tracking error plots in Figure 15, where the CDOB+PID controller maintains a small and smooth error profile within ±0.08 m, indicating stable performance. In contrast, the PID-only controller experiences a rapid oscillation in tracking error, which indicates a loss of stability. These observations highlight that the CDOB framework can effectively compensate for delay-induced disturbances.
In order to evaluate the performance of the proposed CDOB control framework within an autonomous driving system, the Elastic Band algorithm is used to generate a collision-free trajectory, as shown in Figure 3. A similar test is performed using this trajectory and similar tracking results can be observed, further demonstrating the effectiveness of the CDOB+PID framework under time-delay conditions. As shown in Figure 16, the CDOB+PID controller accurately follows the reference trajectory across all tested delay levels, with only minimal deviations even at a 0.3 s delay. In contrast, the PID-only controller again suffers from time delays and cannot successfully track the reference path.
Path-tracking error plots shown in Figure 17 demonstrate that the modified CDOB+PID controller can maintain errors within approximately ±0.2 m, while the PID-only controller leads to system instability under time delay.
These results confirm that the modified CDOB framework effectively mitigates delay-induced disturbances, ensuring accurate path following and stability not only for standard maneuvers but also for dynamically generated trajectories such as those from the Elastic Band or other collision avoidance algorithms.

3.2. Hardware-in-the-Loop (HIL) Experiments

In addition to the simulation study, hardware-in-the-loop (HIL) experiments are also performed to further demonstrate the suitability of this proposed modified CDOB control framework for real-life implementations. The same parameter choices as shown in Table 1 as well as the same example path are used. For the time-delay condition, a medium delay of 0.1 s was selected, as it reasonably represents typical operating scenarios that include both communication and computational delays. Figure 18a demonstrates the HIL architecture and information flowchart, and Figure 18a demonstrates the lab layout.
In the HIL experiments, physical hardware intended for real-vehicle implementation is integrated with the simulator to improve the realism of the testing process. In order to achieve this purpose, the vehicle dynamics model is run in real time on a SCALEXIO simulation computer. It constantly updates the vehicle’s state based on throttle, brake, and steering inputs. At the same time, the states of the vehicles are sent to the MicroAutoBox (MABX) II using the CAN bus. The MABX acts as the vehicle’s controller which can use information from SCALEXIO to calculate control commands and then send those commands back to SCALEXIO. On top of that, a host computer is used to manage both the SCALEXIO and the MABX systems, making sure the whole simulation loop runs smoothly. To enable HIL functionality, the simulation must be executed in real time.
The single-lane-change tracking results are shown in Figure 19.
It can be observed that even for online operation in the HIL simulator, the proposed control scheme is able to follow the desired path effectively with small path-tracking errors. The maximum error remains below 0.05 m, demonstrating high tracking accuracy. The steering input profile remains smooth and well within the saturation limits, highlighting the controller’s ability to generate stable and feasible control commands. The HIL results validate that the proposed CDOB control framework not only performs reliably in simulations but also maintains accuracy, stability, and feasibility under real-time hardware constraints, making it highly suitable for practical autonomous driving implementations.
A similar HIL test is performed in double-lane-change trajectory. The experiment results in Figure 20 demonstrate that the vehicle trajectory closely matches the reference path across the entire maneuver with only minor deviations under the control of the proposed modified CDOB+PID controller.
The path-tracking error remains within ±0.02 m, indicating precise and stable path tracking. It can also be observed that the large path-tracking error often occurs during the curved sections of the trajectory, where sudden changes in path curvature lead to more aggressive control inputs, resulting in larger tracking errors. The steering input profile stays smooth and well within the saturation limits, suggesting that the controller generates stable and feasible commands.
A similar HIL test was performed using the Elastic Band-generated collision-free trajectory to evaluate the performance of the proposed framework in an autonomous driving setting. The experimental results in Figure 21 demonstrate that the vehicle can accurately follow the reference path under the control of the proposed CDOB+PID controller.
The path-tracking errors increase primarily in sections with larger path curvature, particularly in the middle collision avoidance segment and near the endpoint. Nevertheless, the steering input profile remains smooth and well within the saturation limits. The higher tracking error at the end is due to the PID-only response also looking like this and is due to the curve at the end being too sudden. This is not a shortcoming of the delay compensator as the response is similar to that without the delay, as it should be. The integrator in the PID controller would reduce the error, which is still small in magnitude, towards zero if the path had continued.

4. Conclusions

This paper addressed the critical challenge of communication and computation delays in CAV path-tracking control. Although conventional control methods demonstrated robust performance under delay-free conditions, their effectiveness degraded significantly when subjected to unknown and varied delays. To overcome this limitation, we proposed a delay-tolerant CDOB framework that models time delays as equivalent disturbances and actively compensates for them. By effectively removing the impact of time delays, the CDOB restores the system’s behavior to its delay-free equivalent, enabling traditional control theories to operate at their full potential. The simulation and HIL experiment results demonstrate the robustness and accuracy of the proposed CDOB+PID control framework in path-tracking control. In case studies, the proposed controller maintained close alignment with the reference trajectory across various scenarios, including single lane change, double lane change, and Elastic Band-generated collision avoidance paths, even under time delays of up to 0.3 s. Path-tracking errors remained small, typically within ±0.08 m for standard maneuvers and ±0.2 m for more complex trajectories, while steering inputs stayed smooth and well within feasible limits. These findings demonstrate that CDOB offers a practical and effective solution for achieving reliable path tracking in real-world CAV applications where delays are inevitable.
Even though the proposed method demonstrates superior performance in delayed system control, it still has several limitations. First, the CDOB effectively takes time delay outside of the control loop; however, it cannot eliminate the delay, meaning that the system remains a delayed system. In addition, the CDOB requires accurate knowledge of the system dynamics, as it lacks the capability of model regulation.
Future work will focus on extending the current study in several directions to further explore and enhance the potential of the proposed modified CDOB-based control framework for autonomous driving applications. First, while this study tested only constant time-delay conditions, and the CDOB framework is theoretically capable of compensating for arbitrary delays, further validation under varying and time-varying delay scenarios is required. Second, we plan to integrate more advanced planning and collision avoidance modules into the testing framework to comprehensively evaluate the controller’s performance in complex, dynamic traffic conditions. The current implementation utilizes a parameter-space-designed PID controller as the nominal controller. Future studies will investigate the potential of coupling CDOB with more advanced nominal controllers to fully exploit its capabilities and improve performance in real-world autonomous driving systems. Finally, the stability robustness conditions for the modified CDOB can be investigated analytically using methods like the ones in references [43,44,45] and will be considered in future work.

Author Contributions

Conceptualization, all authors; methodology, X.C. and H.C.; software, X.C. and H.C.; validation, X.C. and H.C.; formal analysis, all authors; investigation, all authors; resources, B.A.-G. and L.G.; data curation, all authors; writing—original draft preparation, X.C. and H.C.; writing—review and editing, B.A.-G. and L.G.; visualization, all authors; supervision, B.A.-G. and L.G.; project administration, B.A.-G. and L.G.; funding acquisition, B.A.-G. and L.G. All authors have read and agreed to the published version of the manuscript.

Funding

This project is funded in part by Carnegie Mellon University’s Safety21 National University Transportation Center, which is sponsored by the US Department of Transportation.

Data Availability Statement

The original contributions presented in this study are included in the article. Further inquiries can be directed to the corresponding author.

Acknowledgments

The authors thank the Automated Driving Lab at the Ohio State University.

Conflicts of Interest

The authors declare no conflicts of interest.

Appendix A. Mathematical Analysis of CDOB Block Diagram

Figure A1. Modified CDOB block diagram with external disturbance with marked signal locations.
Figure A1. Modified CDOB block diagram with external disturbance with marked signal locations.
Sensors 25 06381 g0a1
Equations (A1)–(A6) describe the corresponding expressions described in the block diagram in Figure A1.
Y s = U s G n s e T s + d
Q ( s ) U ( s )
Y s Q s G n s = (  ⁢ U s G n s e T s + d ) Q s G n s
Q s U s  ⁢ U s G n s e T s + d Q s G n s = Q s U s U s G n s e T s + d G n s
Q s U s U s G n s e T s + d G n s G n s + U s G n s e T s + d = Q s U s G n s + U s G n s e T s + d 1 Q ( s )
Q s U s G n s + U s G n s e T s + d 1 Q ( s ) + d
For a unity-gain low-pass filter Q ( s ) , Q ( s ) 1 at low frequency, which means that the output of the sequence of this delayed system becomes U s G n s + d , which is the equivalent of a delay-free system with external disturbance d .

Appendix B. Stability Analysis

Figure A2. Control system with modified CDOB and feedback controller.
Figure A2. Control system with modified CDOB and feedback controller.
Sensors 25 06381 g0a2
The closed-loop transfer function from reference input R to output Y is given by
Y R = C G n e T s 1 + C Q G n + C G n 1 Q e T s
In order to analyze the stability of this closed-loop system, we can plot the Nyquist plot of the loop gain L ( s ) , which is
L ( s ) = C Q G n + C G n 1 Q e T s
Figure A3 shows the Nyquist plot with the C ( s ) , Q ( s ) , G n ( s ) of our design. From this Nyquist plot, the system is stable.
Figure A3. Nyquist plot of the loop gain L ( s ) .
Figure A3. Nyquist plot of the loop gain L ( s ) .
Sensors 25 06381 g0a3

References

  1. Caban, J.; Droździel, P. Traffic congestion in chosen cities of Poland. Sci. J. Silesian Univ. Technol. Ser. Transp. 2020, 108, 5–14. [Google Scholar] [CrossRef]
  2. World Health Organization. Global Status Report on Road Safety 2015; World Health Organization: Geneva, Switzerland, 2015; Available online: https://www.afro.who.int/publications/global-status-report-road-safety-2015 (accessed on 24 October 2023).
  3. Early Estimate of Motor Vehicle Traffic Fatalities in 2022. Available online: https://crashstats.nhtsa.dot.gov/Api/Public/ViewPublication/813428 (accessed on 25 August 2024).
  4. Emirler, M.T.; Wang, H.; Güvenç, B.A. Socially Acceptable Collision Avoidance System for Vulnerable Road Users. IFAC-PapersOnLine 2016, 49, 436–441. [Google Scholar] [CrossRef]
  5. Dudziak, A.; Stoma, M.; Kuranc, A.; Caban, J. Assessment of Social Acceptance for Autonomous Vehicles in Southeastern Poland. Energies 2021, 14, 5778. [Google Scholar] [CrossRef]
  6. J3016A: Taxonomy and Definitions for Terms Related to Driving Automation Systems for On-Road Motor Vehicles–SAE International (2016, September). Available online: https://www.sae.org/standards/content/j3016_201609/ (accessed on 25 August 2025).
  7. Payalan, Y.F.; Guvensan, M.A. Towards Next-Generation Vehicles Featuring the Vehicle Intelligence. IEEE Trans. Intell. Transp. Syst. 2019, 21, 30–47. [Google Scholar] [CrossRef]
  8. Hu, C.; Han, C.; Pervez, A.; Hao, J.; Xu, G.; Tang, J.; Huang, H. Optimal Deployment of Connected and Autonomous Vehicle Dedicated Lanes: A Trade-Off Between Safety and Efficiency. IEEE Trans. Intell. Transp. Syst. 2024, 25, 13744–13766. [Google Scholar] [CrossRef]
  9. Bojarski, M.; Del Testa, D.; Dworakowski, D.; Firner, B.; Flepp, B.; Goyal, P.; Jackel, L.D.; Monfort, M.; Muller, U.; Zhang, J.; et al. End to End Learning for Self-Driving Cars. arXiv 2016. [Google Scholar] [CrossRef]
  10. Kendall, A.; Hawke, J.; Janz, D.; Mazur, P.; Reda, D.; Allen, J.-M.; Lam, V.-D.; Bewley, A.; Shah, A. Learning to drive in a day. In Proceedings of the 2019 International Conference on Robotics and Automation (ICRA), Montreal, QC, Canada, 20–24 May 2019; pp. 8248–8254. [Google Scholar] [CrossRef]
  11. Kiran, B.R.; Sobh, I.; Talpaert, V.; Mannion, P.; Al Sallab, A.A.; Yogamani, S.; Perez, P. Deep Reinforcement Learning for Autonomous Driving: A Survey. IEEE Trans. Intell. Transp. Syst. 2021, 23, 4909–4926. [Google Scholar] [CrossRef]
  12. Ye, F.; Zhang, S.; Wang, P.; Chan, C.-Y. A Survey of Deep Reinforcement Learning Algorithms for Motion Planning and Control of Autonomous Vehicles. arXiv 2021. [Google Scholar] [CrossRef]
  13. Zhu, Z.; Zhao, H. A Survey of Deep RL and IL for Autonomous Driving Policy Learning. IEEE Trans. Intell. Transp. Syst. 2021, 23, 14043–14065. [Google Scholar] [CrossRef]
  14. Aksjonov, A.; Kyrki, V. A Safety-Critical Decision-Making and Control Framework Combining Machine-Learning-Based and Rule-Based Algorithms. SAE Int. J. Veh. Dyn. Stability, NVH 2023, 07, 287–299. [Google Scholar] [CrossRef]
  15. Makantasis, K.; Kontorinaki, M.; Nikolos, I. Deep reinforcement-learning-based driving policy for autonomous road vehicles. IET Intell. Transp. Syst. 2019, 14, 13–24. [Google Scholar] [CrossRef]
  16. Merola, F.; Falchi, F.; Gennaro, C.; Di Benedetto, M. Reinforced Damage Minimization in Critical Events for Self-driving Vehicles. Available online: https://www.scitepress.org/Papers/2022/109080/109080.pdf (accessed on 25 August 2025).
  17. Chen, H.; Zhang, F.; Aksun-Guvenc, B. Collision Avoidance in Autonomous Vehicles Using the Control Lyapunov Function–Control Barrier Function–Quadratic Programming Approach with Deep Reinforcement Learning Decision-Making. Electronics 2025, 14, 557. [Google Scholar] [CrossRef]
  18. Chen, H.; Aksun-Guvenc, B. Hierarchical Deep Reinforcement Learning-Based Path Planning with Underlying High-Order Control Lyapunov Function—Control Barrier Function—Quadratic Programming Collision Avoidance Path Tracking Control of Lane-Changing Maneuvers for Autonomous Vehicles. Electronics 2025, 14, 2776. [Google Scholar] [CrossRef]
  19. Zhang, Z.; Peng, C.; Zhu, M.; Yurtsever, E.; Redmill, K.A. An Uncertainty-Weighted Decision Transformer for Navigation in Dense, Complex Driving Scenarios. arXiv 2025. [Google Scholar] [CrossRef]
  20. Li, X.; Sun, Z.; Cao, D.; He, Z.; Zhu, Q. Real-Time Trajectory Planning for Autonomous Urban Driving: Framework, Algorithms, and Verifications. IEEE/ASME Trans. Mechatron. 2015, 21, 740–753. [Google Scholar] [CrossRef]
  21. Gelbal, S.Y.; Arslan, S.; Wang, H.; Aksun-Guvenc, B.; Guvenc, L. Elastic band based pedestrian collision avoidance using V2X communication. In Proceedings of the 2017 IEEE Intelligent Vehicles Symposium (IV), Los Angeles, CA, USA, 11–14 June 2017; pp. 270–276. [Google Scholar]
  22. Chen, B.-S.; Liu, H.-T.; Wu, R.-S. Robust H∞ Fault-Tolerant Observer-Based PID Path Tracking Control of Autonomous Ground Vehicle With Control Saturation. IEEE Open J. Veh. Technol. 2024, 5, 298–311. [Google Scholar] [CrossRef]
  23. Kim, S.; Gil, K.; Shin, J. Optimization-Based Path Planning With Artificial Potential Function. IEEE Access 2025, 13, 141717–141731. [Google Scholar] [CrossRef]
  24. Ames, A.D.; Grizzle, J.W.; Tabuada, P. Control barrier function based quadratic programs with application to adaptive cruise control. In Proceedings of the 53rd IEEE Conference on Decision and Control, Los Angeles, CA, USA, 15–17 December 2014; pp. 6271–6278. [Google Scholar]
  25. Ames, A.D.; Xu, X.; Grizzle, J.W.; Tabuada, P. Control Barrier Function Based Quadratic Programs for Safety Critical Systems. IEEE Trans. Autom. Control 2016, 62, 3861–3876. [Google Scholar] [CrossRef]
  26. Ames, A.D.; Coogan, S.; Egerstedt, M.; Notomista, G.; Sreenath, K.; Tabuada, P. Control Barrier Functions: Theory and Applications. In Proceedings of the 2019 18th European Control Conference (ECC), Naples, Italy, 15 August 2019; pp. 3420–3431. [Google Scholar]
  27. Xiao, W.; Belta, C. High-Order Control Barrier Functions. IEEE Trans. Autom. Control 2021, 67, 3655–3662. [Google Scholar] [CrossRef]
  28. Chriat, A.E.; Sun, C. High-Order Control Lyapunov–Barrier Functions for Real-Time Optimal Control of Constrained Non-Affine Systems. Mathematics 2024, 12, 4015. [Google Scholar] [CrossRef]
  29. Guvenc, L.; Aksun-Guvenc, B.; Zhu, S.; Gelbal, S.Y. Autonomous Road Vehicle Path Planning and Tracking Control. Available online: https://www.wiley.com/en-us/Autonomous+Road+Vehicle+Path+Planning+and+Tracking+Control-p-9781119747949 (accessed on 25 August 2025).
  30. Chen, X.; Liu, X.; Zhang, M. Autonomous Vehicle Lane-Change Control Based on Model Predictive Control with Control Barrier Function. In Proceedings of the 2024 IEEE 13th Data Driven Control and Learning Systems Conference (DDCLS), Kaifeng, China, 17–19 May 2024; pp. 1267–1272. [Google Scholar]
  31. Thirugnanam, A.; Zeng, J.; Sreenath, K. Safety-Critical Control and Planning for Obstacle Avoidance between Polytopes with Control Barrier Functions. In Proceedings of the 2022 IEEE International Conference on Robotics and Automation (ICRA), Philadelphia, PA, USA, 23–27 May 2022; pp. 286–292. [Google Scholar]
  32. Rains, G. Evaluation of a Simple Pure Pursuit Path-Following Algorithm for an Autonomous, Articulated-Steer Vehicle. Appl. Eng. Agric. 2014, 30, 367–374. [Google Scholar] [CrossRef]
  33. Chen, Y.; Zhu, J.J. Pure Pursuit Guidance for Car-Like Ground Vehicle Trajectory Tracking. In Proceedings of the ASME 2017 Dynamic Systems and Control Conference, Tysons, VA, USA, 11–13 October 2017; p. V002T21A015. [Google Scholar]
  34. Hoffman, G.M.; Tomlin, C.J.; Montemerlo, M.; Thrun, S. Autonomous Automobile Trajectory Tracking for Off-Road Drriving: Controller Design, Experimental Validation and Racing. In Proceedings of the 2007 American Control Conference, New York, NY, USA, 9–13 July 2007; pp. 2296–2301. [Google Scholar] [CrossRef]
  35. Güvenç, B.A.; Güvenç, L.; Karaman, S. Robust MIMO disturbance observer analysis and design with application to active car steering. Int. J. Robust Nonlinear Control 2009, 20, 873–891. [Google Scholar] [CrossRef]
  36. Güvenç, L.; Aksun-Güvenç, B.; Demirel, B.; Emirler, M.T. Control of Mechatronic Systems. Available online: https://digital-library.theiet.org/doi/book/10.1049/pbce104e (accessed on 25 August 2025).
  37. Chen, H.; Cao, X.; Guvenc, L.; Aksun-Guvenc, B. Deep-Reinforcement-Learning-Based Collision Avoidance of Autonomous Driving System for Vulnerable Road User Safety. Electronics 2024, 13, 1952. [Google Scholar] [CrossRef]
  38. Gao, Y.; Shen, Y.; Xu, T.; Zhang, W.; Guvenc, L. Oscillatory Yaw Motion Control for Hydraulic Power Steering Articulated Vehicles Considering the Influence of Varying Bulk Modulus. IEEE Trans. Control. Syst. Technol. 2018, 27, 1284–1292. [Google Scholar] [CrossRef]
  39. Zhou, H.; Liu, Z. Vehicle Yaw Stability-Control System Design Based on Sliding Mode and Backstepping Control Approach. IEEE Trans. Veh. Technol. 2010, 59, 3674–3678. [Google Scholar] [CrossRef]
  40. Emirler, M.T.; Guvenc, B.A.; Guvenc, L. Communication disturbance observer approach to control of integral plant with time delay. In Proceedings of the 2013 9th Asian Control Conference (ASCC), Istanbul, Turkey, 23–26 June 2013; pp. 1–6. [Google Scholar]
  41. Shimada, A. Communication Disturbance Observer. In Disturbance Observer for Advanced Motion Control with MATLAB/Simulink; John Wiley & Sons: Hoboken, NJ, USA, 2023; pp. 141–149. [Google Scholar] [CrossRef]
  42. Wang, H.; Gelbal, S.Y.; Guvenc, L. Multi-Objective Digital PID Controller Design in Parameter Space and its Application to Automated Path Following. IEEE Access 2021, 9, 46874–46885. [Google Scholar] [CrossRef]
  43. Guvenc¸, L. Stability and Performance Robustness Analysis of Repetitive Control Systems Using Structured Singular Values. J. Dyn. Syst. Meas. Control 1996, 118, 593–597. [Google Scholar] [CrossRef]
  44. Natori, K.; Oboe, R.; Ohnishi, K. Stability Analysis and Practical Design Procedure of Time Delayed Control Systems With Communication Disturbance Observer. IEEE Trans. Ind. Inform. 2008, 4, 185–197. [Google Scholar] [CrossRef]
  45. Ma, F.; Wang, J.; Yang, Y.; Wu, L.; Zhu, S.; Gelbal, S.Y.; Aksun-Guvenc, B.; Guvenc, L. Stability Design for the Homogeneous Platoon with Communication Time Delay. Automot. Innov. 2020, 3, 101–110. [Google Scholar] [CrossRef]
Figure 1. Single-lane-change reference path: (a) trajectory; (b) path curvature.
Figure 1. Single-lane-change reference path: (a) trajectory; (b) path curvature.
Sensors 25 06381 g001
Figure 2. Double-lane-change reference path: (a) trajectory; (b) path curvature.
Figure 2. Double-lane-change reference path: (a) trajectory; (b) path curvature.
Sensors 25 06381 g002
Figure 3. Elastic-Band-generated reference path: (a) trajectory; (b) path curvature.
Figure 3. Elastic-Band-generated reference path: (a) trajectory; (b) path curvature.
Sensors 25 06381 g003
Figure 4. Linear single-track lateral vehicle dynamic model.
Figure 4. Linear single-track lateral vehicle dynamic model.
Sensors 25 06381 g004
Figure 5. Equivalent representations of sample input–output system with time delay. (a) original plant with delay, (b) equivalent representation with delay shown as disturbance.
Figure 5. Equivalent representations of sample input–output system with time delay. (a) original plant with delay, (b) equivalent representation with delay shown as disturbance.
Sensors 25 06381 g005
Figure 6. Standard CDOB block diagram.
Figure 6. Standard CDOB block diagram.
Sensors 25 06381 g006
Figure 7. Standard CDOB block diagram with external disturbance.
Figure 7. Standard CDOB block diagram with external disturbance.
Sensors 25 06381 g007
Figure 8. Modified CDOB block diagram with external disturbance.
Figure 8. Modified CDOB block diagram with external disturbance.
Sensors 25 06381 g008
Figure 9. Control system with modified CDOB and feedback controller.
Figure 9. Control system with modified CDOB and feedback controller.
Sensors 25 06381 g009
Figure 10. D-stability region.
Figure 10. D-stability region.
Sensors 25 06381 g010
Figure 11. Admissible control region at a certain speed.
Figure 11. Admissible control region at a certain speed.
Sensors 25 06381 g011
Figure 12. Single-lane-change maneuver simulation results: (a) CDOB+PID; (b) PID.
Figure 12. Single-lane-change maneuver simulation results: (a) CDOB+PID; (b) PID.
Sensors 25 06381 g012
Figure 13. Single-lane-change maneuver tracking error: (a) CDOB+PID; (b) PID.
Figure 13. Single-lane-change maneuver tracking error: (a) CDOB+PID; (b) PID.
Sensors 25 06381 g013
Figure 14. Double-lane-change maneuver simulation results: (a) CDOB+PID; (b) PID.
Figure 14. Double-lane-change maneuver simulation results: (a) CDOB+PID; (b) PID.
Sensors 25 06381 g014
Figure 15. Double-lane-change maneuver tracking error: (a) CDOB+PID; (b) PID.
Figure 15. Double-lane-change maneuver tracking error: (a) CDOB+PID; (b) PID.
Sensors 25 06381 g015
Figure 16. Elastic Band collision avoidance maneuver simulation results: (a) CDOB+PID; (b) PID.
Figure 16. Elastic Band collision avoidance maneuver simulation results: (a) CDOB+PID; (b) PID.
Sensors 25 06381 g016
Figure 17. Elastic Band collision avoidance maneuver tracking error: (a) CDOB+PID; (b) PID.
Figure 17. Elastic Band collision avoidance maneuver tracking error: (a) CDOB+PID; (b) PID.
Sensors 25 06381 g017
Figure 18. HIL setup: (a) HIL architecture and information flowchart; (b) HIL simulator layout.
Figure 18. HIL setup: (a) HIL architecture and information flowchart; (b) HIL simulator layout.
Sensors 25 06381 g018
Figure 19. Forward motion modified CDOB + PID HIL results for single lane change. (a) path, (b) tracking error, (c) steering effort, (d) path curvature.
Figure 19. Forward motion modified CDOB + PID HIL results for single lane change. (a) path, (b) tracking error, (c) steering effort, (d) path curvature.
Sensors 25 06381 g019
Figure 20. Forward motion modified CDOB + PID HIL results for double lane change. (a) path, (b) tracking error, (c) steering effort, (d) path curvature.
Figure 20. Forward motion modified CDOB + PID HIL results for double lane change. (a) path, (b) tracking error, (c) steering effort, (d) path curvature.
Sensors 25 06381 g020
Figure 21. Forward motion modified CDOB + PID HIL results for collision avoidance. (a) path, (b) tracking error, (c) steering effort, (d) path curvature.
Figure 21. Forward motion modified CDOB + PID HIL results for collision avoidance. (a) path, (b) tracking error, (c) steering effort, (d) path curvature.
Sensors 25 06381 g021
Table 1. Linear path-tracking model parameters [7].
Table 1. Linear path-tracking model parameters [7].
ParameterExplanation
β Vehicle side slip angle
r Vehicle yaw rate
Δ ψ p Heading error
e y Path-tracking error
C f Front tire cornering stiffness ( 195,000  ⁢ N / r a d )
l f Distance between CG and front axle ( 1.3008  ⁢ m )
C r Rear tire cornering stiffness ( 50,000  ⁢ N / r a d )
l r Distance between CG and rear axle ( 1.5453  ⁢ m )
M Vehicle mass ( 1997.6  ⁢ k g )
V Vehicle velocity
l s Preview distance
I z Vehicle yaw moment of inertia (3728 kgm2)
ρ r e f Reference path curvature
M z d Yaw moment disturbance
K Preview distance scheduling constant
T Time Delay ( 0.01 / 0.05 / 0.1 / 0.3  ⁢ s )
Table 2. Low-pass filter Q Butterworth approach parameters.
Table 2. Low-pass filter Q Butterworth approach parameters.
ParameterExplanationValue
ω p Passband Frequency 1000  ⁢ r a d / s
ω s Stopband Frequency 10,000  ⁢ r a d / s
α p Maximum Passband Attenuation 3  ⁢ d B
α s Maximum Stopband Attenuation 30  ⁢ d B
Disclaimer/Publisher’s Note: The statements, opinions and data contained in all publications are solely those of the individual author(s) and contributor(s) and not of MDPI and/or the editor(s). MDPI and/or the editor(s) disclaim responsibility for any injury to people or property resulting from any ideas, methods, instructions or products referred to in the content.

Share and Cite

MDPI and ACS Style

Cao, X.; Chen, H.; Guvenc, L.; Aksun-Guvenc, B. Communication Disturbance Observer Based Delay-Tolerant Control for Autonomous Driving Systems. Sensors 2025, 25, 6381. https://doi.org/10.3390/s25206381

AMA Style

Cao X, Chen H, Guvenc L, Aksun-Guvenc B. Communication Disturbance Observer Based Delay-Tolerant Control for Autonomous Driving Systems. Sensors. 2025; 25(20):6381. https://doi.org/10.3390/s25206381

Chicago/Turabian Style

Cao, Xincheng, Haochong Chen, Levent Guvenc, and Bilin Aksun-Guvenc. 2025. "Communication Disturbance Observer Based Delay-Tolerant Control for Autonomous Driving Systems" Sensors 25, no. 20: 6381. https://doi.org/10.3390/s25206381

APA Style

Cao, X., Chen, H., Guvenc, L., & Aksun-Guvenc, B. (2025). Communication Disturbance Observer Based Delay-Tolerant Control for Autonomous Driving Systems. Sensors, 25(20), 6381. https://doi.org/10.3390/s25206381

Note that from the first issue of 2016, this journal uses article numbers instead of page numbers. See further details here.

Article Metrics

Back to TopTop